/ 8
PDF herunterladen
Deutscher Bundestag                                                                      Drucksache 19/20300 19. Wahlperiode                                                                                        23.06.2020 Antwort der Bundesregierung auf die Kleine Anfrage der Abgeordneten Oliver Luksic, Frank Sitta, Bernd Reuther, weiterer Abgeordneter und der Fraktion der FDP – Drucksache 19/19801 – NOx-Belastung ohne Verkehr? Vorbemerkung der Fragesteller In Deutschland bestehen aktuell vier Fahrverbotszonen bzw. Fahrverbotsstra- ßen, umgangssprachlich „Dieselfahrverbote“ genannt, aufgrund zu hoher Messwerte von Stickstoffdioxid (NO2). Durch sie ist auf bestimmten Straßen in Hamburg, Berlin und Darmstadt sowie im Stadtgebiet von Stuttgart die Durchfahrt für Fahrzeuge festgelegter Euro-Klassen nicht erlaubt. In Mainz, Bonn und Köln soll es zudem zeitnah Fahrverbote geben und in weiteren Städten sind aufgrund von Klagen ebenfalls Verbote möglich. Gleichzeitig durchlebt die Bundesrepublik Deutschland aufgrund des Corona- virus möglicherweise die schwerste Krise ihrer Geschichte. Um die Ausbrei- tung des Virus so gut wie möglich einzuschränken, sind auf Bundes-, Landes- sowie kommunaler Ebene verschiedenste Maßnahmen ergriffen worden. Diese haben, gemeinsam mit dem weitestgehenden Wechsel vieler Unternehmen, Behörden und Selbstständiger zur Heimarbeit, zu einer deutlich geringeren Verkehrsauslastung im gesamten Bundesgebiet geführt. Nach Angaben des Allgemeinen Deutschen Automobil-Clubs (ADAC) hat sich die Zahl und Län- ge der Staus deutlich verringert (https://www.autoflotte.de/nachrichten/artikel/ strassenverkehr-anti-corona-massnahmen-leeren-deutschlands-autobahnen-25 86222.html). Für den innerstädtischen Verkehr ergibt sich nach Aussage der Firma Tomtom eine ähnliche Entwicklung. Statt stockenden Verkehrs und vol- ler Fahrbahnen herrscht vielerorts eine ungewohnte Leere auf den Straßen vor (https://www.sueddeutsche.de/auto/verkehr-stau-corona-1.4857721). Dennoch sind viele an Luftqualitätsmessstellen in Deutschland erfasste Werte für die Belastung mit NO2 weiterhin konstant beziehungsweise teilweise sogar leicht erhöht. Beispielhaft steht dafür die Messstelle „Am Neckartor“ in Stutt- gart, an der auch seit dem Ausbruch des Coronavirus in Deutschland Werte über dem Grenzwert für Stickstoffoxide (NOx) gemessen werden. So etwa am 31. März 2020, als um 8 Uhr ein Wert von 68 Mikrogramm pro Kubikmeter und um 10 Uhr ein Wert von 59 Mikrogramm pro Kubikmeter erfasst wurden (https://www.lubw.baden-wuerttemberg.de/luft/messwerte-immissionswerte?c omp=LUQX&id=DEBW118#diagramm). Da diese und ähnliche Messungen die Grundlage für bestehende und drohende Fahrverbote bilden, ist die Wir- kung von Verkehr bzw. Fahrverboten auf die Belastung mit NOx nach Ansicht Die Antwort wurde namens der Bundesregierung mit Schreiben des Bundesministeriums für Umwelt, Naturschutz und nuk­ leare Sicherheit vom 22. Juni 2020 übermittelt. Die Drucksache enthält zusätzlich – in kleinerer Schrifttype – den Fragetext.
1

Drucksache 19/20300                                      –2–                 Deutscher Bundestag – 19. Wahlperiode der Fragesteller scheinbar weniger stark ausgeprägt als bisher durch das Um- weltbundesamt und andere publiziert. 1. Welche konkreten Zahlen liegen der Bundesregierung hinsichtlich der Ver- kehrserfassung an den Messstationen in den von einem Fahrverbot betrof- fenen deutschen Städten und Kommunen im Zeitraum von Januar 2020 bis April 2020 und den gleichen Zeitraum für 2019 vor (bitte nach Kalender- woche, Messstation, Anzahl und Art von Kraftfahrzeugen auflisten)? Der Bundesregierung liegen keine der Frage entsprechenden Informationen zu den betroffen Städten Berlin, Darmstadt, Hamburg und Stuttgart vor. 2. Welche konkreten Messwerte liegen der Bundesregierung hinsichtlich der Messwerte von NOx an den Messstationen in den von einem Fahrverbot betroffenen deutschen Städten und Kommunen für den Zeitraum von Ja- nuar 2020 bis April 2020 und den gleichen Zeitraum für 2019 vor (bitte nach Kalenderwoche, Messstation und NOx-Wert auflisten)? Es wird davon ausgegangen, dass die Frage auf Daten für das gesundheits- schädliche Stickstoffdioxid (NO2) und nicht auf NOx-Daten zielt. Der EU-weit geltende Immissionsgrenzwert (40 Mikrogramm pro Kubikmeter Luft im Jah- resmittel) zum Schutz der Gesundheit gilt für NO2. Fahrverbote wurden wegen anhaltender Überschreitung dieses Grenzwertes erlassen. Für die von Fahrver- boten betroffenen Städte Berlin, Darmstadt, Hamburg und Stuttgart liegen der Bundesregierung alle von den Landesbehörden mit dem Referenzverfahren er- hobene NO2-Konzentrationsdaten in stündlicher Auflösung vor. Tabellarisch sind für alle Messstationen in diesen Städten in der Anlage die NO2- Wochenmittelwerte für die Kalenderwochen 1 bis 18 in den Jahren 2019 und 2020 aufgelistet. Die Wochenmittelwerte wurden aus den stündlichen Daten er- rechnet. Liegen in einer Kalenderwoche weniger als 90 Prozent der möglichen Stundenwerte vor, kann kein korrekter Wochenmittelwert ermittelt und in der Tabelle aufgelistet werden. Daten von Messstationen, an denen die NO2-Konzentration ausschließlich mit Passivsammlern überwacht wird, sind in der Tabelle nicht enthalten. Passiv- sammler werden monatlich im Labor analysiert. Das Laborverfahren auf der Grundlage von Monatswerten ermöglicht keine Ermittlung von Wochenmittel- werten. Für das Jahr 2020 werden die Laborergebnisse der Passivsammler der Bundesregierung erst im Mai 2021 vorliegen. 3. Welche Schlüsse zieht die Bundesregierung aus den von den Landesbehör- den erfassten und von diesen sowie der Presse publizierten NOx- Messwerten seit Ausbruch des Coronavirus in Deutschland hinsichtlich der geltenden Schutzmaßnahmen und Reglementierungen in der aktuellen Krisensituation in Bezug auf den Straßenverkehr? Die Bundesregierung zieht aus den von den Landesbehörden erfassten Messda- ten zu NO2 seit Ausbruch der Corona-Pandemie den Schluss, dass kein Ände- rungsbedarf an den geltenden Regelungen zur Luftqualität in Städten besteht.
2

Deutscher Bundestag – 19. Wahlperiode                     –3–                        Drucksache 19/20300 4. Wie erklärt die Bundesregierung konstante oder gestiegene NOx-Messwer- te an den betroffenen Messstationen trotz gegenwärtig gesunkener Ver- kehrsströme, und welche Schlüsse zieht sie daraus? Die Bundesregierung verweist allgemein darauf, dass eine Reduzierung von Emissionen, zum Beispiel durch Abnahme des motorisierten Straßenverkehrs, grundsätzlich eine Verringerung der Luftbelastung zur Folge hat. Dies zeigt sich auch an den NO2-Messwerten der in Frage stehenden Messstationen. Me- teorologische Effekte können die Auswirkung dieser Emissionsminderung je- doch überlagern. Dies ist bei kurzzeitigen Beobachtungen und Aussagen zur Luftqualität zu berücksichtigen. Entscheidend dafür, ob im Hinblick auf die NO2-Belastung Maßnahmen der Luftreinhalteplanung erforderlich sind, ist die Einhaltung des Jahresmittelgrenzwerts von 40 Mikrogramm pro Kubikmeter Luft. Für eine langfristige und dauerhafte Verbesserung der Luftqualität ist aus Sicht der Bundesregierung eine gezielte Luftreinhaltepolitik erforderlich, kurz- fristige Minderungseffekte, wie im Rahmen der Corona-Pandemie beobachtet, sind nicht ausreichend. 5. Kann die Bundesregierung fehlerhafte Messwerte oder Messungen an den betroffenen Messstationen ausschließen (bitte begründen)? 6. In welcher Form werden die erfassten Messdaten an den betroffenen Messstationen kritisch hinterfragt und geprüft? 7. Wird die Bundesregierung die erfassten Messdaten an den betroffenen Messstationen für den Zeitraum von Januar 2020 bis April 2020 kritisch prüfen bzw. dies gegenüber den Bundesländern anregen (bitte begründen)? Die Fragen 5 bis 7 werden gemeinsam beantwortet. Der Vollzug des Immissionsschutzrechts obliegt den zuständigen Behörden der Länder. Hierzu zählt auch die Qualitätssicherung bei der Beurteilung der Luft- qualität, die auf hohem wissenschaftlichen Niveau erfolgt. Die Bundesregie- rung hat keinerlei Anhaltspunkte für fehlerhafte Messungen an den betroffenen Messstationen und keine Veranlassung, eine Überprüfung anzuregen. 8. Sind aus Sicht der Bundesregierung Verkehrszählungen an den betroffenen Messstationen in den kommenden Wochen notwendig (bitte begründen)? Die Bundesregierung geht davon aus, dass die zuständigen Behörden der Län- der vor Ort dann Verkehrszählungen durchführen, wenn dies sachlich geboten ist. Die Bundesregierung hat keine Veranlassung, die Durchführung von Ver- kehrszählungen anzuregen. 9. Sind seit dem Ausbruch des Coronavirus nach Kenntnis der Bundesregie- rung Verkehrszählungen an oder in der Nähe von Messstationen durchge- führt worden? Liegen der Bundesregierung diesbezüglich Ergebnisse vor, und wenn ja, wie lauten diese (bitte nach Zählvorgang einzeln aufschlüsseln)? Der Bundesregierung liegen keine eigenen Informationen über Verkehrszählun- gen an oder in der Nähe von Messstationen vor.
3

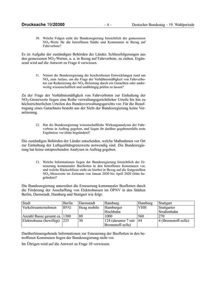
Drucksache 19/20300                                      –4–                 Deutscher Bundestag – 19. Wahlperiode 10. Welche Folgen sieht die Bundesregierung hinsichtlich der gemessenen NOx-Werte für die betroffenen Städte und Kommunen in Bezug auf Fahrverbote? Es ist Aufgabe der zuständigen Behörden der Länder, Schlussfolgerungen aus den gemessenen NO2-Werten, u. a. in Bezug auf Fahrverbote, zu ziehen. Ergän- zend wird auf die Antwort zu Frage 4 verwiesen. 11. Nimmt die Bundesregierung die beschriebenen Entwicklungen rund um NOx zum Anlass, um die Frage der Verhältnismäßigkeit von Fahrverbo- ten zur Reduzierung der NOx-Belastung durch ein Gutachten oder ander- weitig wissenschaftlich und unabhängig prüfen zu lassen? Zu der Frage der Verhältnismäßigkeit von Fahrverboten zur Einhaltung der NO2-Grenzwerte liegen eine Reihe verwaltungsgerichtlicher Urteile bis hin zu höchstrichterlichen Urteilen des Bundesverwaltungsgerichts vor. Für die Beauf- tragung eines Gutachtens besteht aus der Sicht der Bundesregierung keine Ver- anlassung. 12. Hat die Bundesregierung wissenschaftliche Wirkungsanalysen der Fahr- verbote in Auftrag gegeben, und liegen ihr darüber gegebenenfalls erste Ergebnisse vor (bitte begründen)? Die zuständigen Behörden der Länder entscheiden, welche Maßnahmen vor Ort zur Einhaltung der Luftqualitätsgrenzwerte notwendig sind. Die Bundesregie- rung hat keine entsprechenden Analysen in Auftrag gegeben. 13. Welche Informationen liegen der Bundesregierung hinsichtlich der Er- neuerung kommunaler Busflotten in den betroffenen Kommunen vor, und welche Rückschlüsse zieht sie hierbei in Bezug auf die festgestellten NOx-Messwerte im Zeitraum von Januar 2020 bis April 2020 (bitte be- gründen)? Die Bundesregierung unterstützt die Erneuerung kommunaler Busflotten durch die Förderung der Anschaffung von Elektrobussen im ÖPNV in den Städten Berlin, Darmstadt, Hamburg und Stuttgart wie folgt: Stadt                      Berlin      Darmstadt        Hamburg                 Hamburg    Stuttgart Verkehrsunternehmen        BVG         Heag mobilo      Hamburger               VHH        Stuttgarter Hochbahn                           Straßenbahn Anzahl Busse gesamt ca. 1300           80               1000                    560        270 Elektrobusse (bewilligt) 225           30               124 (darunter 7 mit     44         4 (Brennstoff-zelle) Brennstoff-zelle) Darüberhinausgehende Informationen zur Erneuerung der Busflotten in den be- troffenen Kommunen liegen der Bundesregierung nicht vor. Im Übrigen wird auf die Antwort zu Frage 10 verwiesen.
4

Deutscher Bundestag – 19. Wahlperiode                  –5–                            Drucksache 19/20300 14. Geben die aufgeführten Beobachtungen der Bundesregierung Anlass zu einer Überarbeitung des Bundes-Immissionsschutzgesetzes (bitte begrün- den)? 15. Welche Schlüsse zieht die Bundesregierung, insbesondere vor diesem Hintergrund, aus der Änderung des Bundes-Immissionsschutzgesetzes im November 2018? Die Fragen 14 und 15 werden gemeinsam beantwortet. Die Beobachtungen geben keinen Anlass zu einer Änderung des Bundes- Immissionsschutzgesetzes. Das Bundes-Immissionsschutzgesetz sieht im Fall von Überschreitungen von Luftqualitätsgrenzwerten vor, dass Maßnahmen ent- sprechend des Verursacheranteils unter Beachtung des Grundsatzes der Verhält- nismäßigkeit gegen alle Emittenten zu richten sind, die zur Überschreitung bei- tragen. Hauptquelle der NO2-Belastung in Städten ist der Straßenverkehr und hier vor allem Diesel-Pkw. Das am 12. April 2019 in Kraft getretene Dreizehnte Gesetz zur Änderung des Bundes-Immissionsschutzgesetzes sieht bundesweit einheitliche Maßstäbe für die Verhältnismäßigkeit von Verkehrsverboten vor. 16. Wie sind die Modellrechnungen des Umweltbundesamtes zu NOx- Werten genau formuliert, und in welchem Zusammenhang finden diese Anwendung? Die Antworten zu den Fragen 16 bis 18 beziehen sich aus den in der Antwort zu Frage 2 genannten Gründen schwerpunktmäßig ebenfalls auf NO2 und nicht auf NOx. Das Umweltbundesamt führt Modellrechnungen zu NO2 zum einen in einem regionalen Maßstab durch. Dabei ist das Ziel, der Öffentlichkeit histori- sche oder aktuelle Konzentrationsverteilungen zur Verfügung zu stellen sowie die Auswirkung nationaler Emissionsminderungsmaßnahmen auf die NO2- Konzentrationen zu bewerten. Diese Modellrechnungen werden meist für das ganze Bundesgebiet durchgeführt. Mit ihnen ist aufgrund nicht hinreichender räumlicher Auflösung keine Aussage zur kleinräumigen NO2-Verteilung ent- lang stark befahrener Straßen möglich. Zudem werden vom Umweltbundesamt Modellrechnungen zur exemplarischen lokalen Abschätzungen der NO2- Konzentrationen an Belastungsschwerpunkten wie z. B. der Landshuter Allee in München vorgenommen, um die Wirkung bestimmter Maßnahmen wie z. B. Software-Updates bei Diesel-Pkw zu untersuchen. Für die Betrachtung im regionalen Maßstab berechnet das Umweltbundesamt die NO2-Konzentrationen mit unterschiedlichen Modellen. Für diesen Zweck sind regionale Chemie-Transportmodelle geeignet, die rasterbasiert Konzentra- tionen unter Berücksichtigung der wichtigsten chemischen Umwandlungen und physikalischen Prozesse berechnen. Für die deutschlandweite Modellierung kommt seitens des Umweltbundesam- tes das Modellsystem REM-Calgrid (RCG) zum Einsatz. Es bietet die Möglich- keit, die Luftqualität mit einer Maschenweite von 2x2 km² zu berechnen. Dabei wird der Transport der Luftschadstoffe anhand des Windfeldes sowie chemi- scher Umwandlungen und physikalischer Prozesse beschrieben. Die chemi- schen Gasphasenreaktionen werden mit einem Carbon-Bond-IV-Mechanismus beschrieben. Die Luftschadstoffe unterliegen im Modell auch den Prozessen der trockenen und nassen Deposition. Der Eintrag der Luftschadstoffe in das Modellsystem erfolgt über die Emissionen und über die Ränder des betrachte- ten Modellgebietes. Die Emissionen werden für Deutschland auf Basis der nati- onalen Jahressummen aus unterschiedlichen Sektoren mit dem GRETA-Tool des Umweltbundesamtes (https://www.umweltbundesamt.de/sites/default/files/ medien/1968/publikationen/2016-11-09_griddingtool_greta_langfassung_fina
5

Drucksache 19/20300                                       –6–                Deutscher Bundestag – 19. Wahlperiode l.pdf) räumlich verteilt. Die zeitliche Aufteilung der Jahresemissionen auf indi- viduelle Stunden erfolgt über sektorspezifische Tages-, Wochen- und Monats- profile. Zusätzlich werden biogene Emissionen berücksichtigt. Die meteorolo- gischen Daten stammen von der Modellkette des Deutschen Wetterdienstes (COMSO-D2 und ICON) und beinhalten alle relevanten meteorologischen zwei- und dreidimensionalen Variablen (z. B. Wind, Temperatur, Druck, Nie- derschlag) in stündlicher Auflösung. Zusätzliche Eingangsdaten beschreiben die Landoberfläche und die Emissionen außerhalb von Deutschland. Mit die- sem Modellsystem werden stündliche Konzentrationen berechnet. Die stündli- chen Konzentrationen aus RCG werden nachträglich mit der Methode der opti- malen Interpolation mit den offiziell gemessenen Luftschadstoffkonzentratio- nen nivelliert. Die Veröffentlichung der Daten erfolgt auf der Seite http://gis.ub a.de/Website/luft/index.html. Für das nationale Luftreinhalteprogramm hat das Umweltbundesamt die Wirk- samkeit von Maßnahmen extern mit dem Modellsystem EURAD in regionalem Maßstab berechnen lassen. Ein Datensatz zur Hintergrundbelastung für die at- mosphärische Stickstoffdeposition, den das Umweltbundesamt in seinem Kar- tendienst bereitstellt, wird extern mit dem regionalen Chemie-Transport-Modell LOTOS-EUROS berechnet. Für die exemplarische Bewertung von Maßnahmen an Belastungsschwerpunk- ten werden zunächst die Verkehrszahlen und die Flottenzusammensetzung am Belastungsschwerpunkt benötigt, um die Emissionen auf Basis des Handbuches für Emissionsfaktoren (HBEFA) zu bestimmen. Die Fahrzeugflotte wird aus dem deutschlandweiten Flottenmix dem TREMOD Modell entnommen. Mit diesen Eingangsdaten können Maßnahmen wie Software-Updates an Euro-5 Diesel-P abgebildet werden, indem der Emissionsfaktor aus HBEFA entspre- chend verringert wird. Mit diesen Informationen zur lokalen Emissionssituation kann die NO2-Konzentration mit und ohne Maßnahme mit einem einfachen Modell abgeschätzt werden. In das Modell fließen zusätzlich die städtische NO2-Hintergrundbelastung in einem Referenzjahr und die tatsächlich am Be- lastungsschwerpunkt gemessenen NO2-Konzentrationen im Referenzjahr ein. Für die Berücksichtigung der chemischen Umwandlungsprozesse muss zudem das Verhältnis von NOx-Emissionen und NO2-Direktemissionen bekannt sein. Eine ausführliche Beschreibung der Berechnungsmethode wird in einem Be- richt zur Wirkung der Beschlüsse des Diesel-Gipfels auf die NO2- Konzentration (https://www.umweltbundesamt.de/sites/default/files/medien/25 46/dokumente/wirkung_der_beschluesse_des_diesel-gipfels_auf_die_no2-gesa mtkonzentration.pdf) aus dem Jahr 2017 gegeben. 17. Werden Modellrechnungen nach Kenntnis der Bundesregierung bundes- weit nach einheitlichen Vorgaben durchgeführt, und wenn nein, wie un- terscheiden sich die Modellrechnungen der Länder, des Bundes sowie weiterer staatlicher Akteure? Gibt es diesbezüglich Pläne von Seiten der Bundesregierung, einheitliche Vorgaben anzuregen bzw. zu etablieren? Die Modellrechnungen der zuständigen Behörden der Länder werden in deren Verantwortung zum Zweck der Beurteilung der Luftqualität bei Konzentratio- nen unterhalb der unteren Beurteilungsschwelle, der Messnetzplanung und der Luftreinhalteplanung durchgeführt. Der Fokus liegt dabei auf kleinräumigen und detaillierten Ausbreitungsrechnungen (z. B. mit MISKAM oder LASAT) und vereinfachten Screening-Rechnungen für größere urbane Gebiete (z. B. mit PROKAS oder Immis-Luft). Es werden allerdings auch regionale Betrachtun- gen für einzelne Länder mit Chemie-Transportmodellen durchgeführt (z. B. mit REM-Calgrid oder EURAD). Eine Zusammenstellung ausgewählter Länder
6

Deutscher Bundestag – 19. Wahlperiode                  –7–                           Drucksache 19/20300 und der jeweils verwendeten Modelle für die Beurteilung der Luftqualität und die Luftreinhalteplanung wird in nachfolgender Tabelle gegeben (Stand 2015). Land                                     Modelle Brandenburg                              Immis-Luft, PROKAS, MISKAM MISKAM, REM-Calgrid (RCG), Mecklenburg-Vorpommern                   Immis-Luft EURAD, Immis-Luft, RLUS, MIS- Nordrhein-Westfalen                      KAM, LASAT Rheinland-Pfalz                          EURAD, LASAT, Austal 86 RCG, Immis-Net, Immis-Luft, MIS- Berlin                                   KAM Thüringen                                MISKAM, PROKAS Sachsen-Anhalt                           Immis-Luft, Immis-Net, LASAT Die auf Bundesebene durchgeführten Modellrechnungen sind in der Antwort zu Frage 16 beschrieben. Einheitliche Vorgaben, insbesondere für die kleinräumi- gen Ausbreitungsrechnungen, und deren Eingangsdaten wie Meteorologie und Emissionen werden in VDI-Arbeitsgruppen erarbeitet und als Richtlinien ver- öffentlichet (z. B. VDI-Richtlinien 3782 Blatt 7; 3783 Blatt 7, 8, 9, 13, 14 und 20; 3945 Blatt 3). Das Umweltbundesamt und die Länder sind in vielen dieser nationalen Gremien aktiv vertreten. Die VDI-Richtlinien werden bei Bedarf ak- tualisiert. Auf europäischer Ebene wird mit deutscher Beteiligung an einem Standard zur Qualitätssicherung von Modellrechnungen auf allen Skalen gear- beitet (CEN TC264/WG43). Eine darüber hinaus gehende Vereinheitlichung könnte sich im Rahmen der Novellierung der Richtlinie über Luftqualität und saubere Luft für Europa auf Ebene der Europäischen Union ergeben, sofern der Modellierung eine größere Bedeutung bei der Beurteilung der Luftqualität zu- kommen soll. Die Bundesregierung wird diesen Prozess aktiv begleiten. Die Emissionen aus dem Verkehrssektor werden in den Ländern und der gut- achterlichen Praxis mit dem HBEFA, das fortlaufend auf Basis neuer Erkennt- nisse unter Beteiligung des Umweltbundesamtes aktualisiert wird, berechnet. Das HBEFA bildet somit eine einheitliche Datenbasis für Emissionsfaktoren des Straßenverkehrs für die Bestimmung der NO2-Konzentrationen mit Aus- breitungsmodellen in den Ländern. 18. Wird das Umweltbundesamt diese Modellrechnungen aufgrund der ge- nannten Beobachtungen kritisch prüfen und überarbeiten (bitte begrün- den)? Die Beobachtungen geben keinen Anlass für eine Überprüfung. Die vom Um- weltbundesamt durchgeführten Modellrechnungen mit dem Modellsystem REM-Calgrid (RCG) werden vor dem Hintergrund neuer wissenschaftlicher Er- kenntnisse fortlaufend geprüft und ggf. aktualisiert. Die Prüfung erfolgt durch den Vergleich mit Messwerten unter Verwendung relevanter Metriken (z. B. Modellqualitätsziel FAIRMODE (Forum for Air Quality Modelling in Euro- pe)). Zudem werden die Eingangsdaten ständig aktualisiert. Für die eingehen- den räumlich verteilten Emissionen wird die jeweils aktuelle Berichterstattung nationaler Emissionssummen zugrunde gelegt, mit der sich gegebenenfalls auch Änderungen bei historischen Emissionen ergeben. Damit ist gesichert, dass auch aktuelle Erkenntnisse hinsichtlich der Emissionen aus dem Straßen- verkehr eingehen, da zur Berechnung der nationalen Summen das HBEFA in seiner aktuellen Version verwendet wird (siehe auch Antwort zu Frage 17). Die meteorologischen Daten basieren auf der Modellkette des DWD, die ebenfalls fortlaufend auf Basis neuer Erkenntnisse aktualisiert wird. Das RCG-
7

Drucksache 19/20300                                                      –8–                        Deutscher Bundestag – 19. Wahlperiode Modellsystem und dessen Eingangsdaten werden zudem fortlaufend im Rah- men von REFOPLAN-Vorhaben aktualisiert. Für die in der Antwort zu Frage 16 beschriebenen lokalen NO2-Abschätzungen an Belastungsschwerpunkten sind die lokalen Emissionen die wichtigsten Eingangsdaten. Diese werden im- mer auf der jeweils aktuellen Version des HBEFA bestimmt. Gesamtherstellung: H. Heenemann GmbH & Co. KG, Buch- und Offsetdruckerei, Bessemerstraße 83–91, 12103 Berlin, www.heenemann-druck.de Vertrieb: Bundesanzeiger Verlag GmbH, Postfach 10 05 34, 50445 Köln, Telefon (02 21) 97 66 83 40, Fax (02 21) 97 66 83 44, www.betrifft-gesetze.de ISSN 0722-8333
8