Corona-Zuschüsse seit 2020

/ 137
PDF herunterladen
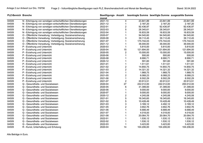
Anlage 2 zur Antwort zur Drs. 7/9756        Frage 2 - Vollumfängliche Bewilligungen nach PLZ, Branchenabschnitt und Monat der Bewilligung             Stand: 30.04.2022 PLZ-Bereich Branche                                                                       Bewilligungs- Anzahl beantragte Summe bewilligte Summe ausgezahlte Summe monat 04509           M - Erbringung von freiberuflichen, wissenschaftlichen und technischen    2020-11                1              851,40        851,40           851,40 Dienstleistungen 04509           M - Erbringung von freiberuflichen, wissenschaftlichen und technischen    2020-12                1           66.366,00     66.366,00        66.366,00 Dienstleistungen 04509           M - Erbringung von freiberuflichen, wissenschaftlichen und technischen    2021-01                2           17.691,29     17.691,29        17.691,29 Dienstleistungen 04509           M - Erbringung von freiberuflichen, wissenschaftlichen und technischen    2021-02                3         338.366,37     338.366,37      338.366,37 Dienstleistungen 04509           M - Erbringung von freiberuflichen, wissenschaftlichen und technischen    2021-04                4           51.821,49     51.821,49        51.821,49 Dienstleistungen 04509           M - Erbringung von freiberuflichen, wissenschaftlichen und technischen    2021-05                2           44.710,21     44.710,21        44.710,21 Dienstleistungen 04509           M - Erbringung von freiberuflichen, wissenschaftlichen und technischen    2021-07                3         311.003,86     517.782,46      311.003,86 Dienstleistungen 04509           M - Erbringung von freiberuflichen, wissenschaftlichen und technischen    2021-08                1            7.750,00      7.750,00         7.750,00 Dienstleistungen 04509           M - Erbringung von freiberuflichen, wissenschaftlichen und technischen    2021-10                1                0,00     19.540,99             0,00 Dienstleistungen 04509           M - Erbringung von freiberuflichen, wissenschaftlichen und technischen    2021-12                2           24.534,66     24.534,66        24.534,66 Dienstleistungen 04509           M - Erbringung von freiberuflichen, wissenschaftlichen und technischen    2022-01                2            2.001,94     51.819,54         2.001,94 Dienstleistungen 04509           M - Erbringung von freiberuflichen, wissenschaftlichen und technischen    2022-03                3         135.139,80     135.139,80      135.139,80 Dienstleistungen 04509           N - Erbringung von sonstigen wirtschaftlichen Dienstleistungen            2020-03                1            9.000,00      9.000,00         9.000,00 04509           N - Erbringung von sonstigen wirtschaftlichen Dienstleistungen            2020-04              40          287.682,00     287.682,00      282.378,44 04509           N - Erbringung von sonstigen wirtschaftlichen Dienstleistungen            2020-05                6           33.799,68     34.799,68        33.799,68 04509           N - Erbringung von sonstigen wirtschaftlichen Dienstleistungen            2020-06                3           27.000,00     27.000,00        27.000,00 04509           N - Erbringung von sonstigen wirtschaftlichen Dienstleistungen            2020-08                2         116.777,36     116.777,36      116.777,36 04509           N - Erbringung von sonstigen wirtschaftlichen Dienstleistungen            2020-09                3           19.599,96     19.599,96        19.599,96 04509           N - Erbringung von sonstigen wirtschaftlichen Dienstleistungen            2021-01                4           43.699,93     43.699,93        43.699,93 04509           N - Erbringung von sonstigen wirtschaftlichen Dienstleistungen            2021-02                9         127.748,83     127.748,83      127.748,83 04509           N - Erbringung von sonstigen wirtschaftlichen Dienstleistungen            2021-03                7         214.417,46     214.417,46      214.417,46 04509           N - Erbringung von sonstigen wirtschaftlichen Dienstleistungen            2021-04                4           36.208,16     36.208,16        36.208,16 04509           N - Erbringung von sonstigen wirtschaftlichen Dienstleistungen            2021-05                1            5.512,29      5.512,29         5.512,29 04509           N - Erbringung von sonstigen wirtschaftlichen Dienstleistungen            2021-07                1            4.500,00      4.500,00         4.500,00 04509           N - Erbringung von sonstigen wirtschaftlichen Dienstleistungen            2021-08                4         244.875,39     244.875,39      244.875,39 04509           N - Erbringung von sonstigen wirtschaftlichen Dienstleistungen            2021-09                1            2.187,20      2.187,20         2.187,20 Alle Beträge in Euro.
81

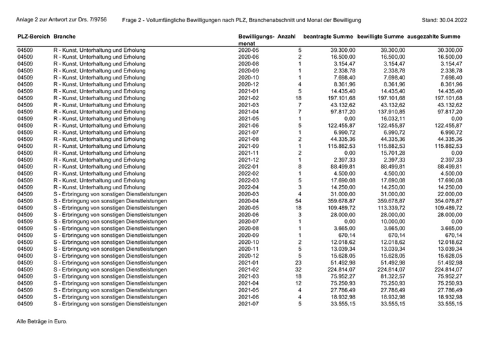
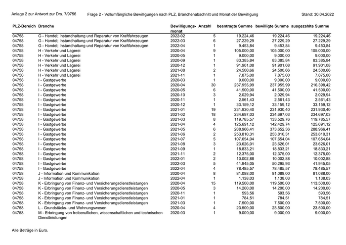
Anlage 2 zur Antwort zur Drs. 7/9756        Frage 2 - Vollumfängliche Bewilligungen nach PLZ, Branchenabschnitt und Monat der Bewilligung             Stand: 30.04.2022 PLZ-Bereich Branche                                                                       Bewilligungs- Anzahl beantragte Summe bewilligte Summe ausgezahlte Summe monat 04509           N - Erbringung von sonstigen wirtschaftlichen Dienstleistungen            2021-10                4           23.841,89     23.841,89        23.841,89 04509           N - Erbringung von sonstigen wirtschaftlichen Dienstleistungen            2021-12                1            2.187,20      2.187,20         2.187,20 04509           N - Erbringung von sonstigen wirtschaftlichen Dienstleistungen            2022-01                2           92.436,97     92.436,97        92.436,97 04509           N - Erbringung von sonstigen wirtschaftlichen Dienstleistungen            2022-03                5           28.345,61     28.345,61        28.345,61 04509           N - Erbringung von sonstigen wirtschaftlichen Dienstleistungen            2022-04                1           16.833,59     16.833,59        16.833,59 04509           O - Öffentliche Verwaltung, Verteidigung; Sozialversicherung              2020-07                1           94.545,60     94.545,60        94.545,60 04509           O - Öffentliche Verwaltung, Verteidigung; Sozialversicherung              2020-08                3           39.112,45     39.112,45        39.112,45 04509           O - Öffentliche Verwaltung, Verteidigung; Sozialversicherung              2021-07                1         175.744,03     175.744,03      175.744,03 04509           O - Öffentliche Verwaltung, Verteidigung; Sozialversicherung              2021-12                1           36.000,00     36.000,00        36.000,00 04509           P - Erziehung und Unterricht                                              2020-03                1            5.810,00      5.810,00         5.810,00 04509           P - Erziehung und Unterricht                                              2020-04              15          121.694,00     121.694,00      121.694,00 04509           P - Erziehung und Unterricht                                              2020-05                2           15.000,00     15.000,00        15.000,00 04509           P - Erziehung und Unterricht                                              2020-06                1              500,00        500,00           500,00 04509           P - Erziehung und Unterricht                                              2020-08                1            8.990,71      8.990,71         8.990,71 04509           P - Erziehung und Unterricht                                              2020-12                1              591,60        591,60           591,60 04509           P - Erziehung und Unterricht                                              2021-01                1            1.511,61      1.511,61         1.511,61 04509           P - Erziehung und Unterricht                                              2021-02                2           14.850,75     14.850,75        14.850,75 04509           P - Erziehung und Unterricht                                              2021-03                2           14.321,32     14.321,32        14.321,32 04509           P - Erziehung und Unterricht                                              2021-04                1            1.968,75      1.968,75         1.968,75 04509           P - Erziehung und Unterricht                                              2021-05                2            6.068,23      6.068,23         6.068,23 04509           P - Erziehung und Unterricht                                              2021-06                1            8.502,29      8.502,29         8.502,29 04509           P - Erziehung und Unterricht                                              2021-07                2           20.913,51     20.913,51        20.913,51 04509           Q - Gesundheits- und Sozialwesen                                          2020-04              27          242.012,00     242.012,00      200.012,00 04509           Q - Gesundheits- und Sozialwesen                                          2020-05                6           31.399,00     31.399,00        31.399,00 04509           Q - Gesundheits- und Sozialwesen                                          2020-06                1            9.000,00      9.000,00         9.000,00 04509           Q - Gesundheits- und Sozialwesen                                          2020-07                1            9.000,00      9.000,00         9.000,00 04509           Q - Gesundheits- und Sozialwesen                                          2020-12                2            4.245,08      4.245,08         4.245,08 04509           Q - Gesundheits- und Sozialwesen                                          2021-01                5           18.345,65     18.345,65        18.345,65 04509           Q - Gesundheits- und Sozialwesen                                          2021-02                5           10.428,49     10.428,49        10.428,49 04509           Q - Gesundheits- und Sozialwesen                                          2021-03                3            3.169,12      4.492,12         3.169,12 04509           Q - Gesundheits- und Sozialwesen                                          2021-05                2            3.902,76      3.902,76         3.902,76 04509           Q - Gesundheits- und Sozialwesen                                          2021-06                1            6.688,49      6.688,49         6.688,49 04509           Q - Gesundheits- und Sozialwesen                                          2021-07                1            4.018,00      4.018,00         4.018,00 04509           Q - Gesundheits- und Sozialwesen                                          2021-08                1           20.064,70     20.064,70        20.064,70 04509           Q - Gesundheits- und Sozialwesen                                          2022-01                1            1.530,12      1.530,12         1.530,12 04509           Q - Gesundheits- und Sozialwesen                                          2022-02                1            1.530,12      1.530,12         1.530,12 04509           Q - Gesundheits- und Sozialwesen                                          2022-03                1            3.423,00      3.423,00         3.423,00 04509           R - Kunst, Unterhaltung und Erholung                                      2020-04              14          104.206,00     104.206,00      104.206,00 Alle Beträge in Euro.
82

Anlage 2 zur Antwort zur Drs. 7/9756       Frage 2 - Vollumfängliche Bewilligungen nach PLZ, Branchenabschnitt und Monat der Bewilligung             Stand: 30.04.2022 PLZ-Bereich Branche                                                                      Bewilligungs- Anzahl beantragte Summe bewilligte Summe ausgezahlte Summe monat 04509           R - Kunst, Unterhaltung und Erholung                                     2020-05                5           39.300,00     39.300,00        30.300,00 04509           R - Kunst, Unterhaltung und Erholung                                     2020-06                2           16.500,00     16.500,00        16.500,00 04509           R - Kunst, Unterhaltung und Erholung                                     2020-08                1            3.154,47      3.154,47         3.154,47 04509           R - Kunst, Unterhaltung und Erholung                                     2020-09                1            2.338,78      2.338,78         2.338,78 04509           R - Kunst, Unterhaltung und Erholung                                     2020-10                1            7.698,40      7.698,40         7.698,40 04509           R - Kunst, Unterhaltung und Erholung                                     2020-12                4            8.361,96      8.361,96         8.361,96 04509           R - Kunst, Unterhaltung und Erholung                                     2021-01                5           14.435,40     14.435,40        14.435,40 04509           R - Kunst, Unterhaltung und Erholung                                     2021-02              18          197.101,68     197.101,68      197.101,68 04509           R - Kunst, Unterhaltung und Erholung                                     2021-03                7           43.132,62     43.132,62        43.132,62 04509           R - Kunst, Unterhaltung und Erholung                                     2021-04                7           97.817,20    137.910,85        97.817,20 04509           R - Kunst, Unterhaltung und Erholung                                     2021-05                1                0,00     16.032,11             0,00 04509           R - Kunst, Unterhaltung und Erholung                                     2021-06                5         122.455,87     122.455,87      122.455,87 04509           R - Kunst, Unterhaltung und Erholung                                     2021-07                1            6.990,72      6.990,72         6.990,72 04509           R - Kunst, Unterhaltung und Erholung                                     2021-08                2           44.335,36     44.335,36        44.335,36 04509           R - Kunst, Unterhaltung und Erholung                                     2021-09                1         115.882,53     115.882,53      115.882,53 04509           R - Kunst, Unterhaltung und Erholung                                     2021-11                2                0,00     15.701,28             0,00 04509           R - Kunst, Unterhaltung und Erholung                                     2021-12                1            2.397,33      2.397,33         2.397,33 04509           R - Kunst, Unterhaltung und Erholung                                     2022-01                8           88.499,81     88.499,81        88.499,81 04509           R - Kunst, Unterhaltung und Erholung                                     2022-02                1            4.500,00      4.500,00         4.500,00 04509           R - Kunst, Unterhaltung und Erholung                                     2022-03                5           17.690,08     17.690,08        17.690,08 04509           R - Kunst, Unterhaltung und Erholung                                     2022-04                3           14.250,00     14.250,00        14.250,00 04509           S - Erbringung von sonstigen Dienstleistungen                            2020-03                4           31.000,00     31.000,00        22.000,00 04509           S - Erbringung von sonstigen Dienstleistungen                            2020-04              54          359.678,87     359.678,87      354.078,87 04509           S - Erbringung von sonstigen Dienstleistungen                            2020-05              18          109.489,72     113.339,72      109.489,72 04509           S - Erbringung von sonstigen Dienstleistungen                            2020-06                3           28.000,00     28.000,00        28.000,00 04509           S - Erbringung von sonstigen Dienstleistungen                            2020-07                1                0,00     10.000,00             0,00 04509           S - Erbringung von sonstigen Dienstleistungen                            2020-08                1            3.665,00      3.665,00         3.665,00 04509           S - Erbringung von sonstigen Dienstleistungen                            2020-09                1              670,14        670,14           670,14 04509           S - Erbringung von sonstigen Dienstleistungen                            2020-10                2           12.018,62     12.018,62        12.018,62 04509           S - Erbringung von sonstigen Dienstleistungen                            2020-11                5           13.039,34     13.039,34        13.039,34 04509           S - Erbringung von sonstigen Dienstleistungen                            2020-12                5           15.628,05     15.628,05        15.628,05 04509           S - Erbringung von sonstigen Dienstleistungen                            2021-01              23            51.492,98     51.492,98        51.492,98 04509           S - Erbringung von sonstigen Dienstleistungen                            2021-02              32          224.814,07     224.814,07      224.814,07 04509           S - Erbringung von sonstigen Dienstleistungen                            2021-03              18            75.952,27     81.322,57        75.952,27 04509           S - Erbringung von sonstigen Dienstleistungen                            2021-04              12            75.250,93     75.250,93        75.250,93 04509           S - Erbringung von sonstigen Dienstleistungen                            2021-05                4           27.786,49     27.786,49        27.786,49 04509           S - Erbringung von sonstigen Dienstleistungen                            2021-06                4           18.932,98     18.932,98        18.932,98 04509           S - Erbringung von sonstigen Dienstleistungen                            2021-07                5           33.555,15     33.555,15        33.555,15 Alle Beträge in Euro.
83

Anlage 2 zur Antwort zur Drs. 7/9756        Frage 2 - Vollumfängliche Bewilligungen nach PLZ, Branchenabschnitt und Monat der Bewilligung             Stand: 30.04.2022 PLZ-Bereich Branche                                                                       Bewilligungs- Anzahl beantragte Summe bewilligte Summe ausgezahlte Summe monat 04509           S - Erbringung von sonstigen Dienstleistungen                             2021-08                2           10.667,83     10.667,83        10.667,83 04509           S - Erbringung von sonstigen Dienstleistungen                             2021-09                1            6.434,91      6.434,91         6.434,91 04509           S - Erbringung von sonstigen Dienstleistungen                             2021-10                1              982,64        982,64           982,64 04509           S - Erbringung von sonstigen Dienstleistungen                             2021-11                3           75.891,68     75.891,68        75.891,68 04509           S - Erbringung von sonstigen Dienstleistungen                             2021-12                8         113.111,11     113.111,11      113.111,11 04509           S - Erbringung von sonstigen Dienstleistungen                             2022-01                2            5.064,37      5.064,37         5.064,37 04509           S - Erbringung von sonstigen Dienstleistungen                             2022-02              10            41.783,25     41.783,25        41.783,25 04509           S - Erbringung von sonstigen Dienstleistungen                             2022-03                4           15.165,26     15.165,26        15.165,26 04509           S - Erbringung von sonstigen Dienstleistungen                             2022-04                3           14.295,03     14.295,03        14.295,03 04509           T - Private Haushalte mit Hauspersonal; Herstellung von Waren und         2021-01                1              288,71        288,71           288,71 Erbringung von Dienstleistungen durch private Haushalte für den Eigenbedarf ohne ausgeprägten Schwerpunkt 04509           T - Private Haushalte mit Hauspersonal; Herstellung von Waren und         2021-03                2           15.435,00     15.435,00        15.435,00 Erbringung von Dienstleistungen durch private Haushalte für den Eigenbedarf ohne ausgeprägten Schwerpunkt 04509           x - Sonstige                                                              2021-03                3           19.165,01     19.165,01        19.165,01 04509           x - Sonstige                                                              2021-04                9           56.718,28     56.718,28        56.718,28 04509           x - Sonstige                                                              2021-05                1            7.875,00      7.875,00         7.875,00 04519           A - Land- und Forstwirtschaft, Fischerei                                  2021-10                1           46.890,73     46.890,73        39.588,78 04519           C - Verarbeitendes Gewerbe                                                2020-04                6           60.000,00     60.000,00        60.000,00 04519           C - Verarbeitendes Gewerbe                                                2020-05                2           14.000,00     14.000,00        10.998,11 04519           C - Verarbeitendes Gewerbe                                                2020-06                1           15.000,00     15.000,00        15.000,00 04519           C - Verarbeitendes Gewerbe                                                2021-03                1              971,42        971,42           971,42 04519           C - Verarbeitendes Gewerbe                                                2022-03                1            4.500,00      4.500,00         4.500,00 04519           F - Baugewerbe                                                            2020-04              10            78.605,00     78.605,00        69.605,00 04519           F - Baugewerbe                                                            2020-05                1            9.000,00      9.000,00         9.000,00 04519           F - Baugewerbe                                                            2020-06                2            8.400,00      8.400,00         8.400,00 04519           F - Baugewerbe                                                            2021-04                1            7.500,00      7.500,00         7.500,00 04519           F - Baugewerbe                                                            2021-07                1            7.500,00      7.500,00         7.500,00 04519           F - Baugewerbe                                                            2022-04                1            3.476,82      3.476,82         3.476,82 04519           G - Handel; Instandhaltung und Reparatur von Kraftfahrzeugen              2020-04              17          136.708,00     136.708,00      127.708,00 04519           G - Handel; Instandhaltung und Reparatur von Kraftfahrzeugen              2020-05                8           72.000,00     72.000,00        56.081,31 04519           G - Handel; Instandhaltung und Reparatur von Kraftfahrzeugen              2020-06                2           18.000,00     18.000,00        18.000,00 04519           G - Handel; Instandhaltung und Reparatur von Kraftfahrzeugen              2021-01                1           13.827,18     13.827,18        13.827,18 04519           G - Handel; Instandhaltung und Reparatur von Kraftfahrzeugen              2021-02                2            6.401,51      6.401,51         6.401,51 04519           G - Handel; Instandhaltung und Reparatur von Kraftfahrzeugen              2021-04                3            7.180,00      7.180,00         7.180,00 04519           G - Handel; Instandhaltung und Reparatur von Kraftfahrzeugen              2021-06                2           75.207,80     75.207,80        75.207,80 04519           G - Handel; Instandhaltung und Reparatur von Kraftfahrzeugen              2021-07                1            3.115,00      3.115,00         3.115,00 Alle Beträge in Euro.
84

Anlage 2 zur Antwort zur Drs. 7/9756        Frage 2 - Vollumfängliche Bewilligungen nach PLZ, Branchenabschnitt und Monat der Bewilligung             Stand: 30.04.2022 PLZ-Bereich Branche                                                                       Bewilligungs- Anzahl beantragte Summe bewilligte Summe ausgezahlte Summe monat 04519           G - Handel; Instandhaltung und Reparatur von Kraftfahrzeugen              2021-08                1            8.273,60      8.273,60         8.273,60 04519           G - Handel; Instandhaltung und Reparatur von Kraftfahrzeugen              2021-12                1           18.979,63     18.979,63        18.979,63 04519           G - Handel; Instandhaltung und Reparatur von Kraftfahrzeugen              2022-02                1            2.601,97      2.601,97         2.601,97 04519           G - Handel; Instandhaltung und Reparatur von Kraftfahrzeugen              2022-04                2           30.806,05     30.806,05        30.806,05 04519           H - Verkehr und Lagerei                                                   2020-04                1            5.000,00      5.000,00         5.000,00 04519           H - Verkehr und Lagerei                                                   2020-05                1            9.000,00      9.000,00         9.000,00 04519           I - Gastgewerbe                                                           2020-04              11            85.480,00     85.480,00        85.480,00 04519           I - Gastgewerbe                                                           2020-12                2            8.266,79      8.266,79         8.266,79 04519           I - Gastgewerbe                                                           2021-01                6         158.695,03     158.695,03      158.695,03 04519           I - Gastgewerbe                                                           2021-02                3           97.448,12     97.448,12        97.448,12 04519           I - Gastgewerbe                                                           2021-03                3           17.777,19     17.777,19        17.777,19 04519           I - Gastgewerbe                                                           2021-04                1            6.292,83      6.292,83         6.292,83 04519           I - Gastgewerbe                                                           2021-05                3           13.552,58     13.552,58        13.552,58 04519           I - Gastgewerbe                                                           2021-07                1                0,00     94.616,92             0,00 04519           I - Gastgewerbe                                                           2021-11                3         349.819,73     349.819,73      349.819,73 04519           I - Gastgewerbe                                                           2021-12                2           31.099,81     31.099,81        31.099,81 04519           I - Gastgewerbe                                                           2022-01                1            4.500,00      4.500,00         4.500,00 04519           I - Gastgewerbe                                                           2022-04                1         206.812,00     206.812,00      206.812,00 04519           J - Information und Kommunikation                                         2020-04                1            9.000,00      9.000,00         9.000,00 04519           K - Erbringung von Finanz- und Versicherungsdienstleistungen              2020-04                1            9.000,00      9.000,00         9.000,00 04519           K - Erbringung von Finanz- und Versicherungsdienstleistungen              2021-03                1            7.500,00      7.500,00         7.500,00 04519           K - Erbringung von Finanz- und Versicherungsdienstleistungen              2021-10                1            4.151,51      4.151,51         4.151,51 04519           K - Erbringung von Finanz- und Versicherungsdienstleistungen              2022-02                1            4.151,51      4.151,51         4.151,51 04519           L - Grundstücks- und Wohnungswesen                                        2020-04                4           28.993,50     28.993,50        28.993,50 04519           M - Erbringung von freiberuflichen, wissenschaftlichen und technischen    2020-04                7           48.940,00     48.940,00        39.940,00 Dienstleistungen 04519           M - Erbringung von freiberuflichen, wissenschaftlichen und technischen    2022-02                1            2.700,00      2.700,00         2.700,00 Dienstleistungen 04519           N - Erbringung von sonstigen wirtschaftlichen Dienstleistungen            2020-03                1            9.000,00      9.000,00         9.000,00 04519           N - Erbringung von sonstigen wirtschaftlichen Dienstleistungen            2020-04                8           49.154,00     49.154,00        49.154,00 04519           N - Erbringung von sonstigen wirtschaftlichen Dienstleistungen            2020-05                4           21.800,00     21.800,00        21.800,00 04519           N - Erbringung von sonstigen wirtschaftlichen Dienstleistungen            2020-06                1            7.500,00      7.500,00         7.500,00 04519           N - Erbringung von sonstigen wirtschaftlichen Dienstleistungen            2020-09                1           33.428,75     33.428,75        33.428,75 04519           N - Erbringung von sonstigen wirtschaftlichen Dienstleistungen            2020-12                1           30.345,56     30.345,56        30.345,56 04519           N - Erbringung von sonstigen wirtschaftlichen Dienstleistungen            2022-03                1            4.500,00      4.500,00         4.500,00 04519           O - Öffentliche Verwaltung, Verteidigung; Sozialversicherung              2020-08                1           11.510,40     11.510,40        11.510,40 04519           P - Erziehung und Unterricht                                              2020-04                2           16.500,00     16.500,00        16.500,00 04519           P - Erziehung und Unterricht                                              2020-12                1              842,53        842,53           842,53 Alle Beträge in Euro.
85

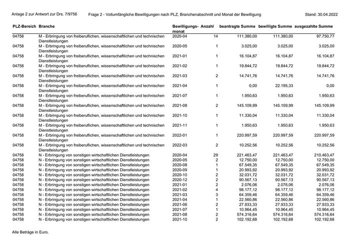
Anlage 2 zur Antwort zur Drs. 7/9756        Frage 2 - Vollumfängliche Bewilligungen nach PLZ, Branchenabschnitt und Monat der Bewilligung             Stand: 30.04.2022 PLZ-Bereich Branche                                                                       Bewilligungs- Anzahl beantragte Summe bewilligte Summe ausgezahlte Summe monat 04519           P - Erziehung und Unterricht                                              2021-01                1            2.893,35     2.893,35          2.893,35 04519           P - Erziehung und Unterricht                                              2021-03                1            7.500,00     7.500,00          7.500,00 04519           P - Erziehung und Unterricht                                              2021-06                1            3.784,75     3.784,75          3.784,75 04519           Q - Gesundheits- und Sozialwesen                                          2020-04                3           27.500,00    27.500,00         27.500,00 04519           Q - Gesundheits- und Sozialwesen                                          2020-12                1            1.015,93     1.015,93          1.015,93 04519           Q - Gesundheits- und Sozialwesen                                          2021-01                1            1.086,00     1.086,00          1.086,00 04519           Q - Gesundheits- und Sozialwesen                                          2021-02                1            4.262,25     4.262,25          4.262,25 04519           Q - Gesundheits- und Sozialwesen                                          2021-07                1            2.131,13     2.131,13          2.131,13 04519           Q - Gesundheits- und Sozialwesen                                          2021-11                1            2.131,13     2.131,13          2.131,13 04519           Q - Gesundheits- und Sozialwesen                                          2022-02                1            2.131,13     2.131,13          2.131,13 04519           R - Kunst, Unterhaltung und Erholung                                      2020-04                2           12.300,00    12.300,00         12.300,00 04519           R - Kunst, Unterhaltung und Erholung                                      2020-12                1              483,92       483,92            483,92 04519           R - Kunst, Unterhaltung und Erholung                                      2021-01                1            1.591,50     1.591,50          1.591,50 04519           R - Kunst, Unterhaltung und Erholung                                      2021-02                1            5.364,99     5.364,99          5.364,99 04519           R - Kunst, Unterhaltung und Erholung                                      2021-03                1              517,30       517,30            517,30 04519           R - Kunst, Unterhaltung und Erholung                                      2021-04                1            7.909,12     7.909,12          7.909,12 04519           R - Kunst, Unterhaltung und Erholung                                      2021-07                1            2.029,95     2.029,95          2.029,95 04519           R - Kunst, Unterhaltung und Erholung                                      2022-01                1            2.682,50     2.682,50          2.682,50 04519           R - Kunst, Unterhaltung und Erholung                                      2022-02                2            9.500,00     9.500,00          9.500,00 04519           S - Erbringung von sonstigen Dienstleistungen                             2020-04              10            70.700,00    70.700,00         61.700,00 04519           S - Erbringung von sonstigen Dienstleistungen                             2020-05                1            1.200,00     1.200,00          1.200,00 04519           S - Erbringung von sonstigen Dienstleistungen                             2020-11                2            1.631,37     1.631,37          1.631,37 04519           S - Erbringung von sonstigen Dienstleistungen                             2020-12                1            1.705,93     1.705,93          1.705,93 04519           S - Erbringung von sonstigen Dienstleistungen                             2021-01                6           17.013,81    17.013,81         17.013,81 04519           S - Erbringung von sonstigen Dienstleistungen                             2021-02                7           26.233,83    26.233,83         26.233,83 04519           S - Erbringung von sonstigen Dienstleistungen                             2021-03                2           11.772,00    11.772,00         11.772,00 04519           S - Erbringung von sonstigen Dienstleistungen                             2021-04                1            5.400,24     5.400,24          5.400,24 04519           S - Erbringung von sonstigen Dienstleistungen                             2021-05                1           52.258,47    52.258,47         52.258,47 04519           S - Erbringung von sonstigen Dienstleistungen                             2021-10                1            3.520,27     3.520,27          3.520,27 04519           S - Erbringung von sonstigen Dienstleistungen                             2021-11                2            5.282,87     5.282,87          5.282,87 04519           S - Erbringung von sonstigen Dienstleistungen                             2021-12                1            2.136,00     2.136,00          2.136,00 04519           S - Erbringung von sonstigen Dienstleistungen                             2022-01                2            5.282,87     5.282,87          5.282,87 04519           x - Sonstige                                                              2021-04                1            7.720,00     7.720,00          7.720,00 04758           A - Land- und Forstwirtschaft, Fischerei                                  2020-04                6           60.000,00    60.000,00         60.000,00 04758           A - Land- und Forstwirtschaft, Fischerei                                  2020-05                1            9.000,00     9.000,00          9.000,00 04758           A - Land- und Forstwirtschaft, Fischerei                                  2021-05                1              539,65       539,65            539,65 04758           C - Verarbeitendes Gewerbe                                                2020-04              10            99.000,00    99.000,00         57.000,00 04758           C - Verarbeitendes Gewerbe                                                2020-05                3           33.000,00    33.000,00         33.000,00 Alle Beträge in Euro.
86

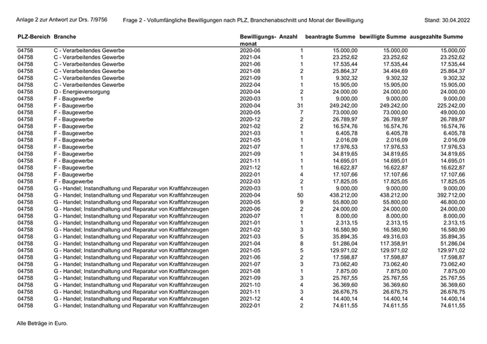
Anlage 2 zur Antwort zur Drs. 7/9756       Frage 2 - Vollumfängliche Bewilligungen nach PLZ, Branchenabschnitt und Monat der Bewilligung             Stand: 30.04.2022 PLZ-Bereich Branche                                                                      Bewilligungs- Anzahl beantragte Summe bewilligte Summe ausgezahlte Summe monat 04758           C - Verarbeitendes Gewerbe                                               2020-06                1           15.000,00     15.000,00        15.000,00 04758           C - Verarbeitendes Gewerbe                                               2021-04                1           23.252,62     23.252,62        23.252,62 04758           C - Verarbeitendes Gewerbe                                               2021-06                1           17.535,44     17.535,44        17.535,44 04758           C - Verarbeitendes Gewerbe                                               2021-08                2           25.864,37     34.494,69        25.864,37 04758           C - Verarbeitendes Gewerbe                                               2021-09                1            9.302,32      9.302,32         9.302,32 04758           C - Verarbeitendes Gewerbe                                               2022-04                1           15.905,00     15.905,00        15.905,00 04758           D - Energieversorgung                                                    2020-04                2           24.000,00     24.000,00        24.000,00 04758           F - Baugewerbe                                                           2020-03                1            9.000,00      9.000,00         9.000,00 04758           F - Baugewerbe                                                           2020-04              31          249.242,00     249.242,00      225.242,00 04758           F - Baugewerbe                                                           2020-05                7           73.000,00     73.000,00        49.000,00 04758           F - Baugewerbe                                                           2020-12                2           26.789,97     26.789,97        26.789,97 04758           F - Baugewerbe                                                           2021-02                2           16.574,76     16.574,76        16.574,76 04758           F - Baugewerbe                                                           2021-03                1            6.405,78      6.405,78         6.405,78 04758           F - Baugewerbe                                                           2021-05                1            2.016,09      2.016,09         2.016,09 04758           F - Baugewerbe                                                           2021-07                1           17.976,53     17.976,53        17.976,53 04758           F - Baugewerbe                                                           2021-09                1           34.819,65     34.819,65        34.819,65 04758           F - Baugewerbe                                                           2021-11                1           14.695,01     14.695,01        14.695,01 04758           F - Baugewerbe                                                           2021-12                1           16.622,87     16.622,87        16.622,87 04758           F - Baugewerbe                                                           2022-01                4           17.107,66     17.107,66        17.107,66 04758           F - Baugewerbe                                                           2022-03                2           17.825,05     17.825,05        17.825,05 04758           G - Handel; Instandhaltung und Reparatur von Kraftfahrzeugen             2020-03                1            9.000,00      9.000,00         9.000,00 04758           G - Handel; Instandhaltung und Reparatur von Kraftfahrzeugen             2020-04              50          438.212,00     438.212,00      392.712,00 04758           G - Handel; Instandhaltung und Reparatur von Kraftfahrzeugen             2020-05                9           55.800,00     55.800,00        46.800,00 04758           G - Handel; Instandhaltung und Reparatur von Kraftfahrzeugen             2020-06                2           24.000,00     24.000,00        24.000,00 04758           G - Handel; Instandhaltung und Reparatur von Kraftfahrzeugen             2020-07                1            8.000,00      8.000,00         8.000,00 04758           G - Handel; Instandhaltung und Reparatur von Kraftfahrzeugen             2021-01                1            2.313,15      2.313,15         2.313,15 04758           G - Handel; Instandhaltung und Reparatur von Kraftfahrzeugen             2021-02                3           16.580,90     16.580,90        16.580,90 04758           G - Handel; Instandhaltung und Reparatur von Kraftfahrzeugen             2021-03                5           35.894,35     49.316,03        35.894,35 04758           G - Handel; Instandhaltung und Reparatur von Kraftfahrzeugen             2021-04                8           51.286,04    117.358,91        51.286,04 04758           G - Handel; Instandhaltung und Reparatur von Kraftfahrzeugen             2021-05                5         129.971,02     129.971,02      129.971,02 04758           G - Handel; Instandhaltung und Reparatur von Kraftfahrzeugen             2021-06                2           17.598,87     17.598,87        17.598,87 04758           G - Handel; Instandhaltung und Reparatur von Kraftfahrzeugen             2021-07                3           73.062,40     73.062,40        73.062,40 04758           G - Handel; Instandhaltung und Reparatur von Kraftfahrzeugen             2021-08                1            7.875,00      7.875,00         7.875,00 04758           G - Handel; Instandhaltung und Reparatur von Kraftfahrzeugen             2021-09                3           25.767,55     25.767,55        25.767,55 04758           G - Handel; Instandhaltung und Reparatur von Kraftfahrzeugen             2021-10                4           36.369,60     36.369,60        36.369,60 04758           G - Handel; Instandhaltung und Reparatur von Kraftfahrzeugen             2021-11                3           26.676,75     26.676,75        26.676,75 04758           G - Handel; Instandhaltung und Reparatur von Kraftfahrzeugen             2021-12                4           14.400,14     14.400,14        14.400,14 04758           G - Handel; Instandhaltung und Reparatur von Kraftfahrzeugen             2022-01                2           74.611,55     74.611,55        74.611,55 Alle Beträge in Euro.
87

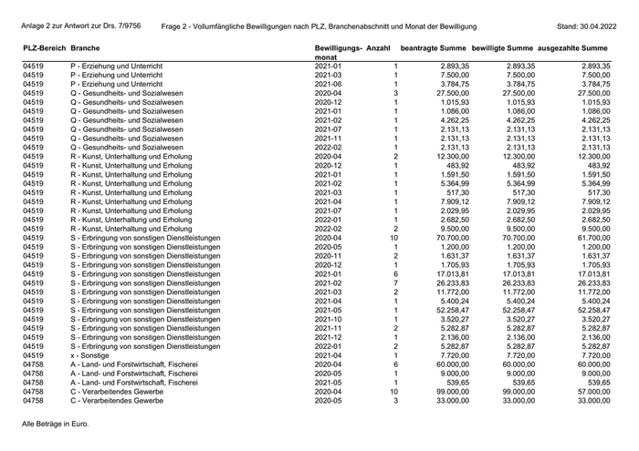
Anlage 2 zur Antwort zur Drs. 7/9756        Frage 2 - Vollumfängliche Bewilligungen nach PLZ, Branchenabschnitt und Monat der Bewilligung             Stand: 30.04.2022 PLZ-Bereich Branche                                                                       Bewilligungs- Anzahl beantragte Summe bewilligte Summe ausgezahlte Summe monat 04758           G - Handel; Instandhaltung und Reparatur von Kraftfahrzeugen              2022-02                5           19.224,46     19.224,46        19.224,46 04758           G - Handel; Instandhaltung und Reparatur von Kraftfahrzeugen              2022-03                6           27.229,29     27.229,29        27.229,29 04758           G - Handel; Instandhaltung und Reparatur von Kraftfahrzeugen              2022-04                1            9.453,84      9.453,84         9.453,84 04758           H - Verkehr und Lagerei                                                   2020-04                9         105.000,00     105.000,00      105.000,00 04758           H - Verkehr und Lagerei                                                   2020-05                1            9.000,00      9.000,00         9.000,00 04758           H - Verkehr und Lagerei                                                   2020-09                1           83.385,84     83.385,84        83.385,84 04758           H - Verkehr und Lagerei                                                   2020-12                1           91.901,08     91.901,08        91.901,08 04758           H - Verkehr und Lagerei                                                   2021-08                2           24.500,66     24.500,66        24.500,66 04758           H - Verkehr und Lagerei                                                   2021-11                1            7.875,00      7.875,00         7.875,00 04758           I - Gastgewerbe                                                           2020-03                1            9.000,00      9.000,00         9.000,00 04758           I - Gastgewerbe                                                           2020-04              30          237.955,99     237.955,99      216.398,42 04758           I - Gastgewerbe                                                           2020-05                6           41.500,00     41.500,00        41.500,00 04758           I - Gastgewerbe                                                           2020-10                3            2.029,94      2.029,94         2.029,94 04758           I - Gastgewerbe                                                           2020-11                1            2.561,43      2.561,43         2.561,43 04758           I - Gastgewerbe                                                           2020-12                1           33.159,12     33.159,12        33.159,12 04758           I - Gastgewerbe                                                           2021-01              19          231.930,40     231.930,40      231.930,40 04758           I - Gastgewerbe                                                           2021-02              18          234.697,03     234.697,03      234.697,03 04758           I - Gastgewerbe                                                           2021-03                8         119.785,57     133.529,76      119.785,57 04758           I - Gastgewerbe                                                           2021-04                4         125.691,12     142.429,74      125.691,12 04758           I - Gastgewerbe                                                           2021-05                6         288.966,41     373.652,36      288.966,41 04758           I - Gastgewerbe                                                           2021-06                2         253.810,31     253.810,31      253.810,31 04758           I - Gastgewerbe                                                           2021-07                5         107.654,04     107.654,04      107.654,04 04758           I - Gastgewerbe                                                           2021-08                3           23.626,01     23.626,01        23.626,01 04758           I - Gastgewerbe                                                           2021-09                1           18.833,21     18.833,21        18.833,21 04758           I - Gastgewerbe                                                           2021-11                2           12.375,00     12.375,00        12.375,00 04758           I - Gastgewerbe                                                           2022-01                2           10.002,88     10.002,88        10.002,88 04758           I - Gastgewerbe                                                           2022-03                5           41.945,05     50.295,93        41.945,05 04758           I - Gastgewerbe                                                           2022-04                4           78.485,57     78.485,57        78.485,57 04758           J - Information und Kommunikation                                         2020-04                8           81.088,00     81.088,00        81.088,00 04758           J - Information und Kommunikation                                         2022-04                1            1.138,03      1.138,03         1.138,03 04758           K - Erbringung von Finanz- und Versicherungsdienstleistungen              2020-04              15          119.500,00     119.500,00      113.500,00 04758           K - Erbringung von Finanz- und Versicherungsdienstleistungen              2020-05                3           14.200,00     14.200,00        14.200,00 04758           K - Erbringung von Finanz- und Versicherungsdienstleistungen              2020-11                1              593,56        593,56           593,56 04758           K - Erbringung von Finanz- und Versicherungsdienstleistungen              2021-01                1              784,51        784,51           784,51 04758           K - Erbringung von Finanz- und Versicherungsdienstleistungen              2021-03                1            7.500,00      7.500,00         7.500,00 04758           L - Grundstücks- und Wohnungswesen                                        2020-04                4           23.500,00     23.500,00        23.500,00 04758           M - Erbringung von freiberuflichen, wissenschaftlichen und technischen    2020-03                1            9.000,00      9.000,00         9.000,00 Dienstleistungen Alle Beträge in Euro.
88

Anlage 2 zur Antwort zur Drs. 7/9756        Frage 2 - Vollumfängliche Bewilligungen nach PLZ, Branchenabschnitt und Monat der Bewilligung             Stand: 30.04.2022 PLZ-Bereich Branche                                                                       Bewilligungs- Anzahl beantragte Summe bewilligte Summe ausgezahlte Summe monat 04758           M - Erbringung von freiberuflichen, wissenschaftlichen und technischen    2020-04              14          111.380,00     111.380,00        97.750,77 Dienstleistungen 04758           M - Erbringung von freiberuflichen, wissenschaftlichen und technischen    2020-05                1            3.025,00      3.025,00         3.025,00 Dienstleistungen 04758           M - Erbringung von freiberuflichen, wissenschaftlichen und technischen    2021-01                1           16.104,87     16.104,87        16.104,87 Dienstleistungen 04758           M - Erbringung von freiberuflichen, wissenschaftlichen und technischen    2021-02                1           19.844,72     19.844,72        19.844,72 Dienstleistungen 04758           M - Erbringung von freiberuflichen, wissenschaftlichen und technischen    2021-03                2           14.741,76     14.741,76        14.741,76 Dienstleistungen 04758           M - Erbringung von freiberuflichen, wissenschaftlichen und technischen    2021-04                1                0,00     22.195,33             0,00 Dienstleistungen 04758           M - Erbringung von freiberuflichen, wissenschaftlichen und technischen    2021-07                1            1.950,63      1.950,63         1.950,63 Dienstleistungen 04758           M - Erbringung von freiberuflichen, wissenschaftlichen und technischen    2021-08                2         145.109,99     145.109,99      145.109,99 Dienstleistungen 04758           M - Erbringung von freiberuflichen, wissenschaftlichen und technischen    2021-10                1           11.330,04     11.330,04        11.330,04 Dienstleistungen 04758           M - Erbringung von freiberuflichen, wissenschaftlichen und technischen    2021-11                1            1.950,63      1.950,63         1.950,63 Dienstleistungen 04758           M - Erbringung von freiberuflichen, wissenschaftlichen und technischen    2022-01                1         220.997,59     220.997,59      220.997,59 Dienstleistungen 04758           M - Erbringung von freiberuflichen, wissenschaftlichen und technischen    2022-03                2           10.252,56     10.252,56        10.252,56 Dienstleistungen 04758           N - Erbringung von sonstigen wirtschaftlichen Dienstleistungen            2020-04              29          221.463,47     221.463,47      210.463,47 04758           N - Erbringung von sonstigen wirtschaftlichen Dienstleistungen            2020-05                2           12.750,00     12.750,00        12.750,00 04758           N - Erbringung von sonstigen wirtschaftlichen Dienstleistungen            2020-08                1           67.549,35     67.549,35        67.549,35 04758           N - Erbringung von sonstigen wirtschaftlichen Dienstleistungen            2020-09                1           20.993,92     20.993,92        20.993,92 04758           N - Erbringung von sonstigen wirtschaftlichen Dienstleistungen            2020-10                2           32.031,72     32.031,72        32.031,72 04758           N - Erbringung von sonstigen wirtschaftlichen Dienstleistungen            2020-12                2           90.567,13     90.567,13        90.567,13 04758           N - Erbringung von sonstigen wirtschaftlichen Dienstleistungen            2021-01                2            2.076,06      2.076,06         2.076,06 04758           N - Erbringung von sonstigen wirtschaftlichen Dienstleistungen            2021-02                4           98.177,12     98.177,12        98.177,12 04758           N - Erbringung von sonstigen wirtschaftlichen Dienstleistungen            2021-03                3           64.359,46     64.359,46        64.359,46 04758           N - Erbringung von sonstigen wirtschaftlichen Dienstleistungen            2021-04                1           22.560,86     22.560,86        22.560,86 04758           N - Erbringung von sonstigen wirtschaftlichen Dienstleistungen            2021-06                2           27.933,33     27.933,33        27.933,33 04758           N - Erbringung von sonstigen wirtschaftlichen Dienstleistungen            2021-07                1           10.964,45     10.964,45        10.964,45 04758           N - Erbringung von sonstigen wirtschaftlichen Dienstleistungen            2021-08                2         574.316,64     574.316,64      574.316,64 04758           N - Erbringung von sonstigen wirtschaftlichen Dienstleistungen            2021-10                2         102.192,68     102.192,68      102.192,68 Alle Beträge in Euro.
89

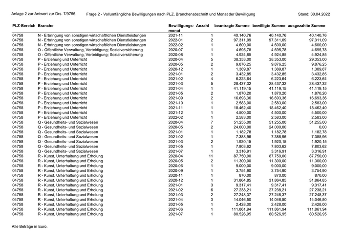
Anlage 2 zur Antwort zur Drs. 7/9756        Frage 2 - Vollumfängliche Bewilligungen nach PLZ, Branchenabschnitt und Monat der Bewilligung             Stand: 30.04.2022 PLZ-Bereich Branche                                                                       Bewilligungs- Anzahl beantragte Summe bewilligte Summe ausgezahlte Summe monat 04758           N - Erbringung von sonstigen wirtschaftlichen Dienstleistungen            2021-11                1           40.140,76     40.140,76        40.140,76 04758           N - Erbringung von sonstigen wirtschaftlichen Dienstleistungen            2022-01                2           97.311,09     97.311,09        97.311,09 04758           N - Erbringung von sonstigen wirtschaftlichen Dienstleistungen            2022-02                1            4.600,00      4.600,00         4.600,00 04758           O - Öffentliche Verwaltung, Verteidigung; Sozialversicherung              2020-07                1            4.695,78      4.695,78         4.695,78 04758           O - Öffentliche Verwaltung, Verteidigung; Sozialversicherung              2020-08                1            4.924,85      4.924,85         4.924,85 04758           P - Erziehung und Unterricht                                              2020-04                5           38.353,00     38.353,00        29.353,00 04758           P - Erziehung und Unterricht                                              2020-05                2            9.876,25      9.876,25         9.876,25 04758           P - Erziehung und Unterricht                                              2020-12                1            1.389,87      1.389,87         1.389,87 04758           P - Erziehung und Unterricht                                              2021-01                2            3.432,85      3.432,85         3.432,85 04758           P - Erziehung und Unterricht                                              2021-02                4            6.223,64      6.223,64         6.223,64 04758           P - Erziehung und Unterricht                                              2021-03                5           28.437,32     28.437,32        28.437,32 04758           P - Erziehung und Unterricht                                              2021-04                1           41.119,15     41.119,15        41.119,15 04758           P - Erziehung und Unterricht                                              2021-05                2            1.870,20      1.870,20         1.870,20 04758           P - Erziehung und Unterricht                                              2021-09                2           16.693,36     16.693,36        16.693,36 04758           P - Erziehung und Unterricht                                              2021-10                1            2.583,00      2.583,00         2.583,00 04758           P - Erziehung und Unterricht                                              2021-11                1           18.462,40     18.462,40        18.462,40 04758           P - Erziehung und Unterricht                                              2021-12                1            4.500,00      4.500,00         4.500,00 04758           P - Erziehung und Unterricht                                              2022-02                1            2.583,00      2.583,00         2.583,00 04758           Q - Gesundheits- und Sozialwesen                                          2020-04                7           51.255,00     51.255,00        51.255,00 04758           Q - Gesundheits- und Sozialwesen                                          2020-05                2           24.000,00     24.000,00             0,00 04758           Q - Gesundheits- und Sozialwesen                                          2021-01                1            1.182,78      1.182,78         1.182,78 04758           Q - Gesundheits- und Sozialwesen                                          2021-02                1            7.388,96      7.388,96         7.388,96 04758           Q - Gesundheits- und Sozialwesen                                          2021-03                2            1.920,15      1.920,15         1.920,15 04758           Q - Gesundheits- und Sozialwesen                                          2021-05                1            7.803,62      7.803,62         7.803,62 04758           Q - Gesundheits- und Sozialwesen                                          2021-07                1            3.316,91      3.316,91         3.316,91 04758           R - Kunst, Unterhaltung und Erholung                                      2020-04              11            87.750,00     87.750,00        87.750,00 04758           R - Kunst, Unterhaltung und Erholung                                      2020-05                2           11.300,00     11.300,00        11.300,00 04758           R - Kunst, Unterhaltung und Erholung                                      2020-06                1            9.000,00      9.000,00         9.000,00 04758           R - Kunst, Unterhaltung und Erholung                                      2020-09                1            3.754,90      3.754,90         3.754,90 04758           R - Kunst, Unterhaltung und Erholung                                      2020-11                1              870,00        870,00           870,00 04758           R - Kunst, Unterhaltung und Erholung                                      2020-12                1           31.864,85     31.864,85        31.864,85 04758           R - Kunst, Unterhaltung und Erholung                                      2021-01                3            9.317,41      9.317,41         9.317,41 04758           R - Kunst, Unterhaltung und Erholung                                      2021-02                6           27.238,21     27.238,21        27.238,21 04758           R - Kunst, Unterhaltung und Erholung                                      2021-03                2           27.248,37     27.248,37        27.248,37 04758           R - Kunst, Unterhaltung und Erholung                                      2021-04                3           14.046,50     14.046,50        14.046,50 04758           R - Kunst, Unterhaltung und Erholung                                      2021-05                1            2.428,00      2.428,00         2.428,00 04758           R - Kunst, Unterhaltung und Erholung                                      2021-06                1         111.861,94     111.861,94      111.861,94 04758           R - Kunst, Unterhaltung und Erholung                                      2021-07                1           80.526,95     80.526,95        80.526,95 Alle Beträge in Euro.
90

Zur nächsten Seite