/ 4
PDF herunterladen
Deutscher Bundestag                                                                    Drucksache 19/26310 19. Wahlperiode                                                                                          01.02.2021 Antwort der Bundesregierung auf die Kleine Anfrage der Abgeordneten Thomas Seitz, Martin Erwin Renner, Corinna Miazga, weiterer Abgeordneter und der Fraktion der AfD Korrekturbitten des Bundeskriminalamtes (BKA) gegenüber Medien im Januar 2020 – Drucksache 19/26048 – Korrekturbitten des Bundespolizeipräsidiums (BPOL) im Oktober 2019 – Drucksache 19/26050 – Korrekturbitten der Bundeszentrale für politische Bildung (BpB) im Oktober 2019 – Drucksache 19/26061 – Korrekturbitten des Bundesverwaltungsamtes (BVA) im Oktober 2019 – Drucksache 19/26062 – (Nachfrage zur Antwort der Bundesregierung auf die Kleine Anfrage auf Bundestagsdrucksache 19/7472) Vorbemerkung der Fragesteller Kleine Anfragen sind ein Bestandteil der parlamentarischen Kontrollfunktion des Deutschen Bundestages und Ausfluss des Demokratieprinzips. Aus Arti- kel 38 Absatz 1 Satz 2 des Grundgesetzes (GG) und Artikel 20 Absatz 2 Satz 2 GG folgt ein Frage- und Informationsrecht des Deutschen Bundestages gegenüber der Bundesregierung, an dem die einzelnen Abgeordneten und die Fraktionen als Zusammenschlüsse von Abgeordneten nach Maßgabe der Aus- gestaltung in der Geschäftsordnung des Deutschen Bundestages teilhaben und mit dem grundsätzlich eine Antwortpflicht der Bundesregierung korrespon- diert (Bundesverfassungsgericht, Urteil vom 1. Juli 2009 – 2 BvE 5/06). Während andere Schriftliche Fragen über Anzahl und Anlass von an Medien gerichteten Korrekturbitten bei objektiv unzutreffender Berichterstattung noch von der Bundesregierung detailliert nach Datum, Behörde, Medium und An- lass beantwortet wurden (Bundestagsdrucksache 19/4421, Fragen 54 und 55), verweigert sich die Bundesregierung nach Ansicht der Fragesteller einer detaillierten Beantwortung gleichgerichteter Fragen seitens der Fragesteller (Bundestagsdrucksache 19/7472). Gefragt war in Frage 1: „Welche Bundesministerien, obersten Bundesbehör- den und oberen Bundesbehörden mit Ausnahme des BND, des MAD, des BfV und des BKA haben seit dem Jahr 2001 aufgrund welcher Veröffentlichungen mittels anwaltlicher Hilfe oder ohne anwaltliche Hilfe an Medien Korrektur- bitten verschickt (bitte nach Bundesministerien, obersten Bundesbehörden, Die Antwort wurde namens der Bundesregierung mit Schreiben des Bundesministeriums des Innern, für Bau und Heimat vom 27. Januar 2021 übermittelt. Die Drucksache enthält zusätzlich – in kleinerer Schrifttype – den Fragetext.
1

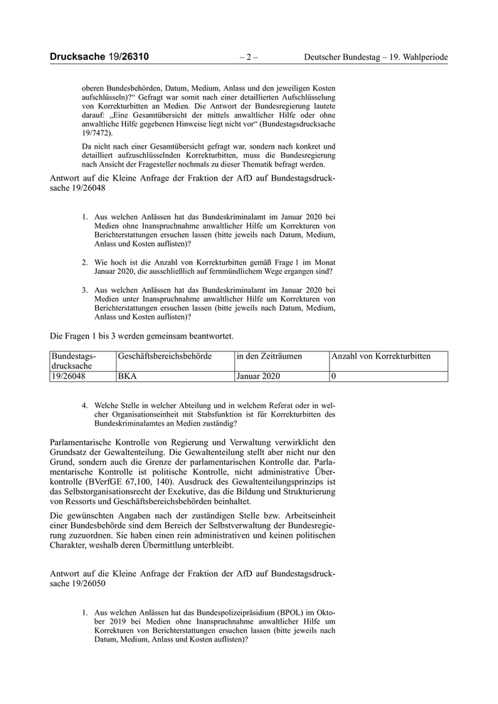
Drucksache 19/26310                                       –2–               Deutscher Bundestag – 19. Wahlperiode oberen Bundesbehörden, Datum, Medium, Anlass und den jeweiligen Kosten aufschlüsseln)?“ Gefragt war somit nach einer detaillierten Aufschlüsselung von Korrekturbitten an Medien. Die Antwort der Bundesregierung lautete darauf: „Eine Gesamtübersicht der mittels anwaltlicher Hilfe oder ohne anwaltliche Hilfe gegebenen Hinweise liegt nicht vor“ (Bundestagsdrucksache 19/7472). Da nicht nach einer Gesamtübersicht gefragt war, sondern nach konkret und detailliert aufzuschlüsselnden Korrekturbitten, muss die Bundesregierung nach Ansicht der Fragesteller nochmals zu dieser Thematik befragt werden. Antwort auf die Kleine Anfrage der Fraktion der AfD auf Bundestagsdruck- sache 19/26048 1. Aus welchen Anlässen hat das Bundeskriminalamt im Januar 2020 bei Medien ohne Inanspruchnahme anwaltlicher Hilfe um Korrekturen von Berichterstattungen ersuchen lassen (bitte jeweils nach Datum, Medium, Anlass und Kosten auflisten)? 2. Wie hoch ist die Anzahl von Korrekturbitten gemäß Frage 1 im Monat Januar 2020, die ausschließlich auf fernmündlichem Wege ergangen sind? 3. Aus welchen Anlässen hat das Bundeskriminalamt im Januar 2020 bei Medien unter Inanspruchnahme anwaltlicher Hilfe um Korrekturen von Berichterstattungen ersuchen lassen (bitte jeweils nach Datum, Medium, Anlass und Kosten auflisten)? Die Fragen 1 bis 3 werden gemeinsam beantwortet. Bundestags-         Geschäftsbereichsbehörde            in den Zeiträumen         Anzahl von Korrekturbitten drucksache 19/26048            BKA                                 Januar 2020               0 4. Welche Stelle in welcher Abteilung und in welchem Referat oder in wel- cher Organisationseinheit mit Stabsfunktion ist für Korrekturbitten des Bundeskriminalamtes an Medien zuständig? Parlamentarische Kontrolle von Regierung und Verwaltung verwirklicht den Grundsatz der Gewaltenteilung. Die Gewaltenteilung stellt aber nicht nur den Grund, sondern auch die Grenze der parlamentarischen Kontrolle dar. Parla- mentarische Kontrolle ist politische Kontrolle, nicht administrative Über- kontrolle (BVerfGE 67,100, 140). Ausdruck des Gewaltenteilungsprinzips ist das Selbstorganisationsrecht der Exekutive, das die Bildung und Strukturierung von Ressorts und Geschäftsbereichsbehörden beinhaltet. Die gewünschten Angaben nach der zuständigen Stelle bzw. Arbeitseinheit einer Bundesbehörde sind dem Bereich der Selbstverwaltung der Bundesregie- rung zuzuordnen. Sie haben einen rein administrativen und keinen politischen Charakter, weshalb deren Übermittlung unterbleibt. Antwort auf die Kleine Anfrage der Fraktion der AfD auf Bundestagsdruck- sache 19/26050 1. Aus welchen Anlässen hat das Bundespolizeipräsidium (BPOL) im Okto- ber 2019 bei Medien ohne Inanspruchnahme anwaltlicher Hilfe um Korrekturen von Berichterstattungen ersuchen lassen (bitte jeweils nach Datum, Medium, Anlass und Kosten auflisten)?
2

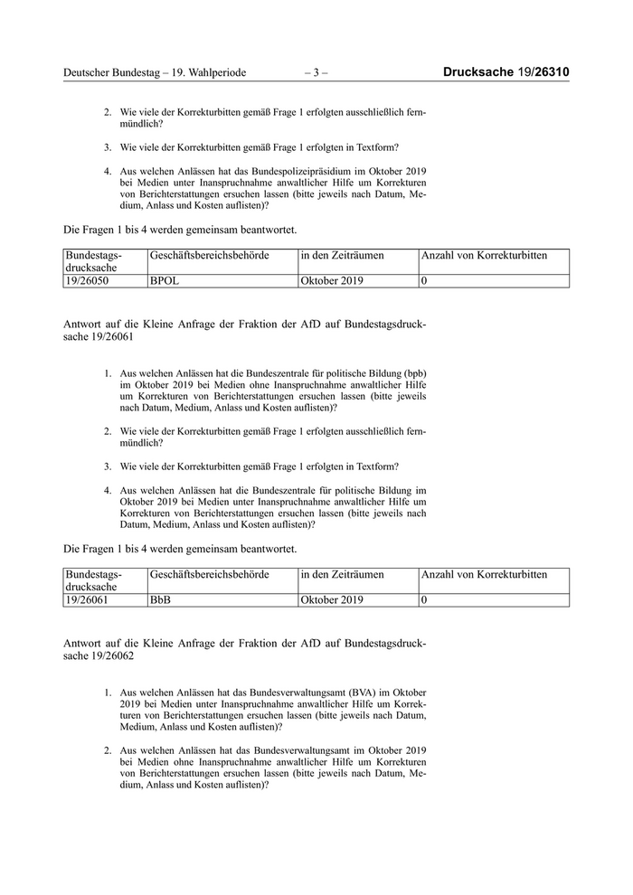
Deutscher Bundestag – 19. Wahlperiode                   –3–                              Drucksache 19/26310 2. Wie viele der Korrekturbitten gemäß Frage 1 erfolgten ausschließlich fern- mündlich? 3. Wie viele der Korrekturbitten gemäß Frage 1 erfolgten in Textform? 4. Aus welchen Anlässen hat das Bundespolizeipräsidium im Oktober 2019 bei Medien unter Inanspruchnahme anwaltlicher Hilfe um Korrekturen von Berichterstattungen ersuchen lassen (bitte jeweils nach Datum, Me- dium, Anlass und Kosten auflisten)? Die Fragen 1 bis 4 werden gemeinsam beantwortet. Bundestags-       Geschäftsbereichsbehörde            in den Zeiträumen             Anzahl von Korrekturbitten drucksache 19/26050          BPOL                                Oktober 2019                  0 Antwort auf die Kleine Anfrage der Fraktion der AfD auf Bundestagsdruck- sache 19/26061 1. Aus welchen Anlässen hat die Bundeszentrale für politische Bildung (bpb) im Oktober 2019 bei Medien ohne Inanspruchnahme anwaltlicher Hilfe um Korrekturen von Berichterstattungen ersuchen lassen (bitte jeweils nach Datum, Medium, Anlass und Kosten auflisten)? 2. Wie viele der Korrekturbitten gemäß Frage 1 erfolgten ausschließlich fern- mündlich? 3. Wie viele der Korrekturbitten gemäß Frage 1 erfolgten in Textform? 4. Aus welchen Anlässen hat die Bundeszentrale für politische Bildung im Oktober 2019 bei Medien unter Inanspruchnahme anwaltlicher Hilfe um Korrekturen von Berichterstattungen ersuchen lassen (bitte jeweils nach Datum, Medium, Anlass und Kosten auflisten)? Die Fragen 1 bis 4 werden gemeinsam beantwortet. Bundestags-       Geschäftsbereichsbehörde            in den Zeiträumen             Anzahl von Korrekturbitten drucksache 19/26061          BbB                                 Oktober 2019                  0 Antwort auf die Kleine Anfrage der Fraktion der AfD auf Bundestagsdruck- sache 19/26062 1. Aus welchen Anlässen hat das Bundesverwaltungsamt (BVA) im Oktober 2019 bei Medien unter Inanspruchnahme anwaltlicher Hilfe um Korrek- turen von Berichterstattungen ersuchen lassen (bitte jeweils nach Datum, Medium, Anlass und Kosten auflisten)? 2. Aus welchen Anlässen hat das Bundesverwaltungsamt im Oktober 2019 bei Medien ohne Inanspruchnahme anwaltlicher Hilfe um Korrekturen von Berichterstattungen ersuchen lassen (bitte jeweils nach Datum, Me- dium, Anlass und Kosten auflisten)?
3

Drucksache 19/26310                                                     –4–                        Deutscher Bundestag – 19. Wahlperiode 3. Wie viele der Korrekturbitten gemäß Frage 2 erfolgten ausschließlich fern- mündlich? 4. Wie viele der Korrekturbitten gemäß Frage 2 erfolgten in Textform? Die Fragen 1 bis 4 werden gemeinsam beantwortet. Bundestags-             Geschäftsbereichsbehörde                       in den Zeiträumen                       Anzahl von Korrekturbitten drucksache 19/26062                BVA                                            Oktober 2019                            0 Gesamtherstellung: H. Heenemann GmbH & Co. KG, Buch- und Offsetdruckerei, Bessemerstraße 83–91, 12103 Berlin, www.heenemann-druck.de Vertrieb: Bundesanzeiger Verlag GmbH, Postfach 10 05 34, 50445 Köln, Telefon (02 21) 97 66 83 40, Fax (02 21) 97 66 83 44, www.betrifft-gesetze.de ISSN 0722-8333
4