Corona-Zuschüsse seit 2020

/ 137
PDF herunterladen
Anlage 1 zur Antwort zur Drs. 7/9756   Frage 1 - Antragsanzahl nach PLZ, Branchenabschnitt und Monat des Antragseingangs Stand: 30.04.2022 PLZ-Bereich Branche                                                                            Antrags-    Anzahl monat 04880         J - Information und Kommunikation                                                2020-04             1 04880         J - Information und Kommunikation                                                2021-10             1 04880         K - Erbringung von Finanz- und Versicherungsdienstleistungen                     2020-04             3 04880         M - Erbringung von freiberuflichen, wissenschaftlichen und technischen           2020-04             2 Dienstleistungen 04880         N - Erbringung von sonstigen wirtschaftlichen Dienstleistungen                   2020-03             2 04880         N - Erbringung von sonstigen wirtschaftlichen Dienstleistungen                   2020-04             9 04880         N - Erbringung von sonstigen wirtschaftlichen Dienstleistungen                   2020-05             1 04880         N - Erbringung von sonstigen wirtschaftlichen Dienstleistungen                   2021-09             1 04880         N - Erbringung von sonstigen wirtschaftlichen Dienstleistungen                   2021-10             1 04880         O - Öffentliche Verwaltung, Verteidigung; Sozialversicherung                     2020-08             1 04880         P - Erziehung und Unterricht                                                     2020-03             1 04880         P - Erziehung und Unterricht                                                     2020-11             1 04880         P - Erziehung und Unterricht                                                     2021-01             1 04880         P - Erziehung und Unterricht                                                     2021-07             1 04880         P - Erziehung und Unterricht                                                     2021-10             1 04880         P - Erziehung und Unterricht                                                     2022-02             2 04880         Q - Gesundheits- und Sozialwesen                                                 2020-04             1 04880         R - Kunst, Unterhaltung und Erholung                                             2020-03             1 04880         R - Kunst, Unterhaltung und Erholung                                             2020-04             3 04880         R - Kunst, Unterhaltung und Erholung                                             2020-12             1 04880         R - Kunst, Unterhaltung und Erholung                                             2021-03             1 04880         R - Kunst, Unterhaltung und Erholung                                             2021-06             1 04880         R - Kunst, Unterhaltung und Erholung                                             2021-08             1 04880         R - Kunst, Unterhaltung und Erholung                                             2021-12             3 04880         R - Kunst, Unterhaltung und Erholung                                             2022-02             2 04880         S - Erbringung von sonstigen Dienstleistungen                                    2020-03             1 04880         S - Erbringung von sonstigen Dienstleistungen                                    2020-04            12 04880         S - Erbringung von sonstigen Dienstleistungen                                    2020-11             2 04880         S - Erbringung von sonstigen Dienstleistungen                                    2020-12             1 04880         S - Erbringung von sonstigen Dienstleistungen                                    2021-01             2 04880         S - Erbringung von sonstigen Dienstleistungen                                    2021-03             2 04880         S - Erbringung von sonstigen Dienstleistungen                                    2021-04             1 04880         S - Erbringung von sonstigen Dienstleistungen                                    2021-07             1 04880         S - Erbringung von sonstigen Dienstleistungen                                    2021-09             1 04880         S - Erbringung von sonstigen Dienstleistungen                                    2021-10             1
61

Anlage 1 zur Antwort zur Drs. 7/9756   Frage 1 - Antragsanzahl nach PLZ, Branchenabschnitt und Monat des Antragseingangs Stand: 30.04.2022 PLZ-Bereich Branche                                                                            Antrags-    Anzahl monat 04880         S - Erbringung von sonstigen Dienstleistungen                                    2022-02             1 04880         S - Erbringung von sonstigen Dienstleistungen                                    2022-03             1 04880         T - Private Haushalte mit Hauspersonal; Herstellung von Waren und Erbringung     2021-01             1 von Dienstleistungen durch private Haushalte für den Eigenbedarf ohne ausgeprägten Schwerpunkt 04880         x - Sonstige                                                                     2021-03             1 04880         x - Sonstige                                                                     2021-05             2 04886         A - Land- und Forstwirtschaft, Fischerei                                         2021-03             1 04886         A - Land- und Forstwirtschaft, Fischerei                                         2022-03             1 04886         C - Verarbeitendes Gewerbe                                                       2020-04             2 04886         F - Baugewerbe                                                                   2020-04            16 04886         F - Baugewerbe                                                                   2020-05             2 04886         F - Baugewerbe                                                                   2020-09             1 04886         F - Baugewerbe                                                                   2021-08             2 04886         F - Baugewerbe                                                                   2021-10             6 04886         F - Baugewerbe                                                                   2021-12             2 04886         F - Baugewerbe                                                                   2022-03             2 04886         G - Handel; Instandhaltung und Reparatur von Kraftfahrzeugen                     2020-03             9 04886         G - Handel; Instandhaltung und Reparatur von Kraftfahrzeugen                     2020-04            21 04886         G - Handel; Instandhaltung und Reparatur von Kraftfahrzeugen                     2021-03             1 04886         G - Handel; Instandhaltung und Reparatur von Kraftfahrzeugen                     2021-04             1 04886         G - Handel; Instandhaltung und Reparatur von Kraftfahrzeugen                     2021-05             1 04886         G - Handel; Instandhaltung und Reparatur von Kraftfahrzeugen                     2021-12             2 04886         G - Handel; Instandhaltung und Reparatur von Kraftfahrzeugen                     2022-04             1 04886         H - Verkehr und Lagerei                                                          2020-03             1 04886         H - Verkehr und Lagerei                                                          2020-04             2 04886         H - Verkehr und Lagerei                                                          2020-05             1 04886         H - Verkehr und Lagerei                                                          2021-08             1 04886         H - Verkehr und Lagerei                                                          2021-10             1 04886         H - Verkehr und Lagerei                                                          2022-02             1 04886         H - Verkehr und Lagerei                                                          2022-03             1 04886         I - Gastgewerbe                                                                  2020-04             4 04886         I - Gastgewerbe                                                                  2020-05             1 04886         I - Gastgewerbe                                                                  2020-09             1 04886         I - Gastgewerbe                                                                  2020-12             3 04886         I - Gastgewerbe                                                                  2021-01            12
62

Anlage 1 zur Antwort zur Drs. 7/9756   Frage 1 - Antragsanzahl nach PLZ, Branchenabschnitt und Monat des Antragseingangs Stand: 30.04.2022 PLZ-Bereich Branche                                                                            Antrags-    Anzahl monat 04886         I - Gastgewerbe                                                                  2021-02             2 04886         I - Gastgewerbe                                                                  2021-03             5 04886         I - Gastgewerbe                                                                  2021-06             1 04886         I - Gastgewerbe                                                                  2021-07             1 04886         I - Gastgewerbe                                                                  2021-10             1 04886         I - Gastgewerbe                                                                  2022-01             2 04886         I - Gastgewerbe                                                                  2022-03             1 04886         J - Information und Kommunikation                                                2020-05             1 04886         K - Erbringung von Finanz- und Versicherungsdienstleistungen                     2020-03             2 04886         K - Erbringung von Finanz- und Versicherungsdienstleistungen                     2020-04             1 04886         K - Erbringung von Finanz- und Versicherungsdienstleistungen                     2020-05             1 04886         L - Grundstücks- und Wohnungswesen                                               2020-05             1 04886         L - Grundstücks- und Wohnungswesen                                               2021-01             1 04886         M - Erbringung von freiberuflichen, wissenschaftlichen und technischen           2020-04             2 Dienstleistungen 04886         M - Erbringung von freiberuflichen, wissenschaftlichen und technischen           2020-11             1 Dienstleistungen 04886         M - Erbringung von freiberuflichen, wissenschaftlichen und technischen           2021-01             1 Dienstleistungen 04886         M - Erbringung von freiberuflichen, wissenschaftlichen und technischen           2021-04             1 Dienstleistungen 04886         N - Erbringung von sonstigen wirtschaftlichen Dienstleistungen                   2020-03             2 04886         N - Erbringung von sonstigen wirtschaftlichen Dienstleistungen                   2020-04             5 04886         N - Erbringung von sonstigen wirtschaftlichen Dienstleistungen                   2020-05             1 04886         N - Erbringung von sonstigen wirtschaftlichen Dienstleistungen                   2021-02             1 04886         O - Öffentliche Verwaltung, Verteidigung; Sozialversicherung                     2020-07             2 04886         P - Erziehung und Unterricht                                                     2020-04             3 04886         P - Erziehung und Unterricht                                                     2020-05             2 04886         P - Erziehung und Unterricht                                                     2020-12             1 04886         P - Erziehung und Unterricht                                                     2021-01             2 04886         P - Erziehung und Unterricht                                                     2021-02             1 04886         P - Erziehung und Unterricht                                                     2021-03             2 04886         P - Erziehung und Unterricht                                                     2021-12             1 04886         Q - Gesundheits- und Sozialwesen                                                 2020-04             3 04886         Q - Gesundheits- und Sozialwesen                                                 2020-05             1 04886         Q - Gesundheits- und Sozialwesen                                                 2021-07             1
63

Anlage 1 zur Antwort zur Drs. 7/9756   Frage 1 - Antragsanzahl nach PLZ, Branchenabschnitt und Monat des Antragseingangs Stand: 30.04.2022 PLZ-Bereich Branche                                                                            Antrags-    Anzahl monat 04886         Q - Gesundheits- und Sozialwesen                                                 2021-12             1 04886         R - Kunst, Unterhaltung und Erholung                                             2020-04             1 04886         R - Kunst, Unterhaltung und Erholung                                             2021-02             1 04886         R - Kunst, Unterhaltung und Erholung                                             2021-06             1 04886         S - Erbringung von sonstigen Dienstleistungen                                    2020-03             5 04886         S - Erbringung von sonstigen Dienstleistungen                                    2020-04            17 04886         S - Erbringung von sonstigen Dienstleistungen                                    2020-11             1 04886         S - Erbringung von sonstigen Dienstleistungen                                    2020-12             5 04886         S - Erbringung von sonstigen Dienstleistungen                                    2021-01             6 04886         S - Erbringung von sonstigen Dienstleistungen                                    2021-02             4 04886         S - Erbringung von sonstigen Dienstleistungen                                    2021-03             2 04886         S - Erbringung von sonstigen Dienstleistungen                                    2021-05             2 04886         S - Erbringung von sonstigen Dienstleistungen                                    2021-08             1 04886         S - Erbringung von sonstigen Dienstleistungen                                    2021-09             2 04886         S - Erbringung von sonstigen Dienstleistungen                                    2021-10             1 04886         S - Erbringung von sonstigen Dienstleistungen                                    2021-12             3 04886         S - Erbringung von sonstigen Dienstleistungen                                    2022-01             2 04886         S - Erbringung von sonstigen Dienstleistungen                                    2022-02             2 04886         x - Sonstige                                                                     2021-04             1 04889         A - Land- und Forstwirtschaft, Fischerei                                         2021-07             1 04889         A - Land- und Forstwirtschaft, Fischerei                                         2021-08             1 04889         C - Verarbeitendes Gewerbe                                                       2020-03             1 04889         C - Verarbeitendes Gewerbe                                                       2020-04             4 04889         C - Verarbeitendes Gewerbe                                                       2021-03             1 04889         C - Verarbeitendes Gewerbe                                                       2021-09             1 04889         F - Baugewerbe                                                                   2020-03             2 04889         F - Baugewerbe                                                                   2020-04             7 04889         F - Baugewerbe                                                                   2020-05             2 04889         F - Baugewerbe                                                                   2021-06             1 04889         F - Baugewerbe                                                                   2021-09             1 04889         F - Baugewerbe                                                                   2021-11             1 04889         G - Handel; Instandhaltung und Reparatur von Kraftfahrzeugen                     2020-03             1 04889         G - Handel; Instandhaltung und Reparatur von Kraftfahrzeugen                     2020-04             8 04889         G - Handel; Instandhaltung und Reparatur von Kraftfahrzeugen                     2020-12             1 04889         G - Handel; Instandhaltung und Reparatur von Kraftfahrzeugen                     2021-01             1 04889         G - Handel; Instandhaltung und Reparatur von Kraftfahrzeugen                     2021-02             1
64

Anlage 1 zur Antwort zur Drs. 7/9756   Frage 1 - Antragsanzahl nach PLZ, Branchenabschnitt und Monat des Antragseingangs Stand: 30.04.2022 PLZ-Bereich Branche                                                                            Antrags-    Anzahl monat 04889         G - Handel; Instandhaltung und Reparatur von Kraftfahrzeugen                     2021-03             2 04889         G - Handel; Instandhaltung und Reparatur von Kraftfahrzeugen                     2021-05             1 04889         G - Handel; Instandhaltung und Reparatur von Kraftfahrzeugen                     2021-09             1 04889         G - Handel; Instandhaltung und Reparatur von Kraftfahrzeugen                     2022-02             1 04889         H - Verkehr und Lagerei                                                          2020-04             3 04889         H - Verkehr und Lagerei                                                          2021-06             1 04889         H - Verkehr und Lagerei                                                          2021-08             1 04889         H - Verkehr und Lagerei                                                          2022-02             1 04889         I - Gastgewerbe                                                                  2020-03             4 04889         I - Gastgewerbe                                                                  2020-04             7 04889         I - Gastgewerbe                                                                  2020-05             1 04889         I - Gastgewerbe                                                                  2020-12             6 04889         I - Gastgewerbe                                                                  2021-01             5 04889         I - Gastgewerbe                                                                  2021-02             2 04889         I - Gastgewerbe                                                                  2021-04             3 04889         I - Gastgewerbe                                                                  2021-05             2 04889         I - Gastgewerbe                                                                  2021-06             2 04889         I - Gastgewerbe                                                                  2021-07             1 04889         I - Gastgewerbe                                                                  2021-08             1 04889         I - Gastgewerbe                                                                  2022-02             2 04889         I - Gastgewerbe                                                                  2022-03             1 04889         K - Erbringung von Finanz- und Versicherungsdienstleistungen                     2020-04             1 04889         L - Grundstücks- und Wohnungswesen                                               2020-04             1 04889         M - Erbringung von freiberuflichen, wissenschaftlichen und technischen           2020-03             1 Dienstleistungen 04889         N - Erbringung von sonstigen wirtschaftlichen Dienstleistungen                   2020-03             1 04889         N - Erbringung von sonstigen wirtschaftlichen Dienstleistungen                   2020-04             5 04889         N - Erbringung von sonstigen wirtschaftlichen Dienstleistungen                   2020-09             1 04889         N - Erbringung von sonstigen wirtschaftlichen Dienstleistungen                   2021-03             1 04889         N - Erbringung von sonstigen wirtschaftlichen Dienstleistungen                   2021-11             1 04889         P - Erziehung und Unterricht                                                     2020-04             4 04889         P - Erziehung und Unterricht                                                     2021-07             1 04889         P - Erziehung und Unterricht                                                     2021-08             1 04889         R - Kunst, Unterhaltung und Erholung                                             2020-03             1 04889         R - Kunst, Unterhaltung und Erholung                                             2020-04             3 04889         R - Kunst, Unterhaltung und Erholung                                             2020-09             1
65

Anlage 1 zur Antwort zur Drs. 7/9756   Frage 1 - Antragsanzahl nach PLZ, Branchenabschnitt und Monat des Antragseingangs Stand: 30.04.2022 PLZ-Bereich Branche                                                                            Antrags-    Anzahl monat 04889         R - Kunst, Unterhaltung und Erholung                                             2020-11             1 04889         R - Kunst, Unterhaltung und Erholung                                             2020-12             2 04889         R - Kunst, Unterhaltung und Erholung                                             2021-01             1 04889         R - Kunst, Unterhaltung und Erholung                                             2021-03             1 04889         R - Kunst, Unterhaltung und Erholung                                             2021-08             1 04889         R - Kunst, Unterhaltung und Erholung                                             2021-09             1 04889         R - Kunst, Unterhaltung und Erholung                                             2021-10             1 04889         R - Kunst, Unterhaltung und Erholung                                             2022-03             2 04889         S - Erbringung von sonstigen Dienstleistungen                                    2020-03             2 04889         S - Erbringung von sonstigen Dienstleistungen                                    2020-04             7 04889         S - Erbringung von sonstigen Dienstleistungen                                    2020-07             1 04889         S - Erbringung von sonstigen Dienstleistungen                                    2020-12             2 04889         S - Erbringung von sonstigen Dienstleistungen                                    2021-01             3 04889         S - Erbringung von sonstigen Dienstleistungen                                    2021-02             3 04889         S - Erbringung von sonstigen Dienstleistungen                                    2021-04             1 04889         S - Erbringung von sonstigen Dienstleistungen                                    2021-05             1 04889         S - Erbringung von sonstigen Dienstleistungen                                    2021-06             1 04889         S - Erbringung von sonstigen Dienstleistungen                                    2021-10             1 04889         S - Erbringung von sonstigen Dienstleistungen                                    2022-01             2 04889         S - Erbringung von sonstigen Dienstleistungen                                    2022-02             1 04889         S - Erbringung von sonstigen Dienstleistungen                                    2022-03             1 04889         x - Sonstige                                                                     2021-06             1
66

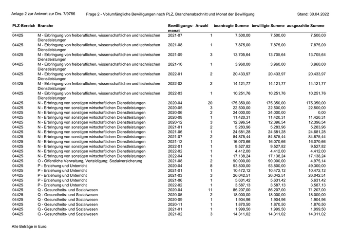
Anlage 2 zur Antwort zur Drs. 7/9756       Frage 2 - Vollumfängliche Bewilligungen nach PLZ, Branchenabschnitt und Monat der Bewilligung              Stand: 30.04.2022 PLZ-Bereich Branche                                                                      Bewilligungs- Anzahl beantragte Summe bewilligte Summe ausgezahlte Summe monat 04425           C - Verarbeitendes Gewerbe                                               2020-04              16           135.007,00      135.007,00      135.007,00 04425           C - Verarbeitendes Gewerbe                                               2020-05                2           15.000,00       15.000,00       15.000,00 04425           C - Verarbeitendes Gewerbe                                               2020-06                2           24.000,00       24.000,00       24.000,00 04425           C - Verarbeitendes Gewerbe                                               2020-09                1            7.484,30        7.484,30        7.484,30 04425           C - Verarbeitendes Gewerbe                                               2020-12                1            7.543,38        7.543,38        7.543,38 04425           C - Verarbeitendes Gewerbe                                               2021-05                1           37.297,95       37.297,95       37.297,95 04425           C - Verarbeitendes Gewerbe                                               2021-06                1            4.522,03        4.522,03        4.522,03 04425           C - Verarbeitendes Gewerbe                                               2021-07                1            2.610,65        2.610,65        2.610,65 04425           C - Verarbeitendes Gewerbe                                               2021-08                1            2.941,62        2.941,62        2.941,62 04425           C - Verarbeitendes Gewerbe                                               2021-11                1            2.096,07        2.096,07        2.096,07 04425           C - Verarbeitendes Gewerbe                                               2022-03                2            9.500,00        9.500,00        9.500,00 04425           C - Verarbeitendes Gewerbe                                               2022-04                1            3.756,22        3.756,22        3.756,22 04425           E - Wasserversorgung; Abwasser- und Abfallentsorgung und Beseitigung     2020-04                2           17.720,00       17.720,00       17.720,00 von Umweltverschmutzungen 04425           F - Baugewerbe                                                           2020-04              43           397.800,00      397.800,00      397.800,00 04425           F - Baugewerbe                                                           2020-05                7           56.500,00       56.500,00       56.500,00 04425           F - Baugewerbe                                                           2020-06                5           39.000,00       39.000,00       39.000,00 04425           F - Baugewerbe                                                           2020-09                1            9.000,00        9.000,00        9.000,00 04425           F - Baugewerbe                                                           2021-02                7           35.032,02       35.032,02       35.032,02 04425           F - Baugewerbe                                                           2021-03                1            7.937,14        7.937,14        7.937,14 04425           F - Baugewerbe                                                           2021-06                1            7.850,00        7.850,00        7.850,00 04425           F - Baugewerbe                                                           2021-07                1            4.500,00        4.500,00        4.500,00 04425           F - Baugewerbe                                                           2021-08                2            9.728,90        9.728,90        9.728,90 04425           F - Baugewerbe                                                           2021-10                1            4.500,00        4.500,00        4.500,00 04425           F - Baugewerbe                                                           2021-12                1            4.500,00        4.500,00        4.500,00 04425           F - Baugewerbe                                                           2022-04                1            3.676,20        3.676,20        3.676,20 04425           G - Handel; Instandhaltung und Reparatur von Kraftfahrzeugen             2020-03                1            9.000,00        9.000,00        9.000,00 04425           G - Handel; Instandhaltung und Reparatur von Kraftfahrzeugen             2020-04              60           532.996,00      538.996,00      500.996,00 04425           G - Handel; Instandhaltung und Reparatur von Kraftfahrzeugen             2020-05                8           50.400,00       50.400,00       46.500,00 04425           G - Handel; Instandhaltung und Reparatur von Kraftfahrzeugen             2020-06                2           18.000,00       18.000,00       18.000,00 04425           G - Handel; Instandhaltung und Reparatur von Kraftfahrzeugen             2020-10                1            6.000,00        6.000,00        6.000,00 04425           G - Handel; Instandhaltung und Reparatur von Kraftfahrzeugen             2020-12                1           13.352,09       13.352,09       13.352,09 04425           G - Handel; Instandhaltung und Reparatur von Kraftfahrzeugen             2021-02                3           10.286,78       10.286,78       10.286,78 04425           G - Handel; Instandhaltung und Reparatur von Kraftfahrzeugen             2021-03                5           64.899,96       64.899,96       64.899,96 04425           G - Handel; Instandhaltung und Reparatur von Kraftfahrzeugen             2021-04                3        6.226.102,60    6.226.102,60    6.226.102,60 04425           G - Handel; Instandhaltung und Reparatur von Kraftfahrzeugen             2021-05                1           67.238,38       67.238,38       67.238,38 04425           G - Handel; Instandhaltung und Reparatur von Kraftfahrzeugen             2021-06                3          300.185,07      402.511,84      300.185,07 04425           G - Handel; Instandhaltung und Reparatur von Kraftfahrzeugen             2021-07                2          167.275,16      167.275,16      167.275,16 Alle Beträge in Euro.
67

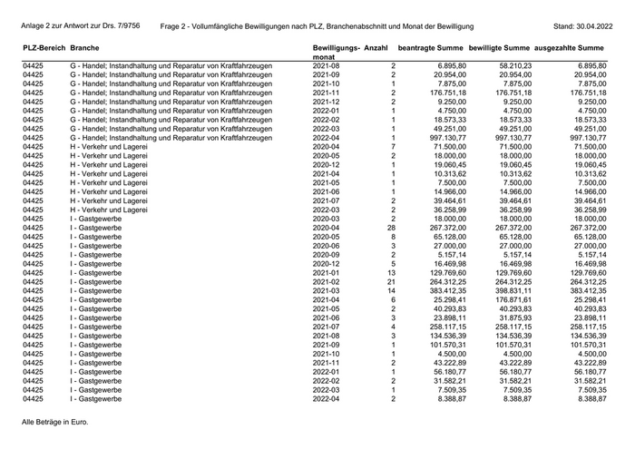
Anlage 2 zur Antwort zur Drs. 7/9756       Frage 2 - Vollumfängliche Bewilligungen nach PLZ, Branchenabschnitt und Monat der Bewilligung             Stand: 30.04.2022 PLZ-Bereich Branche                                                                      Bewilligungs- Anzahl beantragte Summe bewilligte Summe ausgezahlte Summe monat 04425           G - Handel; Instandhaltung und Reparatur von Kraftfahrzeugen             2021-08                2            6.895,80     58.210,23         6.895,80 04425           G - Handel; Instandhaltung und Reparatur von Kraftfahrzeugen             2021-09                2           20.954,00     20.954,00        20.954,00 04425           G - Handel; Instandhaltung und Reparatur von Kraftfahrzeugen             2021-10                1            7.875,00      7.875,00         7.875,00 04425           G - Handel; Instandhaltung und Reparatur von Kraftfahrzeugen             2021-11                2         176.751,18     176.751,18      176.751,18 04425           G - Handel; Instandhaltung und Reparatur von Kraftfahrzeugen             2021-12                2            9.250,00      9.250,00         9.250,00 04425           G - Handel; Instandhaltung und Reparatur von Kraftfahrzeugen             2022-01                1            4.750,00      4.750,00         4.750,00 04425           G - Handel; Instandhaltung und Reparatur von Kraftfahrzeugen             2022-02                1           18.573,33     18.573,33        18.573,33 04425           G - Handel; Instandhaltung und Reparatur von Kraftfahrzeugen             2022-03                1           49.251,00     49.251,00        49.251,00 04425           G - Handel; Instandhaltung und Reparatur von Kraftfahrzeugen             2022-04                1         997.130,77     997.130,77      997.130,77 04425           H - Verkehr und Lagerei                                                  2020-04                7           71.500,00     71.500,00        71.500,00 04425           H - Verkehr und Lagerei                                                  2020-05                2           18.000,00     18.000,00        18.000,00 04425           H - Verkehr und Lagerei                                                  2020-12                1           19.060,45     19.060,45        19.060,45 04425           H - Verkehr und Lagerei                                                  2021-04                1           10.313,62     10.313,62        10.313,62 04425           H - Verkehr und Lagerei                                                  2021-05                1            7.500,00      7.500,00         7.500,00 04425           H - Verkehr und Lagerei                                                  2021-06                1           14.966,00     14.966,00        14.966,00 04425           H - Verkehr und Lagerei                                                  2021-07                2           39.464,61     39.464,61        39.464,61 04425           H - Verkehr und Lagerei                                                  2022-03                2           36.258,99     36.258,99        36.258,99 04425           I - Gastgewerbe                                                          2020-03                2           18.000,00     18.000,00        18.000,00 04425           I - Gastgewerbe                                                          2020-04              28          267.372,00     267.372,00      267.372,00 04425           I - Gastgewerbe                                                          2020-05                8           65.128,00     65.128,00        65.128,00 04425           I - Gastgewerbe                                                          2020-06                3           27.000,00     27.000,00        27.000,00 04425           I - Gastgewerbe                                                          2020-09                2            5.157,14      5.157,14         5.157,14 04425           I - Gastgewerbe                                                          2020-12                5           16.469,98     16.469,98        16.469,98 04425           I - Gastgewerbe                                                          2021-01              13          129.769,60     129.769,60      129.769,60 04425           I - Gastgewerbe                                                          2021-02              21          264.312,25     264.312,25      264.312,25 04425           I - Gastgewerbe                                                          2021-03              14          383.412,35     398.831,11      383.412,35 04425           I - Gastgewerbe                                                          2021-04                6           25.298,41    176.871,61        25.298,41 04425           I - Gastgewerbe                                                          2021-05                2           40.293,83     40.293,83        40.293,83 04425           I - Gastgewerbe                                                          2021-06                3           23.898,11     31.875,93        23.898,11 04425           I - Gastgewerbe                                                          2021-07                4         258.117,15     258.117,15      258.117,15 04425           I - Gastgewerbe                                                          2021-08                3         134.536,39     134.536,39      134.536,39 04425           I - Gastgewerbe                                                          2021-09                1         101.570,31     101.570,31      101.570,31 04425           I - Gastgewerbe                                                          2021-10                1            4.500,00      4.500,00         4.500,00 04425           I - Gastgewerbe                                                          2021-11                2           43.222,89     43.222,89        43.222,89 04425           I - Gastgewerbe                                                          2022-01                1           56.180,77     56.180,77        56.180,77 04425           I - Gastgewerbe                                                          2022-02                2           31.582,21     31.582,21        31.582,21 04425           I - Gastgewerbe                                                          2022-03                1            7.509,35      7.509,35         7.509,35 04425           I - Gastgewerbe                                                          2022-04                2            8.388,87      8.388,87         8.388,87 Alle Beträge in Euro.
68

Anlage 2 zur Antwort zur Drs. 7/9756        Frage 2 - Vollumfängliche Bewilligungen nach PLZ, Branchenabschnitt und Monat der Bewilligung             Stand: 30.04.2022 PLZ-Bereich Branche                                                                       Bewilligungs- Anzahl beantragte Summe bewilligte Summe ausgezahlte Summe monat 04425           J - Information und Kommunikation                                         2020-04              10            74.500,00     74.500,00        74.500,00 04425           J - Information und Kommunikation                                         2020-05                2           12.000,00     12.000,00        12.000,00 04425           J - Information und Kommunikation                                         2020-06                1            2.000,00      2.000,00         2.000,00 04425           J - Information und Kommunikation                                         2020-07                1            9.000,00      9.000,00         9.000,00 04425           J - Information und Kommunikation                                         2020-09                1            5.573,42      5.573,42         5.573,42 04425           J - Information und Kommunikation                                         2021-01                1           37.485,62     37.485,62        37.485,62 04425           J - Information und Kommunikation                                         2021-02                2           73.369,30     73.369,30        73.369,30 04425           J - Information und Kommunikation                                         2021-03                1            4.534,74      4.534,74         4.534,74 04425           J - Information und Kommunikation                                         2021-06                1            6.850,60      6.850,60         6.850,60 04425           J - Information und Kommunikation                                         2021-07                1           78.508,11     78.508,11        78.508,11 04425           J - Information und Kommunikation                                         2022-02                1           16.922,94     16.922,94        16.922,94 04425           K - Erbringung von Finanz- und Versicherungsdienstleistungen              2020-04              10            71.800,00     71.800,00        62.800,00 04425           K - Erbringung von Finanz- und Versicherungsdienstleistungen              2020-05                1            6.500,00      6.500,00         6.500,00 04425           K - Erbringung von Finanz- und Versicherungsdienstleistungen              2020-12                1            1.375,86      1.375,86         1.375,86 04425           L - Grundstücks- und Wohnungswesen                                        2020-04              12          100.240,00     100.240,00        80.926,46 04425           L - Grundstücks- und Wohnungswesen                                        2020-05                2           18.000,00     18.000,00        18.000,00 04425           M - Erbringung von freiberuflichen, wissenschaftlichen und technischen    2020-03                1            9.000,00      9.000,00         9.000,00 Dienstleistungen 04425           M - Erbringung von freiberuflichen, wissenschaftlichen und technischen    2020-04              26          194.400,00     199.400,00      182.572,68 Dienstleistungen 04425           M - Erbringung von freiberuflichen, wissenschaftlichen und technischen    2020-05                4           38.600,00     38.600,00        38.600,00 Dienstleistungen 04425           M - Erbringung von freiberuflichen, wissenschaftlichen und technischen    2020-06                3           20.345,00     20.345,00        20.345,00 Dienstleistungen 04425           M - Erbringung von freiberuflichen, wissenschaftlichen und technischen    2020-09                1              867,79        867,79           867,79 Dienstleistungen 04425           M - Erbringung von freiberuflichen, wissenschaftlichen und technischen    2020-10                2            3.541,52      3.541,52         3.541,52 Dienstleistungen 04425           M - Erbringung von freiberuflichen, wissenschaftlichen und technischen    2020-12                2            2.637,61      2.637,61         2.637,61 Dienstleistungen 04425           M - Erbringung von freiberuflichen, wissenschaftlichen und technischen    2021-01                2            3.905,75      3.905,75         3.905,75 Dienstleistungen 04425           M - Erbringung von freiberuflichen, wissenschaftlichen und technischen    2021-02                4           32.088,53     32.088,53        32.088,53 Dienstleistungen 04425           M - Erbringung von freiberuflichen, wissenschaftlichen und technischen    2021-05                1            7.478,55      7.478,55         7.478,55 Dienstleistungen 04425           M - Erbringung von freiberuflichen, wissenschaftlichen und technischen    2021-06                3           56.193,86     70.761,35        56.193,86 Dienstleistungen Alle Beträge in Euro.
69

Anlage 2 zur Antwort zur Drs. 7/9756        Frage 2 - Vollumfängliche Bewilligungen nach PLZ, Branchenabschnitt und Monat der Bewilligung             Stand: 30.04.2022 PLZ-Bereich Branche                                                                       Bewilligungs- Anzahl beantragte Summe bewilligte Summe ausgezahlte Summe monat 04425           M - Erbringung von freiberuflichen, wissenschaftlichen und technischen    2021-07                1            7.500,00      7.500,00         7.500,00 Dienstleistungen 04425           M - Erbringung von freiberuflichen, wissenschaftlichen und technischen    2021-08                1            7.875,00      7.875,00         7.875,00 Dienstleistungen 04425           M - Erbringung von freiberuflichen, wissenschaftlichen und technischen    2021-09                3           13.705,64     13.705,64        13.705,64 Dienstleistungen 04425           M - Erbringung von freiberuflichen, wissenschaftlichen und technischen    2021-10                1            3.960,00      3.960,00         3.960,00 Dienstleistungen 04425           M - Erbringung von freiberuflichen, wissenschaftlichen und technischen    2022-01                2           20.433,97     20.433,97        20.433,97 Dienstleistungen 04425           M - Erbringung von freiberuflichen, wissenschaftlichen und technischen    2022-02                2           14.121,77     14.121,77        14.121,77 Dienstleistungen 04425           M - Erbringung von freiberuflichen, wissenschaftlichen und technischen    2022-03                1           10.251,76     10.251,76        10.251,76 Dienstleistungen 04425           N - Erbringung von sonstigen wirtschaftlichen Dienstleistungen            2020-04              20          175.350,00     175.350,00      175.350,00 04425           N - Erbringung von sonstigen wirtschaftlichen Dienstleistungen            2020-05                3           22.500,00     22.500,00        22.500,00 04425           N - Erbringung von sonstigen wirtschaftlichen Dienstleistungen            2020-06                2           24.000,00     24.000,00             0,00 04425           N - Erbringung von sonstigen wirtschaftlichen Dienstleistungen            2020-08                1           11.420,31     11.420,31        11.420,31 04425           N - Erbringung von sonstigen wirtschaftlichen Dienstleistungen            2020-12                3           12.396,54     12.396,54        12.396,54 04425           N - Erbringung von sonstigen wirtschaftlichen Dienstleistungen            2021-01                2            5.283,96      5.283,96         5.283,96 04425           N - Erbringung von sonstigen wirtschaftlichen Dienstleistungen            2021-06                1           24.681,28     24.681,28        24.681,28 04425           N - Erbringung von sonstigen wirtschaftlichen Dienstleistungen            2021-07                2           84.875,44     84.875,44        84.875,44 04425           N - Erbringung von sonstigen wirtschaftlichen Dienstleistungen            2021-12                1           16.070,66     16.070,66        16.070,66 04425           N - Erbringung von sonstigen wirtschaftlichen Dienstleistungen            2022-01                1            9.527,82      9.527,82         9.527,82 04425           N - Erbringung von sonstigen wirtschaftlichen Dienstleistungen            2022-02                1            4.412,00      4.412,00         4.412,00 04425           N - Erbringung von sonstigen wirtschaftlichen Dienstleistungen            2022-04                1           17.138,24     17.138,24        17.138,24 04425           O - Öffentliche Verwaltung, Verteidigung; Sozialversicherung              2021-08                2           90.000,00     90.000,00         4.975,14 04425           P - Erziehung und Unterricht                                              2020-04                8           53.800,00     53.800,00        49.300,00 04425           P - Erziehung und Unterricht                                              2021-01                1           10.472,12     10.472,12        10.472,12 04425           P - Erziehung und Unterricht                                              2021-03                3           26.042,51     26.042,51        26.042,51 04425           P - Erziehung und Unterricht                                              2021-06                1            5.631,42      5.631,42         5.631,42 04425           P - Erziehung und Unterricht                                              2022-02                1            3.587,13      3.587,13         3.587,13 04425           Q - Gesundheits- und Sozialwesen                                          2020-04              11            86.207,00     86.207,00        71.207,00 04425           Q - Gesundheits- und Sozialwesen                                          2020-05                2           18.000,00     18.000,00        18.000,00 04425           Q - Gesundheits- und Sozialwesen                                          2020-09                1            1.904,96      1.904,96         1.904,96 04425           Q - Gesundheits- und Sozialwesen                                          2020-11                1            1.870,50      1.870,50         1.870,50 04425           Q - Gesundheits- und Sozialwesen                                          2021-01                1            1.999,50      1.999,50         1.999,50 04425           Q - Gesundheits- und Sozialwesen                                          2021-02                3           14.311,02     14.311,02        14.311,02 Alle Beträge in Euro.
70

Zur nächsten Seite