/ 20
PDF herunterladen
Deutscher Bundestag                                                                     Drucksache 19/25739 19. Wahlperiode                                                                                          08.01.2021 Antwort der Bundesregierung auf die Kleine Anfrage der Abgeordneten Oliver Luksic, Frank Sitta, Bernd Reuther, weiterer Abgeordneter und der Fraktion der FDP – Drucksache 19/25329 – Maßnahmen und Ergebnisse der bisherigen „Autogipfel“ Vorbemerkung der Fragesteller Deutschland ist für seine hochwertigen Produkte und technischen Innovatio- nen im Fahrzeugbau bekannt. Deutsche Entwicklungen verbinden Menschen auf dem Land, zu Wasser und in der Luft über Grenzen hinweg miteinander und kommen dabei in den unterschiedlichsten Bereichen zum Einsatz. Kaum ein Produkt steht dabei international derart stellvertretend für „Made in Ger- many“ und die damit verbundenen Werte und Kompetenzen wie das Automo- bil. Das Auto ist nicht nur Fortbewegungsmittel, das Personen oder Güter von A nach B transportiert. Es ist auch ein fester Bestandteil der modernen All- tagswirklichkeit, der eine vorher ungekannte individuelle Mobilität ermög- licht, und gleichzeitig ein wichtiger Motor unserer heimischen Wirtschaft. In den vergangenen Jahren und Monaten hat sich der Zustand bzw. die Wett- bewerbsfähigkeit des deutschen Fahrzeugbaus, dessen Autobauer, Zulieferer und weiterer Unternehmen stetig verschlechtert. Nach Jahren der Absatzrekor- de verzeichnet die Branche wieder rückläufige Verkaufszahlen. Neben han- delspolitischen Hindernissen wie dem Brexit, den kostenintensiven Neuent- wicklungen, etwa für das automatisierte und vernetzte Fahren, und auch der Corona-Krise liegt dies nach Ansicht der Fragesteller vor allem an stetig stei- genden staatlichen Vorgaben für Fahrzeuge. Statt den europäischen Emissions- handel als technologieneutrales Anreizsystem auch für den Verkehrssektor zu garantieren, werden die CO2-Grenzwerte und Umweltauflagen auf EU- und Bundesebene regelmäßig verschärft. Dies führt einerseits zu einer einseitigen Ausrichtung auf Batteriefahrzeuge und riskiert andererseits bestehende Wert- schöpfungsketten im Fahrzeugbau, die unter den neuen Bedingungen immer fragiler werden. Dadurch droht nach Ansicht der Fragesteller ein enormer Ver- lust von Arbeitsplätzen, Fachkompetenzen und Wohlstand für die Bundesre- publik Deutschland. Die Bundesregierung hat zumindest die grundlegende Herausforderung für den Wirtschaftsstandort erkannt und in den umgangssprachlich als „Autogip- fel“ bekannten Spitzengesprächen den Austausch zwischen Unternehmen und Politik gesucht. Im Rahmen dieser Treffen wurden verschiedene Vorschläge gemacht, um den Fahrzeugbau in Deutschland zu stärken. Die Antwort wurde namens der Bundesregierung mit Schreiben des Bundesministeriums für Wirtschaft und Energie vom 7. Januar 2021 übermittelt. Die Drucksache enthält zusätzlich – in kleinerer Schrifttype – den Fragetext.
1

Drucksache 19/25739                                        –2–               Deutscher Bundestag – 19. Wahlperiode 1. Wie viele Spitzengespräche der Bundesregierung zu Themen des Fahr- zeugbaus fanden in dieser Legislatur statt (bitte nach Thema, Datum und Teilnehmern aufschlüsseln)? Im Rahmen der Konzertierten Aktion Mobilität (KAM) fanden bislang vier Spitzengespräche statt: 24. Juni 2019 zu „Zukunft des Automobilstandortes Deutschland“ Themen: Technologische Herausforderungen, Sicherung der Wettbewerbsfähig- keit, Auswirkungen des technologischen Wandels auf Arbeitswelt und Beschäf- tigung. Teilnehmer: Vertreter der Bundesregierung, Ministerpräsidenten ausgewählter Bundesländer, Vorsitzende der Koalitionsparteien und der die Regierung tra- genden Fraktionen im Deutschen Bundestag, Vertreter des Verband der Auto- mobilindustrie (VDA), der IG Metall sowie von Unternehmen und Arbeitneh- mervertretungen aus der Automobilwirtschaft, Vertreter der Wissenschaft, Ver- treter der Nationalen Plattform Zukunft der Mobilität (NPM). 4. November 2019 zu „Mobilität der Zukunft gestalten – Deutschlands Chan- cen nutzen“ Themen: Alternative Antriebstechnologien (insbesondere Elektromobilität), Zukunft der Mobilität/Digitalisierung, Beschäftigung und Qualifizierung. Teilnehmer: Vertreter der Bundesregierung, Ministerpräsidenten aus ausge- wählten Bundesländern, Vorsitzende der Koalitionsparteien und der die Regie- rung tragenden Fraktionen im Deutschen Bundestag, Vertreter des VDA, der IG Metall sowie von Unternehmen und Arbeitnehmervertretungen aus der Auto- mobilwirtschaft, Vertreter der NPM. 8. September 2020 zu „Gestärkt aus der Krise, gemeinsam die Mobilität der Zukunft gestalten“ Themen: Lage der Automobilindustrie, automatisiertes und vernetztes Fahren, Datenraum Mobilität. Teilnehmer: Vertreter der Bundesregierung, Ministerpräsidenten aus ausge- wählten Bundesländern, Vorsitzende der Koalitionsparteien und der die Regie- rung tragenden Fraktionen im Deutschen Bundestag, Vertreter des VDA, der IG Metall sowie von Unternehmen und Arbeitnehmervertretungen aus der Auto- mobilwirtschaft, Vertreter der Wissenschaft, Vertreter derNPM sowie der Deut- schen Akademie der Technikwissenschaften (acatec). 17. November 2020 zu „Transformation unterstützen, Wertschöpfungsketten stärken“ Themen: Berichte zur Lage der Automobilindustrie und Arbeitsstand in ausge- wählten Themenfeldern (Ladeinfrastruktur, autonomes Fahren, Datenraum Mo- bilität), Transformationsprozess der Zuliefererlandschaft, Innovation und Wert- schöpfung der Automobilwirtschaft auf dem Weg zu einem 55-%-Ziel 2030 und Klimaneutralität 2050. Teilnehmer: Vertreter der Bundesregierung, Ministerpräsidenten aus ausge- wählten Bundesländern, Vorsitzende der Koalitionsparteien und der die Regie- rung tragenden Fraktionen im Deutschen Bundestag, Vertreter des VDA, der IG Metall sowie von Unternehmen und Arbeitnehmervertretungen aus der Auto- mobilwirtschaft, Vertreter der NPM.
2

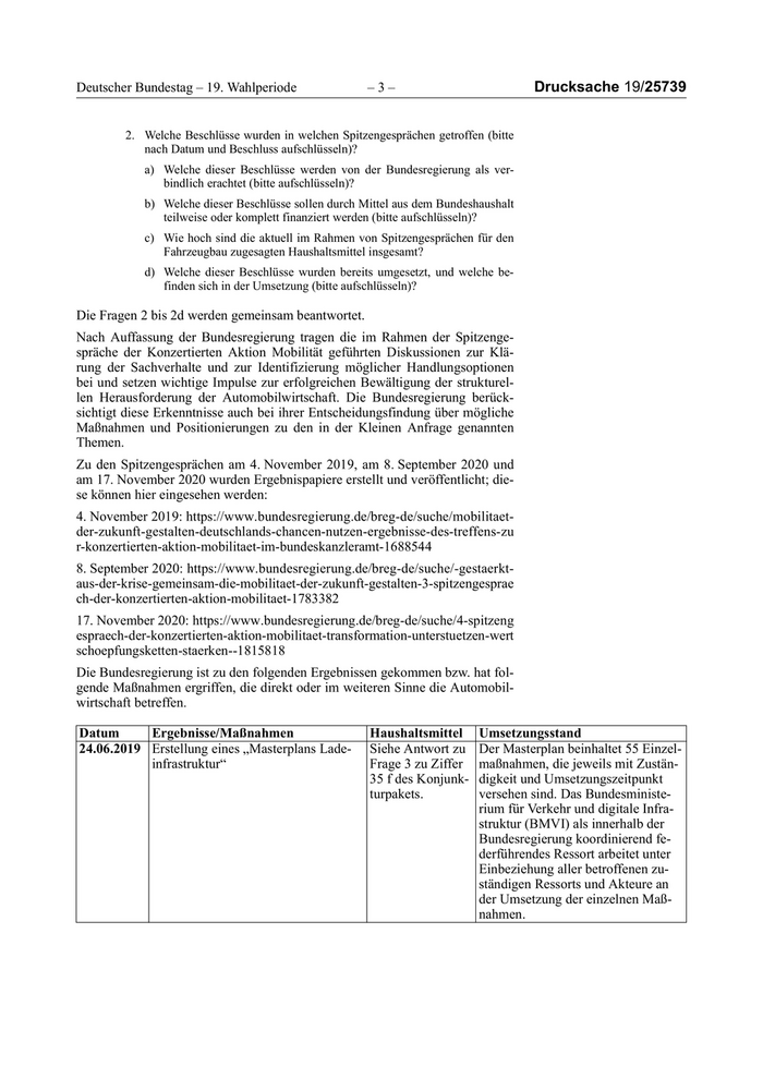
Deutscher Bundestag – 19. Wahlperiode                     –3–                                Drucksache 19/25739 2. Welche Beschlüsse wurden in welchen Spitzengesprächen getroffen (bitte nach Datum und Beschluss aufschlüsseln)? a) Welche dieser Beschlüsse werden von der Bundesregierung als ver- bindlich erachtet (bitte aufschlüsseln)? b) Welche dieser Beschlüsse sollen durch Mittel aus dem Bundeshaushalt teilweise oder komplett finanziert werden (bitte aufschlüsseln)? c) Wie hoch sind die aktuell im Rahmen von Spitzengesprächen für den Fahrzeugbau zugesagten Haushaltsmittel insgesamt? d) Welche dieser Beschlüsse wurden bereits umgesetzt, und welche be- finden sich in der Umsetzung (bitte aufschlüsseln)? Die Fragen 2 bis 2d werden gemeinsam beantwortet. Nach Auffassung der Bundesregierung tragen die im Rahmen der Spitzenge- spräche der Konzertierten Aktion Mobilität geführten Diskussionen zur Klä- rung der Sachverhalte und zur Identifizierung möglicher Handlungsoptionen bei und setzen wichtige Impulse zur erfolgreichen Bewältigung der strukturel- len Herausforderung der Automobilwirtschaft. Die Bundesregierung berück- sichtigt diese Erkenntnisse auch bei ihrer Entscheidungsfindung über mögliche Maßnahmen und Positionierungen zu den in der Kleinen Anfrage genannten Themen. Zu den Spitzengesprächen am 4. November 2019, am 8. September 2020 und am 17. November 2020 wurden Ergebnispapiere erstellt und veröffentlicht; die- se können hier eingesehen werden: 4. November 2019: https://www.bundesregierung.de/breg-de/suche/mobilitaet- der-zukunft-gestalten-deutschlands-chancen-nutzen-ergebnisse-des-treffens-zu r-konzertierten-aktion-mobilitaet-im-bundeskanzleramt-1688544 8. September 2020: https://www.bundesregierung.de/breg-de/suche/-gestaerkt- aus-der-krise-gemeinsam-die-mobilitaet-der-zukunft-gestalten-3-spitzengesprae ch-der-konzertierten-aktion-mobilitaet-1783382 17. November 2020: https://www.bundesregierung.de/breg-de/suche/4-spitzeng espraech-der-konzertierten-aktion-mobilitaet-transformation-unterstuetzen-wert schoepfungsketten-staerken--1815818 Die Bundesregierung ist zu den folgenden Ergebnissen gekommen bzw. hat fol- gende Maßnahmen ergriffen, die direkt oder im weiteren Sinne die Automobil- wirtschaft betreffen. Datum         Ergebnisse/Maßnahmen                       Haushaltsmittel         Umsetzungsstand 24.06.2019 Erstellung eines „Masterplans Lade-           Siehe Antwort zu        Der Masterplan beinhaltet 55 Einzel- infrastruktur“                             Frage 3 zu Ziffer       maßnahmen, die jeweils mit Zustän- 35 f des Konjunk-       digkeit und Umsetzungszeitpunkt turpakets.              versehen sind. Das Bundesministe- rium für Verkehr und digitale Infra- struktur (BMVI) als innerhalb der Bundesregierung koordinierend fe- derführendes Ressort arbeitet unter Einbeziehung aller betroffenen zu- ständigen Ressorts und Akteure an der Umsetzung der einzelnen Maß- nahmen.
3

Drucksache 19/25739                               –4–                Deutscher Bundestag – 19. Wahlperiode Datum      Ergebnisse/Maßnahmen                   Haushaltsmittel     Umsetzungsstand Erstellung eines „Fahrplans“ Digitali- ./.                 Siehe Umsetzung der Ergebnisse sierung/Neue Geschäftsmodelle in der                       vom 4. November 2019. Mobilität/Neue Antriebstechnologien (Automatisiertes und vernetztes Fah- ren). 04.11.2019 Bis 2022 werden 50.000 öffentliche                         Anfang Dezember 2020 waren bei Ladepunkte errichtet. Die Automobil-                       der BNetzA 33.000 öffentlich zu- industrie errichtet 15.000 zusätzliche                     gängliche Ladepunkte gemeldet. öffentliche Ladepunkte.                                    Über das Förderprogramm des Bun- desministeriums für Verkehr und di- gitale Infrastruktur (BMVI) sind weitere 19.000 Ladepunkte bereits bewilligt, die in den nächsten Mona- ten hinzukommen. Die Automobilin- dustrie ist angewiesen, die genaue Anzahl zusätzlicher öffentlicher La- depunkte der Nationalen Leitstelle Ladeinfrastruktur zu melden. Im Jahr 2021 wird ein neues Förder- programm für öffentliche Ladeinfra- struktur mit 500 Mio. Euro veröf- fentlicht. Daneben werden 1.000 Standorte mit Hochleistungsladern (High Power Charging – HPC) aus- geschrieben (mittels einer europa- weiten Ausschreibung) und damit die Ausstattung aller Rastanlagen an BAB mit HPC-Ladeinfrastruktur vo- rangetrieben. Erhöhung und Verlängerung des Um- 2,09 Mrd. Euro           Umgesetzt. weltbonus.                             von 1. Jnauar 2020 bis 31. De- zember 2025 Die Bundesregierung erarbeitet eine Insgesamt 9 Mrd.       Die Nationale Wasserstoffstrategie Wasserstoffstrategie.                  Euro (davon         (NWS) wurde am 10. Juni 2020 vom 7 Mrd. Euro für     Bundeskabinett verabschiedet. Der Umsetzung der       darin enthaltene Aktionsplan befin- NWS und 2 Mrd.      det sich seitdem in der Umsetzungs- Euro für den Auf-   phase. bau außenwirt- schaftlicher Part- nerschaften vorge- sehen). (1)
4

Deutscher Bundestag – 19. Wahlperiode               –5–                             Drucksache 19/25739 Datum       Ergebnisse/Maßnahmen                    Haushaltsmittel     Umsetzungsstand Die Bundesregierung will im März        Im Rahmen des       Das Regelungsvorhaben zum auto- 2020 ein Umsetzungspaket automati-      2. Förderaufrufs    nomen Fahren befindet sich in der siertes Fahren verabschieden.           (11. Februar 2020   Ressortabstimmung. bis 30. April 2020) zur Förder- richtlinie „Ein zu- kunftsfähiges, nachhaltiges Mo- bilitätssystem durch automati- siertes Fahren und Vernetzung“ konnten weitere Projekte in Höhe von etwa 51 Mio. Euro gefördert werden. Private und öffentliche Mobilitätsan-   ./.                 Das Konzept des Datenraumes Mo- bieter wollen bis Ende 2021 gemein-                         bilität wurde Ende September finali- sam ein umfassendes Datennetzwerk                           siert. Zum 1. Oktober 2020 erfolgte Mobilität schaffen.                                         der Start der technischen Implemen- tierung. Um von Anfang an attrakti- ven Content im Datenraum Mobilität zur Verfügung stellen zu können, werden in einer ersten Phase Daten- konzentratoren angebunden. Im Ziel- bild zum Datenraum Mobilität wur- den erste Pilotanwendungen festge- legt, die als Demonstratoren imple- mentiert werden sollen. Die Bundesregierung wird prüfen, ob ./.                     Verbesserung von Leistungen bei die Instrumente des Qualifizierungs-                        Weiterbildung und Kurzarbeit durch chancengesetzes und des Kurzarbei-                          das „Arbeit-von-morgen Gesetz“ und tergeldes nachgeschärft oder ange-                          das Beschäftigungssicherungsgesetz. passt werden müssen. Besonders betroffene Cluster müssen ./.                     Am „Transformationsdialog Auto- sich gut für den Wandel vorbereiten.                        mobilindustrie“ unter der Leitung Hierzu sollen strukturierte Dialoge ge-                     des Bundesministeriums für Wirt- meinsam mit den Betroffenen und den                         schaft und Energie (BMWi) haben Ländern geführt werden.                                     auch Vertreter aus den Regionen und der Länder teilgenommen. Die Er- gebnisse können hier eingesehen werden.  (2) Die Sozialpartner handeln Zukunfts- ./.                     Liegt in der Verantwortung der So- verträge für Wege in neue Qualifika-                        zialpartner. tionen und Tätigkeiten aus. 08.09.2020 Einrichtung von zwei Arbeitsgruppen ./.                      Die Arbeitsgruppen haben getagt zur Prüfung von „marktwirtschaftli-                         und ihre Arbeit mit einem Bericht chen Konzepten zur Stärkung des                             abgeschlossen. Eigenkapitals insb. von Zulieferunter- nehmen“ und „welche weiteren As- pekte bei den im Konjunkturpaket vorgesehenen „Zukunftsinvestitionen in die Fahrzeugbranche“ berücksich- tigt werden sollten“.
5

Drucksache 19/25739                                –6–             Deutscher Bundestag – 19. Wahlperiode Datum      Ergebnisse/Maßnahmen                    Haushaltsmittel  Umsetzungsstand Die Handlungsempfehlungen des           ./.              Der „Bericht über den Transforma- „Transformationsdialog Automobilin-                      tionsdialog Automobilindustrie“ dustrie“ fließen in die Konzertierte                     wurde am 3. November 2020 ange- Aktion Mobilität ein.                                    nommen und in den KAM-Prozess eingespeist.  (2) Bis zum Jahr 2022 werden Fahrzeuge ./.                   Derzeit werden dazu die rechtlichen mit autonomen Fahrfunktionen in den                      Grundlagen geschaffen. Das Rege- Regelbetrieb gebracht.                                   lungsvorhaben zum autonomen Fah- ren befindet sich aktuell in der Res- sortabstimmung. Liegt auch in der Verantwortung der Automobilindus- trie. Bis zum ITS Weltkongress im Okto- ./.                    Siehe Umsetzung der Ergebnisse ber 2021 schafft Deutschland einen                       vom 4. November 2019 (Datennetz- funktionsfähigen Datenraum Mobili-                       werk Mobilität). tät. Im Rahmen der Novellierung der La- ./.                   Das Bundesministerium für Wirt- desäulenverordnung wird die Bundes-                      schaft und Energie (BMWi) hat am regierung unter Einbindung der Ener-                     9. Dezember 2020 die Ressortab- giewirtschaft eine einheitliche Bezahl-                  stimmung und am 10. Dezember methode für das sogenannte ad hoc                        2020 die Verbände- und Länderanhö- Laden an öffentlich-zugänglicher La-                     rung zum Verordnungsentwurf ein- deinfrastruktur festlegen.                               geleitet. Stellungnahmen konnten bis zum 23. Dezember 2020 eingereicht werden. In der zweiten Verordnung zur Änderung der Ladesäulenverord- nung wird u. a. ein einheitliches Be- zahlsystem für öffentliche Lade- punkte beim sog. ad-hoc Laden fest- gelegt. Die NPM wird gebeten, unter Berück- ./.                  Die Nationale Plattform Zukunft der sichtigung der Entscheidungen der                        Mobilität (NPM) hat am 04. Dezem- Bundesregierung bis Ende des Jahres                      ber 2020 ihren Werkstattbericht „Al- 2020 Vorschläge für den Einsatz und                      ternative Kraftstoffe- Klimawirkun- Markthochlauf von alternativen Kraft-                    gen und Wege zum Einsatz alternati- stoffen vorzulegen.                                      ver Kraftstoffe“ vorgelegt. 17.11.2020 Die gesetzliche Regelung für ein ein- ./.                Das Bundesministerium für Wirt- heitliches Bezahlsystem an Ladesäu-                      schaft und Energie (BMWi) hat am len wird innerhalb der Bundesregie-                      9. Dezember 2020 die Ressortab- rung abgestimmt und zeitnah be-                          stimmung und am 10. Dezember schlossen werden.                                        2020 die Verbände- und Länderanhö- rung zum Verordnungsentwurf ein- geleitet. Stellungnahmen konnten bis zum 23. Dezember 2020 eingereicht werden. In der zweiten Verordnung zur Änderung der Ladesäulenverord- nung wird u. a. ein einheitliches Be- zahlsystem für öffentliche Lade- punkte beim sog. ad-hoc Laden fest- gelegt.
6

Deutscher Bundestag – 19. Wahlperiode              –7–                        Drucksache 19/25739 Datum       Ergebnisse/Maßnahmen                   Haushaltsmittel Umsetzungsstand Mit der Förderung der privaten Lade- 200 Mio. Euro     Seit dem 24. November 2020 können infrastruktur über ein KfW-Programm                    Träger von Investitionsmaßnahmen ergänzt die Bundesregierung ihr Maß-                   zur Errichtung einer Ladestation für nahmenbündel zur Unterstützung                         Elektroautos im nicht öffentlich zu- eines verbraucherorientierten Ausbaus                  gänglichen Bereich von selbst ge- der Ladeinfrastruktur.                                 nutzten oder vermieteten Wohnge- bäuden sich den Erwerb und die Er- richtung einer fabrikneuen intelli- genten nicht-öffentlich zugänglichen 11 kW Ladestation inklusive Netzan- schluss sowie damit verbundene not- wendige Nebenarbeiten mit 900 Eu- ro fördern lassen. Ziel der Bundesregierung ist eine      ./.             Gespräche werden Anfang 2021 ge- Ausrüstung von mindestens 25 % aller                   führt. Die Tankstellenbetreiber kön- Tankstellen mit Schnelllade-Ladein-                    nen bis Ende 2022 auf Fördergelder frastruktur bis Ende 2022, von min-                    zum Aufbau der Ladeinfrastruktur destens 50 % bis Ende 2024 und min-                    zurückgreifen. Sofern danach die destens 75 % bis Ende 2026. Dazu                       vereinbarten Ziele nicht erreicht wer- wird sie zeitnah Gespräche mit der                     den, wird die Bundesregierung durch Mineralölwirtschaft führen mit dem                     eine Versorgungsauflage die genann- Ziel einer Selbstverpflichtung zur Er-                 ten Anteile gesetzlich regeln. reichung dieser Ziele. Das mit dem Konjunkturpaket be-        Rd. 2 Mrd. Euro An der Umsetzung wird mit Hoch- schlossene Förderprogramm „Zu-                         druck gearbeitet. Der aktuelle Stand kunftsinvestitionen in die Fahrzeug-                   und weitere Informationen finden branche“ (Ziffer 35 c) soll ohne Ver-                  sich unter www.kopa35c.de zögerung umgesetzt werden. Im Rahmen des Förderprogramms          (davon bis zu   Erste Gespräche zur Ausgestaltung 35 c wird zudem auch die Erarbeitung   200 Mio. Euro)  des Förderrahmens fanden statt. regionaler Transformationsstrategien unterstützt. Im Rahmen des Förderprogramms          (davon 95 Mio.  Das Bundesprogramm „Aufbau von 35 c wird sowohl das bereits beste-    Euro)           Weiterbildungsverbünden“ ist mit hende Bundesprogramm „Aufbau von                       Veröffentlichung einer entsprechen- Weiterbildungsverbünden“ ausgebaut,                    den Förderrichtlinie am 1. Juli 2020 als auch ein neues Bundesprogramm                      bereits gestartet. Ansonsten wird die regionale „Qualifizierungscluster“                     weitere Umsetzung aktuell vorberei- gestartet.                                             tet. Die Bundesregierung bildet einen       1 Mrd. Euro     Befindet sich in der Ressortabstim- „Zukunftsfonds Automobilindustrie“                     mung. aus Fördermitteln. Die Bundesregierung wird zur Bera-     ./.             Befindet sich in der Vorbereitung. tung und Optimierung ihrer Förder-                     Die Mitglieder des Expertenaus- mittelvergabe einen begleitenden,                      schusses arbeiten ehrenamtlich. möglichst repräsentativen Experten- ausschuss ins Leben rufen.
7

Drucksache 19/25739                                              –8–                    Deutscher Bundestag – 19. Wahlperiode Datum           Ergebnisse/Maßnahmen                             Haushaltsmittel          Umsetzungsstand Damit Förderung zielgerichtet an-                ./.                      Aufforderung an die Bundesländer kommt und in Clustern effizient zu-                                       bzw. die Wirtschaftsministerkonfe- sammengearbeitet werden kann, ist                                         renz. der Aufbau entsprechender Plattfor- men und Infrastrukturen wichtig. Die Bundesländer sind aufgefordert, diese unter Beteiligung der Bundesregie- rung und der Teilnehmer des Transfor- mationsdialogs zu schaffen. Die Wirt- schaftsministerkonferenz der Länder soll dazu im kommenden Jahr einen Arbeitsprozess beginnen. Um den Hochlauf von Elektrofahrzeu-              1 Mrd. Euro (2022 Richtlinienänderung befindet sich in gen weiter zu unterstützen und den               bis 2025)                Vorbereitung. Unternehmen Planungs- und Investi- tionssicherheit zu geben, wird die In- novationsprämie (verdoppelter Bun- desanteil Umweltbonus) bis Ende 2025 verlängert. Die Bundesregierung plant ein natio-             1 Mrd. Euro              Das Flottenerneuerungs-programm nales Flottenerneuerungsprogramm                                          besteht aus zwei Teilen, der Förde- für Lkw.                                                                  rung von Nutzfahrzeugen und der Förderung von kommunalen Einsatz- fahrzeugen. Die beiden Förderrichtli- nien sollen Anfang 2021 veröffent- licht werden. Die Förderrichtlinie „Förderung von Nutzfahrzeugen“ wird derzeit mit den Ressorts abge- stimmt. Aufstockung des Flottenerneuerungs-              Der Betrag ist           Befindet sich noch in der Abstim- programms Sozial & Mobil                         noch offen.              mung. Einsetzung einer Arbeitsgruppe zur               ./.                      Die Arbeitsgruppe hat bereits einmal strategischen Diskussion zum Erhalt                                       getagt. Derzeit Erarbeitung von The- der Wertschöpfung in der Automobil-                                       menpapieren. industrie im Zeitalter der Dekarboni- sierung. Bei der Umsetzung der Erneuerbaren               ./.                      Die Ressorts haben sich im Dezem- Energie-RL (RED II) wird die                                              ber auf die Grundzüge der Umset- Bundesregierung eine ambitionierte                                        zung der RED II für den Verkehrsbe- THG-Quote bis 2030 einführen, die                                         reich (Artikel 25 bis 28) verständigt. alle Optionen, inkl. den wasserstoffba-                                   Aktuell wird die Notifizierung vor- sierten, den Anteil der erneuerbaren                                      bereitet. Energien in Kraftstoffen zu erhöhen, berücksichtigt und die zur CO2-Re- duktion im Verkehrssektor beiträgt. (1) In diesen Beträgen sind auch HH-Mittel enthalten, die nicht oder nicht ausschließlich der Fahr- zeugindustrie zugerechnet werden können (vgl. Antwort zu Frage 3 zu Ziffer 36 des Konjunkturpa- kets). (2) https://www.bmwi.de/Redaktion/DE/Pressemitteilungen/2020/11/20201104-transformationsdial og-automobilindustrie-legt-handlungsempfehlungen-vor.html
8

Deutscher Bundestag – 19. Wahlperiode                     –9–                           Drucksache 19/25739 3. Welche Beschlüsse aus dem Corona-Konjunkturpaket wurden im Zusam- menhang mit dem Fahrzeugbau von der Bundesregierung getätigt (bitte aufschlüsseln)? a) Wie hoch sind die diesbezüglich für den Fahrzeugbau zugesagten Haushaltsmittel insgesamt? b) Welche dieser Beschlüsse wurden bereits umgesetzt, und welche be- finden sich in der Umsetzung (bitte aufschlüsseln)? Die Fragen3 bis 3b werden gemeinsam beantwortet. Das Konjunkturpaket „Corona-Folgen bekämpfen, Wohlstand sichern, Zu- kunftsfähigkeit stärken“ vom 3. Juni 2020 wurde hier veröffentlicht: https://ww w.bundesfinanzministerium.de/Content/DE/Standardartikel/Themen/Schlaglich ter/Konjunkturpaket/2020-06-03-eckpunktepapier.pdf?__blob=publicationFile &v=12 Zu den einzelnen Maßnahmen für eine nachhaltige und klimafreundliche Mobi- lität und den dafür eingesetzten Haushaltmitteln wird auf die nachstehende Ta- belle verwiesen. Ziffer des Maßnahmen                               Haushaltsmittel/Steuer-    Umsetzungsstand Konjunktur-                                          mehreinnahmen/Steuer- pakets                                           mindereinnahmen (–) 35 a       – Die Kraftfahrzeugsteuer für        Kassenjahre                Siebtes Gesetz zur Ände- neue Pkw wird stärker an          2020 rd. –5 Mio. Euro,     rung des Kraftfahrzeug- CO2-Emissionen ausgerich-         2021 rd. 55 Mio. Euro,     steuergesetzes am 23. Ok- tet. Oberhalb von 95 g/km         2022 rd. 125 Mio. Euro,    tober 2020 in Kraft getreten CO2 wird die Steuer in            2023 rd. 185 Mio. Euro,    (BGBl. I S. 2184). Stufen ausgestaltet und an-       2024 rd. 235 Mio. Euro, gehoben.                          2025 rd. 295 Mio. Euro. – Die zehnjährige Kraftfahr-         Kassenjahre zeugsteuerbefreiung für           2020 –, reine Elektrofahrzeuge            2021 rd. –10 Mio. Euro, wird bis 31.12.2025 (laufend      2022 rd. –25 Mio. Euro bis 31.12.2030) um fünf           2023 rd. –50 Mio. Euro, Jahre verlängert.                 2024 rd. –80 Mio. Euro, 2025 rd. –130 Mio. Euro. 35 b       – Verdoppelung des gelten-           2 Mrd. Euro (2020 bis      Umgesetzt. den Umweltbonus für Elek-         2022)                      Umgesetzt durch das Zwei- trofahrzeuge (zusätzliche         Die resultierenden Steuer- te Gesetz zur Umsetzung „Innovationsprämie“).             mindereinnahmen wurden     steuerlicher Hilfsmaßnah- – Besteuerung der privaten           im Rahmen des Gesetzge-    men zur Bewältigung der Nutzung von elektrischen          bungsverfahrens wie folgt  Corona-Krise (Zweites Dienstwagen: Anhebung des         geschätzt:                 Corona-Steuerhilfegesetz) Höchstbetrages des Brutto-        Kassenjahre                vom 29. Juni 2020 (BGBl. I listenpreises von 40.000 Euro     2020 und 2021 jeweils rd.  S. 1512). auf 60.000 Euro für emis-         5 Mio. Euro,               Die NPM hat am 9. Okto- sionsfreie Fahrzeuge, für die     2022 bis 2024 jeweils rd.  ber 2020 Empfehlungen die Bemessungsgrundlage           10 Mio. Euro.              zum optimierten Nutzungs- für die Besteuerung nur zu                                   grad von Plugin-Hybrid- einem Viertel anzusetzen ist.                                fahrzeugen veröffentlicht. – Diskussion der Frage des optimierten Nutzungsgra- des des elektrischen An- triebs bei Plug-in Hybrid- fahrzeugen im Rahmen der NPM.
9

Drucksache 19/25739                           – 10 –            Deutscher Bundestag – 19. Wahlperiode Ziffer des Maßnahmen                      Haushaltsmittel/Steuer- Umsetzungsstand Konjunktur-                                mehreinnahmen/Steuer- pakets                                   mindereinnahmen (–) 35 c    – Modul (a) Bonus-Pro-         Rd. 2 Mrd. Euro          Die vier zur Umsetzung ge- gramm Fahrzeugherstel-                               planten Richtlinien liegen ler Digitalisierung/Indus-                           im Entwurf vor und befin- trie 4.0                                             den sich in der internen Ab- – Modul (b) Produktnahe                                 stimmung. Forschung und Entwick-                               Eine Projektträgeraus- lung                                                 schreibung befindet sich – Modul (c) Regionale Inno-                             ebenfalls in Vorbereitung. vationscluster der Indus- trie Sowie Erarbeitung regionaler Transformationsstrategien, Ausbau des bestehenden Bun- desprogramms „Aufbau von Weiterbildungsverbünden“ und Start eines neues Bundespro- gramms regionale „Qualifizie- rungscluster“. 35 d    Flottenaustauschprogramm       200 Mio. Euro            Ein erster Förderaufruf „Sozial & Mobil“ (Elektromo-                            wurde am 2. November bilität)                                                2020 veröffentlicht. Erste Bewilligungen sind für An- fang 2021 geplant. 35 e    Flottenaustauschprogramm 30 Mio. Euro                   Am 4. August 2020 startete für Handwerker und KMU für Finanzierung erfolgte aus ein Aufruf zur Beschaffung Elektronutzfahrzeuge bis 7,5 t den Mitteln zur Förde-   von E-Nutzfahrzeugen für rung von Nutzfahrzeu-    Handwerker und KMU. gen)                     Anträge wurden bis Ende 2020 bewilligt.
10

Zur nächsten Seite