/ 8
PDF herunterladen
Deutscher Bundestag                                                                  Drucksache 19/14366 19. Wahlperiode                                                                                        23.10.2019 Antwort der Bundesregierung auf die Kleine Anfrage der Abgeordneten Christian Kühn (Tübingen), Daniela Wagner, Britta Haßelmann, Stefan Schmidt und der Fraktion BÜNDNIS 90/DIE GRÜNEN – Drucksache 19/13769 – Evaluation des § 13b des Baugesetzbuchs Vorbemerkung der Fragesteller Mit der Baugesetzbuchnovelle vom Mai 2017 wurden Außenbereichsflächen in das beschleunigte Verfahren zur Genehmigung von Wohnbebauungen über den § 13b BauGB (Baugesetzbuch) einbezogen. Damit entfiel die frühzeitige und förmliche Beteiligung der Öffentlichkeit; für Eingriffe im Sinne der Ein- griffsregelung nach § 1a Absatz 3 BauGB ist kein Ausgleich mehr erforderlich und die Pflicht zur Durchführung einer Umweltprüfung und Erstellung eines Umweltberichts entfällt. Begründet wurde die Einführung des § 13b BauGB mit dem steigenden Be- dürfnis nach Wohnflächen. Er wurde allerdings nicht auf Wohnraummangel- gebiete beschränkt, sondern lediglich zeitlich auf den 31. Dezember 2019 be- fristet. Nach dem Beschluss der Bauministerkonferenz vom September 2018 sollte die Nutzung des § 13b BauGB evaluiert werden. Vor diesem Hinter- grund wurden alle Bundesländer vom Bundesministerium des Innern, für Bau und Heimat gebeten mitzuteilen, in welchem Umfang vom § 13b BauGB von den Kommunen Gebrauch gemacht wurde. Die Antwort wurde namens der Bundesregierung mit Schreiben des Bundesministeriums des Innern, für Bau und Heimat vom 18. Oktober 2019 übermittelt. Die Drucksache enthält – in kleinerer Schrifttype – den Fragetext.
1

Drucksache 19/14366                                       –2–           Deutscher Bundestag – 19. Wahlperiode 1. Wie lauteten die konkreten Fragestellungen des Bundesbauministeriums zur Evaluierung des § 13b BauGB an die Kommunen und Länder? a) Gab es einen Fragenkatalog, und wenn ja, welche Fragen waren darin enthalten (bitte vollständig auflisten)? b) Wie lang war der zeitliche Rahmen für die Länder und Kommunen, um ihre Rückmeldungen einzuspeisen? c) Welcher Erhebungszeitraum lag den Rückmeldungen zugrunde? d) Wie hoch war die Rückmeldequote aus den Kommunen und Ländern? Die Fragen 1 bis 1d werden gemeinsam beantwortet. In der Länderabfrage des Bundesministeriums des Innern, für Bau und Heimat (BMI) vom Januar 2019 wurden die Bundesländer gebeten mitzuteilen, in wel- chem Umfang § 13b des Baugesetzbuchs (BauGB) seit dessen Inkrafttreten im Mai 2017 angewendet wurde. Es wurden Angaben zur Anzahl der hiernach ent- standenen bzw. bauplanungsrechtlich zulässigen Wohneinheiten und ihrer Form (Einfamilienhaus, Doppelhaus, Mehrfamilienhaus, Anzahl der Stockwerke u. Ä.) erbeten. Rückmeldungen sollten bis zum 1. April 2019 erfolgen. Aus allen 16 Bundesländern sind Antworten eingegangen. Die Daten wurden von den Ländern unter Berücksichtigung der jeweiligen Ver- waltungsstruktur in eigener Verantwortung unterschiedlich und in unterschied- licher Detailtiefe erhoben. Eine einheitliche Rückmeldequote kann aufgrund der Angaben der Länderberichte nicht ermittelt werden. 2. Wie oft wurde nach Kenntnis der Bundesregierung der § 13b BauGB an- gewendet (bitte nach Bundesländern aufschlüsseln)? 3. Wie viele Baugebiete, und wie viel überbaubare Grundfläche in Hektar wurden nach Kenntnis der Bundesregierung gemäß § 13b BauGB ge- nehmigt (bitte nach Bundesländern aufschlüsseln)? Die Fragen 2 und 3 werden gemeinsam beantwortet. Die Häufigkeit der Anwendung des § 13b BauGB ergibt sich aus der folgenden Tabelle. Es wird darauf hingewiesen, dass es sich bei den Zahlen um Nähe- rungswerte handelt, da jedenfalls nicht in allen Bundesländern alle Gemeinden an der Abfrage teilgenommen haben. Zahlen zur infolge von Bebauungsplänen gemäß § 13b BauGB überbaubaren Grundfläche im Sinne des § 19 Absatz 2 der Verordnung über die bauliche Nut- zung der Grundstücke (BauNVO) liegen der Bundesregierung nicht vor. Soweit der Bundesregierung Daten zur insgesamt durch Bebauungspläne gemäß § 13b BauGB überplanten Fläche vorliegen, sind diese in der rechten Spalte ange- geben.
2

Deutscher Bundestag – 19. Wahlperiode                  –3–                              Drucksache 19/14366 Land                            Bebauungspläne                         Größe der nach § 13b BauGB                   insgesamt überplanten gesamt                              Fläche rechtskräftig in Aufstellung Baden-Württemberg                                    ca. 300                Durchschnittlich 1,5 ha je Plan (Stichprobenuntersuchung) Bayern (Stand 08/2018)                        122               423         Information liegt nicht vor Berlin                                          0                0          0 Brandenburg                                            126                  24,45 ha bezogen auf 119 Pläne (entspricht durchschnittlich 0,2 ha je Plan) Bremen                                          0                0          0 Hamburg                                         0                0          0 Hessen                                         32                55         Gesamt ca. 80 ha (entspricht durchschnittlich 0,9 ha je Plan) Mecklenburg-Vorpommern                          7                39         Information liegt nicht vor Niedersachsen                                          145                  Information liegt nicht vor Nordrhein-Westfalen                            23                54         Information liegt nicht vor (Stand 31.12.2018) Rheinland-Pfalz                                        136                  Information liegt nicht vor Saarland (Stand 15.03.2019)                              5                  Information liegt nicht vor Sachsen                                        44                45         Überwiegend <1 ha Fläche je Plan Sachsen-Anhalt                                 28                62         Information liegt nicht vor Schleswig-Holstein                             22               105         Gesamt 153,4 ha (entspricht durchschnittlich 1,2 ha je Plan) Thüringen                                      13                31         Information liegt nicht vor 4. Wie viele der nach § 13b BauGB genehmigten Flächen liegen nach Kenntnis der Bundesregierung in Gebieten mit angespannten Wohnungs- märkten nach § 556d Absatz 2 Satz 1; § 558 Absatz 3 Satz 2; § 577a Ab- satz 2 des Bürgerlichen Gesetzbuchs (BGB) (bitte nach Bundesländern aufschlüsseln)? 5. Wie viele der nach § 13b BauGB genehmigten Flächen liegen nach Kenntnis der Bundesregierung nicht in Gebieten mit angespannten Woh- nungsmärkten nach § 556d Absatz 2 Satz 1; § 558 Absatz 3 Satz 2; § 577a Absatz 2 BGB (bitte nach Bundesländern aufschlüsseln)? Die Fragen 4 und 5 werden gemeinsam beantwortet. Der Bundesregierung liegen zur Anwendung von § 13b BauGB in Gebieten mit angespannten Wohnungsmärkten keine Informationen vor. 6. Welche baulichen Dichten wurden nach Kenntnis der Bundesregierung in Bebauungsplänen nach § 13 b BauGB im Vergleich zu baulichen Dichten nach Bebauungsplänen in regulären Verfahren angewendet (bitte nach Bundesländern aufschlüsseln)? Der Bundesregierung liegen keine Informationen zur baulichen Dichte in Plan- gebieten nach § 13b BauGB im Vergleich zu sonstigen Plangebieten vor.
3

Drucksache 19/14366                                     –4–              Deutscher Bundestag – 19. Wahlperiode 7. Wie hoch ist nach Kenntnis der Bundesregierung der Anteil in Quadrat- metern der nach § 13b BauGB bebauten Flächen im Verhältnis zu denen, die nach Bebauungsplänen im nichtbeschleunigten Verfahren bebaut wurden? Der Bundesregierung liegen keine Informationen zur Größe der bebauten Flächen in Plangebieten nach § 13b BauGB im Verhältnis zu sonstigen Plan- gebieten vor. Aus der Abfrage ergibt sich allerdings eine durchschnittliche ab- solute Größe der Plangebiete nach § 13b BauGB von einem Hektar. 8. Wie viele Quadratmeter Wohnbebauung, und wie viele Wohneinheiten wurden nach dem § 13b BauGB genehmigt? a) Wie viele davon in Kommunen mit wachsender Bevölkerung (bitte nach Bundesländern aufschlüsseln)? b) Wie viele davon in Kommunen mit schrumpfender Bevölkerung (bitte nach Bundesländern aufschlüsseln)? Die Fragen 8 bis 8b werden gemeinsam beantwortet. Informationen zur Anzahl der durch die zuständigen Landesbehörden erteilten Baugenehmigungen in Plangebieten des § 13b BauGB liegen der Bundesregie- rung nicht vor. Soweit die Länder in der Länderabfrage zu § 13b BauGB An- gaben zur Zahl der infolge von Planverfahren gemäß § 13b BauGB baurecht- lich zulässigen Wohneinheiten gemacht haben, werden diese in der folgenden Tabelle wiedergegeben. Über weitergehende Erkenntnisse verfügt die Bundes- regierung nicht. Land                              Wohneinheiten ca. Baden-Württemberg                                          8400–11700 (Stichproben-untersuchung) Bayern (Stand 08/2018)                                          2329 Brandenburg                                               keine Angaben Hessen                                                          1534 Mecklenburg-Vorpommern                                          625 Niedersachsen                                                 ca. 3700 Nordrhein-Westfalen                                             2128 (Stand 31.12.2018) Rheinland-Pfalz                                                 3800 Saarland (Stand 15.03.2019)                                      35 Sachsen                                                  782 Wohngebäude Sachsen-Anhalt                                                  790 Schleswig-Holstein                                              2250 Thüringen                                                       320 9. Wie viele Einfamilienhäuser wurden nach Kenntnis der Bundesregierung insgesamt nach dem Verfahren des § 13b BauGB genehmigt? a) Wie viele Quadratmeter (Wohnfläche und Bodenfläche) nehmen die nach § 13b BauGB genehmigten Einfamilienhäuser ein? b) Wie viele dieser Einfamilienhäuser befinden sich in Kommunen mit schrumpfender Bevölkerung, und wie viele Quadratmeter (Wohn- fläche und Bodenfläche) nehmen diese ein? c) Wie viele dieser Einfamilienhäuser befinden sich in Kommunen mit wachsender Bevölkerung, und wie viele Quadratmeter (Wohnfläche und Bodenfläche) nehmen diese ein?
4

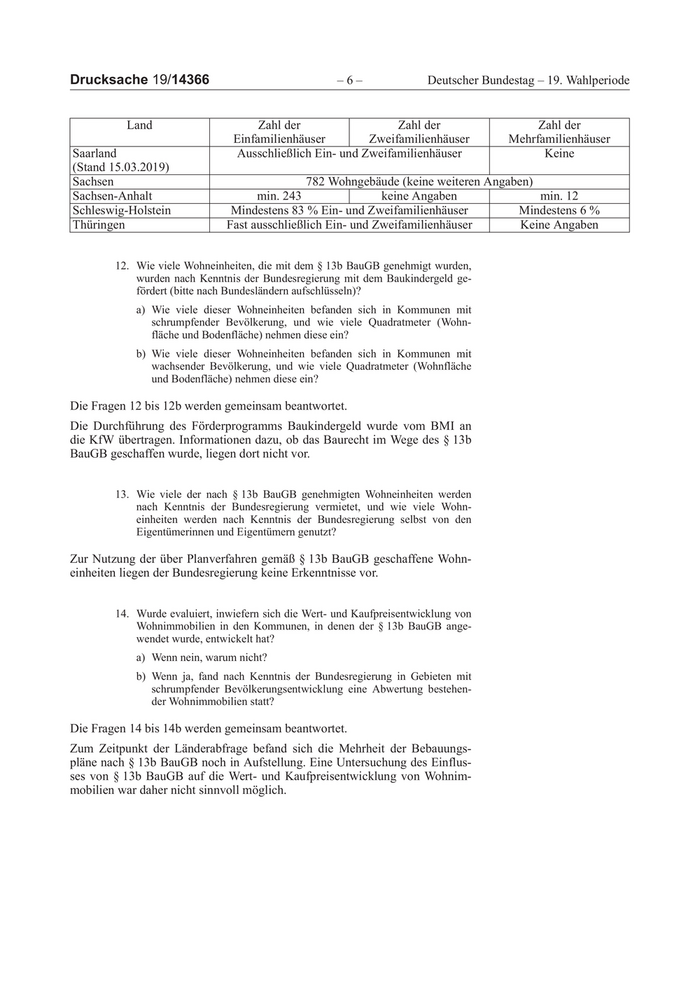
Deutscher Bundestag – 19. Wahlperiode                  –5–                        Drucksache 19/14366 d) Wie viele dieser Einfamilienhäuser wurden nach Kenntnis der Bundesregierung mit dem Baukindergeld gefördert? 10. Wie viele Zweifamilienhäuser wurden nach Kenntnis der Bundesregie- rung insgesamt nach dem Verfahren des § 13b BauGB genehmigt? a) Wie viele Quadratmeter (Wohnfläche und Bodenfläche) nehmen die nach § 13b BauGB genehmigten Zweifamilienhäuser ein? b) Wie viele dieser Zweifamilienhäuser befinden sich in Kommunen mit schrumpfender Bevölkerung, und wie viele Quadratmeter (Wohn- fläche und Bodenfläche) nehmen diese ein? c) Wie viele dieser Zweifamilienhäuser befinden sich in Kommunen mit wachsender Bevölkerung, und wie viele Quadratmeter (Wohnfläche und Bodenfläche) nehmen diese ein? d) Wie viele dieser Zweifamilienhäuser wurden nach Kenntnis der Bundesregierung mit dem Baukindergeld gefördert? 11. Wie viele Mehrfamilienhäuser wurden nach Kenntnis der Bundesregie- rung insgesamt nach dem Verfahren des § 13b BauGB genehmigt? a) Wie viele Geschosse haben die nach § 13b BauGB genehmigten Mehrfamilienhäuser im Durchschnitt? b) Wie viele dieser Mehrfamilienhäuser befinden sich in Kommunen mit schrumpfender Bevölkerung, und wie viele Quadratmeter (Wohn- fläche und Bodenfläche) nehmen diese ein? c) Wie viele dieser Mehrfamilienhäuser befinden sich in Kommunen mit wachsender Bevölkerung, und wie viele Quadratmeter (Wohnfläche und Bodenfläche) nehmen diese ein? d) Wie viele dieser Mehrfamilienhäuser wurden mit dem Baukindergeld nach Kenntnis der Bundesregierung gefördert? Die Fragen 9 bis 11d werden gemeinsam beantwortet. Informationen zur Anzahl der durch die zuständigen Landesbehörden geneh- migten Ein-, Zwei- bzw. Mehrfamilienhäuser in Plangebieten des § 13b BauGB liegen der Bundesregierung nicht vor. Soweit die Länder in der Länderabfrage zu § 13b BauGB Angaben zur Zahl der infolge von Planverfahren gemäß § 13b BauGB baurechtlich zulässigen Ein-, Zwei- bzw. Mehrfamilienhäuser gemacht haben, werden diese in der folgenden Tabelle wiedergegeben. Über weiter- gehende Erkenntnisse verfügt die Bundesregierung nicht. Land                        Zahl der                      Zahl der             Zahl der Einfamilienhäuser           Zweifamilienhäuser    Mehrfamilienhäuser Baden-Württemberg                 Keine Angaben                 keine Angaben         keine Angaben (Stichproben- untersuchung) Bayern (Stand 08/2018)                 1345                           144                   53 Brandenburg                             778                           103                   37 Hessen                            Hauptsächlich Ein- und Zweifamilienhäuser          Auch vorgesehen Mecklenburg-                      mindestens 115                mindestens 36         mindestens 25 Vorpommern Niedersachsen                     Überwiegend Ein- und Zweifamilienhäuser           500 Wohneinheiten (3200 Wohneinheiten) Nordrhein-Westfalen               Keine Angaben                Keine Angaben          Keine Angaben (Stand 31.12.2018) Rheinland-Pfalz                Fast Ausschließlich Ein- und Zweifamilienhäuser          Vereinzelt
5

Drucksache 19/14366                                       –6–              Deutscher Bundestag – 19. Wahlperiode Land                         Zahl der                    Zahl der                  Zahl der Einfamilienhäuser           Zweifamilienhäuser       Mehrfamilienhäuser Saarland                            Ausschließlich Ein- und Zweifamilienhäuser                 Keine (Stand 15.03.2019) Sachsen                                           782 Wohngebäude (keine weiteren Angaben) Sachsen-Anhalt                          min. 243                 keine Angaben                min. 12 Schleswig-Holstein                 Mindestens 83 % Ein- und Zweifamilienhäuser            Mindestens 6 % Thüringen                         Fast ausschließlich Ein- und Zweifamilienhäuser         Keine Angaben 12. Wie viele Wohneinheiten, die mit dem § 13b BauGB genehmigt wurden, wurden nach Kenntnis der Bundesregierung mit dem Baukindergeld ge- fördert (bitte nach Bundesländern aufschlüsseln)? a) Wie viele dieser Wohneinheiten befanden sich in Kommunen mit schrumpfender Bevölkerung, und wie viele Quadratmeter (Wohn- fläche und Bodenfläche) nehmen diese ein? b) Wie viele dieser Wohneinheiten befanden sich in Kommunen mit wachsender Bevölkerung, und wie viele Quadratmeter (Wohnfläche und Bodenfläche) nehmen diese ein? Die Fragen 12 bis 12b werden gemeinsam beantwortet. Die Durchführung des Förderprogramms Baukindergeld wurde vom BMI an die KfW übertragen. Informationen dazu, ob das Baurecht im Wege des § 13b BauGB geschaffen wurde, liegen dort nicht vor. 13. Wie viele der nach § 13b BauGB genehmigten Wohneinheiten werden nach Kenntnis der Bundesregierung vermietet, und wie viele Wohn- einheiten werden nach Kenntnis der Bundesregierung selbst von den Eigentümerinnen und Eigentümern genutzt? Zur Nutzung der über Planverfahren gemäß § 13b BauGB geschaffene Wohn- einheiten liegen der Bundesregierung keine Erkenntnisse vor. 14. Wurde evaluiert, inwiefern sich die Wert- und Kaufpreisentwicklung von Wohnimmobilien in den Kommunen, in denen der § 13b BauGB ange- wendet wurde, entwickelt hat? a) Wenn nein, warum nicht? b) Wenn ja, fand nach Kenntnis der Bundesregierung in Gebieten mit schrumpfender Bevölkerungsentwicklung eine Abwertung bestehen- der Wohnimmobilien statt? Die Fragen 14 bis 14b werden gemeinsam beantwortet. Zum Zeitpunkt der Länderabfrage befand sich die Mehrheit der Bebauungs- pläne nach § 13b BauGB noch in Aufstellung. Eine Untersuchung des Einflus- ses von § 13b BauGB auf die Wert- und Kaufpreisentwicklung von Wohnim- mobilien war daher nicht sinnvoll möglich.
6

Deutscher Bundestag – 19. Wahlperiode                     –7–                       Drucksache 19/14366 15. Welche Schlussfolgerungen zieht die Bundesregierung aus den bisherigen Evaluationsergebnissen des § 13b BauGB? Für die Bundesregierung ist der Aspekt der Baulandmobilisierung zur Schaf- fung von Wohnraum von hoher Wichtigkeit. Mit dem Ziel, im Einklang mit einer nachhaltigen städtebaulichen Entwicklung die Anwendung und Wirksam- keit der Instrumente zur Baulandmobilisierung zu verbessern, wird derzeit unter anderem ein Gesetzentwurf zur Novellierung des Baugesetzbuchs sowie der Baunutzungsverordnung erarbeitet. 16. Wie ist der weitere Zeitplan für die Evaluation? 17. Wann wird die Evaluation dem Bundestag vorgelegt? Wenn dies nicht geplant ist, warum nicht? Die Fragen 16 und 17 werden gemeinsam beantwortet. Die Bundesregierung hat die Evaluierung des § 13b BauGB laut Zeile 5126 des Koalitionsvertrags im Wege einer Länderabfrage in der ersten Hälfte des Jahres 2019 durchgeführt. Die Ergebnisse wurden in zusammengefasster Form auf der Homepage des BMI veröffentlicht. Sie sind unter folgendem Link abrufbar: www.bmi.bund.de/SharedDocs/downloads/DE/veroeffentlichungen/themen/ bauen/zusammengefasste-ergebnisse-laenderabfrage.html.
7

Gesamtherstellung: H. Heenemann GmbH & Co. KG, Buch- und Offsetdruckerei, Bessemerstraße 83–91, 12103 Berlin, www.heenemann-druck.de Vertrieb: Bundesanzeiger Verlag GmbH, Postfach 10 05 34, 50445 Köln, Telefon (02 21) 97 66 83 40, Fax (02 21) 97 66 83 44, www.betrifft-gesetze.de ISSN 0722-8333
8