Verweigerung der Herausgabe naturschutzrelevanter Daten durch die Bayerischen Staatsforsten

/ 31
PDF herunterladen
Forstbetrieb Distrikt Abteilung Bestand Fläche_ha Nutzungsfrei NWR  NSG   N2000   Bestandsform Alter    X       Y Rothenbuch          5        12        0       8,6      <10 J. nein nein zu_100%  Bu             187  4317051 5540477 Rothenbuch          6         2        0       2,1      <10 J. nein nein zu_100%  Bu/Ei          188  4315768 5540087 Rothenbuch          6         2        0       4,2      <10 J. nein nein zu_100%  Bu/Ei          188  4315705 5540806 Rothenbuch          6         3        0       0,6      <10 J. nein nein zu_100%  Bu             188  4316112 5540234 Rothenbuch          6         3        0       0,6      <10 J. nein nein zu_100%  Bu             188  4316501 5540184 Rothenbuch          6         3        0      14,0      <10 J. nein nein zu_100%  Bu             188  4316189 5540318 Rothenbuch          6         4        0      12,3      <10 J. nein nein zu_100%  Bu             188  4316032 5540013 Rothenbuch          6         5        1       1,3      <10 J. nein nein zu_100%  Bu             220  4316604 5538604 Rothenbuch          6        16        0       4,1      <10 J. nein nein zu_100%  Bu/Elä         191  4314601 5541074 Rothenbuch          7         4        1       6,4      <10 J. nein nein zu_100%  Bu             270  4315568 5537283 Rothenbuch          7         4        1       2,1      <10 J. nein nein zu_100%  Bu             270  4315171 5536944 Rothenbuch          8         2        1      27,2    10-50 J. ja    ja  zum_Teil Bu/Fi/Elä        78 4318161 5536155 Rothenbuch          8         2        2       1,4    10-50 J. ja    ja  zum_Teil Dgl/Bi/SErl      34 4318287 5536022 Rothenbuch          8         3        1      13,3    10-50 J. ja    ja  zum_Teil Bu             148  4317644 5535571 Rothenbuch          8         3        1       7,7    10-50 J. ja    ja  zum_Teil Bu             148  4317640 5535071 Rothenbuch          8         3        1      23,2    10-50 J. ja    ja  zum_Teil Bu             148  4317932 5535175 Rothenbuch          8         3        2       3,2    10-50 J. ja    ja  zum_Teil Fi/Bu          135  4318070 5535623 Rothenbuch          8         3        3       3,0    10-50 J. ja    ja  zu_100%  Fi/Dgl/Bu        41 4317660 5535749 Rothenbuch          8         3        3       2,4    10-50 J. ja    ja  zum_Teil Fi/Dgl/Bu        41 4317456 5535305 Rothenbuch          8         3        3       5,3    10-50 J. ja    ja  zum_Teil Fi/Dgl/Bu        41 4317913 5534733 Rothenbuch          8         3        4       1,3    10-50 J. ja    ja  zu_100%  ELbh/Bu/Fi       27 4317694 5535376 Rothenbuch          8         3        5       4,4    10-50 J. ja    ja  zu_100%  sNdh/Bu/Bi       20 4317760 5535264 Rothenbuch          8         3        5       1,7    10-50 J. ja    ja  zum_Teil sNdh/Bu/Bi       20 4317868 5534950 Rothenbuch          8         4        1      26,8    10-50 J. ja    ja  zu_100%  Bu             183  4317754 5536104 Rothenbuch          8         7        0      10,6      <10 J. nein nein zu_100%  Bu             199  4316008 5535458 Rothenbuch          8         8        0       6,2      <10 J. nein nein zu_100%  Bu/Elä/Fi      188  4316317 5534844 Rothenbuch          8         8        0      14,9      <10 J. nein nein zum_Teil Bu/Elä/Fi      188  4315662 5534735 Rothenbuch          8         9        0       8,9      <10 J. nein nein zu_100%  Bu             180  4315977 5534987 Rothenbuch          8        11        0       4,7      <10 J. nein nein zu_100%  Bu             212  4315983 5536266 Rothenbuch          8        12        0       0,6      <10 J. nein nein zu_100%  Bu             213  4316620 5535798 Rothenbuch          8        12        0       1,9      <10 J. nein nein zum_Teil Bu             213  4316696 5536073 Rothenbuch          8        12        0       0,7      <10 J. nein nein zu_100%  Bu             213  4316662 5535789 19 von 29
21

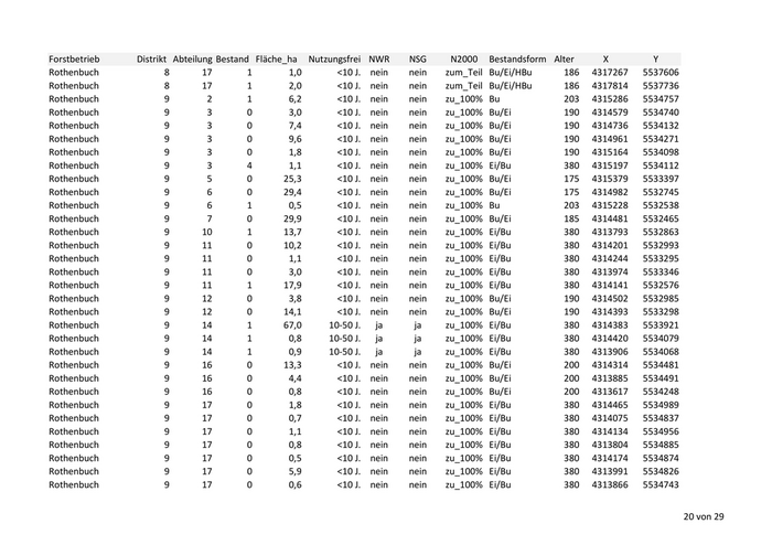
Forstbetrieb Distrikt Abteilung Bestand Fläche_ha Nutzungsfrei NWR  NSG   N2000   Bestandsform Alter   X       Y Rothenbuch          8        17        1       1,0      <10 J. nein nein zum_Teil Bu/Ei/HBu      186 4317267 5537606 Rothenbuch          8        17        1       2,0      <10 J. nein nein zum_Teil Bu/Ei/HBu      186 4317814 5537736 Rothenbuch          9         2        1       6,2      <10 J. nein nein zu_100%  Bu             203 4315286 5534757 Rothenbuch          9         3        0       3,0      <10 J. nein nein zu_100%  Bu/Ei          190 4314579 5534740 Rothenbuch          9         3        0       7,4      <10 J. nein nein zu_100%  Bu/Ei          190 4314736 5534132 Rothenbuch          9         3        0       9,6      <10 J. nein nein zu_100%  Bu/Ei          190 4314961 5534271 Rothenbuch          9         3        0       1,8      <10 J. nein nein zu_100%  Bu/Ei          190 4315164 5534098 Rothenbuch          9         3        4       1,1      <10 J. nein nein zu_100%  Ei/Bu          380 4315197 5534112 Rothenbuch          9         5        0      25,3      <10 J. nein nein zu_100%  Bu/Ei          175 4315379 5533397 Rothenbuch          9         6        0      29,4      <10 J. nein nein zu_100%  Bu/Ei          175 4314982 5532745 Rothenbuch          9         6        1       0,5      <10 J. nein nein zu_100%  Bu             203 4315228 5532538 Rothenbuch          9         7        0      29,9      <10 J. nein nein zu_100%  Bu/Ei          185 4314481 5532465 Rothenbuch          9        10        1      13,7      <10 J. nein nein zu_100%  Ei/Bu          380 4313793 5532863 Rothenbuch          9        11        0      10,2      <10 J. nein nein zu_100%  Ei/Bu          380 4314201 5532993 Rothenbuch          9        11        0       1,1      <10 J. nein nein zu_100%  Ei/Bu          380 4314244 5533295 Rothenbuch          9        11        0       3,0      <10 J. nein nein zu_100%  Ei/Bu          380 4313974 5533346 Rothenbuch          9        11        1      17,9      <10 J. nein nein zu_100%  Ei/Bu          380 4314141 5532576 Rothenbuch          9        12        0       3,8      <10 J. nein nein zu_100%  Bu/Ei          190 4314502 5532985 Rothenbuch          9        12        0      14,1      <10 J. nein nein zu_100%  Bu/Ei          190 4314393 5533298 Rothenbuch          9        14        1      67,0    10-50 J. ja    ja  zu_100%  Ei/Bu          380 4314383 5533921 Rothenbuch          9        14        1       0,8    10-50 J. ja    ja  zu_100%  Ei/Bu          380 4314420 5534079 Rothenbuch          9        14        1       0,9    10-50 J. ja    ja  zu_100%  Ei/Bu          380 4313906 5534068 Rothenbuch          9        16        0      13,3      <10 J. nein nein zu_100%  Bu/Ei          200 4314314 5534481 Rothenbuch          9        16        0       4,4      <10 J. nein nein zu_100%  Bu/Ei          200 4313885 5534491 Rothenbuch          9        16        0       0,8      <10 J. nein nein zu_100%  Bu/Ei          200 4313617 5534248 Rothenbuch          9        17        0       1,8      <10 J. nein nein zu_100%  Ei/Bu          380 4314465 5534989 Rothenbuch          9        17        0       0,7      <10 J. nein nein zu_100%  Ei/Bu          380 4314075 5534837 Rothenbuch          9        17        0       1,1      <10 J. nein nein zu_100%  Ei/Bu          380 4314134 5534956 Rothenbuch          9        17        0       0,8      <10 J. nein nein zu_100%  Ei/Bu          380 4313804 5534885 Rothenbuch          9        17        0       0,5      <10 J. nein nein zu_100%  Ei/Bu          380 4314174 5534874 Rothenbuch          9        17        0       5,9      <10 J. nein nein zu_100%  Ei/Bu          380 4313991 5534826 Rothenbuch          9        17        0       0,6      <10 J. nein nein zu_100%  Ei/Bu          380 4313866 5534743 20 von 29
22

Forstbetrieb Distrikt Abteilung Bestand Fläche_ha Nutzungsfrei NWR  NSG   N2000   Bestandsform Alter   X       Y Rothenbuch          9        17        0       0,9      <10 J. nein nein zu_100%  Ei/Bu          380 4313933 5534835 Rothenbuch          9        18        0      21,1      <10 J. nein nein zu_100%  Bu             197 4313821 5535144 Rothenbuch          9        22        0       3,7      <10 J. nein nein zu_100%  Bu             197 4313997 5535815 Rothenbuch          9        22        0       0,9      <10 J. nein nein zu_100%  Bu             197 4313728 5535894 Rothenbuch          9        22        0       8,2      <10 J. nein nein zum_Teil Bu             197 4314294 5535347 Rothenbuch          9        24        0       7,0      <10 J. nein nein zu_100%  Bu/Ei          200 4314919 5534706 Rothenbuch          9        24        1       3,6      <10 J. nein nein zum_Teil Bu             202 4314687 5535271 Rothenbuch          9        24        2       6,0      <10 J. nein nein zu_100%  Bu/Ei          120 4314680 5534867 Rothenbuch         10        16        1       0,7      <10 J. nein nein zu_100%  Bu             205 4317533 5531923 Rothenbuch         10        18        0       3,1      <10 J. nein nein zu_100%  Bu             197 4316839 5532178 Rothenbuch         10        18        1       3,4      <10 J. nein nein zu_100%  Bu             197 4316590 5532193 Rothenbuch         10        21        0       4,1      <10 J. nein nein zum_Teil Bu/Ei          195 4315778 5532930 Rothenbuch         10        21        1       0,5      <10 J. nein nein zu_100%  Bu/Ei          204 4315708 5533032 Rothenbuch         10        25        0      24,7      <10 J. nein nein zu_100%  Bu             188 4316131 5534023 Rothenbuch         11        12        0       5,4      <10 J. nein nein zu_100%  Bu             218 4316107 5530824 Rothenbuch         11        12        0       2,9      <10 J. nein nein zu_100%  Bu             218 4316540 5530878 Rothenbuch         11        12        1       3,1      <10 J. nein nein zu_100%  Bu/Ei          314 4316243 5531156 Rothenbuch         11        12        1       3,1      <10 J. nein nein zu_100%  Bu/Ei          314 4316157 5530940 Rothenbuch         11        13        0       4,5      <10 J. nein nein zu_100%  Bu/Ei          309 4316040 5531315 Rothenbuch         11        13        1       2,3      <10 J. nein nein zu_100%  Bu             184 4316394 5531402 Rothenbuch         11        13        2       5,5      <10 J. nein nein zu_100%  Ei/Bu          309 4316195 5531308 Rothenbuch         11        14        1       3,2      <10 J. nein nein zu_100%  Ei/Bu          347 4315435 5532207 Rothenbuch         11        14        1      12,0      <10 J. nein nein zu_100%  Ei/Bu          347 4315724 5531842 Rothenbuch         12         1        1       1,1      <10 J. nein nein zu_100%  Bu/HBu/Li      168 4315694 5530736 Rothenbuch         12         2        0       2,3      <10 J. nein nein zu_100%  Bu/Ei          320 4314840 5531513 Rothenbuch         12         2        1       0,8      <10 J. nein nein zu_100%  Ei/Bu          483 4315064 5531457 Rothenbuch         12         2        2       1,4      <10 J. nein nein zu_100%  Bu/HBu/Ei      402 4315625 5530739 Rothenbuch         12         5        0       4,4      <10 J. nein nein zu_100%  Bu             217 4315297 5530037 Rothenbuch         12         9        0       4,9      <10 J. nein nein zu_100%  Bu             207 4312931 5530194 Rothenbuch         12        11        0       5,7      <10 J. nein nein zu_100%  Bu             208 4311955 5531191 Rothenbuch         12        12        0       4,7      <10 J. nein nein zu_100%  Bu/Ei          258 4313084 5530811 Rothenbuch         12        13        0       1,6      <10 J. nein nein zu_100%  Bu             205 4311865 5531421 21 von 29
23

Forstbetrieb Distrikt Abteilung Bestand Fläche_ha Nutzungsfrei NWR  NSG   N2000   Bestandsform Alter   X       Y Rothenbuch         12        17        0       9,5      <10 J. nein nein zu_100%  Bu             208 4314621 5531271 Rothenbuch         12        18        4      10,8      >50 J. nein  ja  zu_100%  Ei/Bu          548 4315127 5531627 Rothenbuch         13         7        0       9,8      <10 J. nein nein zu_100%  Bu             202 4319369 5526710 Rothenbuch         13         8        1       3,6      <10 J. nein nein zu_100%  Bu/Ei          243 4319146 5526218 Rothenbuch         13        15        1       1,7      <10 J. nein nein zu_100%  Bu             228 4316826 5527933 Rothenbuch         13        18        0       1,1      <10 J. nein nein zu_100%  Bu             200 4316483 5529399 Rothenbuch         13        19        0       1,2      <10 J. nein nein zum_Teil Bu             191 4316190 5529427 Rothenbuch         13        22        1       5,5      <10 J. nein nein zu_100%  Bu             203 4317760 5527696 Rothenbuch         13        22        1       0,9      <10 J. nein nein zu_100%  Bu             203 4317824 5527490 Rothenbuch         14         5        1       1,2      <10 J. nein nein zu_100%  Ei/Bu          307 4314743 5528858 Rothenbuch         14         6        1       2,5      <10 J. nein nein zu_100%  Ei/Bu          307 4314698 5528820 Rothenbuch         16         4        0       6,3      <10 J. nein nein zu_100%  Bu             189 4314561 5526895 Rothenbuch         16         4        0       8,4      <10 J. nein nein zu_100%  Bu             189 4314390 5527492 Rothenbuch         16         8        0      10,6      <10 J. nein nein   nein   Bu             212 4315210 5525447 Rothenbuch         16         8        1       0,9      <10 J. nein nein   nein   Bu             207 4314896 5525091 Rothenbuch         16         9        0      11,2      <10 J. nein nein   nein   Bu             212 4315564 5525101 Rothenbuch         16         9        0       2,9      <10 J. nein nein   nein   Bu             212 4315943 5524957 Rothenbuch         16        10        0       2,6      <10 J. nein nein   nein   Bu             208 4315228 5524808 Rothenbuch         16        10        0       3,7      <10 J. nein nein   nein   Bu             208 4315457 5524687 Rothenbuch         17         3        0       2,1      <10 J. nein nein zu_100%  Bu/Ei          191 4312617 5527745 Rothenbuch         17         3        0       3,9      <10 J. nein nein zu_100%  Bu/Ei          191 4312752 5527544 Rothenbuch         17         3        2       4,1      <10 J. nein nein zu_100%  Ei/Bu          336 4312661 5527403 Rothenbuch         17         3        2       6,2      <10 J. nein nein zu_100%  Ei/Bu          336 4312537 5527596 Rothenbuch         17         4        0       2,2      <10 J. nein nein zu_100%  Bu/Ei          206 4313376 5527415 Rothenbuch         17         4        2       3,9      <10 J. nein nein zu_100%  Ei/Bu/Fi       276 4313127 5527543 Rothenbuch         17         5        0       4,2      <10 J. nein nein zu_100%  Bu             211 4313266 5527178 Rothenbuch         17         5        1       4,4      <10 J. nein nein zu_100%  Bu             210 4312970 5526887 Rothenbuch         17         8        0      32,5      <10 J. nein nein zum_Teil Bu/Ei          212 4313848 5526021 Rothenbuch         17         9        1       1,5      <10 J. nein nein   nein   Bu/Kie/Fi      166 4314364 5525411 Rothenbuch         17        10        0       6,6      <10 J. nein nein   nein   Bu/Ei          191 4314661 5524547 Rothenbuch         17        10        0       0,8      <10 J. nein nein   nein   Bu/Ei          191 4315107 5524267 Rothenbuch         17        10        0       3,8      <10 J. nein nein   nein   Bu/Ei          191 4315194 5524065 22 von 29
24

Forstbetrieb Distrikt Abteilung Bestand Fläche_ha Nutzungsfrei NWR  NSG   N2000   Bestandsform Alter   X       Y Rothenbuch         17        12        0       7,5      <10 J. nein nein   nein   Bu/Ei          178 4315819 5523625 Rothenbuch         17        12        0       0,5      <10 J. nein nein   nein   Bu/Ei          178 4315942 5523297 Rothenbuch         18         3        0       2,7      <10 J. nein nein   nein   Bu/Fi/Elä      176 4314991 5521859 Rothenbuch         21         8        0       2,0      <10 J. nein nein   nein   Kie/Bu         179 4296880 5524198 Rothenbuch         23         1        0       3,7      <10 J. nein nein zu_100%  Bu/Ei          209 4311976 5527821 Rothenbuch         23         1        1       2,9      <10 J. nein nein zu_100%  Bu/Ei          209 4312129 5527803 Rothenbuch         23         2        0      21,3      <10 J. nein nein zu_100%  Bu/Ei          209 4311978 5527551 Rothenbuch         23         2        1       1,8      <10 J. nein nein zu_100%  Bu/Ei          320 4312074 5527549 Rothenbuch         23         2        1       2,9      <10 J. nein nein zu_100%  Bu/Ei          320 4311993 5527292 Rothenbuch         23         3        0       9,4      <10 J. nein nein zu_100%  Bu/Ei          218 4312510 5526649 Rothenbuch         23         3        1       3,1      <10 J. nein nein zu_100%  Ei/Bu          301 4312185 5526990 Rothenbuch         23         4        0       1,8      <10 J. nein nein zu_100%  Bu             253 4312347 5526601 Rothenbuch         23         6        0      12,2      <10 J. nein nein zum_Teil Bu             248 4311909 5526464 Rothenbuch         23         6        2       6,6      <10 J. nein nein zum_Teil Ei/Bu          229 4312036 5526874 Rothenbuch         23         7        1       4,0      <10 J. nein nein zum_Teil Bu/Ei          213 4311487 5526872 Rothenbuch         23         7        1       6,1      <10 J. nein nein zum_Teil Bu/Ei          213 4311968 5527092 Rothenbuch         25         1        0       1,3      <10 J. nein nein zu_100%  Bu             198 4312129 5530690 Rothenbuch         25         2        0       4,7      <10 J. nein nein zu_100%  Bu             198 4312327 5530122 Rothenbuch         25         2        0       0,8      <10 J. nein nein zu_100%  Bu             198 4312187 5530516 Rothenbuch         25         3        0       1,1      <10 J. nein nein zu_100%  Bu/Kie         199 4312344 5529789 Rothenbuch         25         3        0       1,1      <10 J. nein nein zu_100%  Bu/Kie         199 4312469 5529765 Rothenbuch         25         3        1       1,6      <10 J. nein nein zu_100%  Bu/Elä/Kie     199 4312331 5529718 Rothenbuch         25         3        1       0,5      <10 J. nein nein zu_100%  Bu/Elä/Kie     199 4312364 5529497 Rothenbuch         25         3        1       2,2      <10 J. nein nein zu_100%  Bu/Elä/Kie     199 4312576 5530028 Rothenbuch         25         9        0       1,8      <10 J. nein nein zu_100%  Bu             197 4311552 5530221 Rothenbuch         25        10        0       2,6      <10 J. nein nein zu_100%  Bu             195 4311505 5530302 Rothenbuch         25        10        0      10,6      <10 J. nein nein zu_100%  Bu             195 4310738 5530204 Rothenbuch         25        11        0       3,2      <10 J. nein nein zum_Teil Bu             211 4310131 5530503 Rothenbuch         25        11        0       9,3      <10 J. nein nein zu_100%  Bu             211 4310447 5530712 Rothenbuch         25        12        0       5,6      <10 J. nein nein zu_100%  Bu/Ei/Kie      214 4310240 5531024 Rothenbuch         25        12        0       4,9      <10 J. nein nein zu_100%  Bu/Ei/Kie      214 4311097 5530885 Rothenbuch         26         1        0       8,2      <10 J. nein nein zum_Teil Bu             208 4309733 5532658 23 von 29
25

Forstbetrieb Distrikt Abteilung Bestand Fläche_ha Nutzungsfrei NWR  NSG   N2000   Bestandsform Alter   X       Y Rothenbuch         26         4        0      12,5      <10 J. nein nein zu_100%  Bu             208 4309948 5531261 Rothenbuch         26         5        0       0,8      <10 J. nein nein zu_100%  Bu             213 4309743 5531211 Rothenbuch         26         6        0       2,0      <10 J. nein nein zum_Teil Bu/Fi          184 4309623 5530001 Rothenbuch         26         6        1       8,4      <10 J. nein nein zum_Teil Bu             184 4309810 5530273 Rothenbuch         26         7        0       2,6      <10 J. nein nein zum_Teil Bu/Ei/Fi       206 4309441 5530014 Rothenbuch         26         9        1       1,7      <10 J. nein nein   nein   Bu             228 4309031 5529208 Rothenbuch         27         1        0       6,1      <10 J. nein nein zu_100%  Bu             218 4311502 5531401 Rothenbuch         27         2        0       5,5      <10 J. nein nein zu_100%  Bu             213 4311124 5531295 Rothenbuch         27         2        0       7,9      <10 J. nein nein zum_Teil Bu             213 4310486 5531457 Rothenbuch         27         3        0       5,0      <10 J. nein nein zu_100%  Bu             213 4310450 5531887 Rothenbuch         27         3        1       2,0      <10 J. nein nein zu_100%  Bu             213 4310410 5531584 Rothenbuch         27         4        0      10,8      <10 J. nein nein zu_100%  Bu             205 4310774 5532528 Rothenbuch         27         5        0       9,8      <10 J. nein nein zu_100%  Bu             213 4310692 5531942 Rothenbuch         27         7        0       8,0      <10 J. nein nein zu_100%  Bu             194 4311031 5532635 Rothenbuch         27         9        0       3,8      <10 J. nein nein zu_100%  Bu             212 4310728 5533273 Rothenbuch         28         6        0       1,3      <10 J. nein nein zu_100%  Bu             210 4312921 5533796 Rothenbuch         28         6        0       6,8      <10 J. nein nein zu_100%  Bu             210 4312517 5533645 Rothenbuch         28         6        1       2,3      <10 J. nein nein zu_100%  Bu             208 4312844 5533475 Rothenbuch         28         6        2       0,8      <10 J. nein nein zu_100%  Bu             208 4312686 5534159 Rothenbuch         28         8        0       0,5      <10 J. nein nein zu_100%  Bu             198 4312505 5533249 Rothenbuch         28         8        0       0,7      <10 J. nein nein zu_100%  Bu             198 4312803 5533313 Rothenbuch         28         8        0       2,0      <10 J. nein nein zum_Teil Bu             198 4312443 5532764 Rothenbuch         28         8        0       1,7      <10 J. nein nein zu_100%  Bu             198 4312773 5533026 Rothenbuch         28         8        0       1,1      <10 J. nein nein zu_100%  Bu             198 4312638 5532729 Rothenbuch         28         8        0       0,8      <10 J. nein nein zu_100%  Bu             198 4312591 5532951 Rothenbuch         28         8        0       3,4      <10 J. nein nein zu_100%  Bu             198 4312357 5533005 Rothenbuch         28         9        0       8,1      <10 J. nein nein zu_100%  Bu             185 4312042 5533557 Rothenbuch         29         3        0       3,0      <10 J. nein nein zu_100%  Bu             201 4309525 5533325 Rothenbuch         29         3        0       0,6      <10 J. nein nein zu_100%  Bu             201 4309609 5533207 Rothenbuch         29         3        0       2,6      <10 J. nein nein zu_100%  Bu             201 4309719 5533188 Rothenbuch         29         3        0       3,4      <10 J. nein nein zum_Teil Bu             201 4309603 5532936 Rothenbuch         29         3        0       1,9      <10 J. nein nein zu_100%  Bu             201 4309849 5532888 24 von 29
26

Forstbetrieb  Distrikt Abteilung Bestand Fläche_ha Nutzungsfrei NWR    NSG     N2000 Bestandsform Alter    X       Y Rothenbuch          31         1        1       0,6      <10 J. nein   nein     nein   Bu           233  4309524 5536829 Rothenbuch          31         2        0       5,2      <10 J. nein   nein     nein   Bu           191  4308446 5535946 Rothenbuch          31         2        1       9,3      <10 J. nein   nein     nein   Bu/Ei        194  4308134 5536050 Rothenbuch          31         2        1       5,4      <10 J. nein   nein     nein   Bu/Ei        194  4308924 5536161 Rothenbuch          31         3        1       1,3      <10 J. nein   nein     nein   Bu/Ei        209  4308570 5536888 Rothenbuch          31         4        0       3,8      <10 J. nein   nein     nein   Bu/Ei        211  4307876 5536093 Rothenbuch          34         5        0       6,3      <10 J. nein   nein   zu_100% Bu            207  4311729 5537602 Rothenbuch          34         5        0       2,7      <10 J. nein   nein   zu_100% Bu            207  4312069 5537493 Rothenbuch          34         9        1       1,0      <10 J. nein   nein   zu_100% Bu/Fi         205  4312830 5537146 Rothenbuch          34        13        3       2,4      >50 J. nein    ja    zu_100% Bu/Ei         244  4313074 5535942 Rothenbuch          34        14        1       7,1      >50 J. nein   nein   zum_Teil Bu           240  4313253 5536191 Rothenbuch          34        14        3       5,3      >50 J. nein    ja    zum_Teil Bu/Ei        258  4313221 5535881 Rothenbuch          34        19        0       6,7      <10 J. nein   nein   zum_Teil Bu/Ei        185  4312038 5535915 Rothenbuch          34        20        0       7,0      <10 J. nein   nein   zu_100% Bu            185  4311544 5536797 Rothenbuch          35         4        1       0,7      <10 J. nein   nein   zu_100% Bu            221  4312251 5541377 Rothenbuch          35         5        0       6,2      <10 J. nein   nein   zu_100% Bu/Elä/Fi     186  4311518 5540615 Rothenbuch          35         5        0      10,2      <10 J. nein   nein   zu_100% Bu/Elä/Fi     186  4311097 5540936 Rothenbuch          35         6        1       1,0      <10 J. nein   nein   zu_100% Bu/Elä/Ei     202  4312096 5540839 Rothenbuch          35         8        0       1,1      <10 J. nein   nein   zu_100% Bu/Ei         154  4310953 5539935 Rothenbuch          35         8        2       2,0      <10 J. nein   nein   zu_100% Bu/Fi/Elä       46 4311639 5540101 Rothenbuch          35        11        0       3,7      <10 J. nein   nein   zum_Teil Bu           187  4312119 5539379 Rothenbuch          35        12        0      19,3      <10 J. nein   nein   zum_Teil Bu           188  4312546 5538974 Rothenbuch          35        15        0      11,4      <10 J. nein   nein   zu_100% Bu            187  4311906 5538645 Rothenbuch          35        17        0       1,2      <10 J. nein   nein   zu_100% Bu/Ei/Fi      152  4310853 5539037 Rothenbuch          36         8        0       5,6      <10 J. nein   nein   zum_Teil Bu/Elä       203  4313673 5541318 Rothenbuch          36        15        3       0,5      <10 J. nein   nein   zu_100% Ta/Ei         184  4314262 5542239 Rothenkirchen        3         3        1       3,2      <10 J. nein zum_Teil   nein   Fi/Bu/Kie    124  4455635 5597866 Rothenkirchen        5         7        2       0,7      <10 J. nein   nein     nein   Bu           239  4452525 5596479 Rothenkirchen       13         6        1       1,1      <10 J. nein   nein     nein   Bu/Fi        129  4450713 5594670 Rothenkirchen       15         2        0       2,1      <10 J. nein   nein     nein   Fi/Bu        140  4453681 5591664 Rothenkirchen       32         5        1       8,3      <10 J. nein   nein   zum_Teil Bu/Fi/Ta     116  4448313 5585941 Rothenkirchen       32         5        1       6,2      <10 J. nein   nein     nein   Bu/Fi/Ta     116  4448102 5585702 25 von 29
27

Forstbetrieb  Distrikt Abteilung Bestand Fläche_ha Nutzungsfrei NWR    NSG     N2000 Bestandsform Alter    X       Y Rothenkirchen       32         6        1       1,0      <10 J. nein   nein     nein   Bu/Fi        132  4448166 5585337 Rothenkirchen       32         7        2       1,5      <10 J. nein   nein     nein   Bu/Fi/Ta     135  4447993 5584964 Rothenkirchen       34         6        3      23,9    10-50 J. ja      ja    zum_Teil Bu/Fi/BAh    139  4449717 5584228 Rothenkirchen       34         7        1      14,6      <10 J. nein zum_Teil zum_Teil Fi/Bu/Ta     119  4449875 5583422 Rothenkirchen       36         5        2       0,9      <10 J. nein   nein     nein   Bu/Fi/Ta     144  4451745 5584068 Rothenkirchen       37         5        1       2,1      <10 J. nein   nein     nein   Ta/Fi/Bu     116  4451591 5582886 Rothenkirchen       50         0        6       1,0      <10 J. nein   nein     nein   Ei/Bi        184  4451343 5560030 Rothenkirchen       54         2        2       5,2      <10 J. nein   nein     nein   Ei/Fi/Bu     124  4450010 5548648 Rothenkirchen       54         4        1       9,2      <10 J. nein   nein   zum_Teil Bu/Fi        128  4447718 5548851 Rothenkirchen       57         2        1       0,5      <10 J. nein   nein   zu_100% Es/Ei/Li        98 4436371 5552123 Rothenkirchen       57         2        1       0,6      <10 J. nein   nein   zu_100% Es/Ei/Li        98 4436398 5552102 Rothenkirchen       57         2        1       0,5      <10 J. nein   nein   zu_100% Es/Ei/Li        98 4436427 5552072 Rothenkirchen       57         3        1       3,4      <10 J. nein zum_Teil zu_100% Ei/Bu/Es      161  4437320 5551230 Rothenkirchen       57         3        1       1,1      <10 J. nein   nein   zu_100% Ei/Bu/Es      161  4437687 5551449 Rothenkirchen       57         7        1       3,2    10-50 J. ja      ja    zum_Teil Bu/ELbh      141  4437036 5550695 Rothenkirchen       57         7        1       0,6    10-50 J. ja      ja    zu_100% Bu/ELbh       141  4436907 5550913 Rothenkirchen       57         7        1      17,3    10-50 J. ja      ja    zu_100% Bu/ELbh       141  4437172 5550973 Rothenkirchen       57         7        1      13,3    10-50 J. ja      ja    zum_Teil Bu/ELbh      141  4437548 5550723 Rothenkirchen       57         7        1       7,6    10-50 J. ja      ja    zu_100% Bu/ELbh       141  4437740 5550808 Rothenkirchen       57         8        3       0,6      <10 J. nein zum_Teil zum_Teil Bu           125  4436765 5550895 Rothenkirchen       57         9        3       0,8      <10 J. nein   nein   zu_100% Bu            104  4436005 5551204 Rothenkirchen       57        10        3       1,1      <10 J. nein   nein   zum_Teil Bu/ELbh      154  4435642 5551227 Rothenkirchen       57        10        3       1,7      <10 J. nein   nein   zum_Teil Bu/ELbh      154  4435740 5551259 Rothenkirchen       58         1        2       0,6      <10 J. nein   nein   zum_Teil Ei/Bu        134  4434113 5554544 Rothenkirchen       58         1        3       0,6      <10 J. nein   nein   zu_100% Bu            170  4433871 5554260 Rothenkirchen       58         1        3       1,3      <10 J. nein   nein   zu_100% Bu            170  4434042 5554234 Rothenkirchen       58         5        1       0,7      <10 J. nein   nein   zu_100% Bu/Li         194  4435004 5552990 Rothenkirchen       58         5        1       0,5      <10 J. nein   nein   zu_100% Bu/Li         194  4435159 5552835 Rothenkirchen       58         7        2       2,5      <10 J. nein   nein   zu_100% Bu            155  4434949 5552295 Rothenkirchen       58         7        2       0,7      <10 J. nein   nein   zum_Teil Bu           155  4434950 5552029 Rothenkirchen       58         8        2       1,5      <10 J. nein   nein   zum_Teil Bu/ELbh/Ei   149  4434459 5552428 Rothenkirchen       58         8        2       4,1      <10 J. nein   nein   zu_100% Bu/ELbh/Ei    149  4434423 5552816 26 von 29
28

Forstbetrieb   Distrikt Abteilung Bestand Fläche_ha Nutzungsfrei NWR  NSG   N2000   Bestandsform Alter    X       Y Rothenkirchen        58         9        1       3,6      <10 J. nein nein zum_Teil Bu/HBu/Ei      146  4433951 5553150 Rothenkirchen        58        10        1       4,7      <10 J. nein nein zum_Teil Bu/Ei/HBu      132  4433802 5553595 Rothenkirchen        58        11        2      15,3      <10 J. nein nein zum_Teil Bu/ELbh/Ei     132  4433565 5553996 Rothenkirchen        58        12        1       1,1      <10 J. nein nein zum_Teil Bu/ELbh        162  4433032 5554103 Rothenkirchen        58        12        1       2,9      <10 J. nein nein zum_Teil Bu/ELbh        162  4433133 5554023 Rothenkirchen        58        12        1       0,6      <10 J. nein nein zu_100%  Bu/ELbh        162  4433306 5553885 Rothenkirchen        58        12        1       2,1      <10 J. nein nein zu_100%  Bu/ELbh        162  4433335 5553716 Rothenkirchen        58        12        2       2,2      <10 J. nein nein zum_Teil Ei/Bu/ELbh     125  4432861 5553281 Rothenkirchen        58        12        2       0,9      <10 J. nein nein zum_Teil Ei/Bu/ELbh     125  4432807 5553238 Rothenkirchen        58        12        2       1,9      <10 J. nein nein zum_Teil Ei/Bu/ELbh     125  4432980 5553415 Rothenkirchen        58        12        2       3,6      <10 J. nein nein zum_Teil Ei/Bu/ELbh     125  4433368 5553614 Rothenkirchen        60        14        2       1,6      <10 J. nein nein   nein   Kie/Ta/Fi      210  4437696 5553903 Rothenkirchen        60        14        3       0,7      <10 J. nein nein zum_Teil Ei/Bu          146  4437236 5553804 Rothenkirchen        60        15        1       3,3      <10 J. nein nein zu_100%  Ei/Bu          179  4437702 5553025 Rothenkirchen        60        15        1       7,9      <10 J. nein nein zum_Teil Ei/Bu          179  4438056 5553356 Rothenkirchen        60        17        1       1,3      <10 J. nein nein zu_100%  Ei/Bu          144  4436796 5553288 Rothenkirchen        60        17        1       0,6      <10 J. nein nein zu_100%  Ei/Bu          144  4437344 5553508 Rothenkirchen        60        18        2       0,8      <10 J. nein nein zum_Teil Bu/Ei          184  4436267 5554058 Rothenkirchen        60        18        2       4,3      <10 J. nein nein zu_100%  Bu/Ei          184  4437007 5553988 Rothenkirchen        60        18        2       1,7      <10 J. nein nein zu_100%  Bu/Ei          184  4436836 5553660 Rothenkirchen        60        20        1       0,9      <10 J. nein nein zum_Teil Ei/Bu          183  4436685 5554363 Rothenkirchen        62         3        2       0,5      <10 J. nein nein   nein   Ei/HBu         204  4429768 5559556 Rothenkirchen        64        18        1       1,2      <10 J. nein nein   nein   Bu             154  4431968 5562104 Rothenkirchen        64        19        1       1,1      <10 J. nein nein   nein   Bu/Fi          118  4431339 5562334 Rothenkirchen        64        19        1       2,3      <10 J. nein nein   nein   Bu/Fi          118  4431670 5562003 Schnaittenbach        1         5        2       1,2      <10 J. nein nein   nein   Fi/Elä/Kie       66 4497704 5521346 Schnaittenbach        1        14        1       2,8      <10 J. nein nein   nein   Kie/Fi/Ei        98 4494723 5517778 Schnaittenbach        5         4        0       1,3      <10 J. nein nein   nein   Kie            174  4498022 5507923 Schnaittenbach        5         4        1       1,8      <10 J. nein nein zum_Teil Kie/Fi/SErl    114  4498596 5509121 Schnaittenbach        6        15        2       4,0      <10 J. nein nein   nein   Kie            159  4509326 5508277 Schnaittenbach        6        20        1      56,8    10-50 J. ja   nein zu_100%  Kie            109  4503979 5506243 Schnaittenbach        7        16        4      48,2    10-50 J. ja    ja  zu_100%  Spir/Kie/sLbh  159  4500074 5505637 27 von 29
29

Forstbetrieb   Distrikt Abteilung Bestand Fläche_ha Nutzungsfrei NWR  NSG   N2000   Bestandsform Alter    X       Y Schnaittenbach        7        16        5       1,9    10-50 J. ja    ja  zu_100%  Moorauge          0 4499986 5505677 Schnaittenbach        9         7        0       4,0      <10 J. nein nein   nein   Kie/Fi         126  4501437 5499626 Schnaittenbach       11         3        5       0,7      <10 J. nein nein   nein   SErl/Ei/REi      59 4507503 5490697 Schnaittenbach       12         5        1       0,6      <10 J. nein nein   nein   Kie/Ei         203  4512611 5486235 Schnaittenbach       13         3        1       6,9    10-50 J. ja   nein   nein   Ei/Li/Elä      170  4509331 5486254 Schnaittenbach       13         3        2       2,9    10-50 J. ja   nein   nein   Li/Ei/Elä      161  4509173 5486306 Schnaittenbach       13         3        3       2,4    10-50 J. ja   nein   nein   ELbh/Bu          57 4508931 5486293 Schnaittenbach       13         3        3       0,8    10-50 J. ja   nein   nein   ELbh/Bu          57 4509309 5486486 Schnaittenbach       13         3        5       1,6    10-50 J. ja   nein   nein   ELbh/Ei/Fi       39 4509400 5486423 Schnaittenbach       13         5        2       1,0      <10 J. nein nein   nein   Kie/Ei         160  4511259 5483393 Schnaittenbach       26        10        1      24,0    10-50 J. ja   nein zum_Teil Bu/ELbh/Fi       96 4472922 5499300 Schnaittenbach       26        10        1      12,4    10-50 J. ja   nein zum_Teil Bu/ELbh/Fi       96 4472784 5499383 Schnaittenbach       26        11        1       5,9      <10 J. nein nein   nein   Kie/Bu/Fi      158  4472868 5498196 Schnaittenbach       26        11        1       2,0      <10 J. nein nein zum_Teil Kie/Bu/Fi      158  4472910 5498719 Schnaittenbach       26        15        2       2,0      <10 J. nein nein   nein   Kie/Bu         164  4470364 5499612 Schnaittenbach       26        15        2       3,8      <10 J. nein nein   nein   Kie/Bu         164  4470328 5498756 Schnaittenbach       26        15        2       2,6      <10 J. nein nein zum_Teil Kie/Bu         164  4470644 5498832 Schnaittenbach       26        15        2       1,0      <10 J. nein nein zum_Teil Kie/Bu         164  4470519 5499424 Waldsassen            2         8        1       0,7      <10 J. nein nein   nein   SErl/Fi/Kie      98 4517571 5544161 Waldsassen            6         5        1       2,8      <10 J. nein nein   nein   Kie            189  4524242 5538532 Waldsassen            6         5        1       5,7      <10 J. nein nein   nein   Kie            189  4524364 5538512 Waldsassen            6         7        3       4,7    10-50 J. ja   nein   nein   Kie            122  4523948 5539154 Waldsassen            6         7        3      39,6    10-50 J. ja   nein   nein   Kie            122  4524218 5539408 Waldsassen            6         7        3       0,7    10-50 J. ja   nein   nein   Kie            122  4524029 5539547 Waldsassen            6         7        3       0,7    10-50 J. ja   nein   nein   Kie            122  4524173 5539146 Waldsassen            7         9        1       4,7      <10 J. nein nein   nein   Kie            175  4525891 5540281 Waldsassen            7         9        1       2,5      <10 J. nein nein   nein   Kie            175  4526362 5541156 Waldsassen           10         2        2       5,1      <10 J. nein nein   nein   Kie            253  4522297 5537858 Waldsassen           12         5        1       3,6      <10 J. nein nein   nein   Kie/Fi         174  4524196 5534264 Waldsassen           12         8        1       0,8      <10 J. nein nein   nein   Kie/Fi         184  4524005 5534773 Waldsassen           12         8        1       1,3      <10 J. nein nein   nein   Kie/Fi         184  4523821 5534837 Waldsassen           12         8        1       2,0      <10 J. nein nein   nein   Kie/Fi         184  4523991 5534870 28 von 29
30

Zur nächsten Seite