bkamt-koaverhandlungen

Dieses Dokument ist Teil der Anfrage „Unterlagen zu Koalitionsverhandlungen zwischen SPD, Grüne und FDP

/ 406
PDF herunterladen
(Fachliche Zuständigkeit BMF) Dopplung                                     m   i t            Z   u 1          l' e f e r u n g                      B V e r           f G Wichtige Verfahren vor dem BVerfG - Noch nicht zugestellt Aktenzeichen          Kurz-Bescbreibuo2                                              Bemerkuo2 (z.B. Stand: weiteres Verfahren) Weitere Klagen beim          Verfassungsbeschwerde und Organstreitverfahren zum pandemic BVerfG zu                    emergency purchase programme (PEPP) der EZB; Eingang vom A oleibekau fprogrammen      BVerfG bestätigt, aber noch nicht zugeste llt der EZB Weitere Klagen beim          Hier ist unter anderem noch mit einem Organstreitverfahren der BVerfG zum                   AfD zu rechnen. Eigenmittelbeschluss- Ratifizierungsgesetz (NGEU) Verfahren zum                Stellungnahme des BMF wurde im Juni 2021 abgegeben             Bisher wurde der Bundesregierung das Verfahren 2 BvL Solidaritätszuschlag:                                                                       12/1 1 zugestellt und eine Stellungnahme abgegeben. 2 BvL 6/14 - (Normenkontrollantrag) 2 BvR 1421 / 19 (Verfassungsbeschwerde) 2 BvR 1505/20 Verfassungsbeschwerde der FDP-Fraktion vom 24. Aug ust 2020 Seite 4 von 19
285

(Fachliche Zuständigkeit BMF) Dopplung                                    m     i t           Z     u 1 i e f e r u n g                               B V e r f G Verfassungsbeschwerde        § 52 Abs. 2 Nr. 7 und N r. 24, § 56, § 63 Abs. 1 AO; des Attac Trägervereins      Attac wendet s ich gegen den Entzug der Gemeinnützigkeit. Das e.V. vom 25. Februar 202 1   Verfahren dürfte grundsätzliche Fragen des ( 1 BvR697/21)               Gemeinnützigkeitsrechts betreffen. Normenkontrollverfahren      Betrifft die Verfassungsmäßigkeit des§ 6a Abs. 3 Satz 3 EStG in Grundsätzliche Bedeutung im Anschluss an den Beschluss 2 BvL 22/ 17                 der im Streitjahr 2015 geltenden Fassung insoweit, als zur      des BVerfG vom 8. Juli 202 1 ( 1 BvR 2237/14, 1 BvR Ermittlung der Pensionsrückstellung ein Rechnungszinsfuß von    2422/ 17) zur Verzinsung von Steuernachforderungen 6 v. H. anzusetzen ist.                                         und Steuererstattungen ; dort hatte das BYerfG entschieden, dass§ 233a i. V . m § 238 Absatz I Satz I AO mit Art. 3 Abs. 1 GG unvereinbar ist, soweit der Zinsberechnung für Yerzinsungszeiträume ab dem 1. Januar 2014 ein Zinssatz von 0,5 Prozent für j eden Monat (d.h. 6 % pro Jahr) zugrunde gelegt wird; dass das bisherige Recht für bis einschließlich in das Jahr 201 8 fallende Yerzinsungszeiträume weiter anwendbar ist; dass der Gesetzgeber bis 3 1. Juli 2022 eine verfassungsgemäße Neuregelung zu treffen hat. Verfassungsbeschwerden       § 22 Nr. 1 Satz 3 Buchst. a Dbuchst. aa EStG 2002;              Eine der beiden Verfassungsbeschwerden wird nach bzgl. einer behaupteten      § 22 N r. 1 Satz 3 Buchst. a DBuchst. aa, § 22 Nr. 1 Satz 3     Pressberichten vorn Bund der Steuerzahler unterstützt. Mehrfachbesteuerung          Buchst. a DBuchst. bb EStG 2009; von Renten :                 die Verfassungsbeschwerden richten s ich gegen die 2 BvR 1143/21 vom 29.        Entscheidungen des BFH vom 19. Mai 202 1; der BFH (Az. X R Juni 202 1; 2 BvR 1140/2 1   20/19; X R 33/ 19) hat zwar neue Berechnungsparameter vom 30. Juni 202 1           aufgestellt, wie die Mehrfachbesteuerung von Renten zu berechnen sei, bei den Klägern im Ergebnis jedoch keine Mehrfachbesteuerung der Renten festgestellt. Seite 5 von 19
286

)                                     ) (fachliche Zuständigkeit BMF) Direkte Steuern - Gesamtübersicht über allgemein bedeutsame BFH-Verfahren, denen das BMF im Geschäftsbereich der BFH-Geschäftsstelle z. T. beigetreten ist tli    . I'; ',•i.•<:··.·,---_, ,,'._ ,° ,.~,\ .<i":1:/.,t°:/<t?\"-~•~ -i<';-,'   . . . .                ..... , ::::  ' • . ·>: .•.··. '.,.,; ..•. . :, '. ·,; __ : ' . ·. . IR 59/12           Verfassungsmäßigkeit der Mindestgewinnbesteuerung, anhängig beim BVerfG unter 2 BvL 19/14, und Verfassungsbeschwerde - 2 BvR 2998/12 - IR 86/13           Verfassungsmäßigkeit des Wechsels von der in einem DBA vorgesehenen Freistellung zur Steueranrechnung (,,Treaty Override") für ausländische Einkünfte in § 50d Absatz 9 EStG (Vorlagebeschluss des BFH vom 20. August 2014 - I R 86/13 - Norrnenkontrollverfahren, Az. des BVerfG: 2 BvL 21/14). 1 R 4/13            Verfassungsmäßigkeit eines sog. Treaty Override bei Sondervergütungen nach§ 15 Abs. 1 Nr. 2 S. 1 EStG an Personengesellschafter im Ausland sowie Verfassungsmäßigkeit der Rückwirkung (Vorlagebeschluss des BFH vom 11.12.2013 - I R 4/13 - Normenkontrollverfahren, Az. des BVerfG: 2 BvL.15/14). Die Grundentscheidung zur Verfassungsmäßigkeit des Treaty Override wurde schon durch 2 BvL 1/12 vom 15. Dezember 2015 oositiv beantwortet. III R 13/17        Verfassungsmäßigkeit der Höhe des Kinderfreibetrags 2014. Die Frage ist dem Bundesverfassungsgericht vorgelegt worden (Niedersächsisches FG 2.12.2016, 7 K 83/16). Der BFH hat das Revisionsverfahren III R 13/17 deshalb bis zur Entscheidung des BVerfG ausgesetzt. IR 30/17           Kein Rückfall des Besteuerungsrechts nach § 50d Absatz 9 Satz 1 Nummer 2 EStG für nach DBA von der Steuer freizustellende Einkünfte, wenn die ausländischen Einkünfte nach den für unbeschränkt Steuerpflichtigen geltenden Tarifvorschriften des ausländischen Staates durch Berücksichtigung des dortigen Existenzminimums zu keiner Steuer führen. Verfahren wurde durch Beschluss vom 27.01.2021 bis zum Abschluss des beim BVerfG anhän<>i<>en Verfahrens 2 BvL 21/14 aus<!esetzt. I R40/19           Vorabentscheidunl!.sersuchen in der Rechtssache C-382/16 .Hornbach" zur Unionsrechtsmäßial<eit des 6 1 AStG I R48/17           Nichtberücksichtigung sog. finaler Betriebsstättenverluste I R49/17           Im Verfahren IR 32/18 hat der BFH dem EuGH ein Vorabentscheidungsersuchen zur Vereinbarkeit der deutschen Rechtslage (kein Abzug IR 17/16           finaler Verluste einer Freistellungsbetriebsstätte) mit dem Unionsrecht vorgelegt (EuGH-Az. C-538/20). Mit einer Entscheidung des EuGH IR 32/18           ist frühestens Ende 2021 zu rechnen. Seite 6 von 19
287

(Fachliche Zuständigkeit BMF) VIII R 4/18      Rentenzahlungen aus einem begünstigten Rentenversicherungsvertrag i. S. v. § 10 Absatz I Nummer 2 Buchstabe b Doppelbuchstabe cc EStG in der am 31. Dezember 2004 geltenden Fassung als Einkünfte aus Kapitalvermögen nach§ 20 Absatz 1 Nummer 6 EStG a. F. steuerfrei sind und nicht nach 6 22 Nummer I Satz 3 Buchsiabe a Donnelbuchstabe bb EStG mit dem Ertragsanteil zu besteuern sind. VIIIR 16/17      Höhe der Kinderfreibeträge (Streitjahr 2014), Anwendung des Splittingtarifs auf(verwitwete) Alleinerziehende, Kinderbetreuungskosten für ein Ferienlager_ . VIII R 32/20     Frage der Verfassungsmäßigkeit der Höhe der Kinderfreibeträge (Streitjahr 2017; Bezug: 2 BvL 3/17); Anwendung des Grundtarifs für (verwitwete) Alleinerziehende; Einkunftserzielungsabsicht bei Erstattungszinsen nach§ 233a AO; steuerliche Berücksichtigung diverser Werbun11:skosten bei den Einkünften nach § 19 EStG IR 33/17         EuGH-Verfahren C-537/20 (BFH-Vorlage 18.12.2019, IR 33/17); IR 1/20          Liegt in der Nichtanwendbarkeit der Steuerbefreiung des § 11 Abs. 1 Satz 2 InvStG auf ausländische Investmentvermögen kein Verstoß IR 2/20          gegen die Kapitalverkehrsfreiheit, da es bereits an der objektiven Vergleichbarkeit von inländischen und ausländischen Investmentvermögen fehlt? VIII R 1/20      In diesen V erfahren geht es um die grundsätzliche Frage, ob es bei Umsatzsteuervorauszahlungen mit Dauerfristverlängerung bei der VIII R25/20      Anwendung des § 11 Absatz 2 Satz 2 EStG allein auf die Zahlung innerhalb des Zehn-Tages-Zeitraums und nicht auf die Fälligkeit ankommt. VIII R 13/19     Anwendung der Steuerbefreiung gemäß § 3 Nummer 11 EStG für die Betreuung von bedürftigen Jugendlichen in einer unternehmerisch betriebenen sozialpädagogischen Einzelbetreuung im Rahmen der Jugendhilfe gemäß§ 27 in Verbindung mit den§§ 34, 35 bzw. 41 SGB VIII bzw. VIII R 37/19     Anwendung der Steuerbefreiung gemäß § 3 Nummer 11 EStG für Bezüge, die einer Pflegeperson von einem Träger der freien Jugendhilfe gezahlt werden VIIIR 11/18      Beschränkung des Verlustausgleichs bei Verlusten aus der Veräußerung von Aktien gemäß§ 20 Absatz 6 Satz 5 a.F. EStG (nach aktueller Fassung§ 20 Abs. 6 Satz 4 EStG); Vorlagebeschluss des BFH vom 17.11.2020, VIII R 11/18: Es wird eine Entscheidung des BVerfG darüber eingeholt, ob§ 20 Abs. 6 Satz 5 EStG i.d.F. des UntStRefG 2008 vom 14.08.2007 (BGBl I 2007, 1912) insoweit mit Art. 3 Abs. 1 GO vereinbar ist, als Verluste aus der Veräußerung von Aktien nur mit Gewinnen aus der Veräußerung von Aktien verrechnet werden dürfen. Das Verfahren VIII R 11 / I 8 wird ausgesetzt. IIR 17/21        Verfassungsrechtliche Zulässigkeit der Festsetzung von Erbschaftsteuer bei einem am 25.10.2016 eingetretenen Erbfall; Eintritt einer sog. II R 18/21       "Steuerpause" nach Ablauf der Weitergeltungsanordnung aus dem Urteil des Bundesverfassungsgerichts vom 17.12.2014 1 BvL 21/12 (BStBI. II 2015, S. 50), echte Rückwirkung des Gesetzes zur Anpassung des Erbschaft- und Schenkungsteuergesetzes an die Rechtsorechung des Bundesverfassungsgerichts vom 4.11.2016 (BGBJ I 2016. S. 2464. ErbStAnoG 2016) IV R 34/18       Gibt es ein strukturelles Vollzugsdefizit in bargeldintensiven Unternehmen? Mündliche Verhandlung war am 16. Seotember 2021. XIR44/19         Anwendbarkeit der Zinsschranke bei Zins-Swao-Aufwendungen: Aussetzun.,/Ruhen des Verfahrens (Beschluss vom 19.5.2021). JVR 16/17        Gehören zu den Zinserträgen im Sinne von § 4h Abs. 3 Sätze 3 und 4 EStG auch Erträge aus der erstmaligen Abzinsung unverzinslicher •Verbindlichkeiten?. VI R48/!8        Sind Mehraufwendungen für eine ärztlich verordnete glutenfreie Diätverpflegung zur Behandlung einer chronischen Stoffwechselstörung (hier: Zöliakie) als außemewöhnliche Belastun" abzugsfähig bzw. gemäß§ 33 Absatz 2 Satz 3 EStG (verfassungswidrig?) vom Abzug Seite 7 von 19 C                                                  C
288

)                                                ) (Fachliche Zuständigkeit BMF) ausgeschlossen? Ist es von Verfassungs wegen geboten, bei der einkommensteuerrechtlichen Berücksichtigung dieser Mehraufwendungen und von Krankheitskosten auf den Ansatz einer zumutbaren Belastung zu verzichten? X R 4/19         Strittig ist die einkommensteuerliche Berücksichtigung von Zahlungen zur "Wiederauffüllung" einer Rentenanwartschaft(§ 22 Nr. l S 3 Buchst a Donne!Buchst aa EStGl. VIRIS/19         Streitanhängig ist die Rechtsfrage, ob die Beschränkung der Absetzung "beihilfefiihiger" Aufwendungen bei Krankheit, die nicht durch das sozialhilferechtliche Versorgungsniveau abgedeckt sind, auf den Betrag, der die zumutbare Belastung(§ 33 Abs. 1 EStG) übersteigt, die übrü,en Steuernflichti<,en llellenüber öffentlichen Dienstnehmern in verfassungswidriger Weise benachteiligt. IR 8/19          Ist die Ausschüttung im Jahr 2011 einer luxemburgischen Investmentgesellschaft mit variablem Grundkapital (SICAV) an ihre alleinige deutsche Anlegerin (KGaA), die aus dem Erlös aus der Veräußerung von Zinsscheinen nach vorangegangenem Bondstripping gespeist ist, eine steuerbefreite Schachteldividende i. S. d. Art. 13 Abs. 2 LV. m. Art. 20 Abs. 2 Satz 1 und 3 DBA-Luxemburg 1958/2009) oder eine steuerneutrale Kapitalrückzahlung? (Hinweis: bei Annahme einer steuerfreien Schachteldividende würden bei diesem Gestaltungsmodell steuerwirksame Verluste aus der Rückgabe der Investmentanteile entstehen; bei Annahme einer steuerneutralen Kapitalrückzahlung nicht.) Gilt die Steuerbefreiung auch auf der Ebene der persönlich haftendenden Gesellschafterin !hier: GmbH & Co KG) der KGaA? IR 40/17         Die Parteien streiten unter anderem darüber, ob im Jahr 2002 auf der Ebene von Fonds mit in- und ausländischen Aktien realisierte Verluste bei der Rückgabe der Investmentanteile im Jahr 2005 steuermindernd zu berücksichtigen sind und ob steuermindernde Teilwertabschreibungen von Forderungen auf Rückübertragung darlehensweise übertragener Aktien anzuerkennen sind. XI R43/18        Vorlage an das BVerfG mit Beschluss vom 23. Oktober 2019; BFHhäh rückwirkende Anwendung des § 40a Abs. l Satz 2 KAGG auf im Mai 2003 erfolgte Veräußerungen von Anteilscheinen aus einem Wertnapier-Sondervermöllen für verfassungswidri" IV R 19/17       Gleichge]agerte verfassungsrechtliche Streitfta!le wie XI R 43/18 IR 6/20          Streitig ist die materiell-rechtliche Frage der außerbilanzieHen Einkommenskorrektur eines besitzzeitanteiligen Anleger-Aktiengewinns aus zwei Spezial-Sondervermögen in den Jahren 2003 und 2004 (§ 40a KAGG) und der damit anschließenden Frage der Korrekturmöglichkeit nach § 174 Absatz 4 AO. IR26/19          Streitige Rechtsfrage, ob „finale" Verluste einer ausländischen Tochtergesellschaft aufgrund einer unionsrechtskonformen Auslegung der 66 14. 17 KStG auch ohne GAV bzw. vernleichbare vertral!liche Regelungen mit inländischen Gewinnen zu verrechnen sind. II R 5/20        In dem Verfahren ist streitig, ob § 2 Abs. I Nr. 1 Satz 2 Buchst. b ErbStG - unbeschränkte Erbschaft- und Schenkungsteuerpflicht für deutsche Staatsangehörige, die sich nicht länger als fünf Jahre dauernd im Ausland aufgehalten haben, ohne im Inland einen Wohnsitz zu haben - verfassungs- und europarechtsgemäß ist; Verstoß !Zellen Art. 3 Abs. 1 GG und !Zellen Art. 63 AEUV. IR 12/20         Ist die Besteuerung von ausgeschütteten Altveräußerungsgewinnen (vor dem 1. Januar 2001 aufFondsebene realisierte Gewinne aus der Veräußerung von ausländischen Aktien nach § 43 Absatz 14 Satz 3 KAGG materiell verfassungswidrig? Ist die Regelung in formell verfassungswidri!ler Weise zustande gekommen, weil der Vermittlungsausschuss kein Gesetzesinitiativrecht besitzt? I R22/20         Erstattungsansprüche von Kapitalertragsteuern bei Aktienerwerbe über den Dividendenstichtacr soll. Cum/Ex-Geschäfte IR 54/19         In dem Verfahren geht es um die Anwendung von Verrechnungspreismethoden in § 1 Abs. 3 AStG und um Funktionsverlagerung. BMF ist dem V erfahren am 9.7.2020 beigetreten und hat die Stellun1rnahme Anfang Dezember 2020 an den BFH übersandt. X R 11/20 Seite 8 von 19
289

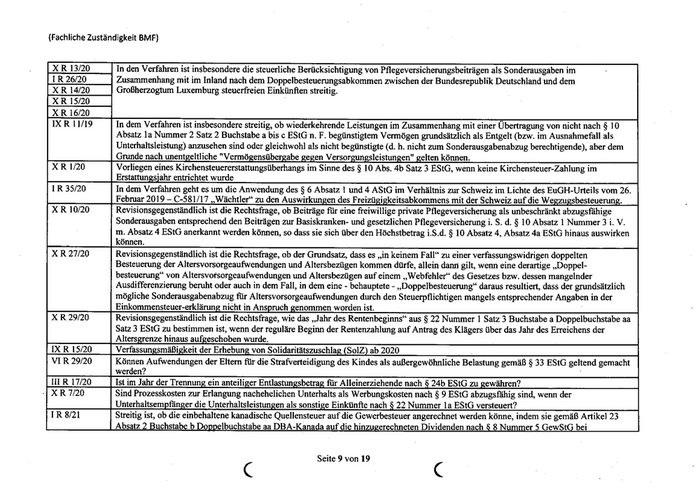
(fachliche Zuständigkeit BMF) XR 13/20          In den V erfahren ist insbesondere die steuerliche Berücksichtigung von Pflegeversicherungsbeiträgen als Sonderausgaben im IR 26/20          Zusammenhang mit im Inland nach dem Doppelbesteuerungsabkommen zwischen der Bundesrepublik Deutschland und dem X R 14/20         Großherzogtum Luxemburg steuerfreien Einkünften streitig. X R 15/20 X R 16/20 IXR 11/19         In dem Verfahren ist insbesondere streitig, ob wiederkehrende Leistungen im Zusammenhang mit einer Übertragung von nicht nach § I 0 Absatz Ja Nummer 2 Satz 2 Buchstabe a bis c EStG n. F. begünstigtem Vermögen grundsätzlich als Entgelt (bzw. im Ausnahmefall als Unterhaltsleistung) anzusehen sind oder gleichwohl als nicht begünstigte (d. h. nicht zum Sonderausgabenabzug berechtigende), aber dem Grunde nach unentgeltliche "Vermögensübenzabe gegen Versorcnmasleistungen" gelten können. X R 1/20          Vorliegen eines Kirchensteuererstattungsüberhangs im Sinne des§ 10 Abs. 4b Satz 3 EStG, wenn keine Kirchensteuer-Zahlung im Erstattun1>siahr entrichtet wurde                                                                               . IR 35/20          In dem V erfahren geht es um die Anwendung des § 6 Absatz I und 4 AStG im Verhältnis zur Schweiz im Lichte des EuGH-Urteils vom 26. Februar 2019- C-581/17 „Wächtler" zu den Auswirkun1>en des Freizüi,ii,keitsabkommens mit der Schweiz auf die We11:zu11:sbesteuerun11:. X R 10/20         Revisionsgegenständlich ist die Rechtsfrage, ob Beiträge für eine freiwillige private Pflegeversicherung als unbeschränkt abzugsfähige Sonderausgaben entsprechend den Beiträgen zur Basiskranken- und gesetzlichen Pflegeversicherung i. S. d. § I 0 Absatz 1 Nummer 3 i. V. m. Absatz 4 EStG anerkannt werden können, so dass sie sich über den Höchstbetrag i.S.d. § 10 Absatz 4, Absatz 4a EStG hinaus auswirken können. X R 27/20         Revisionsgegenständlich ist die Rechtsfrage, ob der Grundsatz, dass es „in keinem Fall" zu einer verfassungswidrigen doppelten Besteuerung der Altersvorsorgeaufwendungen und Altersbezügen kommen dürfe, allein dann gilt, werm eine derartige „Doppel- besteuerung" von Altersvorsorgeaufwendungen und Altersbezügen auf einem „Webfehler" des Gesetzes bzw. dessen mangelnder Ausdifferenzierung beruht oder auch in dem Fall, in dem eine - behauptete - ,,Doppelbesteuerung" daraus resultiert, dass der grundsätzlich mögliche Sonderausgabenabzug für Altersvorsorgeaufwendungen durch den Steuerpflichtigen mangels entsprechender Angaben in der Einkommensteuer-erklärung nicht in Anspruch genommen worden ist. XR29/20           Revisionsgegenständlich ist die Rechtsfrage, wie das „Jahr des Rentenbeginns" aus § 22 Nummer 1 Satz 3 Buchstabe a Doppelbuchstabe aa Satz 3 EStG zu bestimmen ist, wenn der reguläre Beginn der Rentenzahlung auf Antrag des Klägers über das Jahr des Erreichens der Altersarenze hinaus aufüeschoben wurde. IX R 15/20        Verfassun2:smäßiakeit der Erhebun11: von Solidaritätszuschlal! /SolZ) ab 2020 VI R29/20         Können Aufwendungen der Eltern für die Strafverteidigung des Kindes als außergewöhnliche Belastung gemäß § 33 EStG geltend gemacht werden? IIIRl7/20         Ist im Jahr der Trennung ein anteiliger Entlastungsbetral! für Alleinerziehende nach 6 24b EStG zu l!ewähren? X R 7/20          Sind Prozesskosten zur Erlangung nachehelichen Unterhalts als Werbungskosten nach § 9 EStG abzugsfähig sind, wenn der Unterhaltsemofän!!er die Unterhaltsleistunl(en als sonstige Einkilnfte nach 6 22 Nummer Ja EStG versteuert? IR 8/21           Streitig ist, ob die einbehaltene kanadische Quellensteuer auf die Gewerbesteuer angerechnet werden könne, indem sie gemäß Artikel 23 · Absatz 2 Buchstabe b DonneJbuchstabe aa DBA-Kanada auf die hinzui,erechneten Dividenden nach 6 8 Nummer S Gewstr. bei Seite 9 von 19 C                                                  C
290

)                                               ) (fachliche Zuständigkeit BMF) entsprechender Anwendung des § 26 Absatz 1 Satz 1 Nummer 1 KStG i. V. m. § 34c Absatz 6 Satz 2 EStG angerechnet wird. Hierb.ei müsse die Feststellung der Anrechnung im Gewerbesteuermessbescheid erfolgen. IR 4/17         Anwendung der Verrechnungspreismethode zur Ermittlung des Fremdvergleichspreises bei Darlehensgewährung durch eine im Ausland ansässfo,e Schwesterkaoital!!esellschaft (nahestehende Personen) IR 15/21        Zulässigkeit einer Einkünftekorrektur nach § 1 AStG bei gewinnmindernder Ausbuchung einer unbesichert im Konzern begebenen Darlehensforderun!! I R48/20        Ist§ 2 Absatz 4 Satz 3 ff. UmwStG auch auf nicht gestalterische Fälle und auf die Gewerbesteuer anwendbar, sowie die Auswirkung eines Investitionsabzu!!sbetra!!es. ferner Details der Schätzun!! des Gewinns im Rückwirkurwszeitraum. IR 27/18        Hat die Anti-Missbrauchsregelung für Spaltungen in§ 15 Absatz 2 Satz 3 UmwStG gegenüber Satz 4 einen eigenständigen IR 39/18        Anwendun!!sbereich? IV R 31/18      In dem Verfahren geht es um die Frage der Hinzurechnung von Mietzinsen für bewegliche Wirtschaftsgüter nach § 8 Nr. 1 Buchst. d GewStG, wenn die Mietzinsen bzw. Leasingraten für Produktionsmittel (insbesondere Baugerätschaften) gezahlt werden, die zur Herstellung von Erzeuanissen (UmlaufvermÖ!!en) verwandt werden. IIIR2/21        In dem Verfahren geht es um die Frage der Hinzurechnung von Aufwendungen für zeitlich befristete Überlassungen von Filmlizenzen nach § 8 Nr. 1 Buchst. fGewStG, wenn fremdsprachige Filme vor Überlassung an Kinobetreiber durch die Klägerin mit Untertiteln versehen werden bzw. eine deutsche Svnchronisation vornenommen wird. IR 32/f9        Auslegung der „regelmäßigen Rückkehr für die Grenzgängerbesteuerung nach Artikel 15a DBA-Schweiz. IR 42/20        Strittig ist, ob die im Methodenartikel des DBA-USA vorgesehene „switch-over-Klausel" so auszulegen ist, dass sie auch dann anzuwenden ist. wenn nur Teile der Einkünfte in den USA nicht besteuert werden. IR 30/18        Klärungsbedürftig ist, ob Deutschland in einem Dreieckssachverhalt sein Besteuerungsrecht aus Artikel 18 DBA-Frankreich (Drittstaateneinkünfte) ausüben kann, obwohl nach DBA-Schweiz die Einkünfte aus unselbstständiger Arbeit unter Progressionsvorbehalt freizustellen sind (Artikel 15 Absatz 1 und 2 in Verbindung mit Artikel 24 Absatz 1 Nummer 1 Buchstabe d DBA-Schweiz). IR 1/19         BMF möchte das Verfahren nutzen dem BFH das Zustandekommen des OECD-Musterkommentar und der deutschen Vorbehaltserklärungen (Bemerkungen) und ihre Einordnung in die Systematik der Auslegung von DBA entsprechend Art. 31 WÜRV darzule!!en. IR 59/12        Verfassungsmäßigkeit der Mindestgewinnbesteuerung, anhängig beim BVerfG unter 2 BvL 19/14, und Verfassungsbeschwerde - 2 BvR 2998/12 - I R4/13         Verfassungsmäßigkeit eines sog. Treaty Override bei Sondervergütungen nach§ 15 Abs. 1 Nr. 2 S. 1 EStG an Personengesellschafter im Ausland sowie Verfassungsmäßigkeit der Rückwirkung (Vorlagebesch.luss des BFH vom 11.12.2013 -1 R 4/13 - Normenkontrollverfahren, Az. des BVerfG: 2 BvL 15/14). Die Grundentscheidung zur Verfassungsmäßigkeit des Treaty Override wurde schon durch 2 BvL 1/12 vom 15. Dezember 2015 oositiv beantwortet. 1 R48/17        Nichtberücksichtigung sog. finaler Betriebsstättenverluste I R49/17        Im Verfahren IR 32/18 hat der BFH dem EuGH ein Vorabentscheidungsersuchen zur Vereinbarkeit der deutschen Rechtslage (kein Abzug IR 17/16        finaler Verluste einer Freistellungsbetriebsstätte) mit dem Unionsrecht vorgelegt (EuGH-Az. C-538/20). Mit einer Entscheidung des EuGH IR 32/18        ist frühestens Ende 2021 zu rechnen. Seite 10 von 19
291

(Fachliche Zuständigkeit BMF) VIII R 16/17     Höhe der Kinderfreibeträge (Streitjahr 2014), Anwendung des Splittingtarifs auf (verwitwete) Alleinerziehende, Kinderbetreuungskosten für ein Ferienla11:er. VIII R 32/20     Frage der Verfassungsmäßigkeit der Höhe der Kinderfreibeträge (Streitjahr 2017; Bezug: 2 BvL 3/17); Anwendung des Grundtarifs für (verwitwete) Alleinerziehende; Einkunftserzielungsabsicht bei Erstattungszinsen nach§ 233a AO; steuerliche Berücksichtigung diverser Werbun11:skosten bei den Einkünften nach & 19 ES tG VIIIR 11/18      Beschränkung des Verlustausgleichs bei Verlusten aus der Veräußerung von Aktien gemäß§ 20 Absatz 6 Satz 5 a.F. EStG (nach aktueller Fassung § 20 Abs. 6 Satz 4 EStG); Vorlagebeschluss des BFH vom 17.11.2020, VIII R 11/18: Es wird eine Entscheidung des BVerfG darüber eingeholt, ob § 20 Abs. 6 Satz 5 EStG i.d.F. des UntStRefG 2008 vom 14.08.2007 (BGB! I 2007, 1912) insoweit mit Art. 3 Abs. 1 GG vereinbar ist, als Verluste aus der Veräußerung von Aktien nur mit Gewinnen aus der Veräußerung von Aktien verrechnet werden dürfen. Das Verfahren VIII R 11/18 wird ausgesetzt. IIR17/2]         Verfassungsrechtliche Zulässigkeit der Festsetzung von Erbschaftsteuer bei einem am 25.10.2016 eingetretenen Erbfall; Eintritt einer sog. II R 18/21       "Steuerpause" nach Ablauf der Weitergeltungsanordnung aus dem Urteil des Bundesverfassungsgerichts vom 17.12.2014 1 BvL 21/12 (BStBI. II 2015, S. 50), echte Rückwirkung des Gesetzes zur Anpassung des Erbschaft- und Schenkungsteuergesetzes an die Rechtsorechung des Bundesverfassun<>«•erichts vom 4.11.2016 ""GBI I 2016. S. 2464. ErbStAnoG 2016) VI R48/18        Sind Mehraufwendungen für eine ärztlich verordnete glutenfreie Diätverpflegung zur Behandlung einer chronischen Stoffwechselstörung (hier: Zöliakie) als außergewöhnliche Belastung abzugsfähig bzw. gemäß§ 33 Absatz 2 Satz 3 EStG (verfassungswidrig?) vom Abzug ausgeschlossen? Ist es von Verfassungs wegen geboten, bei der einkommensteuerrechtlichen Berücksichtigung dieser Mehraufwendungen · und von Krankheitskosten auf den Ansatz einer zumutbaren Belastun11: zu verzichten? IR 6/20          Streitig ist die materiell-rechtliche Frage der außerbilanziellen Einkommenskorrektur eines besitzzeitanteiligen Anleger-Aktiengewinns aus zwei Spezial-Sondervermögen in den Jahren 2003 und 2004 (§ 40a KAGG) und der damit anschließenden Frage der Korrekturmöglichkeit nach & 174 Absatz 4 AO. IR 26/19         Streitige Rechtsfrage, ob „finale" Verluste einer ausländischen Tochtergesellschaft aufgrund einer unionsrechtskonformen Auslegung der ss 14 17 KStG auch ohne GAV bzw. vere:leichbare vertra<>liche Re<>elun<>en mit inländischen Gewinnen zu verrechnen sind. II R 5/20        In dem Verfahren ist streitig, ob§ 2 Abs. 1 Nr. 1 Satz 2 Buchst. b ErbStG - unbeschränkte Erbschaft- und Sch~nkungsteuerpflicht für deutsche Staatsangehörige, die sich nicht länger als fünf Jahre dauernd im Ausland aufgehalten haben, ohne im Inland einen Wohnsitz zu haben - verfassune:s- und eurooarechtse:emäß ist· Verstoß e:ee:en Art. 3 Abs. 1 GG und e:ee:en Art. 63 AEUV. IR 54/19         In dem Verfahren geht es um die Anwendung von Verrechnungspreismethoden in§ 1 Abs. 3 AStG und um Funktionsverlagerung. BMF ist dem Verfahren am 9.7.2020 beie:etreten und hat die Stellunanahme Anfane: Dezember 2020 an den BFH übersandt. IX R 15/20       Verfassun11:smäßi<>keit der Erhebune: von Solidaritätszuschlae: (SolZ) ab 2020 IR 8/21          Streitig ist, ob die einbehaltene kanadische Quellensteuer auf die Gewerbesteuer angerechnet werden könne, indem sie gemäß Artikel 23 Absatz 2 Buchstabe b Doppelbuchstabe aa DBA-Kanada auf die hinzugerechneten Dividenden nach § 8 Nummer 5 GewStG bei entsprechender Anwendung des § 26 Absatz l Satz 1 Nummer 1 KStG i. V. m. § 34c Absatz 6 Satz 2 EStG angerechnet wird. Hierbei müsse die Feststelluni, der Anrechnuni, im Gewerbesteuermessbescheid erfol 0 en. Seite 11 von 19 C                                                C
292

)                                                 ) (Fachliche Zuständigkeit BMF) lII R 2/21       In dem Verfahren geht es um die Frage der Hinzurechnung von Aufwendungen für zeitlich befristete Überlassungen von Filmlizenzen nach § 8 Nr. 1 Buchst. f GewStG, wenn fremdsprachige Filme vor Überlassung an Kinobetreiber durch die Klägerin mit Untertiteln versehen werden bzw. eine deutsche Synchronisation vorgenommen wird. Indirekte Steuern - Gesamtübersicht über allgemein bedeutsame BFH-Verfahren, denen das BMF im Geschäftsbereich der BFH-Geschäftsstelle beigetreten ist -~                     . , Verfah-us          taad'     . '     Entscheidua• Zurückweisung der Pflicht aus .Urteil   ..   .          Anmerkun°ea Prozesszinsen auf einen                       Beschwerde auf        keine; Anspruch      Ablehnung des Zinsanspruchs ist Gegenstand des Steuererstattungsanspruch von VII B 40/19                                                 Nichtzulassung der    auf Zinsen wurde     Verfahrens vor dem BVerfG - 2 BvR 737/20- Kembrennstoffsteuer bei fehlender             Revision vom          abgewiesen           (Terminrolle für das Jahr 2021) Rechtshängigkeit der Steuerfestsetzungen 23.10.2019 19 Einspruchsverfahren zu derselben Streitfrage Zulassung der Prozesszinsen für Zeiträume der Aussetzung                                               ruhen nach § 363 Abs. 2 Satz 1 AO bis zu einer VII B 41/19                                                 Revision vom der Vollziehung (wg. Kembrennstoffsteuer)                                                endgültigen Entscheidung in dem 23.10.2019 Musterverfahren. Urteilstenor zu Begründung Stromsteuerbefreiung(§ 9 Abs. 1 Nr. 3 b       Protokoll gegeben bleibt abzuwarten, StromStG i.V.m. § 12b Abs. 4 StromStV in      (Datum                                     Tenor des BFH laut mdl. Auskunft der aber V erfahren VII R 1/19   der in der für den Zeitraum vom 1. April      unbekannt);                                Geschäftstelle: Aufhebung und Zurückverweisung betrifft nicht mehr 2015 bis zum 31. Dezember 2015                schriftl.                                  an FG. BMF beigetreten. existente anzuwendenden Fassung)                        Begründung steht Rechtslage aus § 3 Nr 5 Kraftfahrzeugsteuergesetz; Kraftfahrzeugsteuerbefreiung für Krankentransportfahrzeuge: Führt jede medizinisch verordnete VII R 7/18   Behandlungsmaßnahme ohne weitere              offen Einschränkungen zu einer "gewissen Dringlichkeit" der Befürderung im Sinne der zu§ 3 Nr. 5 KraftStG ergangenen BFH- Rechtsprechung, oder ist eine solche bei Seite 12 von 19
293

(Fachliche Zuständigkeit BMF) Verordnungen, die für einen längeren Zeitraum Gültigkeit haben oder die bereits mehrere Wochen vor Inanspruchnahme der Beförderung ausgestellt worden sind, nicht (mehr) gegeben? BMF ist dem Verfahren am 12.11.2002 V R24/20      Versicherungsteuer-Festsetzung 1990-1995                    beigetreten. Urteil ist noch nicht ergangen. Inanspruchnahme des VN als Gesamtschuldner (Versicherer im Ausland). Seite 13 von 19 C                        C
294

Zur nächsten Seite