/ 172
PDF herunterladen
Deutscher Bundestag – 19. Wahlperiode                 – 51 –                      Drucksache 19/12512 Lebendgeborene nach Geschlecht - Jahressumme - regionale Tiefe: Kreise und krfr. Städte Statistik der Geburten Lebendgeborene (Anzahl) Jahr/Kreise und kreisfreie Städte                                  Insgesamt   männlich   weiblich 09373          Neumarkt i.d.OPf., Landkreis                               1154        573        581 09374          Neustadt a.d.Waldnaab, Landkreis                            688        363        325 09375          Regensburg, Landkreis                                      1665        887        778 09376          Schwandorf, Landkreis                                      1107        563        544 09377          Tirschenreuth, Landkreis                                    554        287        267 094           Oberfranken, Regierungsbezirk                               8129      4235        3894 09461          Bamberg                                                     610        328        282 09462          Bayreuth                                                    527        272        255 09463          Coburg                                                      345        178        167 09464          Hof                                                         395        212        183 09471          Bamberg, Landkreis                                         1258        648        610 09472          Bayreuth, Landkreis                                         796        413        383 09473          Coburg, Landkreis                                           687        360        327 09474          Forchheim, Landkreis                                        946        469        477 09475          Hof, Landkreis                                              646        322        324 09476          Kronach, Landkreis                                          418        225        193 09477          Kulmbach, Landkreis                                         504        248        256 09478          Lichtenfels, Landkreis                                      549        306        243 09479          Wunsiedel i.Fichtelgebirge, Landkreis                       448        254        194 095           Mittelfranken, Regierungsbezirk                            15519      7914        7605 09561          Ansbach                                                     394        204        190 09562          Erlangen                                                   1057        542        515 09563          Fürth                                                      1218        633        585 09564          Nürnberg                                                   5115      2619        2496 09565          Schwabach                                                   374        179        195 09571          Ansbach, Landkreis                                         1504        761        743 09572          Erlangen-Höchstadt, Landkreis                              1139        576        563 09573          Fürth, Landkreis                                            932        484        448 09574          Nürnberger Land, Landkreis                                 1288        645        643 09575          Neustadt a.d.Aisch-Bad Windsheim, Landkreis                 781        395        386 09576          Roth, Landkreis                                            1012        511        501 09577          Weißenburg-Gunzenhausen, Landkreis                          705        365        340 096           Unterfranken, Regierungsbezirk                             10668      5534        5134 09661          Aschaffenburg                                               611        311        300 09662          Schweinfurt                                                 452        233        219 09663          Würzburg                                                   1129        582        547 09671          Aschaffenburg, Landkreis                                   1381        692        689 09672          Bad Kissingen, Landkreis                                    771        392        379 09673          Rhön-Grabfeld, Landkreis                                    599        321        278 09674          Haßberge, Landkreis                                         729        377        352 09675          Kitzingen, Landkreis                                        717        394        323 09676          Miltenberg, Landkreis                                      1044        552        492 09677          Main-Spessart, Landkreis                                    949        477        472 09678          Schweinfurt, Landkreis                                      935        506        429 09679          Würzburg, Landkreis                                        1351        697        654 097           Schwaben, Regierungsbezirk                                 16001      8145        7856 09761          Augsburg                                                   2744      1349        1395 09762          Kaufbeuren                                                  372        177        195 09763          Kempten (Allgäu)                                            557        291        266 09764          Memmingen                                                   393        194        199 Abgerufen am 29.07.19 / 17:32:18                  Seite 40 von 45
51

Drucksache 19/12512                                    – 52 –               Deutscher Bundestag – 19. Wahlperiode Lebendgeborene nach Geschlecht - Jahressumme - regionale Tiefe: Kreise und krfr. Städte Statistik der Geburten Lebendgeborene (Anzahl) Jahr/Kreise und kreisfreie Städte                                   Insgesamt     männlich      weiblich 09771          Aichach-Friedberg, Landkreis                                1189          617           572 09772          Augsburg, Landkreis                                         2052         1054           998 09773          Dillingen a.d.Donau, Landkreis                               764          402           362 09774          Günzburg, Landkreis                                         1065          552           513 09775          Neu-Ulm, Landkreis                                          1482          732           750 09776          Lindau (Bodensee), Landkreis                                 617          322           295 09777          Ostallgäu, Landkreis                                        1223          653           570 09778          Unterallgäu, Landkreis                                      1164          578           586 09779          Donau-Ries, Landkreis                                       1094          568           526 09780          Oberallgäu, Landkreis                                       1285          656           629 10           Saarland                                                      7328         3756          3572 10041          Saarbrücken, Regionalverband                                2500         1291          1209 10041100       Saarbrücken, Landeshauptstadt                               1484          773           711 10042          Merzig-Wadern, Landkreis                                     685          342           343 10043          Neunkirchen, Landkreis                                       971          497           474 10044          Saarlouis, Landkreis                                        1541          783           758 10045          Saarpfalz-Kreis                                             1038          526           512 10046          St. Wendel, Landkreis                                        593          317           276 11           Berlin                                                       37368        19021         18347 11001001       Berlin-Mitte                                                    .           .               . 11002002       Berlin-Friedrichshain-Kreuzberg                                 .           .               . 11003003       Berlin-Pankow                                                   .           .               . 11004004       Berlin-Charlottenburg-Wilmersdorf                               .           .               . 11005005       Berlin-Spandau                                                  .           .               . 11006006       Berlin-Steglitz-Zehlendorf                                      .           .               . 11007007       Berlin-Tempelhof-Schöneberg                                     .           .               . 11008008       Berlin-Neukölln                                                 .           .               . 11009009       Berlin-Treptow-Köpenick                                         .           .               . 11010010       Berlin-Marzahn-Hellersdorf                                      .           .               . 11011011       Berlin-Lichtenberg                                              .           .               . 11012012       Berlin-Reinickendorf                                            .           .               . 12           Brandenburg                                                  19339         9957          9382 12051          Brandenburg an der Havel, Kreisfreie Stadt                   614          310           304 12052          Cottbus, Kreisfreie Stadt                                    807          434           373 12053          Frankfurt (Oder), Kreisfreie Stadt                           437          239           198 12054          Potsdam, Kreisfreie Stadt                                   1870          964           906 12060          Barnim, Landkreis                                           1355          694           661 12061          Dahme-Spreewald, Landkreis                                  1238          651           587 12062          Elbe-Elster, Landkreis                                       670          313           357 12063          Havelland, Landkreis                                        1236          636           600 12064          Märkisch-Oderland, Landkreis                                1469          761           708 12065          Oberhavel, Landkreis                                        1635          805           830 12066          Oberspreewald-Lausitz, Landkreis                             773          423           350 12067          Oder-Spree, Landkreis                                       1320          688           632 12068          Ostprignitz-Ruppin, Landkreis                                753          380           373 12069          Potsdam-Mittelmark, Landkreis                               1575          798           777 12070          Prignitz, Landkreis                                          502          247           255 12071          Spree-Neiße, Landkreis                                       812          426           386 12072          Teltow-Fläming, Landkreis                                   1362          689           673 12073          Uckermark, Landkreis                                         911          499           412 Abgerufen am 29.07.19 / 17:32:18                       Seite 41 von 45
52

Deutscher Bundestag – 19. Wahlperiode                  – 53 –                      Drucksache 19/12512 Lebendgeborene nach Geschlecht - Jahressumme - regionale Tiefe: Kreise und krfr. Städte Statistik der Geburten Lebendgeborene (Anzahl) Jahr/Kreise und kreisfreie Städte                                   Insgesamt   männlich   weiblich 13           Mecklenburg-Vorpommern                                       12830      6545        6285 13001          Kreisfreie Stadt Greifswald, Hansestadt                        -          -            - 13002          Kreisfreie Stadt Neubrandenburg, Stadt                         -          -            - 13003          Kreisfreie Stadt Rostock, Hansestadt                        2000      1013         987 13004          Kreisfreie Stadt Schwerin, Landeshauptstadt                  849        435        414 13005          Kreisfreie Stadt Stralsund, Hansestadt                         -          -            - 13006          Kreisfreie Stadt Wismar, Hansestadt                            -          -            - 13051          Landkreis Bad Doberan                                          -          -            - 13052          Landkreis Demmin                                               -          -            - 13053          Landkreis Güstrow                                              -          -            - 13054          Landkreis Ludwigslust                                          -          -            - 13055          Landkreis Mecklenburg-Strelitz                                 -          -            - 13056          Landkreis Müritz                                               -          -            - 13057          Landkreis Nordvorpommern                                       -          -            - 13058          Landkreis Nordwestmecklenburg                                  -          -            - 13059          Landkreis Ostvorpommern                                        -          -            - 13060          Landkreis Parchim                                              -          -            - 13061          Landkreis Rügen                                                -          -            - 13062          Landkreis Uecker-Randow                                        -          -            - 13071          Landkreis Mecklenburgische Seenplatte                       2015      1065         950 13072          Landkreis Rostock                                           1712        881        831 13073          Landkreis Vorpommern-Rügen                                  1569        793        776 13074          Landkreis Nordwestmecklenburg                               1219        611        608 13075          Landkreis Vorpommern-Greifswald                             1762        897        865 13076          Landkreis Ludwigslust-Parchim                               1704        850        854 14           Sachsen                                                      35935     18344       17591 141           Chemnitz, Regierungsbezirk                                      -          -            - 14161          Chemnitz, Kreisfreie Stadt                                     -          -            - 14166          Plauen, Kreisfreie Stadt                                       -          -            - 14167          Zwickau, Kreisfreie Stadt                                      -          -            - 14171          Annaberg, Landkreis                                            -          -            - 14173          Chemnitzer Land, Landkreis                                     -          -            - 14177          Freiberg, Landkreis                                            -          -            - 14178          Vogtlandkreis                                                  -          -            - 14181          Mittlerer Erzgebirgskreis                                      -          -            - 14182          Mittweida, Landkreis                                           -          -            - 14188          Stollberg, Landkreis                                           -          -            - 14191          Aue-Schwarzenberg, Landkreis                                   -          -            - 14193          Zwickauer Land, Landkreis                                      -          -            - 142           Dresden, Regierungsbezirk                                       -          -            - 14262          Dresden, Kreisfreie Stadt                                      -          -            - 14263          Görlitz, Kreisfreie Stadt                                      -          -            - 14264          Hoyerswerda, Kreisfreie Stadt                                  -          -            - 14272          Bautzen, Landkreis                                             -          -            - 14280          Meißen, Landkreis                                              -          -            - 14284          Niederschlesischer Oberlausitzkreis                            -          -            - 14285          Riesa-Großenhain, Landkreis                                    -          -            - 14286          Löbau-Zittau, Landkreis                                        -          -            - 14287          Sächsische Schweiz, Landkreis                                  -          -            - 14290          Weißeritzkreis                                                 -          -            - Abgerufen am 29.07.19 / 17:32:18                  Seite 42 von 45
53

Drucksache 19/12512                                     – 54 –               Deutscher Bundestag – 19. Wahlperiode Lebendgeborene nach Geschlecht - Jahressumme - regionale Tiefe: Kreise und krfr. Städte Statistik der Geburten Lebendgeborene (Anzahl) Jahr/Kreise und kreisfreie Städte                                    Insgesamt     männlich      weiblich 14292          Kamenz, Landkreis                                               -            -               - 143           Leipzig, Regierungsbezirk                                        -            -               - 14365          Leipzig, Kreisfreie Stadt                                       -            -               - 14374          Delitzsch, Landkreis                                            -            -               - 14375          Döbeln, Landkreis                                               -            -               - 14379          Leipziger Land, Landkreis                                       -            -               - 14383          Muldentalkreis                                                  -            -               - 14389          Torgau-Oschatz, Landkreis                                       -            -               - 145           Chemnitz, Stat. Region                                       11459         5801          5658 14511          Chemnitz, Stadt                                              2091         1040          1051 14521          Erzgebirgskreis                                              2652         1336          1316 14522          Mittelsachsen, Landkreis                                     2446         1270          1176 14523          Vogtlandkreis                                                1669          841           828 14524          Zwickau, Landkreis                                           2601         1314          1287 146           Dresden, Stat. Region                                        14813         7597          7216 14612          Dresden, Stadt                                               6300         3233          3067 14625          Bautzen, Landkreis                                           2519         1281          1238 14626          Görlitz, Landkreis                                           1997          974          1023 14627          Meißen, Landkreis                                            1962         1016           946 14628          Sächsische Schweiz-Osterzgebirge, Landkreis                  2035         1093           942 147           Leipzig, Stat. Region                                         9663         4946          4717 14713          Leipzig, Stadt                                               6253         3225          3028 14729          Leipzig, Landkreis                                           1923          949           974 14730          Nordsachsen, Landkreis                                       1487          772           715 15           Sachsen-Anhalt                                                17064         8816          8248 15001          Dessau-Roßlau, Kreisfreie Stadt                               558          263           295 15002          Halle (Saale), Kreisfreie Stadt                              2179         1143          1036 15003          Magdeburg, Kreisfreie Stadt                                  2125         1150           975 15081          Altmarkkreis Salzwedel                                        724          386           338 15082          Anhalt-Bitterfeld, Landkreis                                 1167          582           585 15083          Börde, Landkreis                                             1315          653           662 15084          Burgenlandkreis                                              1313          701           612 15085          Harz, Landkreis                                              1555          816           739 15086          Jerichower Land, Landkreis                                    666          340           326 15087          Mansfeld-Südharz, Landkreis                                   957          500           457 15088          Saalekreis                                                   1373          697           676 15089          Salzlandkreis                                                1420          741           679 15090          Stendal, Landkreis                                            848          421           427 15091          Wittenberg, Landkreis                                         864          423           441 151           Dessau, Stat. Region                                             -            -               - 15101          Dessau, Kreisfreie Stadt                                        -            -               - 15151          Anhalt-Zerbst, Kreis                                            -            -               - 15153          Bernburg, Kreis                                                 -            -               - 15154          Bitterfeld, Kreis                                               -            -               - 15159          Köthen, Kreis                                                   -            -               - 15171          Wittenberg, Kreis                                               -            -               - 152           Halle, Stat. Region                                              -            -               - 15202          Halle (Saale), Kreisfreie Stadt                                 -            -               - 15256          Burgenlandkreis                                                 -            -               - 15260          Mansfelder Land, Kreis                                          -            -               - Abgerufen am 29.07.19 / 17:32:18                       Seite 43 von 45
54

Deutscher Bundestag – 19. Wahlperiode                 – 55 –                      Drucksache 19/12512 Lebendgeborene nach Geschlecht - Jahressumme - regionale Tiefe: Kreise und krfr. Städte Statistik der Geburten Lebendgeborene (Anzahl) Jahr/Kreise und kreisfreie Städte                                  Insgesamt   männlich   weiblich 15261          Merseburg-Querfurt, Kreis                                     -          -            - 15265          Saalkreis                                                     -          -            - 15266          Sangerhausen, Kreis                                           -          -            - 15268          Weißenfels, Kreis                                             -          -            - 153           Magdeburg, Stat. Region                                        -          -            - 15303          Magdeburg, Kreisfreie Stadt                                   -          -            - 15352          Aschersleben-Staßfurt, Kreis                                  -          -            - 15355          Bördekreis                                                    -          -            - 15357          Halberstadt, Kreis                                            -          -            - 15358          Jerichower Land, Kreis                                        -          -            - 15362          Ohrekreis                                                     -          -            - 15363          Stendal, Kreis                                                -          -            - 15364          Quedlinburg, Kreis                                            -          -            - 15367          Schönebeck, Kreis                                             -          -            - 15369          Wernigerode, Kreis                                            -          -            - 15370          Altmarkkreis Salzwedel, Kreis                                 -          -            - 16           Thüringen                                                   17887      9169        8718 16051          Erfurt, krsfr. Stadt                                       2150      1082        1068 16052          Gera, krsfr. Stadt                                          744        391        353 16053          Jena, krsfr. Stadt                                         1198        608        590 16054          Suhl, krsfr. Stadt                                          244        132        112 16055          Weimar, krsfr. Stadt                                        663        348        315 16056          Eisenach, krsfr. Stadt                                      342        183        159 16061          Eichsfeld, Kreis                                            908        452        456 16062          Nordhausen, Kreis                                           699        367        332 16063          Wartburgkreis                                              1060        565        495 16064          Unstrut-Hainich-Kreis                                       875        461        414 16065          Kyffhäuserkreis                                             518        258        260 16066          Schmalkalden-Meiningen, Kreis                               986        503        483 16067          Gotha, Kreis                                               1094        554        540 16068          Sömmerda, Kreis                                             531        295        236 16069          Hildburghausen, Kreis                                       452        232        220 16070          Ilm-Kreis                                                   896        468        428 16071          Weimarer Land, Kreis                                        665        336        329 16072          Sonneberg, Kreis                                            427        215        212 16073          Saalfeld-Rudolstadt, Kreis                                  821        423        398 16074          Saale-Holzland-Kreis                                        685        356        329 16075          Saale-Orla-Kreis                                            600        291        309 16076          Greiz, Kreis                                                730        362        368 16077          Altenburger Land, Kreis                                     599        287        312 ______________ Abgerufen am 29.07.19 / 17:32:18                  Seite 44 von 45
55

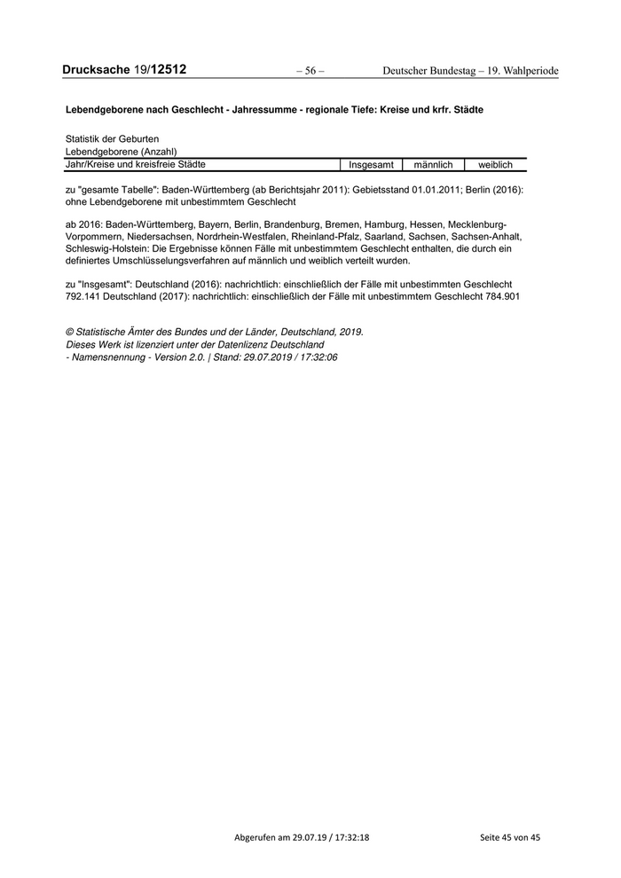
Drucksache 19/12512                                   – 56 –               Deutscher Bundestag – 19. Wahlperiode Lebendgeborene nach Geschlecht - Jahressumme - regionale Tiefe: Kreise und krfr. Städte Statistik der Geburten Lebendgeborene (Anzahl) Jahr/Kreise und kreisfreie Städte                                  Insgesamt       männlich    weiblich zu "gesamte Tabelle": Baden-Württemberg (ab Berichtsjahr 2011): Gebietsstand 01.01.2011; Berlin (2016): ohne Lebendgeborene mit unbestimmtem Geschlecht ab 2016: Baden-Württemberg, Bayern, Berlin, Brandenburg, Bremen, Hamburg, Hessen, Mecklenburg- Vorpommern, Niedersachsen, Nordrhein-Westfalen, Rheinland-Pfalz, Saarland, Sachsen, Sachsen-Anhalt, Schleswig-Holstein: Die Ergebnisse können Fälle mit unbestimmtem Geschlecht enthalten, die durch ein definiertes Umschlüsselungsverfahren auf männlich und weiblich verteilt wurden. zu "Insgesamt": Deutschland (2016): nachrichtlich: einschließlich der Fälle mit unbestimmten Geschlecht 792.141 Deutschland (2017): nachrichtlich: einschließlich der Fälle mit unbestimmtem Geschlecht 784.901 © Statistische Ämter des Bundes und der Länder, Deutschland, 2019. Dieses Werk ist lizenziert unter der Datenlizenz Deutschland - Namensnennung - Version 2.0. | Stand: 29.07.2019 / 17:32:06 Abgerufen am 29.07.19 / 17:32:18                        Seite 45 von 45
56

Statistik zum Elterngeld                                                                                                            Anlage 2 _ Fragen 2, 3, 6 Leistungsbezüge für ab dem Jahr 2014 geborene Kinder, Stand inkl. 1. Quartal 2019 (Geburtsjahre ab 2016 noch nicht abgeschlossen, weitere Meldungen möglich) Anteil der Männer        Anteil der Frauen       Durchschnittliche davon                  davon mit … im Haushalt lebenden Kindern                         mit                      mit           (voraussichtliche) Mindestbetrag (§2        Mindestbetrag (§2        Bezugsdauer Gebiet insgesamt                                                                                            Abs. 4 BEEG) an          Abs. 4 BEEG) an allen leistungsbe-       allen leistungsbe- von         von von Männern von Frauen         1             2            3               4           ziehenden Männern         ziehenden Frauen insgesamt Männern Frauen (Sp.2)                   (Sp.3) Anzahl                                                                          %                                 Monate Insgesamt                                         4 907 784     1 321 178     3 586 606   2 563 633      1 660 020     506 984         177 147                     11,7                    33,3      10,3       3,3     12,9 Deutscher Bundestag – 19. Wahlperiode nachrichtlich: Wohnsitz außerhalb Deutschlands      18 012          2 856       15 156           9 221         6 229        1 981            581                   12,5                    43,6      10,3       4,1     11,5 Wohnsitz in Deutschland                           4 889 772     1 318 322     3 571 450   2 554 412      1 653 791     505 003         176 566                     11,7                    33,3      10,3       3,3     12,9 08 Baden-Württemberg                               693 508       200 282       493 226      344 738       244 870       77 205          26 695                      8,7                    32,1      10,0       2,9     12,9 Regierungsbezirk Stuttgart                         266 793         78 594      188 199      133 503        94 317       29 309              9 664                   7,6                    32,5       9,9       2,8     12,9 08111 (kreisfr. Stadt)     Stuttgart                43 542         13 697       29 845       23 993        14 197        4 098              1 254                   9,1                    30,3       9,5       3,1     12,5   – 57 – 08121 (kreisfr. Stadt)     Heilbronn                 8 051          1 937        6 114        3 873         2 721        1 056                401                  10,4                    44,5      10,5       3,0     12,9 08115 (Landkreis)      Böblingen                    26 309          7 849       18 460       13 185         9 418        2 873                833                   7,5                    31,5       9,8       2,8     12,8 08116 (Landkreis)      Esslingen                    34 095         10 022       24 073       17 153        12 230        3 614              1 098                   6,8                    30,9       9,8       2,7     12,8 08117 (Landkreis)      Göppingen                    14 730          3 742       10 988        6 951         5 370        1 835                574                   8,1                    36,9      10,5       2,7     13,1 08118 (Landkreis)      Ludwigsburg                  37 413         11 244       26 169       18 805        13 510        3 889              1 209                   6,7                    30,8       9,9       2,7     12,9 08119 (Landkreis)      Rems-Murr-Kreis              25 998          7 497       18 501       12 721         9 355        2 899              1 023                   8,0                    33,1      10,0       2,8     12,9 08125 (Landkreis)      Heilbronn                    21 559          5 995       15 564       10 610         7 706        2 423                820                   6,8                    32,4      10,2       2,7     13,1 08126 (Landkreis)      Hohenlohekreis                7 452          2 339        5 113        3 575         2 625          909                343                   5,8                    30,8       9,8       2,5     13,2 08127 (Landkreis)      Schwäbisch Hall              13 083          4 061        9 022        6 201         4 641        1 591                650                   6,7                    32,4       9,8       2,6     13,0 08128 (Landkreis)      Main-Tauber-Kreis             8 023          2 636        5 387        3 883         2 925          928                287                   6,9                    29,8       9,6       2,6     13,1 08135 (Landkreis)      Heidenheim                    7 451          1 903        5 548        3 486         2 675          913                377                   8,2                    38,1      10,8       2,8     13,5 08136 (Landkreis)      Ostalbkreis                  19 087          5 672       13 415        9 067         6 944        2 281                795                   7,1                    34,2       9,9       2,7     13,0 Regierungsbezirg Karlsruhe                         169 133         48 352      120 781       85 245        59 381       18 153              6 354                   9,7                    32,7      10,0       3,0     12,9 08211 (kreisfr. Stadt)    Baden-Baden                2 695            661        2 034        1 392           984          220                 99                  15,4                    34,2      10,5       3,1     12,9 08212 (kreisfr. Stadt)    Karlsruhe                 20 240          6 657       13 583       10 979         6 756        1 932                573                  10,6                    29,8       9,5       3,2     12,6 08221 (kreisfr. Stadt)    Heidelberg                10 192          3 481        6 711        5 546         3 437          954                255                  14,9                    27,5       9,1       3,6     12,0 08222 (kreisfr. Stadt)    Mannheim                  19 882          5 165       14 717       10 498         6 568        2 045                771                  12,8                    40,7      10,1       3,3     12,6 08231 (kreisfr. Stadt)    Pforzheim                  8 001          1 739        6 262        3 784         2 569        1 082                566                  15,1                    48,9      10,8       3,3     12,9 08215 (Landkreis)      Karlsruhe                    26 440          7 792       18 648       13 116         9 691        2 760                873                   6,9                    29,5      10,1       2,7     13,1 08216 (Landkreis)      Rastatt                      12 862          3 460        9 402        6 386         4 694        1 326                456                   7,2                    31,8      10,4       2,6     13,2 08225 (Landkreis)      Neckar-Odenwald-Kreis         8 193          2 322        5 871        3 967         2 880          976                370                   6,8                    33,6      10,2       2,6     13,2 08226 (Landkreis)      Rhein-Neckar-Kreis           33 155          9 579       23 576       16 622        12 063        3 460              1 010                   9,3                    28,4       9,9       2,9     12,7 08235 (Landkreis)      Calw                          9 086          2 416        6 670        4 255         3 190        1 205                436                   9,6                    35,2      10,3       2,8     13,1 08236 (Landkreis)      Enzkreis                     11 587          3 329        8 258        5 491         4 183        1 351                562                   6,5                    31,4      10,1       2,6     13,2 Drucksache 19/12512
57

Statistik zum Elterngeld                                                                                                           Anlage 2 _ Fragen 2, 3, 6 Leistungsbezüge für ab dem Jahr 2014 geborene Kinder, Stand inkl. 1. Quartal 2019 (Geburtsjahre ab 2016 noch nicht abgeschlossen, weitere Meldungen möglich) Anteil der Männer        Anteil der Frauen       Durchschnittliche davon                davon mit … im Haushalt lebenden Kindern                         mit                      mit           (voraussichtliche) Mindestbetrag (§2        Mindestbetrag (§2        Bezugsdauer Gebiet insgesamt                                                                                          Abs. 4 BEEG) an          Abs. 4 BEEG) an allen leistungsbe-       allen leistungsbe- von         von von Männern von Frauen       1            2             3               4           ziehenden Männern         ziehenden Frauen insgesamt Männern Frauen (Sp.2)                   (Sp.3) Drucksache 19/12512 Anzahl                                                                          %                                 Monate 08237 (Landkreis)      Freudenstadt                    6 800         1 751       5 049          3 209        2 366          842             383                    7,1                    34,2      10,6       2,7     13,3 Regierungsbezirk Freiburg                           137 992         37 209     100 783      67 573        48 479       16 083              5 857                  10,2                    31,4      10,2       3,0     12,9 08311 (kreisfr. Stadt)    Freiburg im Breisgau       17 368          5 779      11 589       9 219         5 721        1 848                580                  14,7                    30,6       9,3       3,5     12,2 08315 (Landkreis)      Breisgau-Hochschwarzwald      16 206          4 862      11 344       7 909           5 818         1 907             572                   9,9                    27,9       9,8       3,1     12,7 08316 (Landkreis)      Emmendingen                   10 438          3 273       7 165       5 202           3 707         1 159             370                   8,8                    27,3       9,7       2,8     12,8 08317 (Landkreis)      Ortenaukreis                  26 390          7 585      18 805      12 816           9 379         3 074           1 121                   7,0                    30,8      10,1       2,8     13,1 08325 (Landkreis)      Rottweil                       8 297          2 158       6 139       3 877           2 872         1 035             513                   7,3                    33,7      10,4       2,8     13,1 08326 (Landkreis)      Schwarzwald-Baar-Kreis        12 253          3 045       9 208       5 862           4 329         1 510             552                   9,0                    34,3      10,6       2,9     13,1 08327 (Landkreis)      Tuttlingen                     8 518          1 992       6 526       3 906           2 991         1 107             514                   9,4                    35,8      10,7       2,9     13,1 08335 (Landkreis)      Konstanz                      16 573          4 325      12 248       8 263           5 726         1 867             717                  12,1                    30,8      10,4       3,2     12,9 08336 (Landkreis)      Lörrach                       12 791          2 567      10 224       6 234           4 620         1 467             470                  11,4                    32,1      10,8       3,2     12,8   – 58 – 08337 (Landkreis)      Waldshut                       9 158          1 623       7 535       4 285           3 316         1 109             448                  12,1                    34,2      11,4       3,1     13,1 Regierungsbezirk Tübingen                           119 590         36 127      83 463      58 417        42 693       13 660              4 820                   8,1                    31,1       9,9       2,8     13,0 08421 (kreisfr. Stadt)    Ulm                         8 792          2 653       6 139       4 681         2 905          868                338                   9,6                    32,4       9,8       2,9     12,8 08415 (Landkreis)      Reutlingen                    17 941          5 076      12 865       8 831         6 311        2 049                750                   8,1                    32,3      10,0       2,8     12,9 08416 (Landkreis)      Tübingen                      15 168          4 899      10 269       7 284         5 461        1 822                601                  11,9                    30,0       9,5       3,2     12,6 08417 (Landkreis)      Zollernalbkreis               10 207          2 507       7 700       4 998         3 619        1 106                484                   7,9                    33,5      10,7       2,8     13,2 08425 (Landkreis)      Alb-Donau-Kreis               12 866          3 857       9 009       6 221         4 691        1 486                468                   7,5                    30,6      10,0       2,6     13,1 08426 (Landkreis)      Biberach                      14 169          4 570       9 599       6 708         5 170        1 690                601                   6,5                    29,9       9,7       2,6     13,0 08435 (Landkreis)      Bodenseekreis                 13 370          4 177       9 193       6 646         4 790        1 457                477                   6,5                    29,4       9,8       2,9     12,9 08436 (Landkreis)      Ravensburg                    19 327          6 303      13 024       9 414         6 900        2 238                775                   7,5                    30,1       9,7       2,8     13,1 08437 (Landkreis)      Sigmaringen                    7 750          2 085       5 665       3 634         2 846          944                326                   8,1                    33,9      10,7       2,8     13,6 09 Bayern                                           828 867       250 497      578 370     418 601      298 919        87 016          24 331                      8,3                    27,9       9,7       2,8     12,7 Regierungsbezirk Oberbayern                         317 694         96 455     221 239     164 988      112 823        31 611              8 272                   8,0                    25,9       9,6       2,9     12,5 09161 (kreisfr. Stadt)    Ingolstadt                  9 882          2 908       6 974       5 329        3 367           936                250                   4,6                    32,4       9,7       2,6     12,7 09162 (kreisfr. Stadt)    München                   115 119         35 200      79 919      66 182       37 204         9 144              2 589                   9,0                    26,4       9,4       3,2     12,1 09163 (kreisfr. Stadt)    Rosenheim                   4 172          1 144       3 028       2 157        1 452           433                130                   8,2                    31,6      10,0       2,7     12,8 09171 (Landkreis)      Altötting                      6 657          1 908       4 749       3 290        2 374           755                238                   8,8                    31,9      10,2       2,7     13,3 09172 (Landkreis)      Berchtesgadener Land           5 848          1 608       4 240       2 802        2 176           665                205                  10,0                    26,4      10,4       2,7     13,3 09173 (Landkreis)      Bad Tölz-Wolfratshausen        7 809          2 385       5 424       3 764        2 868           960                217                   8,7                    26,3       9,6       2,8     12,6 09174 (Landkreis)      Dachau                        10 229          3 114       7 115       5 123        3 823         1 032                251                   7,0                    23,2       9,6       2,8     12,7 09175 (Landkreis)      Ebersberg                      9 284          2 858       6 426       4 404        3 678           944                258                   6,6                    21,6       9,5       2,8     12,5 Deutscher Bundestag – 19. Wahlperiode
58

Statistik zum Elterngeld                                                                                                       Anlage 2 _ Fragen 2, 3, 6 Leistungsbezüge für ab dem Jahr 2014 geborene Kinder, Stand inkl. 1. Quartal 2019 (Geburtsjahre ab 2016 noch nicht abgeschlossen, weitere Meldungen möglich) Anteil der Männer        Anteil der Frauen       Durchschnittliche davon               davon mit … im Haushalt lebenden Kindern                         mit                      mit           (voraussichtliche) Mindestbetrag (§2        Mindestbetrag (§2        Bezugsdauer Gebiet insgesamt                                                                                        Abs. 4 BEEG) an          Abs. 4 BEEG) an allen leistungsbe-       allen leistungsbe- von         von von Männern von Frauen      1            2             3               4           ziehenden Männern         ziehenden Frauen insgesamt Männern Frauen (Sp.2)                   (Sp.3) Anzahl                                                                          %                                 Monate 09176 (Landkreis)      Eichstätt                    9 793         3 320      6 473       4 695           3 707         1 126            265                    4,4                    24,6       9,3       2,5     12,8 09177 (Landkreis)      Erding                       9 048         2 774      6 274       4 308           3 429         1 062            249                    7,8                    23,5       9,6       2,7     12,7 09178 (Landkreis)      Freising                    11 943         3 558      8 385       6 013           4 414         1 235            281                    7,9                    24,6       9,7       2,9     12,6 Deutscher Bundestag – 19. Wahlperiode 09179 (Landkreis)      Fürstenfeldbruck            13 820         4 119      9 701       6 751           5 248         1 450            371                    6,0                    24,4       9,6       2,9     12,5 09180 (Landkreis)      Garmisch-Partenkirchen       4 918         1 415      3 503       2 477           1 800           523            118                    9,3                    23,7       9,9       2,9     12,7 09181 (Landkreis)      Landsberg am Lech            7 189         2 274      4 915       3 474           2 678           799            238                    7,8                    25,0       9,7       2,8     12,9 09182 (Landkreis)      Miesbach                     5 898         1 747      4 151       2 844           2 209           681            164                    8,9                    23,4       9,8       2,9     12,7 09183 (Landkreis)      Mühldorf a.Inn               7 058         2 082      4 976       3 451           2 510           867            230                    7,7                    31,3      10,1       2,7     13,2 09184 (Landkreis)      München                     21 863         6 607     15 256      10 751           8 409         2 192            511                    7,5                    22,2       9,5       2,9     12,3 09185 (Landkreis)      Neuburg-Schrobenhausen       6 224         1 824      4 400       2 934           2 405           728            157                    5,3                    28,4       9,8       2,5     12,8 09186 (Landkreis)      Pfaffenhofen a.d.Ilm         8 643         2 703      5 940       4 194           3 293           926            230                    5,1                    25,2       9,5       2,6     12,7 09187 (Landkreis)      Rosenheim                   15 878         4 811     11 067       7 451           5 920         1 976            531                    9,1                    25,9       9,8       2,8     12,8 09188 (Landkreis)      Starnberg                    7 368         2 190      5 178       3 471           2 866           852            179                    9,2                    23,3       9,6       3,0     12,4   – 59 – 09189 (Landkreis)      Traunstein                  10 619         3 281      7 338       5 186           3 839         1 289            305                    7,6                    26,8       9,7       2,6     12,9 09190 (Landkreis)      Weilheim-Schongau            8 432         2 625      5 807       3 937           3 154         1 036            305                    7,4                    27,2       9,6       2,7     12,7 Regierungsbezirk Niederbayern                      71 512        20 537     50 975      35 377        26 417           7 595           2 123                   9,2                    28,5      10,1       2,7     13,0 09261 (kreisfr. Stadt)    Landshut                  4 516         1 232      3 284       2 389         1 548             445             134                   8,9                    33,5      10,0       2,8     12,7 09262 (kreisfr. Stadt)    Passau                    2 606           687      1 919       1 407           834             270              95                  14,6                    36,1      10,3       3,2     12,8 09263 (kreisfr. Stadt)    Straubing                 2 546           602      1 944       1 330           828             292              96                   8,8                    41,0      10,4       2,8     12,8 09271 (Landkreis)      Deggendorf                   6 610         1 803      4 807       3 346         2 439             639             186                   7,7                    26,9      10,3       2,7     13,1 09272 (Landkreis)      Freyung-Grafenau             4 272         1 222      3 050       2 182         1 573             394             123                   7,0                    23,7      10,5       2,6     13,7 09273 (Landkreis)      Kelheim                      7 775         2 332      5 443       3 718         2 889             938             230                   8,1                    32,1       9,8       2,7     12,8 09274 (Landkreis)      Landshut                    10 050         3 045      7 005       4 795         3 827           1 132             296                   8,6                    27,1       9,8       2,5     13,0 09275 (Landkreis)      Passau                      10 108         2 853      7 255       4 924         3 846           1 090             248                  10,6                    25,6      10,2       2,7     13,2 09276 (Landkreis)      Regen                        4 284         1 238      3 046       2 148         1 631             385             120                  11,5                    25,2      10,5       2,7     13,6 09277 (Landkreis)      Rottal-Inn                   7 027         2 113      4 914       3 307         2 635             837             248                  11,0                    29,2       9,9       2,7     13,0 09278 (Landkreis)      Straubing-Bogen              5 974         1 777      4 197       2 930         2 275             591             178                   8,9                    25,8       9,8       2,6     12,8 09279 (Landkreis)      Dingolfing-Landau            5 744         1 633      4 111       2 901         2 092             582             169                   7,3                    27,5      10,1       2,5     13,2 Regierungsbezirk Oberpfalz                         67 660        21 138     46 522      33 716        24 792           7 187           1 965                   8,5                    27,5       9,8       2,7     13,0 09361 (kreisfr. Stadt)    Amberg                    2 357           605      1 752       1 175           824             295              63                   8,3                    37,7      10,4       2,9     13,0 09362 (kreisfr. Stadt)    Regensburg               10 717         3 367      7 350       6 013         3 482             932             290                  10,2                    31,7       9,6       3,1     12,6 09363 (kreisfr. Stadt)    Weiden i.d.OPf.           2 238           511      1 727       1 132           731             277              98                  12,9                    40,7      10,9       3,1     13,2 09371 (Landkreis)      Amberg-Sulzbach              5 656         1 719      3 937       2 720         2 143             626             167                   7,7                    25,6      10,0       2,7     13,3 09372 (Landkreis)      Cham                         7 750         2 553      5 197       3 847         2 867             818             218                   9,6                    24,2       9,7       2,7     13,2 09373 (Landkreis)      Neumarkt i.d.OPf.            8 726         2 941      5 785       4 176         3 261           1 038             251                   7,1                    23,6       9,4       2,6     12,9 09374 (Landkreis)      Neustadt a.d.Waldnaab        5 182         1 504      3 678       2 470         1 921             635             156                  10,5                    26,1      10,3       2,9     13,3 Drucksache 19/12512
59

Statistik zum Elterngeld                                                                                                            Anlage 2 _ Fragen 2, 3, 6 Leistungsbezüge für ab dem Jahr 2014 geborene Kinder, Stand inkl. 1. Quartal 2019 (Geburtsjahre ab 2016 noch nicht abgeschlossen, weitere Meldungen möglich) Anteil der Männer        Anteil der Frauen       Durchschnittliche davon               davon mit … im Haushalt lebenden Kindern                         mit                      mit           (voraussichtliche) Mindestbetrag (§2        Mindestbetrag (§2        Bezugsdauer Gebiet insgesamt                                                                                         Abs. 4 BEEG) an          Abs. 4 BEEG) an allen leistungsbe-       allen leistungsbe- von         von von Männern von Frauen      1            2             3               4           ziehenden Männern         ziehenden Frauen insgesamt Männern Frauen (Sp.2)                   (Sp.3) Drucksache 19/12512 Anzahl                                                                          %                                 Monate 09375 (Landkreis)      Regensburg                      12 629          4 177      8 452          6 032        5 013         1 298            286                    6,8                    25,2       9,5       2,6     13,0 09376 (Landkreis)      Schwandorf                       8 410          2 510      5 900          4 226        3 081           811            292                    8,1                    28,3      10,0       2,7     13,1 09377 (Landkreis)      Tirschenreuth                    3 995          1 251      2 744          1 925        1 469           457            144                    7,5                    26,4       9,9       2,6     13,2 Regierungsbezirk Oberfranken                           59 711         18 248     41 463      29 582        21 686           6 400           2 043                  10,2                    27,6       9,9       2,8     13,0 09461 (kreisfr. Stadt)    Bamberg                       4 961          1 619      3 342       2 693         1 645             482             141                  10,8                    32,8       9,5       3,1     12,6 09462 (kreisfr. Stadt)    Bayreuth                      3 681          1 029      2 652       1 953         1 202             381             145                  16,0                    33,5      10,2       3,1     12,9 09463 (kreisfr. Stadt)    Coburg                        2 346            688      1 658       1 266           786             215              79                  11,3                    32,9       9,8       2,9     12,7 09464 (kreisfr. Stadt)    Hof                           2 526            567      1 959       1 191           867             325             143                  19,9                    47,8      10,7       3,3     12,8 09471 (Landkreis)      Bamberg                          9 877          3 355      6 522       4 737         3 774           1 088             278                   7,3                    22,8       9,5       2,7     13,0 09472 (Landkreis)      Bayreuth                         5 781          1 818      3 963       2 797         2 185             621             178                   9,5                    23,1      10,0       2,7     13,4 09473 (Landkreis)      Coburg                           4 816          1 429      3 387       2 361         1 820             494             141                   9,3                    23,8      10,1       2,5     13,2 09474 (Landkreis)      Forchheim                        7 356          2 461      4 895       3 509         2 840             808             199                   8,2                    23,7       9,6       2,6     13,1   – 60 – 09475 (Landkreis)      Hof                              4 363          1 193      3 170       2 170         1 532             471             190                  12,9                    26,1      10,3       2,9     13,0 09476 (Landkreis)      Kronach                          3 136            942      2 194       1 597         1 128             305             106                  10,3                    26,4       9,9       2,7     13,0 09477 (Landkreis)      Kulmbach                         3 525          1 021      2 504       1 754         1 280             352             139                  10,6                    25,1      10,3       2,8     13,3 09478 (Landkreis)      Lichtenfels                      3 893          1 235      2 658       1 906         1 416             421             150                   8,1                    26,0       9,6       2,5     12,8 09479 (Landkreis)      Wunsiedel i.Fichtelgebirge       3 450            891      2 559       1 648         1 211             437             154                  13,0                    35,2      10,4       2,8     13,0 Regierungsbezirk Mittelfranken                        111 534         32 792     78 742      56 223        40 208       11 747              3 356                   8,5                    30,1       9,8       2,9     12,7 09561 (kreisfr. Stadt)     Ansbach                      2 523            648      1 875       1 263           821          330                109                   6,9                    36,2      10,1       2,8     12,6 09562 (kreisfr. Stadt)     Erlangen                     7 755          2 500      5 255       4 033         2 717          781                224                   8,5                    30,8       9,3       3,0     12,2 09563 (kreisfr. Stadt)     Fürth                        8 678          2 353      6 325       4 692         2 987          742                257                  10,3                    33,0      10,2       3,1     12,8 09564 (kreisfr. Stadt)     Nürnberg                    33 988          8 987     25 001      18 178        11 487        3 298              1 025                  11,0                    37,4      10,1       3,2     12,6 09565 (kreisfr. Stadt)     Schwabach                    2 596            757      1 839       1 273           959          282                 82                   7,1                    28,8       9,9       2,8     12,8 09571 (Landkreis)       Ansbach                        11 463          3 571      7 892       5 376         4 379        1 311                397                   8,1                    25,8       9,7       2,6     12,8 09572 (Landkreis)       Erlangen-Höchstadt              8 577          2 800      5 777       4 026         3 437          935                179                   6,6                    22,8       9,4       2,7     12,7 09573 (Landkreis)       Fürth                           6 945          2 132      4 813       3 373         2 720          700                152                   6,3                    22,4       9,8       2,6     12,9 09574 (Landkreis)       Nürnberger Land                 9 819          3 058      6 761       4 837         3 678        1 035                269                   6,7                    23,1       9,7       2,7     12,9 09575 (Landkreis)       Neustadt a.d.Aisch-Bad Windsheim                                                5 788         1 784      4 004          2 789        2 109          665             225                    9,2                    26,0       9,6       2,7     12,7 09576 (Landkreis)       Roth                             7 684         2 412      5 272          3 630        2 930          914             210                    6,2                    24,1       9,6       2,6     12,9 09577 (Landkreis)      Weißenburg-Gunzenhausen           5 718         1 790      3 928          2 753        1 984          754             227                    6,6                    28,6       9,8       2,7     13,0 Regierungsbezirk Unterfranken                          80 194         25 267     54 927      39 925        29 205           8 601           2 463                   8,4                    27,9       9,6       2,8     12,7 09661 (kreisfr. Stadt)    Aschaffenburg                 4 351          1 208      3 143       2 339         1 427             456             129                   9,7                    35,4       9,9       3,1     12,5 09662 (kreisfr. Stadt)    Schweinfurt                   3 179            816      2 363       1 608         1 023             388             160                  11,8                    49,7      10,1       3,0     12,6 Deutscher Bundestag – 19. Wahlperiode
60

Zur nächsten Seite