Verweigerung der Herausgabe naturschutzrelevanter Daten durch die Bayerischen Staatsforsten

/ 31
PDF herunterladen
Forstbetrieb Distrikt Abteilung Bestand Fläche_ha Nutzungsfrei NWR  NSG   N2000   Bestandsform Alter    X       Y Ebrach             25         9        5       2,7      <10 J. nein nein   nein   Bu/Kie/Fi      105  4404073 5529224 Ebrach             25         9        5       1,2      <10 J. nein nein   nein   Bu/Kie/Fi      105  4403892 5529401 Ebrach             25         9        5       0,5      <10 J. nein nein   nein   Bu/Kie/Fi      105  4403983 5529269 Ebrach             27        10        8       1,4      <10 J. nein nein   nein   Bu/Ei/Kie      173  4401237 5524316 Ebrach             27        10       11       0,7      <10 J. nein nein   nein   Bu/Ei/Kie      173  4401403 5524294 Ebrach             29         3        1       1,1      <10 J. nein nein   nein   Ei             211  4407615 5522950 Ebrach             29         3        1       4,3      <10 J. nein nein   nein   Ei             211  4407284 5522566 Ebrach             29         3        1       0,9      <10 J. nein nein   nein   Ei             211  4407716 5522912 Ebrach             29         3        1       1,4      <10 J. nein nein   nein   Ei             211  4406948 5522666 Ebrach             29         8        1       5,1      <10 J. nein nein   nein   Bu/Kie/Ei      154  4404527 5523830 Ebrach             32         6        2       0,9      <10 J. nein nein   nein   Ei/Bu          152  4404464 5515737 Ebrach             33         4        1       0,8      <10 J. nein nein   nein   Kie/Bu/Ei      176  4398355 5513682 Ebrach             39        18        2       0,9      <10 J. nein nein   nein   Bu             148  4397493 5518463 Ebrach             41         1        1       0,8      <10 J. nein nein   nein   Bu/Kie         230  4396644 5521433 Ebrach             41         1        1       0,7      <10 J. nein nein   nein   Bu/Kie         230  4396922 5521215 Ebrach             41         4        2       3,0      <10 J. nein nein   nein   Ei/Bu          201  4396662 5520123 Ebrach             41         7        2       1,1      <10 J. nein nein   nein   Bu/Ei          145  4395142 5519785 Ebrach             41        10        2       1,0      <10 J. nein nein   nein   Bu/Ei          185  4394156 5518873 Ebrach             42         3        4       0,5      <10 J. nein nein zu_100%  Bu             155  4394247 5521513 Ebrach             42         6        2       1,2      <10 J. nein nein   nein   Bu/Ei          155  4393417 5520361 Ebrach             42         7        4       1,2      <10 J. nein nein   nein   Bu/Ei          181  4391935 5519837 Ebrach             42         8        2       1,2      <10 J. nein nein   nein   Bu/Ei/Elä      171  4390841 5520335 Ebrach             42         9        2       2,4      <10 J. nein nein   nein   Bu/Ei          155  4392323 5520811 Ebrach             42        15        5       1,8      <10 J. nein nein zu_100%  Bu/Ei          185  4392359 5523332 Ebrach             42        19        1       1,4      <10 J. nein nein zu_100%  Ei/Bu          155  4394440 5522001 Ebrach             42        19        5       1,5      <10 J. nein nein zu_100%  Bu/Ei          185  4394200 5522235 Ebrach             42        21        6       0,8      <10 J. nein nein zum_Teil Bu/Ei          185  4395384 5522902 Ebrach             42        23        4       0,7      <10 J. nein nein zu_100%  Bu/Ei          185  4395897 5521979 Ebrach             43         1        2       3,3      <10 J. nein nein   nein   Bu/Ei          165  4389775 5521798 Ebrach             43         1        2       1,2      <10 J. nein nein   nein   Bu/Ei          165  4389760 5521709 Ebrach             44         0        4       1,1      <10 J. nein nein   nein   Bu/Ei          180  4388997 5521367 Ebrach             45         1        4       2,4      <10 J. nein nein zu_100%  Bu               79 4390463 5524202 9 von 29
11

Forstbetrieb Distrikt Abteilung Bestand Fläche_ha Nutzungsfrei NWR    NSG     N2000   Bestandsform Alter    X       Y Ebrach             45         1        4       0,9      <10 J. nein   nein   zu_100%  Bu               79 4390730 5524364 Ebrach             45         4        5       1,3      <10 J. nein zum_Teil zu_100%  Bu/Ei/sLbh     148  4389327 5524200 Ebrach             45         4        5       4,0      <10 J. nein zum_Teil   nein   Bu/Ei/sLbh     148  4389275 5524618 Ebrach             45         4        5       0,9      <10 J. nein zu 100%  zu_100%  Bu/Ei/sLbh     148  4389460 5524612 Ebrach             46         5        6       0,6      <10 J. nein   nein   zu_100%  Ei/Bu          196  4389356 5525703 Ebrach             48         4        3       3,3      <10 J. nein   nein   zu_100%  Bu/Elbh        172  4388499 5527849 Ebrach             48         5        3       4,7      <10 J. nein   nein   zu_100%  Bu/Ei          150  4388105 5528227 Ebrach             48         6        3       4,2      <10 J. nein   nein   zu_100%  Bu/Ei          148  4387493 5528662 Ebrach             48         9        3       0,9      <10 J. nein   nein   zu_100%  Bu/Ei/Elbh     142  4386709 5528139 Ebrach             48        11        3       0,5      <10 J. nein   nein   zu_100%  Bu/Ei          141  4386244 5528987 Ebrach             48        12        3       1,8      <10 J. nein   nein   zu_100%  Bu/Ei/Elbh     114  4386668 5528891 Ebrach             48        13        3       1,8      <10 J. nein   nein   zu_100%  Bu/Ei/Elbh     161  4386727 5528620 Ebrach             48        13        3       1,5      <10 J. nein   nein   zu_100%  Bu/Ei/Elbh     161  4386700 5528750 Ebrach             49         2        3       2,8      <10 J. nein   nein   zu_100%  Bu/Elbh/Ei     129  4388291 5529471 Ebrach             49         3        4       1,2      <10 J. nein   nein   zu_100%  Bu/Elbh/Ei     114  4387922 5529583 Ebrach             49         3        4       0,8      <10 J. nein   nein   zum_Teil Bu/Elbh/Ei     114  4388066 5529734 Ebrach             49         3        4       2,2      <10 J. nein zum_Teil zu_100%  Bu/Elbh/Ei     114  4387556 5529738 Ebrach             49         4        1      28,2    10-50 J. ja   zum_Teil   nein   Ei/Bu/Li       143  4387332 5529975 Ebrach             52         1        7      10,2    10-50 J. ja   zum_Teil zum_Teil Bu             200  4391979 5526001 Ebrach             52         3        5       0,9      <10 J. nein   nein   zu_100%  Bu             100  4391181 5525727 Ebrach             52         3        5       1,8      <10 J. nein   nein   zu_100%  Bu             100  4391396 5525197 Ebrach             52         3        5       0,7      <10 J. nein   nein   zu_100%  Bu             100  4391759 5525095 Ebrach             52         4        4       1,2      <10 J. nein   nein   zu_100%  Bu/Ei/Elbh     199  4390852 5525216 Ebrach             52         4        4       2,2      <10 J. nein   nein   zum_Teil Bu/Ei/Elbh     199  4390907 5525043 Ebrach             52         6        5       3,4    10-50 J. ja   zum_Teil zu_100%  Bu/Ei          189  4390034 5526774 Ebrach             52         6        5      40,0    10-50 J. ja   zum_Teil zu_100%  Bu/Ei          189  4389906 5526457 Ebrach             52         7        5      48,9    10-50 J. ja   zum_Teil zu_100%  Bu/Ei/Li       130  4389606 5526884 Ebrach             53         3        8       2,8      <10 J. nein   nein   zu_100%  Ei/Bu          183  4393330 5525353 Ebrach             53         5        6       0,7      <10 J. nein   nein     nein   Ei/Bu/Kie      145  4392623 5524403 Ebrach             53         5        6       1,5      <10 J. nein   nein   zum_Teil Ei/Bu/Kie      145  4392581 5524580 Ebrach             53         6        6       1,3      <10 J. nein   nein   zum_Teil Bu/Ei/Fi       125  4392196 5525258 Ebrach             53         7        6      13,0    10-50 J. ja   zum_Teil zu_100%  Bu/Ei/Elbh     155  4392876 5526202 10 von 29
12

Forstbetrieb Distrikt Abteilung Bestand Fläche_ha Nutzungsfrei NWR    NSG     N2000 Bestandsform Alter      X       Y Ebrach             53         7        6      26,8    10-50 J. ja   zum_Teil zum_Teil Bu/Ei/Elbh     155  4392409 5526223 Ebrach             54         3        8       3,7      <10 J. nein   nein     nein   Ei/Bu/Hbu      175  4395012 5523278 Ebrach             54         4        6       4,2      <10 J. nein   nein   zu_100% Bu/Elbh         102  4394747 5524128 Ebrach             54         4        6       0,5      <10 J. nein   nein   zu_100% Bu/Elbh         102  4394594 5523827 Ebrach             54         5        4      14,4      <10 J. nein   nein     nein   Bu/Kie/Ei      178  4393801 5524387 Ebrach             54         5        4       0,8      <10 J. nein   nein     nein   Bu/Kie/Ei      178  4393674 5524471 Ebrach             55         4        4       9,7      <10 J. nein   nein   zu_100% Bu/Ei           163  4395559 5525770 Ebrach             56         7        5       2,7      <10 J. nein   nein     nein   Bu/Ei          165  4395053 5526928 Ebrach             56         7        5       1,0      <10 J. nein   nein   zu_100% Bu/Ei           165  4395485 5527420 Fichtelberg         3        17        0      17,9      <10 J. nein   nein     nein   Fi                0 4487489 5543976 Fichtelberg         4         5        0      10,4      <10 J. nein   nein     nein   Fi                0 4487671 5543288 Fichtelberg         5         4        1      12,6      <10 J. nein   nein   zu_100% Fi                 0 4490648 5544195 Fichtelberg         5         6        0      14,6      <10 J. nein   nein   zu_100% Fi                 0 4490968 5543314 Fichtelberg         6        11        0      11,0      <10 J. nein   nein   zu_100% Fi/Bu              0 4491356 5543718 Fichtelberg         7         9        3       2,5      <10 J. nein zum_Teil zu_100% Fi                 0 4492340 5542464 Fichtelberg         7        12        0       5,3      <10 J. nein   nein   zu_100% Fi                 0 4492155 5543095 Fichtelberg         8         1        8      36,4    10-50 J. ja      ja    zum_Teil Fi/Kie       Moor   4489990 5542956 Fichtelberg         8         4        4      19,0    10-50 J. ja      ja    zu_100% Fi/Kie        Moor   4490922 5542365 Fichtelberg         8         7        4       0,8      <10 J. nein   nein     nein   Bu/Fi/sLbh        0 4489978 5541661 Fichtelberg         8         7        4       1,0      <10 J. nein   nein     nein   Bu/Fi/sLbh        0 4490485 5541092 Fichtelberg         8         7        4       1,5      <10 J. nein   nein     nein   Bu/Fi/sLbh        0 4489970 5541431 Fichtelberg         8         7        4       1,5      <10 J. nein   nein     nein   Bu/Fi/sLbh        0 4490108 5541821 Fichtelberg         8         7        4       1,3      <10 J. nein   nein     nein   Bu/Fi/sLbh        0 4490266 5541095 Fichtelberg        23        11        0       2,4      <10 J. nein   nein     nein   Fi/Bu             0 4483545 5536280 Fichtelberg        23        11        0       4,3      <10 J. nein   nein     nein   Fi/Bu             0 4483273 5536105 Freising           11         3        1       0,8      <10 J. nein   nein     nein   Bu/Kie/Fi      186  4494200 5399608 Freising           17         1        3      77,1    10-50 J. ja     nein   zum_Teil Kie/Fi/Bu      146  4484182 5399789 Freising           21         1        5      17,9    10-50 J. ja     nein   zum_Teil SErl/Ei/ELbh   126  4469855 5396566 Freising           21         2        6      20,8    10-50 J. ja     nein   zum_Teil SErl/ELbh/Fi    96  4469252 5395561 Freising           51         4        5      19,2    10-50 J. ja      ja    zu_100% WErl/Es/Fi       75  4493120 5365712 Freising           59         0        1      23,7    10-50 J. ja      ja    zum_Teil ELbh/Ei/sLbh   115  4473657 5351349 Freising           70         1        1      19,6      <10 J. nein zu 100% zum_Teil Kie             102  4471168 5348524 11 von 29
13

Forstbetrieb Distrikt Abteilung Bestand Fläche_ha Nutzungsfrei NWR    NSG     N2000   Bestandsform Alter    X       Y Freising           70         2        1       5,5      <10 J. nein zu 100% zu_100%   Kie/Fi/ELbh      87 4471322 5347857 Freising           70         3        1       1,1      <10 J. nein zu 100% zu_100%   Kie/ELbh/Rob     67 4470324 5347703 Freising           71         1        1       3,2      <10 J. nein   nein     nein   Kie/Fi/Bu      117  4470154 5346877 Freising           71         1        1       6,8      <10 J. nein   nein     nein   Kie/Fi/Bu      117  4470230 5346280 Freising           71         1        1       4,7      <10 J. nein   nein     nein   Kie/Fi/Bu      117  4470374 5345862 Freising           71         5        1       1,7      <10 J. nein   nein     nein   Kie/Ei/ELbh    117  4467501 5347060 Freising           71         5        1       3,9      <10 J. nein   nein     nein   Kie/Ei/ELbh    117  4467615 5347219 Freising           74         1        5       8,3    10-50 J. ja     nein   zum_Teil Ei/ELbh        187  4466559 5343841 Freising           74         2        6      14,4    10-50 J. ja     nein   zum_Teil Ei/ELbh/Kie    187  4466560 5343556 Freising           77         0        1      33,4      <10 J. nein zu 100% zu_100%   Kie/Fi/sLbh    127  4462711 5345244 Freising           77         0        1       0,7      <10 J. nein zu 100% zu_100%   Kie/Fi/sLbh    127  4462794 5344591 Freising           77         0        1       3,6      <10 J. nein zum_Teil zum_Teil Kie/Fi/sLbh    127  4462882 5344248 Hammelburg          3         3        1      11,0      <10 J. nein   nein     nein   Bu             208  4343067 5568293 Hammelburg          3         4        0       2,0      <10 J. nein   nein     nein   Bu             206  4342769 5568697 Hammelburg          3         4        2       7,5      <10 J. nein   nein     nein   Bu             206  4342945 5568716 Hammelburg          9         1        1       1,1      <10 J. nein   nein     nein   Bu/Ei          202  4350100 5571130 Hammelburg          9         1        1       1,1      <10 J. nein   nein     nein   Bu/Ei          202  4350304 5570996 Hammelburg          9         1        1       0,8      <10 J. nein   nein     nein   Bu/Ei          202  4350508 5571390 Hammelburg         11         6        2       0,9      <10 J. nein   nein     nein   Bu             211  4349159 5566122 Hammelburg         11         7        1       1,2      <10 J. nein   nein     nein   Bu             205  4349341 5566225 Hammelburg         11         7        1       2,7      <10 J. nein   nein     nein   Bu             205  4349427 5566496 Hammelburg         11         7        1       2,1      <10 J. nein   nein     nein   Bu             205  4349485 5566364 Hammelburg         13         3        1       2,7      <10 J. nein   nein     nein   Bu             191  4347659 5564782 Hammelburg         13         3        1       1,6      <10 J. nein   nein     nein   Bu             191  4347915 5564962 Hammelburg         14         2        2       0,6      <10 J. nein   nein     nein   Bu             207  4346725 5566282 Hammelburg         14         6        2       1,4      <10 J. nein   nein     nein   Bu             216  4345262 5566592 Hammelburg         16         2        1       2,0      <10 J. nein   nein     nein   Bu/Ei/SErl     200  4342776 5564534 Hammelburg         16         2        1       0,7      <10 J. nein   nein     nein   Bu/Ei/SErl     200  4343128 5564805 Hammelburg         16         2        1       1,5      <10 J. nein   nein     nein   Bu/Ei/SErl     200  4342714 5564667 Hammelburg         16         5        1       5,5      <10 J. nein   nein     nein   Bu             218  4342411 5565618 Hammelburg         19         5        3       4,3      <10 J. nein   nein     nein   Bu/Ei          198  4332379 5546160 Hammelburg         27         2        0       2,0      <10 J. nein   nein   zu_100%  Bu/Ei          189  4327064 5552530 12 von 29
14

Forstbetrieb  Distrikt Abteilung Bestand Fläche_ha Nutzungsfrei NWR    NSG     N2000   Bestandsform Alter   X       Y Hammelburg          31         6        2       1,7      <10 J. nein   nein     nein   Bu             212 4321932 5552649 Hammelburg          31         9        2       1,8      <10 J. nein   nein   zum_Teil Bu/Elä         212 4322421 5551213 Hammelburg          32         1        2       0,7      <10 J. nein   nein     nein   Bu             210 4321754 5553774 Hammelburg          32         1        2       2,1      <10 J. nein   nein     nein   Bu             210 4321353 5553903 Hammelburg          32         3        2       1,5      <10 J. nein   nein     nein   Bu/Ei          206 4320508 5553433 Hammelburg          32         3        2       0,5      <10 J. nein   nein     nein   Bu/Ei          206 4320559 5553633 Hammelburg          32         3        2       2,7      <10 J. nein   nein     nein   Bu/Ei          206 4321268 5553920 Hammelburg          33         9        0      16,7      <10 J. nein   nein   zum_Teil Bu/Ei/Elä      195 4322694 5551468 Hammelburg          33        10        0       4,2      <10 J. nein   nein   zum_Teil Bu/Ei          189 4322369 5552335 Hammelburg          39         5        0       3,8      <10 J. nein   nein   zum_Teil Bu/Ei/Kie      194 4321957 5567840 Hammelburg          39         5        0       8,6      <10 J. nein   nein   zu_100%  Bu/Ei/Kie      194 4322535 5567891 Hammelburg          41         5        7      21,7    10-50 J. ja      ja    zum_Teil Bu/Ei          164 4326092 5565450 Hammelburg          46         9        4      30,5    10-50 J. ja      ja    zum_Teil Bu/Ei          142 4333479 5565917 Heigenbrücken        1         7        1       3,0      <10 J. nein zum_Teil zum_Teil Bu/Ei          202 4312836 5554720 Heigenbrücken        1         8        1       1,1      <10 J. nein   nein     nein   Bu/Ei          218 4313276 5554499 Heigenbrücken        2        14        1       1,0      <10 J. nein   nein     nein   Ei/Bu          405 4310602 5554780 Heigenbrücken        5         2        1       1,0      <10 J. nein zum_Teil zum_Teil Bu/Ei          169 4313916 5552688 Heigenbrücken        5         3        1       2,2      <10 J. nein zum_Teil zum_Teil Bu/Fi          172 4314236 5551931 Heigenbrücken        5         5        0       3,8      <10 J. nein   nein     nein   Bu/Ei/Fi       185 4315687 5552386 Heigenbrücken        5         5        3       0,7      <10 J. nein   nein     nein   Bu/Ei          185 4315636 5552480 Heigenbrücken        5         8        1       2,7      <10 J. nein   nein     nein   Bu/Kie/Ei      171 4314997 5551984 Heigenbrücken        5         9        2       1,6      <10 J. nein zum_Teil zum_Teil Bu/Fi          139 4314566 5551577 Heigenbrücken        5        10        1       1,3      <10 J. nein zum_Teil zum_Teil Fi/Bu/Kie      159 4314818 5551041 Heigenbrücken        5        14        1       1,7      <10 J. nein   nein     nein   Kie/Bu/HBu     119 4315187 5549737 Heigenbrücken        5        19        1       0,9      <10 J. nein zum_Teil zum_Teil Bu/Kie/Fi      154 4315640 5548952 Heigenbrücken        5        20        1       0,8      <10 J. nein zum_Teil zum_Teil Bu/Kie         170 4315849 5548545 Heigenbrücken        5        22        1       2,4      <10 J. nein zum_Teil zum_Teil Bu/Ei/Kie      175 4315990 5548349 Heigenbrücken        7         4        0      12,4      <10 J. nein   nein     nein   Bu/Fi/Elä      162 4314170 5549057 Heigenbrücken        7         4        1       5,5      <10 J. nein   nein     nein   Bu/Elä/Kie     162 4314090 5549313 Heigenbrücken        7        26        1       6,1      <10 J. nein   nein     nein   Bu             195 4313145 5546554 Heigenbrücken        7        34        1       0,8      <10 J. nein   nein     nein   Bu             190 4315056 5545478 Heigenbrücken       11         2        0       6,9      <10 J. nein   nein     nein   Bu             181 4320988 5547124 13 von 29
15

Forstbetrieb  Distrikt Abteilung Bestand Fläche_ha Nutzungsfrei NWR    NSG     N2000 Bestandsform Alter   X       Y Heigenbrücken       11         7        1       1,8      <10 J. nein zum_Teil zum_Teil Kie/Bu/HBu   158 4318352 5546700 Heigenbrücken       11         8        1       1,0      <10 J. nein zum_Teil zum_Teil Bu/Kie       158 4318410 5547087 Heigenbrücken       11        11        0       7,4      <10 J. nein   nein     nein   Bu/Ei        189 4319805 5546940 Heigenbrücken       14         5        0       5,8      <10 J. nein   nein   zu_100% Bu/Elä/Kie    164 4317984 5541969 Heigenbrücken       14        12        0       1,8      <10 J. nein   nein   zum_Teil Bu           165 4320826 5542392 Heigenbrücken       17         9        5       0,9    10-50 J. ja      ja    zum_Teil Bu/Kie       110 4306723 5537973 Heigenbrücken       18         4        5      16,3    10-50 J. ja      ja    zum_Teil Bu/Elä       161 4306125 5538259 Heigenbrücken       18         5        7      16,9    10-50 J. ja      ja    zum_Teil Bu/Fi/Elä    129 4306366 5538098 Heigenbrücken       18         6        4       2,3    10-50 J. ja      ja    zum_Teil Bu/Fi/Elä    106 4306012 5537787 Heigenbrücken       18         7        0       0,8      <10 J. nein   nein     nein   Bu           186 4305405 5537987 Heigenbrücken       18         7        0       6,1      <10 J. nein   nein     nein   Bu           186 4305230 5538252 Heigenbrücken       18         8        0      20,6      <10 J. nein   nein     nein   Bu           185 4304609 5538143 Heigenbrücken       18         8        0       1,2      <10 J. nein   nein     nein   Bu           185 4304924 5538516 Heigenbrücken       19         3        0       6,4      <10 J. nein   nein   zu_100% Bu/Ei         215 4308132 5538285 Heigenbrücken       19         5        0       1,3      <10 J. nein   nein   zu_100% Bu/Ei         222 4307542 5538286 Heigenbrücken       19         9        1       2,9    10-50 J. ja      ja    zu_100% Ei/Bu         163 4306655 5538353 Heigenbrücken       19         9        1       1,3    10-50 J. ja      ja    zu_100% Ei/Bu         163 4306362 5538740 Heigenbrücken       19         9        1       3,8    10-50 J. ja      ja    zu_100% Ei/Bu         163 4306112 5538911 Heigenbrücken       19         9        2      23,3    10-50 J. ja      ja    zum_Teil Bu/Ei        160 4306424 5538498 Heigenbrücken       19         9        2       1,7    10-50 J. ja      ja    zu_100% Bu/Ei         160 4306670 5538391 Heigenbrücken       20         4        0       1,3      <10 J. nein   nein   zum_Teil Bu           186 4308741 5538147 Heigenbrücken       20         4        0       2,5      <10 J. nein   nein   zu_100% Bu            186 4309099 5537928 Heigenbrücken       20         4        0       1,3      <10 J. nein   nein     nein   Bu           186 4309230 5537699 Heigenbrücken       21         3        1       0,8      <10 J. nein   nein   zu_100% Bu            209 4310026 5540090 Heigenbrücken       24         9        0       8,8      <10 J. nein   nein   zum_Teil Bu/Fi        175 4308788 5542902 Heigenbrücken       26         5        1       2,5      <10 J. nein   nein     nein   Bu           194 4310382 5546595 Heigenbrücken       26        15        1       1,8      <10 J. nein   nein     nein   Ei/Bu/Elä    144 4309903 5544171 Heigenbrücken       27         8        3       2,1      <10 J. nein   nein     nein   Bu/Ei        209 4306707 5548611 Heigenbrücken       27        10        0      11,6      <10 J. nein   nein     nein   Bu/Ei        195 4306548 5547068 Heigenbrücken       28         2        0      26,5      <10 J. nein   nein     nein   Bu           173 4308919 5547517 Heigenbrücken       28         3        0       8,4      <10 J. nein   nein     nein   Bu/Kie       182 4308655 5547993 Heigenbrücken       29         2        1       0,8      <10 J. nein   nein     nein   Bu/Ei        207 4306657 5548685 14 von 29
16

Forstbetrieb  Distrikt Abteilung Bestand Fläche_ha Nutzungsfrei NWR  NSG  N2000 Bestandsform Alter   X       Y Heigenbrücken       29         2        1       2,2      <10 J. nein nein  nein Bu/Ei          207 4306093 5547796 Heigenbrücken       29         4        1       1,9      <10 J. nein nein  nein Bu/Ei          201 4306129 5548897 Heigenbrücken       29         8        2       0,6      <10 J. nein nein  nein Bu             194 4305155 5548590 Heigenbrücken       29         8        2       0,6      <10 J. nein nein  nein Bu             194 4305312 5548675 Heigenbrücken       29         8        2       3,0      <10 J. nein nein  nein Bu             194 4305343 5548316 Heigenbrücken       30         2        0       1,1      <10 J. nein nein  nein Bu             194 4306329 5549913 Heigenbrücken       30         2        0       8,0      <10 J. nein nein  nein Bu             194 4306312 5550104 Heigenbrücken       30         3        0       1,6      <10 J. nein nein  nein Bu/Fi          185 4306225 5549952 Heigenbrücken       30         3        0       1,1      <10 J. nein nein  nein Bu/Fi          185 4305937 5549834 Heigenbrücken       30         3        0       0,9      <10 J. nein nein  nein Bu/Fi          185 4306074 5550187 Heigenbrücken       30         3        0       0,8      <10 J. nein nein  nein Bu/Fi          185 4305754 5550209 Heigenbrücken       30         3        0       3,6      <10 J. nein nein  nein Bu/Fi          185 4306106 5549807 Heigenbrücken       33         4        0       6,2      <10 J. nein nein  nein Bu/Fi          183 4307143 5552665 Heigenbrücken       33        10        1       0,9      <10 J. nein nein  nein Bu             188 4304630 5553867 Heigenbrücken       35         3        0       7,6      <10 J. nein nein  nein Bu             167 4309884 5554671 Heigenbrücken       35         3        0       3,0      <10 J. nein nein  nein Bu             167 4310103 5555211 Heigenbrücken       35         6        0       1,5      <10 J. nein nein  nein Bu             182 4309445 5555028 Heigenbrücken       35         6        0      13,0      <10 J. nein nein  nein Bu             182 4309422 5554770 Heigenbrücken       35         6        3       3,5      <10 J. nein nein  nein Bu             208 4309218 5555338 Heigenbrücken       35         8        1       0,7      <10 J. nein nein  nein Bu             185 4309269 5556216 Heigenbrücken       35        11        0       6,0      <10 J. nein nein  nein Bu/Ei          179 4309614 5556399 Heigenbrücken       37         4        0       3,8      <10 J. nein nein  nein Bu/Ei          204 4309262 5557231 Heigenbrücken       37         4        0       1,3      <10 J. nein nein  nein Bu/Ei          204 4309431 5557567 Heigenbrücken       37         5        0      16,1      <10 J. nein nein  nein Bu/Ei          181 4309784 5557515 Heigenbrücken       37        12        0       3,7      <10 J. nein nein  nein Bu/Ei/Elä      206 4308359 5557533 Heigenbrücken       37        12        0       2,6      <10 J. nein nein  nein Bu/Ei/Elä      206 4308781 5557490 Heigenbrücken       37        13        0       3,8      <10 J. nein nein  nein Bu/Ei          203 4308663 5557857 Heigenbrücken       37        13        0       2,2      <10 J. nein nein  nein Bu/Ei          203 4308222 5557527 Heigenbrücken       37        14        1       8,5      <10 J. nein nein  nein Bu/Ei          212 4308812 5558337 Heigenbrücken       37        14        1       0,8      <10 J. nein nein  nein Bu/Ei          212 4308998 5558253 Heigenbrücken       37        16        2       1,7      <10 J. nein nein  nein Bu             212 4308617 5558702 Heigenbrücken       38        14        0       2,3      <10 J. nein nein  nein Bu/Ei          157 4300363 5559591 15 von 29
17

Forstbetrieb  Distrikt Abteilung Bestand Fläche_ha Nutzungsfrei NWR    NSG     N2000 Bestandsform Alter    X         Y Heigenbrücken       38        14        0       0,9      <10 J. nein   nein     nein   Bu/Ei        157  4301311 5559694 Neureichenau         1         5        1       0,7      <10 J. nein   nein     nein   Fi/Bu/Ta        0 4617331 5423793 Neureichenau         2         7        2       1,2      <10 J. nein   nein     nein   Fi/Ta/Bu        0 4619877 5420758 Neureichenau         2         7        2       1,1      <10 J. nein   nein     nein   Fi/Ta/Bu        0 4619669 5420699 Neureichenau         4         7        1       5,1      <10 J. nein   nein     nein   Bu/ELbh/Fi      0 4620546 5417467 Neureichenau         4        10        2       1,4      <10 J. nein   nein     nein   Fi/Ta           0 4621115 5416544 Neureichenau         5         3        1       1,4      <10 J. nein   nein     nein   Fi/Ta           0 4620921 5415502 Neureichenau         5         3        1       6,3      <10 J. nein   nein     nein   Fi/Ta           0 4620741 5415074 Neureichenau         5         6        3       4,8      <10 J. nein   nein     nein   Fi/Bu           0 4620522 5415843 Neureichenau         6         3        2       1,1      <10 J. nein   nein   zu_100% Fi               0 4622406 5414800 Neureichenau         9         3        0       1,3      <10 J. nein   nein     nein   Fi/Ta/Bu        0 4618606 5413953 Neureichenau        10         1        5       1,0      <10 J. nein   nein   zu_100% Fi/Ta/Bu         0 4612056 5411336 Neureichenau        10         1        5       1,0      <10 J. nein   nein   zu_100% Fi/Ta/Bu         0 4612169 5411396 Neureichenau        10         2        3       2,7      <10 J. nein   nein   zu_100% Bu/Ta/Fi         0 4611584 5410678 Neureichenau        10         2        3       7,1      <10 J. nein   nein   zu_100% Bu/Ta/Fi         0 4611866 5410843 Neureichenau        10         5        1       2,9      <10 J. nein   nein     nein   Fi/Bu/Ta        0 4612326 5412870 Neureichenau        14         4        6      12,4    10-50 J. ja      ja    zum_Teil Fi           139  4626359 5416972 Neureichenau        14         4        9       2,3    10-50 J. ja      ja    zu_100% Moorauge         0 4626384 5417054,1 Neureichenau        30         6        1      30,7    10-50 J. ja      ja    zum_Teil Fi              0 4635079 5405016 Neureichenau        30         6        7       0,5    10-50 J. ja      ja    zu_100% Block            0 4635017 5405197,1 Neureichenau        37         1        2       1,3      <10 J. nein   nein     nein   Bu              0 4621171 5383446 Neureichenau        37         1        2       2,8      <10 J. nein   nein     nein   Bu              0 4621336 5383672 Neureichenau        38         7        1       1,5      <10 J. nein   nein     nein   Ei/Bu           0 4611483 5385287 Neureichenau        38         7        1       0,6      <10 J. nein zum_Teil zum_Teil Ei/Bu           0 4611408 5385047 Neureichenau        38         7        5       3,7      <10 J. nein zum_Teil zum_Teil Bu/Ei           0 4611232 5384885 Neureichenau        40         0        1       1,5      <10 J. nein   nein     nein   Ei/Bu           0 4605074 5385141 Neureichenau        40         0        1       6,9      <10 J. nein   nein     nein   Ei/Bu           0 4604704 5384816 Neureichenau        40         0        1       0,6      <10 J. nein   nein     nein   Ei/Bu           0 4605352 5385024 Neureichenau        40         0        1       1,4      <10 J. nein   nein     nein   Ei/Bu           0 4604985 5384626 Neureichenau        44         2        1       3,1      <10 J. nein   nein     nein   SErl/Fi         0 4599561 5383844 Neureichenau        44        12        1      13,0    10-50 J. ja     nein   zum_Teil Bu/Ei           0 4597513 5385330 Neureichenau        44        12        3       2,0      <10 J. nein   nein   zum_Teil Bu/Fi/ELbh      0 4597635 5385734 16 von 29
18

Forstbetrieb Distrikt Abteilung Bestand Fläche_ha Nutzungsfrei NWR  NSG   N2000   Bestandsform Alter    X       Y Neureichenau       44        13        1       3,7      <10 J. nein nein zum_Teil Bu/Fi             0 4598402 5385579 Neureichenau       44        13        1       2,4      <10 J. nein nein zum_Teil Bu/Fi             0 4598437 5385552 Neureichenau       44        13        2       0,5      <10 J. nein nein zum_Teil Fi/Bu             0 4597989 5385699 Neureichenau       44        13        2       1,6      <10 J. nein nein zum_Teil Fi/Bu             0 4598005 5385658 Neureichenau       44        13        2       0,6      <10 J. nein nein zu_100%  Fi/Bu             0 4598721 5385467 Neureichenau       44        14        0       0,6      <10 J. nein nein zu_100%  Fi/Bu/Ta          0 4598805 5385450 Neureichenau       44        14        2       1,9      <10 J. nein nein zu_100%  Bu/Fi             0 4598940 5385438 Neureichenau       47         2        2       3,2      <10 J. nein nein   nein   Bu/Ei             0 4603480 5380337 Neureichenau       48         1        1      39,0      <10 J. nein nein zum_Teil Bu/Ei/Fi          0 4606154 5379480 Neureichenau       48         2        1       1,5      <10 J. nein nein zu_100%  Ei/Bu             0 4605891 5379101 Neureichenau       48         2        1       1,0      <10 J. nein nein zu_100%  Ei/Bu             0 4605932 5379342 Neureichenau       48         3        1      15,3    10-50 J. ja   nein zu_100%  Bu/ELbh/Fi        0 4606691 5379026 Neureichenau       48         4        1      12,8      <10 J. nein nein zu_100%  Bu/Fi/Ei          0 4606617 5378091 Neureichenau       48         4        1       0,5      <10 J. nein nein zu_100%  Bu/Fi/Ei          0 4606361 5378485 Neureichenau       48         5        2       2,0      <10 J. nein nein zu_100%  Ei/Bu             0 4606644 5377719 Neureichenau       48         5        2       6,8      <10 J. nein nein zu_100%  Ei/Bu             0 4606323 5377657 Neureichenau       48         6        1      20,3      <10 J. nein nein zum_Teil Bu/Ei/Fi          0 4606983 5376838 Neureichenau       48        10        1      17,7    10-50 J. ja   nein zu_100%  Bu/Ei/Fi          0 4606049 5378400 Neureichenau       50         4        2       1,7      <10 J. nein nein   nein   Bu/Ei/HBu         0 4587940 5369886 Neureichenau       50         7        2      11,9    10-50 J. ja   nein   nein   Fi/Bu/Ta          0 4587988 5372209 Nürnberg            1         2        3       2,6    10-50 J. ja    ja  zu_100%  SErl/SLbh/Kie     0 4429415 5492550 Nürnberg            1         2        3       5,0    10-50 J. ja    ja  zu_100%  SErl/SLbh/Kie     0 4429435 5492413 Nürnberg            1         3        4      10,5    10-50 J. ja    ja  zu_100%  SErl/Fi/Kie       0 4428886 5492595 Nürnberg            1         3        4      10,0    10-50 J. ja    ja  zu_100%  SErl/Fi/Kie       0 4428782 5492673 Nürnberg            1         3        4       1,8    10-50 J. ja    ja  zu_100%  SErl/Fi/Kie       0 4428644 5492848 Nürnberg           10         2        7       9,0    10-50 J. ja    ja  zu_100%  SErl           139  4430365 5490564 Nürnberg           27         2        0     111,5    10-50 J. ja    ja  zu_100%  Kie            119  4451780 5476940 Rothenbuch          1         9        1       2,4      <10 J. nein nein zu_100%  Bu/Ei          226  4323388 5541749 Rothenbuch          1        12        0       2,1      <10 J. nein nein zu_100%  Bu/Ei          186  4322526 5540705 Rothenbuch          1        13        1       2,8      <10 J. nein nein zu_100%  Bu/Ei          192  4322567 5541311 Rothenbuch          2         4        0       2,7      <10 J. nein nein zu_100%  Bu/Ei          184  4320197 5540653 Rothenbuch          2         6        0       5,9      <10 J. nein nein zu_100%  Bu             193  4320647 5540826 17 von 29
19

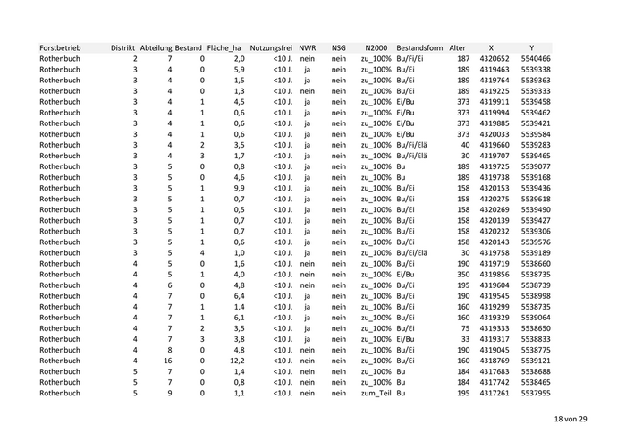
Forstbetrieb Distrikt Abteilung Bestand Fläche_ha Nutzungsfrei NWR  NSG   N2000   Bestandsform Alter    X       Y Rothenbuch          2         7        0       2,0      <10 J. nein nein zu_100%  Bu/Fi/Ei       187  4320652 5540466 Rothenbuch          3         4        0       5,9      <10 J. ja   nein zu_100%  Bu/Ei          189  4319463 5539338 Rothenbuch          3         4        0       1,5      <10 J. ja   nein zu_100%  Bu/Ei          189  4319764 5539363 Rothenbuch          3         4        0       1,3      <10 J. nein nein zu_100%  Bu/Ei          189  4319225 5539333 Rothenbuch          3         4        1       4,5      <10 J. ja   nein zu_100%  Ei/Bu          373  4319911 5539458 Rothenbuch          3         4        1       0,6      <10 J. ja   nein zu_100%  Ei/Bu          373  4319994 5539462 Rothenbuch          3         4        1       0,6      <10 J. ja   nein zu_100%  Ei/Bu          373  4319885 5539421 Rothenbuch          3         4        1       0,6      <10 J. ja   nein zu_100%  Ei/Bu          373  4320033 5539584 Rothenbuch          3         4        2       3,5      <10 J. ja   nein zu_100%  Bu/Fi/Elä        40 4319660 5539283 Rothenbuch          3         4        3       1,7      <10 J. ja   nein zu_100%  Bu/Fi/Elä        30 4319707 5539465 Rothenbuch          3         5        0       0,8      <10 J. ja   nein zu_100%  Bu             189  4319725 5539077 Rothenbuch          3         5        0       4,6      <10 J. ja   nein zu_100%  Bu             189  4319738 5539168 Rothenbuch          3         5        1       9,9      <10 J. ja   nein zu_100%  Bu/Ei          158  4320153 5539436 Rothenbuch          3         5        1       0,7      <10 J. ja   nein zu_100%  Bu/Ei          158  4320275 5539618 Rothenbuch          3         5        1       0,5      <10 J. ja   nein zu_100%  Bu/Ei          158  4320269 5539490 Rothenbuch          3         5        1       0,7      <10 J. ja   nein zu_100%  Bu/Ei          158  4320139 5539427 Rothenbuch          3         5        1       0,7      <10 J. ja   nein zu_100%  Bu/Ei          158  4320232 5539306 Rothenbuch          3         5        1       0,6      <10 J. ja   nein zu_100%  Bu/Ei          158  4320143 5539576 Rothenbuch          3         5        4       1,0      <10 J. ja   nein zu_100%  Bu/Ei/Elä        30 4319758 5539189 Rothenbuch          4         5        0       1,6      <10 J. nein nein zu_100%  Bu/Ei          190  4319719 5538660 Rothenbuch          4         5        1       4,0      <10 J. nein nein zu_100%  Ei/Bu          350  4319856 5538735 Rothenbuch          4         6        0       4,8      <10 J. nein nein zu_100%  Bu/Ei          195  4319604 5538739 Rothenbuch          4         7        0       6,4      <10 J. ja   nein zu_100%  Bu/Ei          190  4319545 5538998 Rothenbuch          4         7        1       1,4      <10 J. ja   nein zu_100%  Bu/Ei          160  4319299 5538735 Rothenbuch          4         7        1       6,1      <10 J. ja   nein zu_100%  Bu/Ei          160  4319329 5539064 Rothenbuch          4         7        2       3,5      <10 J. ja   nein zu_100%  Bu/Ei            75 4319333 5538650 Rothenbuch          4         7        3       3,8      <10 J. ja   nein zu_100%  Ei/Bu            33 4319317 5538833 Rothenbuch          4         8        0       4,8      <10 J. nein nein zu_100%  Bu/Ei          190  4319045 5538775 Rothenbuch          4        16        0      12,2      <10 J. nein nein zu_100%  Bu/Ei          160  4318769 5539121 Rothenbuch          5         7        0       1,4      <10 J. nein nein zu_100%  Bu             184  4317683 5538688 Rothenbuch          5         7        0       0,8      <10 J. nein nein zu_100%  Bu             184  4317742 5538465 Rothenbuch          5         9        0       1,1      <10 J. nein nein zum_Teil Bu             195  4317261 5537955 18 von 29
20

Zur nächsten Seite