Etat der Polizeiinspektionen

/ 13
PDF herunterladen
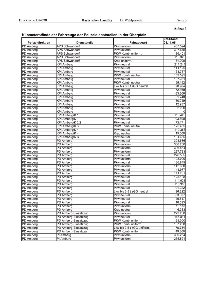
Bayerischer Landtag 15. Wahlperiode                                                                                  Drucksache  15/4578 27.01.2006 Schriftliche Anfrage                                           den Folgejahren ist damit ein äußerst effektiver Haushalts- mitteleinsatz gewährleistet. des Abgeordneten Reinhold Strobl SPD                           Bereits seit Einführung der dezentralen Budgetverantwor- vom 17.11.2005                                                 tung bis auf Ebene der Polizeiinspektionen wird dieses Ins- trument eines „zinslosen“ Kredits genutzt, um kostenintensi- Etat der Polizeiinspektionen                                   ve Beschaffungen zeit- und bedarfsgerecht zu ermöglichen. Ich frage die Staatsregierung:                                 Zu 2.: Insbesondere angesichts der derzeitigen Haushaltslage unter- 1. Trifft es zu, dass die Etats der Polizeiinspektionen in der stützen wir diese verbandsinternen Budgetverschiebungen in Oberpfalz so knapp bemessen sind, dass sich Inspektio-    vollem Umfang. Die Nutzung dieses Instruments ermöglicht nen Geld von anderen Dienststellen ausleihen müssen,      es gerade den kleineren Dienststellen mit geringeren Bud- um in diesem Jahr über die Runden zu kommen?              getvolumen, Investitionsmaßnahmen zeitnah einzuleiten und nicht längerfristig dafür Ansparungen vorzunehmen, die 2. Und wenn ja, wie beurteilt diesen Zustand das Ministeri-    wiederum per Ausgaberest in Folgehaushaltsjahre übertra- um?                                                       gen werden müssten. 3. Trifft es zu, dass sich Polizeiinspektionen sogar aus Au-   Zu 3.: towracks Fahrzeugsitze besorgen müssen, um Polizei-       Es ist zutreffend, dass in einem Einzelfall die Verkehrspoli- fahrzeuge mit Fahrzeugsitzen ausstatten zu können?        zeiinspektion Amberg gut erhaltene Fahrzeugsitze von einer Fahrzeugverwertung zu einem günstigen Preis erworben und 4. Und wenn ja, wie beurteilt dies das Ministerium?            diese in ein älteres, ziviles Fahrzeug, Baujahr 1996, durch die Polizeiwerkstätte hat einbauen lassen. 5. Trifft es zu, dass in der Oberpfalz Polizeifahrzeuge mit    Es ist nicht richtig, dass Polizeifahrzeuge nur noch mit Tei- einem Tachostand von über 300.000 km eingesetzt sind?     len aus Autowracks gewartet werden können. Die Polizei- a) Wie hoch ist der einzelne Kilometerstand der Polizei-  fahrzeuge werden gründlich gewartet, sodass sie sich in ei- fahrzeuge in der Oberpfalz?                            nem verkehrssicheren Zustand befinden. b) Wie hoch ist der Altersdurchschnitt der Polizeibeam- ten in den einzelnen Polizeiinspektionen in der Ober-  Zu 4.: pfalz?                                                 Die Verwendung von geeigneten Gebrauchtteilen bei der Fahrzeugwartung, insbesondere bei älteren, in absehbarer Zeit zur Aussonderung heranstehenden Fahrzeugen, ist nicht zu beanstanden und entspricht einem sparsamen Umgang mit Antwort                                                        den zur Verfügung stehenden Haushaltsmitteln. des Staatsministeriums des Innern                              Zu 5.: vom 09.01.2006                                                 Bei den drei Oberpfälzer Polizeidirektionen Amberg, Re- gensburg und Weiden haben von insgesamt 555 Fahrzeugen Zu 1.:                                                         lediglich 30 eine Laufleistung von mehr als 300.000 Kilo- Die dezentrale Budgetverantwortung dient als wichtiges         meter. Führungsinstrument, da damit die Ausrüstung die polizeili- che Aufgabenerfüllung sichergestellt und gesteuert werden      Zu 5. a): kann. Nur wenn diese Ressourcenverantwortung direkt bei        Der einzelne Kilometerstand aller 555 Polizeifahrzeuge der den Dienststellen vor Ort angesiedelt ist, erfolgt eine sehr   drei Oberpfälzer Polizeidirektionen Amberg, Regensburg eng an den tatsächlichen örtlichen Bedürfnissen ausgerichte-   und Weiden ist in der Anlage 1 aufgeführt. te Ausstattung und damit Bewirtschaftung der Haushaltsmit- tel.                                                           Zu 5. b): Angesichts der unterschiedlichen Dienststellengrößen und       Grundsätzlich ist bei der Altersstruktur der Bayerischen Po- damit der Budgetvolumina besteht insbesondere bei größe-       lizei zu berücksichtigen, dass der rechnerische Altersdurch- ren Beschaffungsmaßnahmen von kleineren Dienststellen          schnitt im Polizeieinzeldienst zwischen 41 und 42 Jahren die Möglichkeit – statt eines mehrjährigen Ansparens – in      liegt. Dies ergibt sich aus dem Umstand, dass Polizeibeamte Absprache mit anderen Dienststellen, gemeinsam Beschaf-        nach Abschluss ihrer Ausbildung in der Regel erst mit 23 fungsmaßnahmen zu initiieren. Durch Verschiebung von           oder 24 Jahren im Einzeldienst tätig werden und mit 60 Jah- Budgetmitteln zwischen den Dienststellen und Ausgleich in      ren in den gesetzlichen Ruhestand eintreten. Ausgehend von
1

Seite 2                           Bayerischer Landtag      · 15. Wahlperiode                            Drucksache 15/4578 diesen Rahmenbedingungen gewinnt insbesondere die häu-          Ursache hierfür liegt primär in der Tatsache begründet, dass fig negativ belegte Aussage von „überalterten“ Dienststellen    bei der Auflösung der Bayer. Grenzpolizei insbesondere eine andere Qualität und führt zu einer objektiveren Bewer-     auch im Bereich des Polizeipräsidiums Niederbayern/Ober- tung der Situation. So ist rund die Hälfte aller Polizeivoll-   pfalz zahlreiche lebensältere Beamte der Bayer. Grenzpoli- zugsbeamten unter 40 Jahre.                                     zei übernommen worden sind und somit der Altersdurch- schnitt dort angestiegen ist. Erschwerend kommt hinzu, dass Zur Analyse der Altersstruktur der Bayer. Polizei wurde der     im Hinblick auf die bekannte Personalfluktuation von den Altersdurchschnitt der Polizeivollzugsbeamten bei den Poli-     Ballungsräumen zu den Flächenpräsidien die Beamten nach zeipräsidien erhoben und auf der Ebene der Polizei- und Ver-    Versetzung zu ihrer Heimat- oder Wunschdienststelle in der kehrspolizeiinspektionen außerdem der Altersdurchschnitt        Regel bis zur Pensionierung hier Dienst leisten wollen. derjenigen Beamten ermittelt, die überwiegend Schicht-          Das Spannungsfeld zwischen Altersstruktur, sozialverträgli- dienst verrichten. Dies sind in der Regel die Beamten, die in   cher Personalpolitik und dienstbetrieblichen Erfordernissen den Dienstgruppen tätig sind.                                   ist nicht aufzulösen, sondern es können immer nur entspre- Der Altersdurchschnitt der überwiegend im Schichtdienst         chende Prioritäten gesetzt werden. Letztendlich besteht zum eingesetzten Beamten in der PD Regensburg liegt bei 42,59,      Ausgleich der Altersstruktur nur die Möglichkeit, bei signi- in der PD Amberg bei 44,62 und in der PD Weiden bei 45,13       fikanten Unterschieden einzelner Dienststellen innerhalb ei- Jahren.                                                         nes Polizeiverbandes verstärkt Versetzungen zu prüfen und bei erheblichen Problemen im Dienstbetrieb – ggf. auch ge- Die Altersstruktur aller Polizeivollzugsbeamten bei den ein-    gen den Willen eines Beamten – vorzunehmen. zelnen Dienststellen dieser Direktionen kann der Anlage 2 entnommen werden.                                               In diesem Zusammenhang darf angemerkt werden, dass der Altersdurchschnitt allein keine geeignete Größe ist, um die Im Vergleich zu den Dienststellen in den Ballungsräumen ist     Einsatzfähigkeit und Arbeitsqualität einer Dienststelle zu be- der Altersdurchschnitt insbesondere bei manchen Dienststel-     werten. len im nord- und ostbayerischen Raum deutlich höher. Die
2

Drucksache 15/4578                     Bayerischer Landtag  ·  15. Wahlperiode                  Seite 3 Anlage 1 Kilometerstände der Fahrzeuge der Polizeidienststellen in der Oberpfalz km-Stand Polizeidirektion             Dienststelle                         Fahrzeugart    01.11.05 PD Amberg            APS Schwandorf                       Pkw uniform.                      457.594 PD Amberg            APS Schwandorf                       Pkw uniform.                      307.675 PD Amberg            APS Schwandorf                       PKW Kombi uniform.                196.401 PD Amberg            APS Schwandorf                       Pkw uniform.                      113.325 PD Amberg            APS Schwandorf                       Krad uniform.                      81.000 PD Amberg            KPI Amberg                           Pkw neutral                       211.244 PD Amberg            KPI Amberg                           Pkw neutral                       141.125 PD Amberg            KPI Amberg                           Pkw neutral                       138.737 PD Amberg            KPI Amberg                           PKW Kombi neutral                 109.595 PD Amberg            KPI Amberg                           Pkw neutral                       107.331 PD Amberg            KPI Amberg                           PKW Kombi neutral                  95.192 PD Amberg            KPI Amberg                           Lkw bis 3,5 t zGG neutral          90.964 PD Amberg            KPI Amberg                           Pkw neutral                        72.169 PD Amberg            KPI Amberg                           Pkw neutral                        63.306 PD Amberg            KPI Amberg                           Pkw neutral                        51.740 PD Amberg            KPI Amberg                           Pkw neutral                        50.249 PD Amberg            KPI Amberg                           Pkw neutral                        12.937 PD Amberg            KPI Amberg                           Pkw neutral                          2.000 PD Amberg            KPI Amberg                           Pkw neutral                               0 PD Amberg            KPI Amberg/K 1                       Pkw neutral                       116.420 PD Amberg            KPI Amberg/K 1                       Pkw neutral                        93.800 PD Amberg            KPI Amberg/K 2/2                     Pkw neutral                        73.171 PD Amberg            KPI Amberg/K 3                       PKW Kombi neutral                 125.455 PD Amberg            KPI Amberg/K 4                       Pkw neutral                       110.353 PD Amberg            KPI Amberg/K 4                       Krad neutral                       15.000 PD Amberg            KPI Amberg/K S                       Pkw neutral                       131.655 PD Amberg            PD Amberg                            Pkw neutral                       321.636 PD Amberg            PD Amberg                            Pkw uniform.                      308.200 PD Amberg            PD Amberg                            Pkw uniform.                      306.884 PD Amberg            PD Amberg                            Pkw uniform.                      297.733 PD Amberg            PD Amberg                            Pkw neutral                       276.555 PD Amberg            PD Amberg                            Pkw uniform.                      198.000 PD Amberg            PD Amberg                            Pkw neutral                       186.849 PD Amberg            PD Amberg                            Pkw uniform.                      142.330 PD Amberg            PD Amberg                            Pkw neutral                       141.977 PD Amberg            PD Amberg                            Pkw neutral                       141.761 PD Amberg            PD Amberg                            Pkw neutral                       123.198 PD Amberg            PD Amberg                            Pkw neutral                       114.023 PD Amberg            PD Amberg                            Pkw neutral                       113.900 PD Amberg            PD Amberg                            Pkw neutral                        91.222 PD Amberg            PD Amberg                            Lkw bis 3,5 t zGG neutral          86.322 PD Amberg            PD Amberg                            Pkw neutral                        83.337 PD Amberg            PD Amberg                            Pkw neutral                        46.647 PD Amberg            PD Amberg                            Pkw neutral                        18.595 PD Amberg            PD Amberg                            Pkw uniform.                        12.113 PD Amberg            PD Amberg                            Krad neutral                         6.333 PD Amberg            PD Amberg-Einsatzzug                 Pkw uniform.                      273.200 PD Amberg            PD Amberg-Einsatzzug                 Pkw neutral                       146.811 PD Amberg            PD Amberg-Einsatzzug                 PKW Kombi uniform.                139.000 PD Amberg            PD Amberg-Einsatzzug                 PKW Kombi uniform.                137.200 PD Amberg            PD Amberg-Einsatzzug                 Lkw bis 3,5 t zGG uniform.         70.734 PD Amberg            PD Amberg-Einsatzzug                 PKW Kombi uniform.                 49.300 PD Amberg            PI Amberg                            Pkw uniform.                      300.254 PD Amberg            PI Amberg                            Pkw uniform.                      235.821
3

Seite 4         Bayerischer Landtag     · 15. Wahlperiode            Drucksache 15/4578 PD Amberg PI Amberg                              PKW Kombi uniform.          226.000 PD Amberg PI Amberg                              Pkw uniform.                216.324 PD Amberg PI Amberg                              PKW Kombi uniform.          173.344 PD Amberg PI Amberg                              Pkw neutral                 170.211 PD Amberg PI Amberg                              Pkw uniform.                165.123 PD Amberg PI Amberg                              PKW Kombi uniform.          160.266 PD Amberg PI Amberg                              PKW Kombi uniform.          139.238 PD Amberg PI Amberg                              Pkw uniform.                132.000 PD Amberg PI Amberg                              Pkw neutral                 129.459 PD Amberg PI Amberg                              Pkw uniform.                100.000 PD Amberg PI Amberg                              Pkw uniform.                 85.349 PD Amberg PI Amberg                              PKW Kombi uniform.            84.811 PD Amberg PI Amberg                              Pkw uniform.                 52.160 PD Amberg PI Amberg                              Pkw neutral                  44.947 PD Amberg PI Amberg                              PKW Kombi uniform.           35.675 PD Amberg PI Amberg                              Pkw neutral                  21.674 PD Amberg PI Amberg                              Krad uniform.                 11.167 PD Amberg PI Amberg                              Pkw uniform.                  11.099 PD Amberg PI Auerbach in der Oberpfalz           Pkw uniform.                362.500 PD Amberg PI Auerbach in der Oberpfalz           Pkw uniform.                307.500 PD Amberg PI Auerbach in der Oberpfalz           Pkw uniform.                242.500 PD Amberg PI Auerbach in der Oberpfalz           PKW Kombi uniform.          241.000 PD Amberg PI Auerbach in der Oberpfalz           Pkw neutral                 150.000 PD Amberg PI Auerbach in der Oberpfalz           Pkw uniform.                146.000 PD Amberg PI Auerbach in der Oberpfalz           Pkw uniform.                 23.000 PD Amberg PI Burglengenfeld                      Pkw uniform.                260.992 PD Amberg PI Burglengenfeld                      Pkw uniform.                227.638 PD Amberg PI Burglengenfeld                      Pkw uniform.                220.648 PD Amberg PI Burglengenfeld                      Pkw neutral                 202.360 PD Amberg PI Burglengenfeld                      Pkw neutral                 201.225 PD Amberg PI Burglengenfeld                      PKW Kombi uniform.          182.300 PD Amberg PI Burglengenfeld                      Pkw uniform.                 53.150 PD Amberg PI Nabburg                             Pkw uniform.                330.210 PD Amberg PI Nabburg                             Pkw uniform.                274.385 PD Amberg PI Nabburg                             PKW Kombi uniform.          261.000 PD Amberg PI Nabburg                             Pkw neutral                 227.050 PD Amberg PI Nabburg                             Pkw uniform.                176.870 PD Amberg PI Nabburg                             Pkw neutral                  44.190 PD Amberg PI Nabburg                             Pkw uniform.                 15.657 PD Amberg PI Neunburg vorm Wald                  Pkw uniform.                322.043 PD Amberg PI Neunburg vorm Wald                  Pkw uniform.                283.771 PD Amberg PI Neunburg vorm Wald                  Pkw neutral                 163.792 PD Amberg PI Neunburg vorm Wald                  Pkw uniform.                151.174 PD Amberg PI Neunburg vorm Wald                  PKW Kombi uniform.          116.268 PD Amberg PI Neunburg vorm Wald                  Pkw neutral                      133 PD Amberg PI Oberviechtach                       Pkw uniform.                287.568 PD Amberg PI Oberviechtach                       PKW Kombi uniform.          211.074 PD Amberg PI Oberviechtach                       Pkw neutral                 123.064 PD Amberg PI Oberviechtach                       Pkw uniform.                108.778 PD Amberg PI Schwandorf                          Pkw uniform.                294.484 PD Amberg PI Schwandorf                          Pkw neutral                 288.829 PD Amberg PI Schwandorf                          Pkw uniform.                263.274 PD Amberg PI Schwandorf                          Pkw neutral                 219.719 PD Amberg PI Schwandorf                          Pkw uniform.                200.929 PD Amberg PI Schwandorf                          Pkw neutral                 193.370 PD Amberg PI Schwandorf                          Pkw neutral                 108.068 PD Amberg PI Schwandorf                          Pkw neutral                   94.116 PD Amberg PI Schwandorf                          Pkw uniform.                 28.959
4

Drucksache 15/4578                    Bayerischer Landtag   ·  15. Wahlperiode          Seite 5 PD Amberg          PI Schwandorf                         PKW Kombi uniform.          22.051 PD Amberg          PI Sulzbach-Rosenberg                 Pkw uniform.               273.110 PD Amberg          PI Sulzbach-Rosenberg                 Pkw uniform.               236.810 PD Amberg          PI Sulzbach-Rosenberg                 Pkw uniform.               201.064 PD Amberg          PI Sulzbach-Rosenberg                 PKW Kombi uniform.         123.154 PD Amberg          PI Sulzbach-Rosenberg                 Pkw neutral                 92.316 PD Amberg          PI Sulzbach-Rosenberg                 Pkw uniform.                85.235 PD Amberg          PSt Nittenau                          Pkw uniform.               225.000 PD Amberg          PSt Nittenau                          PKW Kombi uniform.         138.900 PD Amberg          PSt Vilseck                           PKW Kombi uniform.         278.500 PD Amberg          PSt Vilseck                           Pkw uniform.               158.000 PD Amberg          VPI Amberg                            Pkw neutral                548.000 PD Amberg          VPI Amberg                            Pkw neutral                457.000 PD Amberg          VPI Amberg                            Pkw neutral                390.000 PD Amberg          VPI Amberg                            Pkw uniform.               357.000 PD Amberg          VPI Amberg                            Pkw neutral                275.000 PD Amberg          VPI Amberg                            Pkw uniform.               258.000 PD Amberg          VPI Amberg                            PKW Kombi uniform.         205.000 PD Amberg          VPI Amberg                            PKW Kombi uniform.         184.000 PD Amberg          VPI Amberg                            Pkw neutral                163.000 PD Amberg          VPI Amberg                            Lkw bis 3,5 t zGG uniform. 152.000 PD Amberg          VPI Amberg                            PKW Kombi neutral          119.000 PD Amberg          VPI Amberg                            PKW Kombi neutral           61.000 PD Amberg          VPI Amberg                            Pkw uniform.                55.000 PD Amberg          VPI Amberg                            Krad uniform.               52.000 PD Amberg          VPI Amberg                            Pkw neutral                 45.000 PD Amberg          VPI Amberg                            Krad uniform.               18.000 PD Regensburg      APS Parsberg                          Pkw uniform.               245.000 PD Regensburg      APS Parsberg                          Pkw uniform.               231.079 PD Regensburg      APS Parsberg                          Pkw neutral                134.074 PD Regensburg      APS Parsberg                          Krad uniform.               88.000 PD Regensburg      APS Parsberg                          PKW Kombi uniform.          23.016 PD Regensburg      APS Parsberg                          Pkw uniform.                 3.459 PD Regensburg      DZ Schierling                         Pkw uniform.               269.000 PD Regensburg      KPI Regensburg                        Pkw neutral                173.403 PD Regensburg      KPI Regensburg                        Pkw neutral                161.565 PD Regensburg      KPI Regensburg                        Pkw neutral                143.935 PD Regensburg      KPI Regensburg                        Pkw neutral                139.700 PD Regensburg      KPI Regensburg                        Pkw neutral                135.258 PD Regensburg      KPI Regensburg                        Pkw neutral                130.077 PD Regensburg      KPI Regensburg                        Pkw neutral                103.664 PD Regensburg      KPI Regensburg                        Lkw bis 3,5 t zGG neutral   87.143 PD Regensburg      KPI Regensburg                        Pkw neutral                 83.070 PD Regensburg      KPI Regensburg                        Pkw neutral                 77.055 PD Regensburg      KPI Regensburg                        Pkw neutral                 59.402 PD Regensburg      KPI Regensburg                        Pkw neutral                 44.220 PD Regensburg      KPI Regensburg                        Pkw neutral                  8.875 PD Regensburg      KPI Regensburg                        Pkw neutral                    869 PD Regensburg      KPI Regensburg - K 1                  PKW Kombi neutral          139.188 PD Regensburg      KPI Regensburg - K 3                  Pkw neutral                206.329 PD Regensburg      KPI Regensburg - K 3                  Pkw neutral                202.519 PD Regensburg      KPI Regensburg - K 3                  Pkw neutral                155.122 PD Regensburg      KPI Regensburg - K 4                  Pkw neutral                131.782 PD Regensburg      KPI Regensburg - K 4                  Pkw neutral                109.635 PD Regensburg      KPI Regensburg - K 4                  Pkw neutral                 75.932 PD Regensburg      KPI Regensburg - K 6                  Pkw neutral                133.311 PD Regensburg      KPI Regensburg - K 6                  Pkw neutral                130.327 PD Regensburg      KPI Regensburg - K 6                  Pkw neutral                 96.963
5

Seite 6             Bayerischer Landtag     · 15. Wahlperiode                    Drucksache 15/4578 PD Regensburg KPI Regensburg - K 6                   Lkw bis 3,5 t zGG neutral              6.010 PD Regensburg KPI Regensburg - K 6                   Pkw neutral                                0 PD Regensburg KPI Regensburg - K 7                   Pkw neutral                         130.609 PD Regensburg KPI Regensburg - K 7                   Pkw neutral                          88.200 PD Regensburg KPI Regensburg - K 7                   Pkw neutral                          37.349 PD Regensburg KPI Regensburg - K 8                   Pkw neutral                         241.160 PD Regensburg KPI Regensburg - K 9                   Pkw neutral                         173.259 PD Regensburg KPI Regensburg - K 9                   Pkw neutral                         163.977 PD Regensburg PD Regensburg                          PKW Kombi uniform.                  265.436 PD Regensburg PD Regensburg                          Pkw neutral                         230.290 PD Regensburg PD Regensburg                          Pkw uniform.                        225.204 PD Regensburg PD Regensburg                          Pkw neutral                         200.464 PD Regensburg PD Regensburg                          PKW Kombi uniform.                  175.000 PD Regensburg PD Regensburg                          Pkw neutral                         174.664 PD Regensburg PD Regensburg                          Pkw neutral                         168.227 PD Regensburg PD Regensburg                          Pkw neutral                         157.746 PD Regensburg PD Regensburg                          Pkw neutral                         154.211 PD Regensburg PD Regensburg                          Pkw neutral                         142.480 PD Regensburg PD Regensburg                          Pkw uniform.                        135.300 PD Regensburg PD Regensburg                          Pkw neutral                         132.222 PD Regensburg PD Regensburg                          PKW Kombi neutral                   122.761 PD Regensburg PD Regensburg                          Pkw neutral                         108.264 PD Regensburg PD Regensburg                          Pkw uniform.                        102.730 PD Regensburg PD Regensburg                          Pkw neutral                         100.750 PD Regensburg PD Regensburg                          PKW Kombi neutral                    98.665 PD Regensburg PD Regensburg                          Pkw neutral                          97.991 PD Regensburg PD Regensburg                          Lkw bis 7,49 t zGG neutral           95.757 PD Regensburg PD Regensburg                          Pkw neutral                          85.292 PD Regensburg PD Regensburg                          Pkw neutral                          79.604 PD Regensburg PD Regensburg                          Pkw uniform.                         77.653 PD Regensburg PD Regensburg                          Pkw neutral                          62.663 PD Regensburg PD Regensburg                          Pkw neutral                          53.397 PD Regensburg PD Regensburg                          Lkw bis 3,5 t zGG uniform.           42.500 PD Regensburg PD Regensburg                          Pkw uniform.                         31.467 PD Regensburg PD Regensburg                          Krad neutral                         30.209 PD Regensburg PD Regensburg                          PKW Kombi uniform.                   21.667 PD Regensburg PD Regensburg                          Pkw neutral                            4.491 PD Regensburg PD Regensburg                          Pkw neutral                            2.837 PD Regensburg PD Regensburg - Einsatzzug             PKW Kombi uniform.                  197.594 PD Regensburg PD Regensburg - Einsatzzug             PKW Kombi uniform.                  189.749 PD Regensburg PD Regensburg - Einsatzzug             Pkw uniform.                        107.135 PD Regensburg PD Regensburg - Einsatzzug             PKW Kombi uniform.                  105.422 PD Regensburg PD Regensburg - Einsatzzug             Krad uniform.                       101.054 PD Regensburg PD Regensburg - Einsatzzug             PKW Kombi uniform.                   41.281 PD Regensburg PD Regensburg - Einsatzzug             PKW Kombi uniform.                   10.519 PD Regensburg PI Cham                                Pkw uniform.                        268.174 PD Regensburg PI Cham                                Pkw uniform.                        235.833 PD Regensburg PI Cham                                Pkw uniform.                        206.497 PD Regensburg PI Cham                                Pkw neutral                         158.869 PD Regensburg PI Cham                                Pkw uniform.                        126.838 PD Regensburg PI Cham                                Pkw uniform.                         64.427 PD Regensburg PI Kötzting                            Pkw uniform.                        200.185 PD Regensburg PI Kötzting                            Pkw uniform.                        199.360 PD Regensburg PI Kötzting                            Pkw neutral                         168.100 PD Regensburg PI Kötzting                            PKW Kombi uniform.                  111.110 PD Regensburg PI Kötzting                            Pkw neutral                          34.480 PD Regensburg PI Kötzting                            Pkw uniform.                         28.630 PD Regensburg PI Neumarkt in der Oberpfalz           Pkw uniform.                        278.790
6

Drucksache 15/4578                  Bayerischer Landtag  · 15. Wahlperiode   Seite 7 PD Regensburg    PI Neumarkt in der Oberpfalz         Pkw uniform.       277.080 PD Regensburg    PI Neumarkt in der Oberpfalz         Pkw uniform.       239.570 PD Regensburg    PI Neumarkt in der Oberpfalz         Pkw uniform.       232.950 PD Regensburg    PI Neumarkt in der Oberpfalz         Pkw neutral        186.320 PD Regensburg    PI Neumarkt in der Oberpfalz         Pkw neutral        182.730 PD Regensburg    PI Neumarkt in der Oberpfalz         Pkw uniform.       167.600 PD Regensburg    PI Neumarkt in der Oberpfalz         Pkw neutral        132.700 PD Regensburg    PI Neumarkt in der Oberpfalz         PKW Kombi uniform. 132.390 PD Regensburg    PI Neumarkt in der Oberpfalz         Pkw neutral        119.115 PD Regensburg    PI Neumarkt in der Oberpfalz         Pkw neutral        104.387 PD Regensburg    PI Neumarkt in der Oberpfalz         PKW Kombi neutral   60.349 PD Regensburg    PI Neumarkt in der Oberpfalz         Pkw uniform.        15.947 PD Regensburg    PI Neumarkt in der Oberpfalz         Pkw neutral         11.940 PD Regensburg    PI Neutraubling                      Pkw uniform.       286.593 PD Regensburg    PI Neutraubling                      Pkw uniform.       283.140 PD Regensburg    PI Neutraubling                      Pkw uniform.       156.304 PD Regensburg    PI Neutraubling                      Pkw neutral         89.141 PD Regensburg    PI Neutraubling                      PKW Kombi uniform.  15.769 PD Regensburg    PI Neutraubling                      Pkw uniform.        10.899 PD Regensburg    PI Nittendorf                        Pkw uniform.       289.295 PD Regensburg    PI Nittendorf                        Pkw uniform.       227.234 PD Regensburg    PI Nittendorf                        Pkw uniform.       199.632 PD Regensburg    PI Nittendorf                        PKW Kombi uniform. 185.077 PD Regensburg    PI Nittendorf                        Pkw neutral        152.214 PD Regensburg    PI Nittendorf                        Pkw uniform.       148.804 PD Regensburg    PI Nittendorf                        Pkw uniform.       136.799 PD Regensburg    PI Parsberg                          Pkw uniform.       244.335 PD Regensburg    PI Parsberg                          PKW Kombi uniform. 171.566 PD Regensburg    PI Parsberg                          Pkw uniform.        99.761 PD Regensburg    PI Parsberg                          Pkw neutral         97.157 PD Regensburg    PI Parsberg                          PKW Kombi uniform.  55.155 PD Regensburg    PI Parsberg                          Pkw uniform.        24.600 PD Regensburg    PI Parsberg                          Pkw uniform.         5.656 PD Regensburg    PI Regensburg 1                      PKW Kombi neutral  294.302 PD Regensburg    PI Regensburg 1                      Pkw uniform.       270.223 PD Regensburg    PI Regensburg 1                      Pkw uniform.       243.184 PD Regensburg    PI Regensburg 1                      PKW Kombi uniform. 187.771 PD Regensburg    PI Regensburg 1                      Pkw uniform.       176.364 PD Regensburg    PI Regensburg 1                      Pkw neutral        168.500 PD Regensburg    PI Regensburg 1                      Pkw neutral        134.618 PD Regensburg    PI Regensburg 1                      Pkw uniform.       132.545 PD Regensburg    PI Regensburg 1                      Pkw uniform.       125.247 PD Regensburg    PI Regensburg 1                      Pkw neutral         97.310 PD Regensburg    PI Regensburg 1                      Pkw neutral         67.854 PD Regensburg    PI Regensburg 1                      PKW Kombi uniform.  61.285 PD Regensburg    PI Regensburg 1                      Pkw uniform.        57.446 PD Regensburg    PI Regensburg 2                      Pkw uniform.       326.096 PD Regensburg    PI Regensburg 2                      PKW Kombi uniform. 302.584 PD Regensburg    PI Regensburg 2                      Pkw uniform.       219.888 PD Regensburg    PI Regensburg 2                      Pkw uniform.       213.716 PD Regensburg    PI Regensburg 2                      PKW Kombi uniform. 162.132 PD Regensburg    PI Regensburg 2                      Pkw uniform.       133.188 PD Regensburg    PI Regensburg 2                      Pkw neutral        103.162 PD Regensburg    PI Regensburg 2                      Pkw uniform.        57.985 PD Regensburg    PI Regensburg 2                      Pkw uniform.        27.847 PD Regensburg    PI Regensburg 3                      Pkw uniform.       243.680 PD Regensburg    PI Regensburg 3                      Pkw neutral        189.055 PD Regensburg    PI Regensburg 3                      Pkw uniform.       184.695
7

Seite 8              Bayerischer Landtag · 15. Wahlperiode                    Drucksache 15/4578 PD Regensburg PI Regensburg 3                    Pkw uniform.                        167.927 PD Regensburg PI Regensburg 3                    Pkw neutral                         151.625 PD Regensburg PI Regensburg 3                    Pkw uniform.                         114.614 PD Regensburg PI Regensburg 3                    PKW Kombi uniform.                  107.886 PD Regensburg PI Regensburg 3                    Pkw uniform.                          18.063 PD Regensburg PI Regensburg 3                    Pkw neutral                               30 PD Regensburg PI Regenstauf                      Pkw uniform.                        319.736 PD Regensburg PI Regenstauf                      Pkw uniform.                        269.557 PD Regensburg PI Regenstauf                      Pkw uniform.                        248.100 PD Regensburg PI Regenstauf                      Pkw uniform.                        194.669 PD Regensburg PI Regenstauf                      Pkw uniform.                        169.935 PD Regensburg PI Regenstauf                      Pkw neutral                         141.560 PD Regensburg PI Regenstauf                      PKW Kombi uniform.                   111.649 PD Regensburg PI Regenstauf                      Pkw uniform.                          44.248 PD Regensburg PI Roding                          Pkw uniform.                        273.980 PD Regensburg PI Roding                          Pkw neutral                         267.530 PD Regensburg PI Roding                          Pkw neutral                         222.760 PD Regensburg PI Roding                          Pkw uniform.                        180.094 PD Regensburg PI Roding                          Pkw neutral                          111.199 PD Regensburg PI Roding                          PKW Kombi uniform.                    98.670 PD Regensburg PI Roding                          Pkw uniform.                          96.040 PD Regensburg PI Wörth an der Donau              Pkw uniform.                        238.303 PD Regensburg PI Wörth an der Donau              PKW Kombi uniform.                  237.178 PD Regensburg PI Wörth an der Donau              Pkw neutral                         150.089 PD Regensburg PI Wörth an der Donau              Pkw uniform.                        149.083 PD Regensburg PI Wörth an der Donau              Pkw uniform.                         115.873 PD Regensburg PI Wörth an der Donau              Pkw uniform.                           3.554 PD Regensburg VPI Regensburg                     Pkw neutral                         377.240 PD Regensburg VPI Regensburg                     Pkw neutral                         261.167 PD Regensburg VPI Regensburg                     Pkw uniform.                        240.970 PD Regensburg VPI Regensburg                     Pkw uniform.                        239.178 PD Regensburg VPI Regensburg                     Pkw uniform.                        219.073 PD Regensburg VPI Regensburg                     Pkw uniform.                        197.287 PD Regensburg VPI Regensburg                     Pkw uniform.                        194.607 PD Regensburg VPI Regensburg                     Pkw uniform.                        192.571 PD Regensburg VPI Regensburg                     Pkw uniform.                        188.076 PD Regensburg VPI Regensburg                     Pkw neutral                         178.510 PD Regensburg VPI Regensburg                     Lkw bis 3,5 t zGG uniform.          155.630 PD Regensburg VPI Regensburg                     Pkw neutral                         132.504 PD Regensburg VPI Regensburg                     PKW Kombi neutral                    119.118 PD Regensburg VPI Regensburg                     Krad uniform.                        118.331 PD Regensburg VPI Regensburg                     Pkw neutral                         100.190 PD Regensburg VPI Regensburg                     Pkw neutral                           97.038 PD Regensburg VPI Regensburg                     Pkw neutral                           82.754 PD Regensburg VPI Regensburg                     PKW Kombi neutral                     74.976 PD Regensburg VPI Regensburg                     Pkw uniform.                           4.780 PD Regensburg VPI Regensburg                     Pkw uniform.                               0 PD Regensburg WSP/S Regensburg                   Pkw uniform.                        235.960 PD Regensburg WSP/S Regensburg                   Pkw uniform.                        205.046 PD Weiden     DZ Erbendorf                       Pkw uniform.                        229.000 PD Weiden     GPI Furth im Wald                  Pkw neutral                         181.318 PD Weiden     GPI Furth im Wald                  Pkw neutral                         153.188 PD Weiden     GPI Furth im Wald                  Pkw neutral                         101.318 PD Weiden     GPI Furth im Wald                  Pkw neutral                           94.238 PD Weiden     GPI Furth im Wald                  Pkw neutral                           83.301 PD Weiden     GPI Furth im Wald                  Pkw neutral                           79.612 PD Weiden     GPI Furth im Wald                  Pkw neutral                           72.842 PD Weiden     GPI Furth im Wald                  Pkw neutral                           67.941
8

Drucksache 15/4578                   Bayerischer Landtag  · 15. Wahlperiode   Seite 9 PD Weiden        GPI Furth im Wald                     Pkw neutral         58.192 PD Weiden        GPI Furth im Wald                     Pkw neutral         27.738 PD Weiden        GPI Selb                              Pkw neutral        283.825 PD Weiden        GPI Selb                              Pkw neutral        202.680 PD Weiden        GPI Selb                              Pkw neutral        200.737 PD Weiden        GPI Selb                              Pkw neutral        189.783 PD Weiden        GPI Selb                              PKW Kombi neutral  168.703 PD Weiden        GPI Selb                              Pkw neutral        136.954 PD Weiden        GPI Selb                              Pkw neutral         61.250 PD Weiden        GPI Selb                              Pkw neutral         48.357 PD Weiden        GPI Selb                              Pkw uniform.        31.344 PD Weiden        GPI Selb                              Pkw neutral               0 PD Weiden        GPI Waidhaus                          Pkw neutral        165.249 PD Weiden        GPI Waidhaus                          Pkw neutral        159.335 PD Weiden        GPI Waidhaus                          Pkw neutral        147.906 PD Weiden        GPI Waidhaus                          Pkw neutral        144.525 PD Weiden        GPI Waidhaus                          Pkw neutral        107.227 PD Weiden        GPI Waidhaus                          Pkw neutral        101.382 PD Weiden        GPI Waidhaus                          Pkw neutral         91.567 PD Weiden        GPI Waidhaus                          Pkw neutral         60.500 PD Weiden        GPI Waidhaus                          Pkw neutral         33.289 PD Weiden        GPI Waidhaus                          PKW Kombi uniform.  10.350 PD Weiden        GPI Waldsassen                        Pkw neutral        189.801 PD Weiden        GPI Waldsassen                        Pkw neutral        109.362 PD Weiden        GPI Waldsassen                        Pkw neutral         97.832 PD Weiden        GPI Waldsassen                        Pkw neutral         77.150 PD Weiden        GPI Waldsassen                        Pkw neutral         74.150 PD Weiden        GPS (GÜG) Schirnding                  Pkw uniform.       213.637 PD Weiden        GPS (GÜG) Schirnding                  Pkw neutral        139.511 PD Weiden        GPS (GÜG) Schirnding                  Pkw neutral         92.775 PD Weiden        GPS (GÜG) Schirnding                  Pkw uniform.        33.140 PD Weiden        GPS (GÜG) Schirnding                  PKW Kombi uniform.  22.350 PD Weiden        GPS Bärnau                            Pkw uniform.       158.691 PD Weiden        GPS Bärnau                            Pkw uniform.        79.502 PD Weiden        GPS Bärnau                            Pkw neutral         26.571 PD Weiden        GPS Bärnau                            Pkw uniform.        26.505 PD Weiden        GPS Eslarn                            Pkw neutral         18.320 PD Weiden        GPS Eslarn                            PKW Kombi uniform.  14.383 PD Weiden        GPS Flossenbürg                       Pkw uniform.       104.571 PD Weiden        GPS Furth im Wald                     Pkw uniform.       244.392 PD Weiden        GPS Furth im Wald                     Pkw uniform.       230.096 PD Weiden        GPS Furth im Wald                     PKW Kombi uniform. 107.892 PD Weiden        GPS Furth im Wald                     Pkw uniform.        87.887 PD Weiden        GPS Furth im Wald                     Pkw neutral         81.131 PD Weiden        GPS Georgenberg                       Pkw uniform.       156.750 PD Weiden        GPS Lam                               Pkw uniform.       201.554 PD Weiden        GPS Lam                               Pkw uniform.       157.971 PD Weiden        GPS Mähring                           Pkw neutral        112.760 PD Weiden        GPS Mähring                           Pkw uniform.        88.821 PD Weiden        GPS Neualbenreuth                     Pkw uniform.        87.786 PD Weiden        GPS Neukirchen bei Hl. Blut           Pkw neutral        198.187 PD Weiden        GPS Neukirchen bei Hl. Blut           Pkw uniform.       142.030 PD Weiden        GPS Neukirchen bei Hl. Blut           Pkw uniform.       124.019 PD Weiden        GPS Neukirchen bei Hl. Blut           Pkw uniform.       117.755 PD Weiden        GPS Neukirchen bei Hl. Blut           Pkw uniform.       114.919 PD Weiden        GPS Neukirchen bei Hl. Blut           Pkw uniform.       108.995 PD Weiden        GPS Neukirchen bei Hl. Blut           Pkw uniform.        94.722 PD Weiden        GPS Regnitzlosau                      Pkw uniform.       236.471
9

Seite 10         Bayerischer Landtag     · 15. Wahlperiode           Drucksache 15/4578 PD Weiden GPS Regnitzlosau                      Pkw neutral                 196.973 PD Weiden GPS Rehau                             Pkw uniform.                177.287 PD Weiden GPS Rehau                             Pkw uniform.                 113.795 PD Weiden GPS Rehau                             Pkw uniform.                  83.170 PD Weiden GPS Rehau                             Pkw neutral                   54.358 PD Weiden GPS Rehau                             Pkw neutral                   30.130 PD Weiden GPS Schirnding - Bahnhof              PKW Kombi uniform.          146.609 PD Weiden GPS Schirnding - Bahnhof              Pkw uniform.                128.631 PD Weiden GPS Schirnding - Bahnhof              Pkw uniform.                128.019 PD Weiden GPS Schönsee                          Pkw uniform.                145.336 PD Weiden GPS Schönsee                          Pkw uniform.                121.887 PD Weiden GPS Selb                              Pkw neutral                 252.650 PD Weiden GPS Selb                              Pkw uniform.                174.589 PD Weiden GPS Selb                              Pkw uniform.                167.895 PD Weiden GPS Selb                              Pkw neutral                 166.454 PD Weiden GPS Selb                              PKW Kombi neutral           158.512 PD Weiden GPS Selb                              Pkw neutral                   99.873 PD Weiden GPS Selb                              Pkw uniform.                  84.987 PD Weiden GPS Selb                              Pkw neutral                   43.114 PD Weiden GPS Selb                              PKW Kombi uniform.             7.211 PD Weiden GPS Waidhaus                          Pkw neutral                 182.350 PD Weiden GPS Waidhaus                          Pkw uniform.                157.126 PD Weiden GPS Waidhaus                          Pkw uniform.                150.338 PD Weiden GPS Waidhaus                          PKW Kombi uniform.          133.834 PD Weiden GPS Waidhaus                          Pkw uniform.                128.066 PD Weiden GPS Waidhaus                          PKW Kombi uniform.            72.702 PD Weiden GPS Waidhaus                          Pkw neutral                   60.070 PD Weiden GPS Waidhaus                          Pkw neutral                   54.698 PD Weiden GPS Waidhaus                          Pkw uniform.                  40.588 PD Weiden GPS Waidhaus                          Pkw neutral                   39.216 PD Weiden GPS Waidhaus                          Pkw neutral                   28.988 PD Weiden GPS Waidhaus                          Pkw uniform.                  13.983 PD Weiden GPS Waldmünchen                       Pkw uniform.                 214.111 PD Weiden GPS Waldmünchen                       Pkw uniform.                185.174 PD Weiden GPS Waldmünchen                       Pkw uniform.                130.095 PD Weiden GPS Waldmünchen                       Pkw neutral                   33.320 PD Weiden GPS Waldmünchen                       PKW Kombi uniform.            26.427 PD Weiden GPS Waldsassen                        Pkw uniform.                210.053 PD Weiden GPS Waldsassen                        PKW Kombi uniform.          182.220 PD Weiden GPS Waldsassen                        Pkw neutral                 157.077 PD Weiden GPS Waldsassen                        Pkw neutral                 107.337 PD Weiden GPS Waldsassen                        PKW Kombi uniform.            92.403 PD Weiden GPS Waldsassen                        Pkw uniform.                  25.594 PD Weiden GPS Waldsassen                        Pkw neutral                   23.730 PD Weiden GÜG Furth i. Wald - Schafberg         Pkw neutral                 145.344 PD Weiden GÜG Waldmünchen                       Pkw neutral                 181.871 PD Weiden KPI Weiden in der Oberpfalz           Pkw neutral                 180.163 PD Weiden KPI Weiden in der Oberpfalz           Pkw neutral                 171.089 PD Weiden KPI Weiden in der Oberpfalz           Pkw neutral                 147.100 PD Weiden KPI Weiden in der Oberpfalz           Pkw neutral                 137.305 PD Weiden KPI Weiden in der Oberpfalz           Pkw neutral                 136.471 PD Weiden KPI Weiden in der Oberpfalz           Pkw neutral                 108.835 PD Weiden KPI Weiden in der Oberpfalz           Pkw neutral                 108.500 PD Weiden KPI Weiden in der Oberpfalz           PKW Kombi neutral             99.300 PD Weiden KPI Weiden in der Oberpfalz           Pkw neutral                   91.841 PD Weiden KPI Weiden in der Oberpfalz           Pkw neutral                   89.011 PD Weiden KPI Weiden in der Oberpfalz           Pkw neutral                   88.368 PD Weiden KPI Weiden in der Oberpfalz           Pkw neutral                   60.241
10

Zur nächsten Seite