Corona-Zuschüsse seit 2020

/ 137
PDF herunterladen
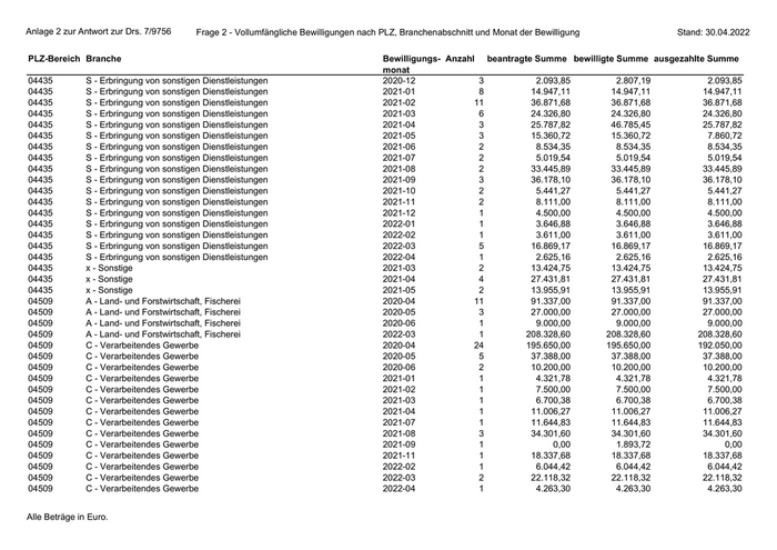
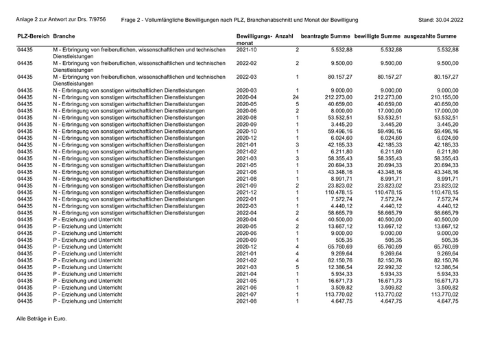
Anlage 2 zur Antwort zur Drs. 7/9756       Frage 2 - Vollumfängliche Bewilligungen nach PLZ, Branchenabschnitt und Monat der Bewilligung             Stand: 30.04.2022 PLZ-Bereich Branche                                                                      Bewilligungs- Anzahl beantragte Summe bewilligte Summe ausgezahlte Summe monat 04425           Q - Gesundheits- und Sozialwesen                                         2021-12                1            3.274,17      3.274,17         3.274,17 04425           Q - Gesundheits- und Sozialwesen                                         2022-02                1            3.915,12      3.915,12         3.915,12 04425           R - Kunst, Unterhaltung und Erholung                                     2020-04              19          163.000,00     163.000,00      158.770,00 04425           R - Kunst, Unterhaltung und Erholung                                     2020-05                1            2.500,00      2.500,00         2.500,00 04425           R - Kunst, Unterhaltung und Erholung                                     2020-08                1            1.137,21      1.137,21         1.137,21 04425           R - Kunst, Unterhaltung und Erholung                                     2020-09                2           11.112,47     11.112,47        11.112,47 04425           R - Kunst, Unterhaltung und Erholung                                     2020-11                2            2.860,13      2.860,13         2.860,13 04425           R - Kunst, Unterhaltung und Erholung                                     2020-12                1            7.720,67      7.720,67         7.720,67 04425           R - Kunst, Unterhaltung und Erholung                                     2021-01                8           34.678,92     34.678,92        34.678,92 04425           R - Kunst, Unterhaltung und Erholung                                     2021-02              12          148.456,37     148.456,37      148.456,37 04425           R - Kunst, Unterhaltung und Erholung                                     2021-03                5         140.362,90     140.362,90      140.362,90 04425           R - Kunst, Unterhaltung und Erholung                                     2021-04                2           30.480,36     30.480,36        30.480,36 04425           R - Kunst, Unterhaltung und Erholung                                     2021-05                2           38.942,62     38.942,62        38.942,62 04425           R - Kunst, Unterhaltung und Erholung                                     2021-07                4           36.205,41     36.205,41        36.205,41 04425           R - Kunst, Unterhaltung und Erholung                                     2021-08                3         576.085,64     576.085,64      576.085,64 04425           R - Kunst, Unterhaltung und Erholung                                     2021-09                1            4.750,00      4.750,00         4.750,00 04425           R - Kunst, Unterhaltung und Erholung                                     2021-10                1            5.386,11      5.386,11         5.386,11 04425           R - Kunst, Unterhaltung und Erholung                                     2021-11                3           90.003,78     90.003,78        90.003,78 04425           R - Kunst, Unterhaltung und Erholung                                     2021-12                1            4.750,00      4.750,00         4.750,00 04425           R - Kunst, Unterhaltung und Erholung                                     2022-01                1            4.500,00      4.500,00         4.500,00 04425           R - Kunst, Unterhaltung und Erholung                                     2022-02                3           20.327,32     20.327,32        20.327,32 04425           R - Kunst, Unterhaltung und Erholung                                     2022-03                7           48.451,34     48.451,34        48.451,34 04425           R - Kunst, Unterhaltung und Erholung                                     2022-04                2           22.380,68     22.380,68        22.380,68 04425           S - Erbringung von sonstigen Dienstleistungen                            2020-04              33          209.921,94     209.921,94      182.074,89 04425           S - Erbringung von sonstigen Dienstleistungen                            2020-05                4           20.941,86     20.941,86        20.941,86 04425           S - Erbringung von sonstigen Dienstleistungen                            2020-10                1              743,23        743,23           743,23 04425           S - Erbringung von sonstigen Dienstleistungen                            2020-11                1            3.959,95      3.959,95         3.959,95 04425           S - Erbringung von sonstigen Dienstleistungen                            2020-12                9           12.819,85     12.819,85        12.819,85 04425           S - Erbringung von sonstigen Dienstleistungen                            2021-01                7           11.386,65     11.386,65        11.386,65 04425           S - Erbringung von sonstigen Dienstleistungen                            2021-02              14            83.872,85     83.872,85        83.872,85 04425           S - Erbringung von sonstigen Dienstleistungen                            2021-03                9           59.963,27     59.963,27        59.963,27 04425           S - Erbringung von sonstigen Dienstleistungen                            2021-04                5           53.057,35     53.057,35        53.057,35 04425           S - Erbringung von sonstigen Dienstleistungen                            2021-05                1           24.388,88     24.388,88        24.388,88 04425           S - Erbringung von sonstigen Dienstleistungen                            2021-06                1           16.304,82     16.304,82        16.304,82 04425           S - Erbringung von sonstigen Dienstleistungen                            2021-07                3           12.982,33     12.982,33        12.982,33 04425           S - Erbringung von sonstigen Dienstleistungen                            2021-08                2           11.616,86     11.616,86        11.616,86 04425           S - Erbringung von sonstigen Dienstleistungen                            2021-09                1            1.364,02      1.364,02         1.364,02 04425           S - Erbringung von sonstigen Dienstleistungen                            2021-10                1            7.750,00      7.750,00         7.750,00 Alle Beträge in Euro.
71

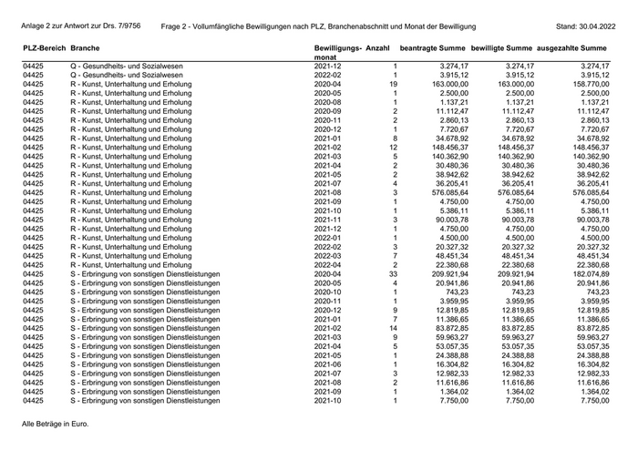
Anlage 2 zur Antwort zur Drs. 7/9756        Frage 2 - Vollumfängliche Bewilligungen nach PLZ, Branchenabschnitt und Monat der Bewilligung             Stand: 30.04.2022 PLZ-Bereich Branche                                                                       Bewilligungs- Anzahl beantragte Summe bewilligte Summe ausgezahlte Summe monat 04425           S - Erbringung von sonstigen Dienstleistungen                             2021-11                2            7.252,89      7.252,89         7.252,89 04425           S - Erbringung von sonstigen Dienstleistungen                             2021-12                1            1.163,49      1.163,49         1.163,49 04425           S - Erbringung von sonstigen Dienstleistungen                             2022-01                2           50.994,80     50.994,80        50.994,80 04425           S - Erbringung von sonstigen Dienstleistungen                             2022-02                5           32.826,84     32.826,84        32.826,84 04425           S - Erbringung von sonstigen Dienstleistungen                             2022-03                1           11.066,59     11.066,59        11.066,59 04425           S - Erbringung von sonstigen Dienstleistungen                             2022-04                1            4.896,71      4.896,71         4.896,71 04425           T - Private Haushalte mit Hauspersonal; Herstellung von Waren und         2020-04                1            9.000,00      9.000,00         9.000,00 Erbringung von Dienstleistungen durch private Haushalte für den Eigenbedarf ohne ausgeprägten Schwerpunkt 04425           x - Sonstige                                                              2021-04                2           15.750,00     15.750,00        15.750,00 04425           x - Sonstige                                                              2021-05                3           21.405,34     21.405,34        21.405,34 04435           A - Land- und Forstwirtschaft, Fischerei                                  2020-05                1            9.000,00      9.000,00         9.000,00 04435           C - Verarbeitendes Gewerbe                                                2020-04              17          152.570,00     152.570,00      144.570,00 04435           C - Verarbeitendes Gewerbe                                                2020-05                3           30.000,00     30.000,00        25.000,00 04435           C - Verarbeitendes Gewerbe                                                2021-01                1            5.875,68      5.875,68         5.875,68 04435           C - Verarbeitendes Gewerbe                                                2021-02                2           43.130,21     43.130,21        43.130,21 04435           C - Verarbeitendes Gewerbe                                                2021-05                1           24.293,07     24.293,07        24.293,07 04435           C - Verarbeitendes Gewerbe                                                2021-06                1           10.604,20     10.604,20        10.604,20 04435           C - Verarbeitendes Gewerbe                                                2021-09                1            9.421,28      9.421,28         9.421,28 04435           C - Verarbeitendes Gewerbe                                                2021-11                4           49.956,32     49.956,32        49.956,32 04435           C - Verarbeitendes Gewerbe                                                2021-12                1           20.594,52     20.594,52        20.594,52 04435           C - Verarbeitendes Gewerbe                                                2022-02                1            4.750,00      4.750,00         4.750,00 04435           C - Verarbeitendes Gewerbe                                                2022-03                1           14.678,86     14.678,86        14.678,86 04435           E - Wasserversorgung; Abwasser- und Abfallentsorgung und Beseitigung      2020-03                1            8.000,00      8.000,00         8.000,00 von Umweltverschmutzungen 04435           F - Baugewerbe                                                            2020-03                1            5.000,00      5.000,00         5.000,00 04435           F - Baugewerbe                                                            2020-04              37          334.510,00     334.510,00      329.510,00 04435           F - Baugewerbe                                                            2020-05                5           47.000,00     47.000,00        47.000,00 04435           F - Baugewerbe                                                            2020-06                3           23.000,00     23.000,00        23.000,00 04435           F - Baugewerbe                                                            2020-10                1           14.155,32     14.155,32        14.155,32 04435           F - Baugewerbe                                                            2021-01                1           87.340,48     87.340,48        87.340,48 04435           F - Baugewerbe                                                            2021-02                2           10.314,48     10.314,48        10.314,48 04435           F - Baugewerbe                                                            2021-05                1            7.500,00      7.500,00         7.500,00 04435           F - Baugewerbe                                                            2021-08                2           15.175,68     15.175,68        15.175,68 04435           F - Baugewerbe                                                            2021-11                1            4.500,00      4.500,00         4.500,00 04435           F - Baugewerbe                                                            2022-02                2            5.227,00      5.227,00         5.227,00 04435           G - Handel; Instandhaltung und Reparatur von Kraftfahrzeugen              2020-04              40          332.900,00     332.900,00      323.900,00 04435           G - Handel; Instandhaltung und Reparatur von Kraftfahrzeugen              2020-05                7           48.500,00     48.500,00        48.500,00 Alle Beträge in Euro.
72

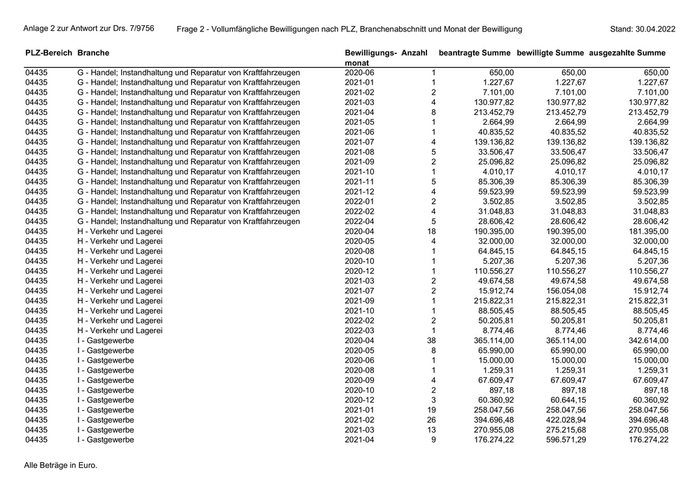
Anlage 2 zur Antwort zur Drs. 7/9756       Frage 2 - Vollumfängliche Bewilligungen nach PLZ, Branchenabschnitt und Monat der Bewilligung             Stand: 30.04.2022 PLZ-Bereich Branche                                                                      Bewilligungs- Anzahl beantragte Summe bewilligte Summe ausgezahlte Summe monat 04435           G - Handel; Instandhaltung und Reparatur von Kraftfahrzeugen             2020-06                1              650,00        650,00           650,00 04435           G - Handel; Instandhaltung und Reparatur von Kraftfahrzeugen             2021-01                1            1.227,67      1.227,67         1.227,67 04435           G - Handel; Instandhaltung und Reparatur von Kraftfahrzeugen             2021-02                2            7.101,00      7.101,00         7.101,00 04435           G - Handel; Instandhaltung und Reparatur von Kraftfahrzeugen             2021-03                4         130.977,82     130.977,82      130.977,82 04435           G - Handel; Instandhaltung und Reparatur von Kraftfahrzeugen             2021-04                8         213.452,79     213.452,79      213.452,79 04435           G - Handel; Instandhaltung und Reparatur von Kraftfahrzeugen             2021-05                1            2.664,99      2.664,99         2.664,99 04435           G - Handel; Instandhaltung und Reparatur von Kraftfahrzeugen             2021-06                1           40.835,52     40.835,52        40.835,52 04435           G - Handel; Instandhaltung und Reparatur von Kraftfahrzeugen             2021-07                4         139.136,82     139.136,82      139.136,82 04435           G - Handel; Instandhaltung und Reparatur von Kraftfahrzeugen             2021-08                5           33.506,47     33.506,47        33.506,47 04435           G - Handel; Instandhaltung und Reparatur von Kraftfahrzeugen             2021-09                2           25.096,82     25.096,82        25.096,82 04435           G - Handel; Instandhaltung und Reparatur von Kraftfahrzeugen             2021-10                1            4.010,17      4.010,17         4.010,17 04435           G - Handel; Instandhaltung und Reparatur von Kraftfahrzeugen             2021-11                5           85.306,39     85.306,39        85.306,39 04435           G - Handel; Instandhaltung und Reparatur von Kraftfahrzeugen             2021-12                4           59.523,99     59.523,99        59.523,99 04435           G - Handel; Instandhaltung und Reparatur von Kraftfahrzeugen             2022-01                2            3.502,85      3.502,85         3.502,85 04435           G - Handel; Instandhaltung und Reparatur von Kraftfahrzeugen             2022-02                4           31.048,83     31.048,83        31.048,83 04435           G - Handel; Instandhaltung und Reparatur von Kraftfahrzeugen             2022-04                5           28.606,42     28.606,42        28.606,42 04435           H - Verkehr und Lagerei                                                  2020-04              18          190.395,00     190.395,00      181.395,00 04435           H - Verkehr und Lagerei                                                  2020-05                4           32.000,00     32.000,00        32.000,00 04435           H - Verkehr und Lagerei                                                  2020-08                1           64.845,15     64.845,15        64.845,15 04435           H - Verkehr und Lagerei                                                  2020-10                1            5.207,36      5.207,36         5.207,36 04435           H - Verkehr und Lagerei                                                  2020-12                1         110.556,27     110.556,27      110.556,27 04435           H - Verkehr und Lagerei                                                  2021-03                2           49.674,58     49.674,58        49.674,58 04435           H - Verkehr und Lagerei                                                  2021-07                2           15.912,74    156.054,08        15.912,74 04435           H - Verkehr und Lagerei                                                  2021-09                1         215.822,31     215.822,31      215.822,31 04435           H - Verkehr und Lagerei                                                  2021-10                1           88.505,45     88.505,45        88.505,45 04435           H - Verkehr und Lagerei                                                  2022-02                2           50.205,81     50.205,81        50.205,81 04435           H - Verkehr und Lagerei                                                  2022-03                1            8.774,46      8.774,46         8.774,46 04435           I - Gastgewerbe                                                          2020-04              38          365.114,00     365.114,00      342.614,00 04435           I - Gastgewerbe                                                          2020-05                8           65.990,00     65.990,00        65.990,00 04435           I - Gastgewerbe                                                          2020-06                1           15.000,00     15.000,00        15.000,00 04435           I - Gastgewerbe                                                          2020-08                1            1.259,31      1.259,31         1.259,31 04435           I - Gastgewerbe                                                          2020-09                4           67.609,47     67.609,47        67.609,47 04435           I - Gastgewerbe                                                          2020-10                2              897,18        897,18           897,18 04435           I - Gastgewerbe                                                          2020-12                3           60.360,92     60.644,15        60.360,92 04435           I - Gastgewerbe                                                          2021-01              19          258.047,56     258.047,56      258.047,56 04435           I - Gastgewerbe                                                          2021-02              26          394.696,48     422.028,94      394.696,48 04435           I - Gastgewerbe                                                          2021-03              13          270.955,08     275.215,68      270.955,08 04435           I - Gastgewerbe                                                          2021-04                9         176.274,22     596.571,29      176.274,22 Alle Beträge in Euro.
73

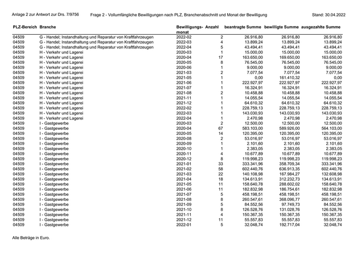
Anlage 2 zur Antwort zur Drs. 7/9756        Frage 2 - Vollumfängliche Bewilligungen nach PLZ, Branchenabschnitt und Monat der Bewilligung             Stand: 30.04.2022 PLZ-Bereich Branche                                                                       Bewilligungs- Anzahl beantragte Summe bewilligte Summe ausgezahlte Summe monat 04435           I - Gastgewerbe                                                           2021-05                6         101.201,97     101.201,97      101.201,97 04435           I - Gastgewerbe                                                           2021-06                5         489.068,04     511.861,05      489.068,04 04435           I - Gastgewerbe                                                           2021-07                6         280.862,82     280.862,82      280.862,82 04435           I - Gastgewerbe                                                           2021-08                1            5.882,76      5.882,76         5.882,76 04435           I - Gastgewerbe                                                           2021-09                1                0,00      8.499,57             0,00 04435           I - Gastgewerbe                                                           2021-10                1            7.750,00      7.750,00         7.750,00 04435           I - Gastgewerbe                                                           2021-11                1            6.286,50      6.286,50         6.286,50 04435           I - Gastgewerbe                                                           2022-01                3           22.514,53     22.514,53        22.514,53 04435           I - Gastgewerbe                                                           2022-02                5           70.516,13     70.516,13        70.516,13 04435           I - Gastgewerbe                                                           2022-03                4           68.453,46     68.453,46        68.453,46 04435           I - Gastgewerbe                                                           2022-04                2           18.421,15     18.421,15        18.421,15 04435           J - Information und Kommunikation                                         2020-03                1            9.000,00      9.000,00         9.000,00 04435           J - Information und Kommunikation                                         2020-04                5           33.500,00     33.500,00        33.500,00 04435           J - Information und Kommunikation                                         2020-05                3           13.200,00     13.200,00        13.200,00 04435           J - Information und Kommunikation                                         2021-04                1            7.500,00      7.500,00         7.500,00 04435           J - Information und Kommunikation                                         2021-05                1            7.500,00      7.500,00         7.500,00 04435           K - Erbringung von Finanz- und Versicherungsdienstleistungen              2020-04              12            89.780,00     98.780,00        86.780,00 04435           K - Erbringung von Finanz- und Versicherungsdienstleistungen              2020-05                1            4.500,00      4.500,00             0,00 04435           K - Erbringung von Finanz- und Versicherungsdienstleistungen              2020-06                1            5.000,00      5.000,00         5.000,00 04435           L - Grundstücks- und Wohnungswesen                                        2020-04                7           46.251,00     55.251,00        37.251,00 04435           L - Grundstücks- und Wohnungswesen                                        2020-05                2           18.000,00     18.000,00        18.000,00 04435           M - Erbringung von freiberuflichen, wissenschaftlichen und technischen    2020-04              18          146.128,00     146.128,00      138.319,75 Dienstleistungen 04435           M - Erbringung von freiberuflichen, wissenschaftlichen und technischen    2020-05                3           13.767,00     13.767,00        13.767,00 Dienstleistungen 04435           M - Erbringung von freiberuflichen, wissenschaftlichen und technischen    2021-04                1            1.565,76      1.565,76         1.565,76 Dienstleistungen 04435           M - Erbringung von freiberuflichen, wissenschaftlichen und technischen    2021-05                1            5.888,81      5.888,81         5.888,81 Dienstleistungen 04435           M - Erbringung von freiberuflichen, wissenschaftlichen und technischen    2021-06                1            2.792,84      2.792,84         2.792,84 Dienstleistungen 04435           M - Erbringung von freiberuflichen, wissenschaftlichen und technischen    2021-07                1           94.782,81     94.782,81        94.782,81 Dienstleistungen 04435           M - Erbringung von freiberuflichen, wissenschaftlichen und technischen    2021-08                1            7.875,00      7.875,00         7.875,00 Dienstleistungen 04435           M - Erbringung von freiberuflichen, wissenschaftlichen und technischen    2021-09                1            6.932,00      6.932,00         6.932,00 Dienstleistungen Alle Beträge in Euro.
74

Anlage 2 zur Antwort zur Drs. 7/9756        Frage 2 - Vollumfängliche Bewilligungen nach PLZ, Branchenabschnitt und Monat der Bewilligung             Stand: 30.04.2022 PLZ-Bereich Branche                                                                       Bewilligungs- Anzahl beantragte Summe bewilligte Summe ausgezahlte Summe monat 04435           M - Erbringung von freiberuflichen, wissenschaftlichen und technischen    2021-10                2            5.532,88      5.532,88         5.532,88 Dienstleistungen 04435           M - Erbringung von freiberuflichen, wissenschaftlichen und technischen    2022-02                2            9.500,00      9.500,00         9.500,00 Dienstleistungen 04435           M - Erbringung von freiberuflichen, wissenschaftlichen und technischen    2022-03                1           80.157,27     80.157,27        80.157,27 Dienstleistungen 04435           N - Erbringung von sonstigen wirtschaftlichen Dienstleistungen            2020-03                1            9.000,00      9.000,00         9.000,00 04435           N - Erbringung von sonstigen wirtschaftlichen Dienstleistungen            2020-04              24          212.273,00     212.273,00      210.155,00 04435           N - Erbringung von sonstigen wirtschaftlichen Dienstleistungen            2020-05                5           40.659,00     40.659,00        40.659,00 04435           N - Erbringung von sonstigen wirtschaftlichen Dienstleistungen            2020-06                2            8.000,00     17.000,00        17.000,00 04435           N - Erbringung von sonstigen wirtschaftlichen Dienstleistungen            2020-08                1           53.532,51     53.532,51        53.532,51 04435           N - Erbringung von sonstigen wirtschaftlichen Dienstleistungen            2020-09                1            3.445,20      3.445,20         3.445,20 04435           N - Erbringung von sonstigen wirtschaftlichen Dienstleistungen            2020-10                1           59.496,16     59.496,16        59.496,16 04435           N - Erbringung von sonstigen wirtschaftlichen Dienstleistungen            2020-12                1            6.024,60      6.024,60         6.024,60 04435           N - Erbringung von sonstigen wirtschaftlichen Dienstleistungen            2021-01                3           42.185,33     42.185,33        42.185,33 04435           N - Erbringung von sonstigen wirtschaftlichen Dienstleistungen            2021-02                1            6.211,80      6.211,80         6.211,80 04435           N - Erbringung von sonstigen wirtschaftlichen Dienstleistungen            2021-03                3           58.355,43     58.355,43        58.355,43 04435           N - Erbringung von sonstigen wirtschaftlichen Dienstleistungen            2021-05                1           20.694,33     20.694,33        20.694,33 04435           N - Erbringung von sonstigen wirtschaftlichen Dienstleistungen            2021-06                1           43.348,16     43.348,16        43.348,16 04435           N - Erbringung von sonstigen wirtschaftlichen Dienstleistungen            2021-08                1            8.991,71      8.991,71         8.991,71 04435           N - Erbringung von sonstigen wirtschaftlichen Dienstleistungen            2021-09                2           23.823,02     23.823,02        23.823,02 04435           N - Erbringung von sonstigen wirtschaftlichen Dienstleistungen            2021-12                1         110.478,15     110.478,15      110.478,15 04435           N - Erbringung von sonstigen wirtschaftlichen Dienstleistungen            2022-01                1            7.572,74      7.572,74         7.572,74 04435           N - Erbringung von sonstigen wirtschaftlichen Dienstleistungen            2022-03                1            4.440,12      4.440,12         4.440,12 04435           N - Erbringung von sonstigen wirtschaftlichen Dienstleistungen            2022-04                2           58.665,79     58.665,79        58.665,79 04435           P - Erziehung und Unterricht                                              2020-04                4           40.500,00     40.500,00        40.500,00 04435           P - Erziehung und Unterricht                                              2020-05                2           13.667,12     13.667,12        13.667,12 04435           P - Erziehung und Unterricht                                              2020-06                1            9.000,00      9.000,00         9.000,00 04435           P - Erziehung und Unterricht                                              2020-09                1              505,35        505,35           505,35 04435           P - Erziehung und Unterricht                                              2020-12                4           65.760,69     65.760,69        65.760,69 04435           P - Erziehung und Unterricht                                              2021-01                4            9.269,64      9.269,64         9.269,64 04435           P - Erziehung und Unterricht                                              2021-02                4           82.150,76     82.150,76        82.150,76 04435           P - Erziehung und Unterricht                                              2021-03                5           12.386,54     22.992,32        12.386,54 04435           P - Erziehung und Unterricht                                              2021-04                1            5.934,33      5.934,33         5.934,33 04435           P - Erziehung und Unterricht                                              2021-05                1           16.671,73     16.671,73        16.671,73 04435           P - Erziehung und Unterricht                                              2021-06                1            3.509,82      3.509,82         3.509,82 04435           P - Erziehung und Unterricht                                              2021-07                1         113.770,02     113.770,02      113.770,02 04435           P - Erziehung und Unterricht                                              2021-08                1            4.647,75      4.647,75         4.647,75 Alle Beträge in Euro.
75

Anlage 2 zur Antwort zur Drs. 7/9756       Frage 2 - Vollumfängliche Bewilligungen nach PLZ, Branchenabschnitt und Monat der Bewilligung             Stand: 30.04.2022 PLZ-Bereich Branche                                                                      Bewilligungs- Anzahl beantragte Summe bewilligte Summe ausgezahlte Summe monat 04435           P - Erziehung und Unterricht                                             2021-09                1            7.875,00      7.875,00         7.875,00 04435           P - Erziehung und Unterricht                                             2021-12                1         146.572,62     146.572,62      146.572,62 04435           P - Erziehung und Unterricht                                             2022-01                1            4.750,00      4.750,00         4.750,00 04435           P - Erziehung und Unterricht                                             2022-02                1            2.306,99      2.306,99         2.306,99 04435           P - Erziehung und Unterricht                                             2022-04                1            4.750,00      4.750,00         4.750,00 04435           Q - Gesundheits- und Sozialwesen                                         2020-04                8           68.021,00     68.021,00        68.021,00 04435           Q - Gesundheits- und Sozialwesen                                         2020-05                1            5.761,00      5.761,00         5.761,00 04435           Q - Gesundheits- und Sozialwesen                                         2020-11                1              655,49        655,49           655,49 04435           Q - Gesundheits- und Sozialwesen                                         2021-01                1              719,79        719,79           719,79 04435           Q - Gesundheits- und Sozialwesen                                         2021-02                1            2.825,01      2.825,01         2.825,01 04435           R - Kunst, Unterhaltung und Erholung                                     2020-03                2           18.000,00     18.000,00        18.000,00 04435           R - Kunst, Unterhaltung und Erholung                                     2020-04              12            99.000,00     99.000,00        99.000,00 04435           R - Kunst, Unterhaltung und Erholung                                     2020-05                3           20.000,00     20.000,00        20.000,00 04435           R - Kunst, Unterhaltung und Erholung                                     2020-09                6           27.483,97     27.483,97        27.483,97 04435           R - Kunst, Unterhaltung und Erholung                                     2020-10                2           17.596,49     17.596,49        17.596,49 04435           R - Kunst, Unterhaltung und Erholung                                     2020-11                2            3.426,43      3.426,43         3.426,43 04435           R - Kunst, Unterhaltung und Erholung                                     2020-12                3           56.778,77     56.778,77        56.778,77 04435           R - Kunst, Unterhaltung und Erholung                                     2021-01              10            56.426,05     56.426,05        56.426,05 04435           R - Kunst, Unterhaltung und Erholung                                     2021-02              17          193.877,16     193.877,16      193.877,16 04435           R - Kunst, Unterhaltung und Erholung                                     2021-03              10          344.382,10     344.382,10      344.382,10 04435           R - Kunst, Unterhaltung und Erholung                                     2021-04                3            5.261,75     54.257,75         5.261,75 04435           R - Kunst, Unterhaltung und Erholung                                     2021-05                1           78.433,91     78.433,91        78.433,91 04435           R - Kunst, Unterhaltung und Erholung                                     2021-06                7           99.223,39    519.244,52        99.223,39 04435           R - Kunst, Unterhaltung und Erholung                                     2021-07                4         861.193,07     861.193,07      861.193,07 04435           R - Kunst, Unterhaltung und Erholung                                     2021-08                3         128.774,37     128.774,37      128.774,37 04435           R - Kunst, Unterhaltung und Erholung                                     2021-09                2           11.705,63     11.705,63        11.705,63 04435           R - Kunst, Unterhaltung und Erholung                                     2021-10                2         178.475,00     178.475,00      178.475,00 04435           R - Kunst, Unterhaltung und Erholung                                     2021-11                1           29.145,34     29.145,34        29.145,34 04435           R - Kunst, Unterhaltung und Erholung                                     2021-12                3            6.707,63      6.707,63         6.707,63 04435           R - Kunst, Unterhaltung und Erholung                                     2022-01                4           70.536,05     70.536,05        70.536,05 04435           R - Kunst, Unterhaltung und Erholung                                     2022-02                2           30.902,64     30.902,64        30.902,64 04435           R - Kunst, Unterhaltung und Erholung                                     2022-03                7           27.866,45     27.866,45        27.866,45 04435           R - Kunst, Unterhaltung und Erholung                                     2022-04                2           13.807,88     13.807,88        13.807,88 04435           S - Erbringung von sonstigen Dienstleistungen                            2020-04              20          123.604,79     123.604,79      114.604,79 04435           S - Erbringung von sonstigen Dienstleistungen                            2020-05                3           15.000,00     15.000,00        15.000,00 04435           S - Erbringung von sonstigen Dienstleistungen                            2020-06                1            5.000,00      5.000,00         5.000,00 04435           S - Erbringung von sonstigen Dienstleistungen                            2020-10                1            1.551,60      1.551,60         1.551,60 04435           S - Erbringung von sonstigen Dienstleistungen                            2020-11                1            4.244,15      4.244,15         4.244,15 Alle Beträge in Euro.
76

Anlage 2 zur Antwort zur Drs. 7/9756        Frage 2 - Vollumfängliche Bewilligungen nach PLZ, Branchenabschnitt und Monat der Bewilligung             Stand: 30.04.2022 PLZ-Bereich Branche                                                                       Bewilligungs- Anzahl beantragte Summe bewilligte Summe ausgezahlte Summe monat 04435           S - Erbringung von sonstigen Dienstleistungen                             2020-12                3            2.093,85      2.807,19         2.093,85 04435           S - Erbringung von sonstigen Dienstleistungen                             2021-01                8           14.947,11     14.947,11        14.947,11 04435           S - Erbringung von sonstigen Dienstleistungen                             2021-02              11            36.871,68     36.871,68        36.871,68 04435           S - Erbringung von sonstigen Dienstleistungen                             2021-03                6           24.326,80     24.326,80        24.326,80 04435           S - Erbringung von sonstigen Dienstleistungen                             2021-04                3           25.787,82     46.785,45        25.787,82 04435           S - Erbringung von sonstigen Dienstleistungen                             2021-05                3           15.360,72     15.360,72         7.860,72 04435           S - Erbringung von sonstigen Dienstleistungen                             2021-06                2            8.534,35      8.534,35         8.534,35 04435           S - Erbringung von sonstigen Dienstleistungen                             2021-07                2            5.019,54      5.019,54         5.019,54 04435           S - Erbringung von sonstigen Dienstleistungen                             2021-08                2           33.445,89     33.445,89        33.445,89 04435           S - Erbringung von sonstigen Dienstleistungen                             2021-09                3           36.178,10     36.178,10        36.178,10 04435           S - Erbringung von sonstigen Dienstleistungen                             2021-10                2            5.441,27      5.441,27         5.441,27 04435           S - Erbringung von sonstigen Dienstleistungen                             2021-11                2            8.111,00      8.111,00         8.111,00 04435           S - Erbringung von sonstigen Dienstleistungen                             2021-12                1            4.500,00      4.500,00         4.500,00 04435           S - Erbringung von sonstigen Dienstleistungen                             2022-01                1            3.646,88      3.646,88         3.646,88 04435           S - Erbringung von sonstigen Dienstleistungen                             2022-02                1            3.611,00      3.611,00         3.611,00 04435           S - Erbringung von sonstigen Dienstleistungen                             2022-03                5           16.869,17     16.869,17        16.869,17 04435           S - Erbringung von sonstigen Dienstleistungen                             2022-04                1            2.625,16      2.625,16         2.625,16 04435           x - Sonstige                                                              2021-03                2           13.424,75     13.424,75        13.424,75 04435           x - Sonstige                                                              2021-04                4           27.431,81     27.431,81        27.431,81 04435           x - Sonstige                                                              2021-05                2           13.955,91     13.955,91        13.955,91 04509           A - Land- und Forstwirtschaft, Fischerei                                  2020-04              11            91.337,00     91.337,00        91.337,00 04509           A - Land- und Forstwirtschaft, Fischerei                                  2020-05                3           27.000,00     27.000,00        27.000,00 04509           A - Land- und Forstwirtschaft, Fischerei                                  2020-06                1            9.000,00      9.000,00         9.000,00 04509           A - Land- und Forstwirtschaft, Fischerei                                  2022-03                1         208.328,60     208.328,60      208.328,60 04509           C - Verarbeitendes Gewerbe                                                2020-04              24          195.650,00     195.650,00      192.050,00 04509           C - Verarbeitendes Gewerbe                                                2020-05                5           37.388,00     37.388,00        37.388,00 04509           C - Verarbeitendes Gewerbe                                                2020-06                2           10.200,00     10.200,00        10.200,00 04509           C - Verarbeitendes Gewerbe                                                2021-01                1            4.321,78      4.321,78         4.321,78 04509           C - Verarbeitendes Gewerbe                                                2021-02                1            7.500,00      7.500,00         7.500,00 04509           C - Verarbeitendes Gewerbe                                                2021-03                1            6.700,38      6.700,38         6.700,38 04509           C - Verarbeitendes Gewerbe                                                2021-04                1           11.006,27     11.006,27        11.006,27 04509           C - Verarbeitendes Gewerbe                                                2021-07                1           11.644,83     11.644,83        11.644,83 04509           C - Verarbeitendes Gewerbe                                                2021-08                3           34.301,60     34.301,60        34.301,60 04509           C - Verarbeitendes Gewerbe                                                2021-09                1                0,00      1.893,72             0,00 04509           C - Verarbeitendes Gewerbe                                                2021-11                1           18.337,68     18.337,68        18.337,68 04509           C - Verarbeitendes Gewerbe                                                2022-02                1            6.044,42      6.044,42         6.044,42 04509           C - Verarbeitendes Gewerbe                                                2022-03                2           22.118,32     22.118,32        22.118,32 04509           C - Verarbeitendes Gewerbe                                                2022-04                1            4.263,30      4.263,30         4.263,30 Alle Beträge in Euro.
77

Anlage 2 zur Antwort zur Drs. 7/9756       Frage 2 - Vollumfängliche Bewilligungen nach PLZ, Branchenabschnitt und Monat der Bewilligung             Stand: 30.04.2022 PLZ-Bereich Branche                                                                      Bewilligungs- Anzahl beantragte Summe bewilligte Summe ausgezahlte Summe monat 04509           D - Energieversorgung                                                    2020-04                1            9.000,00      9.000,00         9.000,00 04509           E - Wasserversorgung; Abwasser- und Abfallentsorgung und Beseitigung     2020-04                2           18.000,00     18.000,00        18.000,00 von Umweltverschmutzungen 04509           F - Baugewerbe                                                           2020-04              59          496.975,00     496.975,00      459.475,00 04509           F - Baugewerbe                                                           2020-05              13          119.000,00     123.000,00      119.000,00 04509           F - Baugewerbe                                                           2020-06                5           38.500,00     38.500,00        38.500,00 04509           F - Baugewerbe                                                           2020-09                2            2.339,60      2.339,60         2.339,60 04509           F - Baugewerbe                                                           2020-12                1            1.757,50      1.757,50         1.757,50 04509           F - Baugewerbe                                                           2021-02                3           15.553,22     15.553,22        15.553,22 04509           F - Baugewerbe                                                           2021-05                3           14.114,88     14.114,88        14.114,88 04509           F - Baugewerbe                                                           2021-07                3           40.680,18     40.680,18        40.680,18 04509           F - Baugewerbe                                                           2021-09                2            5.834,00      5.834,00         5.834,00 04509           F - Baugewerbe                                                           2021-10                1            6.782,94      6.782,94         6.782,94 04509           F - Baugewerbe                                                           2021-11                1            3.697,90      3.697,90         3.697,90 04509           F - Baugewerbe                                                           2021-12                3           13.500,00     13.500,00        13.500,00 04509           F - Baugewerbe                                                           2022-01                3           11.787,40     11.787,40        11.787,40 04509           F - Baugewerbe                                                           2022-02                1           12.276,15     12.276,15        12.276,15 04509           F - Baugewerbe                                                           2022-03                3           22.528,24     22.528,24        22.528,24 04509           G - Handel; Instandhaltung und Reparatur von Kraftfahrzeugen             2020-04              97          836.352,42     836.352,42      825.310,17 04509           G - Handel; Instandhaltung und Reparatur von Kraftfahrzeugen             2020-05              13          106.000,00     106.000,00      104.294,00 04509           G - Handel; Instandhaltung und Reparatur von Kraftfahrzeugen             2020-06                4           23.300,00     23.300,00        23.300,00 04509           G - Handel; Instandhaltung und Reparatur von Kraftfahrzeugen             2020-08                1            3.738,42      3.738,42         3.738,42 04509           G - Handel; Instandhaltung und Reparatur von Kraftfahrzeugen             2020-09                1            1.335,29      1.335,29         1.335,29 04509           G - Handel; Instandhaltung und Reparatur von Kraftfahrzeugen             2020-10                1            3.000,00      3.000,00         3.000,00 04509           G - Handel; Instandhaltung und Reparatur von Kraftfahrzeugen             2020-12                1            2.895,63      2.895,63         2.895,63 04509           G - Handel; Instandhaltung und Reparatur von Kraftfahrzeugen             2021-01              10            38.004,46     38.004,46        38.004,46 04509           G - Handel; Instandhaltung und Reparatur von Kraftfahrzeugen             2021-02              10            66.854,91     66.854,91        66.854,91 04509           G - Handel; Instandhaltung und Reparatur von Kraftfahrzeugen             2021-03                9           89.158,14     95.948,76        89.158,14 04509           G - Handel; Instandhaltung und Reparatur von Kraftfahrzeugen             2021-04                6           70.967,39     70.967,39        70.967,39 04509           G - Handel; Instandhaltung und Reparatur von Kraftfahrzeugen             2021-05                2            8.467,85      8.467,85         8.467,85 04509           G - Handel; Instandhaltung und Reparatur von Kraftfahrzeugen             2021-06                6           40.968,48    105.401,06        40.968,48 04509           G - Handel; Instandhaltung und Reparatur von Kraftfahrzeugen             2021-07              11          156.654,90     156.654,90      156.654,90 04509           G - Handel; Instandhaltung und Reparatur von Kraftfahrzeugen             2021-08                8         189.879,80     189.879,80      189.879,80 04509           G - Handel; Instandhaltung und Reparatur von Kraftfahrzeugen             2021-09                1              701,38        701,38           701,38 04509           G - Handel; Instandhaltung und Reparatur von Kraftfahrzeugen             2021-10                4           12.104,27     12.104,27        12.104,27 04509           G - Handel; Instandhaltung und Reparatur von Kraftfahrzeugen             2021-11                3           16.750,00     16.750,00        16.750,00 04509           G - Handel; Instandhaltung und Reparatur von Kraftfahrzeugen             2021-12                4           41.929,89     41.929,89        41.929,89 04509           G - Handel; Instandhaltung und Reparatur von Kraftfahrzeugen             2022-01                4           14.029,98     14.029,98        14.029,98 Alle Beträge in Euro.
78

Anlage 2 zur Antwort zur Drs. 7/9756       Frage 2 - Vollumfängliche Bewilligungen nach PLZ, Branchenabschnitt und Monat der Bewilligung             Stand: 30.04.2022 PLZ-Bereich Branche                                                                      Bewilligungs- Anzahl beantragte Summe bewilligte Summe ausgezahlte Summe monat 04509           G - Handel; Instandhaltung und Reparatur von Kraftfahrzeugen             2022-02                2           26.916,80     26.916,80        26.916,80 04509           G - Handel; Instandhaltung und Reparatur von Kraftfahrzeugen             2022-03                4           13.899,24     13.899,24        13.899,24 04509           G - Handel; Instandhaltung und Reparatur von Kraftfahrzeugen             2022-04                5           43.494,41     43.494,41        43.494,41 04509           H - Verkehr und Lagerei                                                  2020-03                1           15.000,00     15.000,00        15.000,00 04509           H - Verkehr und Lagerei                                                  2020-04              17          163.650,00     169.650,00      163.650,00 04509           H - Verkehr und Lagerei                                                  2020-05                8           76.545,00     76.545,00        76.545,00 04509           H - Verkehr und Lagerei                                                  2020-06                1            9.000,00      9.000,00         9.000,00 04509           H - Verkehr und Lagerei                                                  2021-03                2            7.077,54      7.077,54         7.077,54 04509           H - Verkehr und Lagerei                                                  2021-05                1                0,00    161.410,32             0,00 04509           H - Verkehr und Lagerei                                                  2021-06                1         222.927,97     222.927,97      222.927,97 04509           H - Verkehr und Lagerei                                                  2021-07                1           16.324,91     16.324,91        16.324,91 04509           H - Verkehr und Lagerei                                                  2021-08                2           10.458,88     10.458,88        10.458,88 04509           H - Verkehr und Lagerei                                                  2021-11                1           14.055,54     14.055,54        14.055,54 04509           H - Verkehr und Lagerei                                                  2021-12                1           64.610,32     64.610,32        64.610,32 04509           H - Verkehr und Lagerei                                                  2022-02                1         228.759,13     228.759,13      228.759,13 04509           H - Verkehr und Lagerei                                                  2022-03                1         143.030,93     143.030,93      143.030,93 04509           H - Verkehr und Lagerei                                                  2022-04                1            2.470,98      2.470,98         2.470,98 04509           I - Gastgewerbe                                                          2020-03                2           12.500,00     12.500,00        12.500,00 04509           I - Gastgewerbe                                                          2020-04              67          583.103,00     589.926,00      564.103,00 04509           I - Gastgewerbe                                                          2020-05              14          120.395,00     120.395,00      120.395,00 04509           I - Gastgewerbe                                                          2020-08                2           53.016,97     53.016,97        53.016,97 04509           I - Gastgewerbe                                                          2020-09                1            2.101,60      2.101,60         2.101,60 04509           I - Gastgewerbe                                                          2020-10                1            2.383,05      2.383,05         2.383,05 04509           I - Gastgewerbe                                                          2020-11                4           10.677,89     10.677,89        10.677,89 04509           I - Gastgewerbe                                                          2020-12                8         119.998,23     119.998,23      119.998,23 04509           I - Gastgewerbe                                                          2021-01              33          333.341,96     358.709,34      333.341,96 04509           I - Gastgewerbe                                                          2021-02              58          602.440,76     636.913,35      602.440,76 04509           I - Gastgewerbe                                                          2021-03              22          140.108,98     167.984,27      132.608,98 04509           I - Gastgewerbe                                                          2021-04              18          134.613,91     312.232,73      134.613,91 04509           I - Gastgewerbe                                                          2021-05              11          158.640,78     288.602,02      158.640,78 04509           I - Gastgewerbe                                                          2021-06              11          182.832,98     186.754,61      182.832,98 04509           I - Gastgewerbe                                                          2021-07                5         458.198,51     458.198,51      458.198,51 04509           I - Gastgewerbe                                                          2021-08                8         260.547,61     368.096,77      260.547,61 04509           I - Gastgewerbe                                                          2021-09                5           84.552,56     97.749,73        84.552,56 04509           I - Gastgewerbe                                                          2021-10                8         126.528,76     131.028,76      126.528,76 04509           I - Gastgewerbe                                                          2021-11                4         150.367,35     150.367,35      150.367,35 04509           I - Gastgewerbe                                                          2021-12              11            55.557,83     55.557,83        55.557,83 04509           I - Gastgewerbe                                                          2022-01                5           32.048,74    192.717,04        32.048,74 Alle Beträge in Euro.
79

Anlage 2 zur Antwort zur Drs. 7/9756        Frage 2 - Vollumfängliche Bewilligungen nach PLZ, Branchenabschnitt und Monat der Bewilligung             Stand: 30.04.2022 PLZ-Bereich Branche                                                                       Bewilligungs- Anzahl beantragte Summe bewilligte Summe ausgezahlte Summe monat 04509           I - Gastgewerbe                                                           2022-02              13          406.668,21     411.168,21      406.668,21 04509           I - Gastgewerbe                                                           2022-03              17          182.522,09     182.522,09      182.522,09 04509           I - Gastgewerbe                                                           2022-04                7           30.619,30     30.619,30        30.619,30 04509           J - Information und Kommunikation                                         2020-04              11            79.050,00     79.050,00        76.199,65 04509           J - Information und Kommunikation                                         2021-02                1            4.250,01      4.250,01         4.250,01 04509           J - Information und Kommunikation                                         2021-03                1            7.500,00      7.500,00         7.500,00 04509           J - Information und Kommunikation                                         2021-07                1            7.875,00      7.875,00         7.875,00 04509           J - Information und Kommunikation                                         2021-10                1            4.750,00      4.750,00         4.750,00 04509           J - Information und Kommunikation                                         2022-03                1            4.750,00      4.750,00         4.750,00 04509           K - Erbringung von Finanz- und Versicherungsdienstleistungen              2020-03                2           13.000,00     13.000,00         8.000,00 04509           K - Erbringung von Finanz- und Versicherungsdienstleistungen              2020-04              16          104.120,00     104.120,00      104.120,00 04509           K - Erbringung von Finanz- und Versicherungsdienstleistungen              2020-05                4           27.900,00     27.900,00        27.900,00 04509           K - Erbringung von Finanz- und Versicherungsdienstleistungen              2020-12                1            1.251,37      1.251,37         1.251,37 04509           K - Erbringung von Finanz- und Versicherungsdienstleistungen              2021-01                2            3.205,48      3.205,48         3.205,48 04509           K - Erbringung von Finanz- und Versicherungsdienstleistungen              2021-02                2           14.000,01     14.000,01        14.000,01 04509           K - Erbringung von Finanz- und Versicherungsdienstleistungen              2021-04                1            6.510,48      6.510,48         6.510,48 04509           K - Erbringung von Finanz- und Versicherungsdienstleistungen              2021-06                1            9.797,52      9.797,52         9.797,52 04509           K - Erbringung von Finanz- und Versicherungsdienstleistungen              2021-08                2           12.000,00     12.000,00        12.000,00 04509           K - Erbringung von Finanz- und Versicherungsdienstleistungen              2021-10                2            7.750,01      7.750,01         7.750,01 04509           K - Erbringung von Finanz- und Versicherungsdienstleistungen              2021-11                1            4.372,50      4.372,50         4.372,50 04509           K - Erbringung von Finanz- und Versicherungsdienstleistungen              2021-12                2            7.622,51      7.622,51         7.622,51 04509           K - Erbringung von Finanz- und Versicherungsdienstleistungen              2022-01                2            7.750,01      7.750,01         7.750,01 04509           L - Grundstücks- und Wohnungswesen                                        2020-04                8           68.500,00     68.500,00        68.500,00 04509           L - Grundstücks- und Wohnungswesen                                        2020-05                1              801,68        801,68           801,68 04509           L - Grundstücks- und Wohnungswesen                                        2021-03                3           14.051,59     14.051,59        14.051,59 04509           L - Grundstücks- und Wohnungswesen                                        2021-05                2           20.068,56     20.068,56        20.068,56 04509           L - Grundstücks- und Wohnungswesen                                        2022-01                1            4.500,00      4.500,00         4.500,00 04509           M - Erbringung von freiberuflichen, wissenschaftlichen und technischen    2020-04              36          293.800,00     302.800,00      248.800,00 Dienstleistungen 04509           M - Erbringung von freiberuflichen, wissenschaftlichen und technischen    2020-05              10            73.350,00     73.350,00        64.350,00 Dienstleistungen 04509           M - Erbringung von freiberuflichen, wissenschaftlichen und technischen    2020-06                3           22.000,00     22.000,00        22.000,00 Dienstleistungen 04509           M - Erbringung von freiberuflichen, wissenschaftlichen und technischen    2020-08                1            3.000,00      3.000,00         3.000,00 Dienstleistungen 04509           M - Erbringung von freiberuflichen, wissenschaftlichen und technischen    2020-10                1           36.993,44     36.993,44        36.993,44 Dienstleistungen Alle Beträge in Euro.
80

Zur nächsten Seite