Wie hat sich die Abmeldung von Krankenhäusern aus der Notversorgung in den letzten Monaten seit der Corona-Pandemie entwickelt?

/ 36
PDF herunterladen
BÜRGERSCHAFT DER FREIEN UND HANSESTADT HAMBURG                                      Drucksache     22/1644 22. Wahlperiode                                                                              13.10.20 Schriftliche Kleine Anfrage des Abgeordneten Stephan Gamm (CDU) vom 05.10.20 und Antwort des Senats Betr.:     Wie hat sich die Abmeldung von Krankenhäusern aus der Notversor­ gung in den letzten Monaten seit der Corona-Pandemie entwickelt? Einleitung für die Fragen: Während die Abmeldung von Krankenhäusern aus der Notversorgung in den letzten Jahren immer wieder thematisiert wurde, gab es seit Beginn der Pan­ demie keine Berichterstattung hierzu. Kann hieraus die Schlussfolgerung gezogen werden, dass trotz der Corona-Pandemie alles wieder normal läuft oder war der Fokus der öffentlichen Berichterstattung nur nicht auf das Thema gerichtet? Vor diesem Hintergrund frage ich den Senat: Einleitung für die Antworten: Der Senat beantwortet die Fragen unter Beteiligung der Hamburger Plankrankenhäuser wie folgt: Frage 1:            Welche Kliniken haben sich wie häufig bisher im Jahr 2020 zeitweise aus der Notfallversorgung abgemeldet? Bitte aufschlüsseln nach Monaten, Krankenhaus, Fachbereich/Station, Datum, Dauer und Grund der Abmeldung. Antwort zu Frage 1: Siehe Anlage. Die jeweiligen Gründe der Hamburger Plankrankenhäuser für eine tem­ poräre Abmeldung von der Notfallversorgung werden statistisch nicht erfasst; von der Leitstelle der Hamburger Feuerwehr wird nur der „gesperrte Bereich“ aufgenommen sowie der Zeitrahmen für die Sperrung. Dies betrifft in der Regel technische Defekte oder Wartung zum Beispiel bei CT oder MRT, Herz-Katheter-Labor, Überbelegung Kreißsaal oder Neonatologie, Zentrale Notaufnahme (med. oder med. Intensiv, Chirur­ gie). Besondere Ausnahmetatbestände, zum Beispiel längerfristige Sperrungen, wer­ den der Planungsbehörde direkt gemeldet. Trotz der anhaltenden Pandemiebewälti­ gung sind keine Unregelmäßigkeiten festgestellt worden. Frage 2:            Wie bewertet der Senat die Entwicklung und sieht er hier Handlungs­ bedarf? Antwort zu Frage 2: Trotz der Corona-Epidemie und der damit einhergehenden Eindämmungs- und aufwen­ digen Bewältigungsmaßnahmen sind von der zuständigen Behörde keine wesentlichen Unterschiede der Hamburger Krankenhäuser im Vergleich zum Vorjahr festzustellen. Entsprechend ist aus den Sperrungen kein grundsätzlicher Handlungsbedarf abzulei­ ten. Eventuell notwendige Maßnahmen klärt die Planungsbehörde umgehend nach Bekanntwerden der Sperrungen in jedem Einzelfall mit dem jeweiligen Krankenhaus und der Leitstelle der Hamburger Feuerwehr.
1

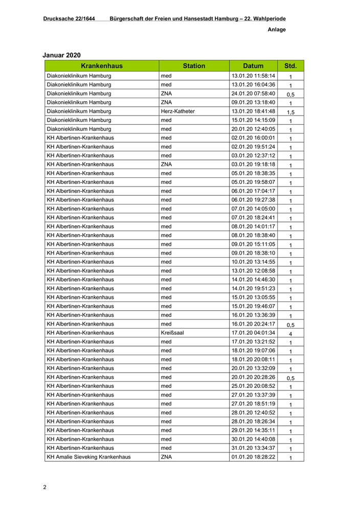
Drucksache 22/1644        Bürgerschaft der Freien und Hansestadt Hamburg – 22. Wahlperiode Anlage Januar 2020 Krankenhaus                          Station              Datum           Std. Diakonieklinikum Hamburg                   med                      13.01.20 11:58:14     1 Diakonieklinikum Hamburg                   med                      13.01.20 16:04:36     1 Diakonieklinikum Hamburg                   ZNA                      24.01.20 07:58:40    0,5 Diakonieklinikum Hamburg                   ZNA                      09.01.20 13:18:40     1 Diakonieklinikum Hamburg                   Herz-Katheter            13.01.20 18:41:48    1,5 Diakonieklinikum Hamburg                   med                      15.01.20 14:15:09     1 Diakonieklinikum Hamburg                   med                      20.01.20 12:40:05     1 KH Albertinen-Krankenhaus                  med                      02.01.20 16:00:01     1 KH Albertinen-Krankenhaus                  med                      02.01.20 19:51:24     1 KH Albertinen-Krankenhaus                  med                      03.01.20 12:37:12     1 KH Albertinen-Krankenhaus                  ZNA                      03.01.20 19:18:18     1 KH Albertinen-Krankenhaus                  med                      05.01.20 18:38:35     1 KH Albertinen-Krankenhaus                  med                      05.01.20 19:58:07     1 KH Albertinen-Krankenhaus                  med                      06.01.20 17:04:17     1 KH Albertinen-Krankenhaus                  med                      06.01.20 19:27:38     1 KH Albertinen-Krankenhaus                  med                      07.01.20 14:05:00     1 KH Albertinen-Krankenhaus                  med                      07.01.20 18:24:41     1 KH Albertinen-Krankenhaus                  med                      08.01.20 14:01:17     1 KH Albertinen-Krankenhaus                  med                      08.01.20 18:38:40     1 KH Albertinen-Krankenhaus                  med                      09.01.20 15:11:05     1 KH Albertinen-Krankenhaus                  med                      09.01.20 18:38:10     1 KH Albertinen-Krankenhaus                  med                      10.01.20 13:14:55     1 KH Albertinen-Krankenhaus                  med                      13.01.20 12:08:58     1 KH Albertinen-Krankenhaus                  med                      14.01.20 14:46:30     1 KH Albertinen-Krankenhaus                  med                      14.01.20 19:51:23     1 KH Albertinen-Krankenhaus                  med                      15.01.20 13:05:55     1 KH Albertinen-Krankenhaus                  med                      15.01.20 19:46:07     1 KH Albertinen-Krankenhaus                  med                      16.01.20 13:36:39     1 KH Albertinen-Krankenhaus                  med                      16.01.20 20:24:17    0,5 KH Albertinen-Krankenhaus                  Kreißsaal                17.01.20 04:01:34     4 KH Albertinen-Krankenhaus                  med                      17.01.20 13:21:52     1 KH Albertinen-Krankenhaus                  med                      18.01.20 19:07:06     1 KH Albertinen-Krankenhaus                  med                      18.01.20 20:08:11     1 KH Albertinen-Krankenhaus                  med                      20.01.20 13:32:09     1 KH Albertinen-Krankenhaus                  med                      20.01.20 20:28:26    0,5 KH Albertinen-Krankenhaus                  med                      25.01.20 20:08:52     1 KH Albertinen-Krankenhaus                  med                      27.01.20 13:37:39     1 KH Albertinen-Krankenhaus                  med                      27.01.20 18:51:19     1 KH Albertinen-Krankenhaus                  med                      28.01.20 12:40:52     1 KH Albertinen-Krankenhaus                  med                      28.01.20 18:26:34     1 KH Albertinen-Krankenhaus                  med                      29.01.20 14:35:11     1 KH Albertinen-Krankenhaus                  med                      30.01.20 14:40:08     1 KH Albertinen-Krankenhaus                  med                      31.01.20 13:34:37     1 KH Amalie Sieveking Krankenhaus            ZNA                      01.01.20 18:28:22     1 2
2

Bürgerschaft der Freien und Hansestadt Hamburg – 22. Wahlperiode   Drucksache 22/1644 Krankenhaus                          Station           Datum         Std. KH Amalie Sieveking Krankenhaus          med                    03.01.20 20:31:49   0,5 KH Amalie Sieveking Krankenhaus          med                    05.01.20 18:56:11    1 KH Amalie Sieveking Krankenhaus          ZNA                    08.01.20 19:03:11    1 KH Amalie Sieveking Krankenhaus          ZNA                    09.01.20 18:18:55    1 KH Amalie Sieveking Krankenhaus          ZNA                    21.01.20 15:06:21    2 KH Amalie Sieveking Krankenhaus          ZNA                    21.01.20 17:54:53    1 KH Amalie Sieveking Krankenhaus          ZNA                    21.01.20 21:33:06   1,5 KH Amalie Sieveking Krankenhaus          med                    26.01.20 14:48:13    1 KH Asklepios Klinik Altona               Neurologie             01.01.20 10:23:34  21,5 KH Asklepios Klinik Altona               Kreißsaal              02.01.20 17:18:24    1 KH Asklepios Klinik Altona               Kreißsaal              02.01.20 19:36:46   0,5 KH Asklepios Klinik Altona               Kreißsaal              02.01.20 21:35:22    1 KH Asklepios Klinik Altona               Kreißsaal              04.01.20 19:23:32    2 KH Asklepios Klinik Altona               Kreißsaal              04.01.20 20:01:19   10 KH Asklepios Klinik Altona               Kreißsaal              06.01.20 00:56:26    2 KH Asklepios Klinik Altona               Kreißsaal              06.01.20 03:25:13   3,5 KH Asklepios Klinik Altona               Kreißsaal              06.01.20 11:47:13    4 KH Asklepios Klinik Altona               Kreißsaal              07.01.20 09:43:13    2 KH Asklepios Klinik Altona               Kreißsaal              07.01.20 12:34:55   3,5 KH Asklepios Klinik Altona               Kreißsaal              09.01.20 11:05:17    3 KH Asklepios Klinik Altona               Kreißsaal              10.01.20 12:31:00    3 KH Asklepios Klinik Altona               Kreißsaal              10.01.20 14:42:11    2 KH Asklepios Klinik Altona               Kreißsaal              15.01.20 20:39:11   3,5 KH Asklepios Klinik Altona               Neurologie             16.01.20 19:58:33    4 KH Asklepios Klinik Altona               Stroke Unit            16.01.20 23:44:20    8 KH Asklepios Klinik Altona               Stroke Unit            17.01.20 09:17:28   4,5 KH Asklepios Klinik Altona               Kreißsaal              20.01.20 12:31:59    2 KH Asklepios Klinik Altona               Kreißsaal              20.01.20 16:52:18    2 KH Asklepios Klinik Altona               Kreißsaal              21.01.20 10:32:36    2 KH Asklepios Klinik Altona               Kreißsaal              21.01.20 12:48:15    3 KH Asklepios Klinik Altona               Kreißsaal              21.01.20 16:18:25   3,5 KH Asklepios Klinik Altona               med int.               25.01.20 01:19:36    2 KH Asklepios Klinik Altona               Kreißsaal              26.01.20 14:21:47    2 KH Asklepios Klinik Altona               Kreißsaal              26.01.20 16:39:00    2 KH Asklepios Klinik Altona               Kreißsaal              26.01.20 20:33:16    1 KH Asklepios Klinik Altona               Kreißsaal              30.01.20 19:24:51  10,5 KH Asklepios Klinik Barmbek              med                    02.01.20 11:55:44    1 KH Asklepios Klinik Barmbek              med                    02.01.20 17:28:51    1 KH Asklepios Klinik Barmbek              med                    07.01.20 19:58:20    1 KH Asklepios Klinik Barmbek              med                    08.01.20 18:55:58   0,5 KH Asklepios Klinik Barmbek              med                    09.01.20 16:56:41    1 KH Asklepios Klinik Barmbek              ZNA                    16.01.20 20:03:52    1 KH Asklepios Klinik Barmbek              med                    27.01.20 13:08:04    1 KH Asklepios Klinik Barmbek              med                    28.01.20 16:52:18    1 KH Asklepios Klinik Barmbek              med                    28.01.20 18:31:11    1 KH Asklepios Klinik Barmbek              med                    28.01.20 20:01:58    1 3
3

Drucksache 22/1644         Bürgerschaft der Freien und Hansestadt Hamburg – 22. Wahlperiode Krankenhaus                             Station             Datum           Std. KH Asklepios Klinik Barmbek                 med int.                 30.01.20 17:38:54     2 KH Asklepios Klinik Harburg                 ZNA                      01.01.20 22:37:02    1,5 KH Asklepios Klinik Harburg                 ZNA                      07.01.20 18:56:27     2 KH Asklepios Klinik Harburg                 ZNA                      13.01.20 18:52:14     1 KH Asklepios Klinik Harburg                 ZNA                      13.01.20 19:45:35     1 KH Asklepios Klinik Harburg                 med int.                 15.01.20 00:15:55     9 KH Asklepios Klinik Harburg                 ZNA                      30.01.20 12:06:42    1,5 KH Asklepios Klinik Nord Campus Heidberg    ZNA                      05.01.20 11:57:54     1 KH Asklepios Klinik Nord Campus Heidberg    Stroke Unit              05.01.20 23:52:50     8 KH Asklepios Klinik Nord Campus Heidberg    ZNA                      06.01.20 12:14:41     1 KH Asklepios Klinik Nord Campus Heidberg    Stroke Unit              06.01.20 21:10:29    11 KH Asklepios Klinik Nord Campus Heidberg    ZNA                      08.01.20 13:48:32     1 KH Asklepios Klinik Nord Campus Heidberg    ZNA                      08.01.20 17:37:11     1 KH Asklepios Klinik Nord Campus Heidberg    ZNA                      09.01.20 14:14:24     1 KH Asklepios Klinik Nord Campus Heidberg    ZNA                      09.01.20 15:43:07     1 KH Asklepios Klinik Nord Campus Heidberg    ZNA                      09.01.20 18:53:00     1 KH Asklepios Klinik Nord Campus Heidberg    ZNA                      10.01.20 14:11:09     1 KH Asklepios Klinik Nord Campus Heidberg    ZNA                      15.01.20 14:19:22     1 KH Asklepios Klinik Nord Campus Heidberg    Kreißsaal                17.01.20 22:31:55    7,5 KH Asklepios Klinik Nord Campus Heidberg    Kreißsaal                19.01.20 16:43:56     4 KH Asklepios Klinik Nord Campus Heidberg    ZNA                      20.01.20 13:27:50     1 KH Asklepios Klinik Nord Campus Heidberg    ZNA                      20.01.20 17:15:43     1 KH Asklepios Klinik Nord Campus Heidberg    ZNA                      24.01.20 13:56:41     1 KH Asklepios Klinik Nord Campus Heidberg    ZNA                      27.01.20 19:41:54     1 KH Asklepios Klinik Nord Campus Heidberg    ZNA                      28.01.20 17:03:17     1 KH Asklepios Klinik Nord Campus Heidberg    ZNA                      30.01.20 12:40:41     1 KH Asklepios Klinik Nord Campus Heidberg    ZNA                      31.01.20 16:32:30     1 KH Asklepios Klinik St Georg                C2                       04.01.20 14:52:06     5 KH Asklepios Klinik St Georg                C2                       07.01.20 04:18:15     2 KH Asklepios Klinik St Georg                Neurologie               14.01.20 19:01:19    13 KH Asklepios Klinik St Georg                C2                       21.01.20 18:52:08     1 KH Asklepios Klinik St Georg                C2                       24.01.20 12:45:37     4 KH Asklepios Klinik St Georg                C2                       29.01.20 17:08:25    3,5 KH Asklepios Klinik St Georg                C2                       31.01.20 00:09:51     5 KH Asklepios Klinik St Georg                C2                       31.01.20 16:05:14     4 KH Asklepios Klinik Wandsbek                med int.                 01.01.20 11:02:17     2 KH Asklepios Klinik Wandsbek                med int.                 01.01.20 14:48:17     2 KH Asklepios Klinik Wandsbek                ZNA                      02.01.20 14:14:50     1 KH Asklepios Klinik Wandsbek                ZNA                      04.01.20 14:14:09     1 KH Asklepios Klinik Wandsbek                ZNA                      04.01.20 15:11:42     1 KH Asklepios Klinik Wandsbek                ZNA                      06.01.20 15:32:43     1 KH Asklepios Klinik Wandsbek                ZNA                      07.01.20 17:29:40     1 KH Asklepios Klinik Wandsbek                ZNA                      13.01.20 13:52:24     1 KH Asklepios Klinik Wandsbek                med int.                 15.01.20 22:45:56     8 KH Asklepios Klinik Wandsbek                med                      27.01.20 16:08:47     1 KH Asklepios Klinik Wandsbek                ZNA                      27.01.20 20:20:19    0,5 4
4

Bürgerschaft der Freien und Hansestadt Hamburg – 22. Wahlperiode   Drucksache 22/1644 Krankenhaus                         Station           Datum         Std. KH Asklepios Klinik Wandsbek             med int.               07.01.20 22:51:41    8 Bethesda Krankenhaus Bergedorf           med                    01.01.20 19:51:48   0,5 Bethesda Krankenhaus Bergedorf           ZNA                    01.01.20 20:27:49   0,5 Bethesda Krankenhaus Bergedorf           ZNA                    04.01.20 16:22:24    1 Bethesda Krankenhaus Bergedorf           med int.               04.01.20 18:49:26    3 Bethesda Krankenhaus Bergedorf           ZNA                    05.01.20 10:13:56    1 Bethesda Krankenhaus Bergedorf           ZNA                    05.01.20 19:58:56    1 Bethesda Krankenhaus Bergedorf           ZNA                    06.01.20 18:18:43    1 Bethesda Krankenhaus Bergedorf           Herz-Katheter          06.01.20 19:45:21    1 Bethesda Krankenhaus Bergedorf           ZNA                    09.01.20 13:38:58    1 Bethesda Krankenhaus Bergedorf           ZNA                    10.01.20 13:41:57    1 Bethesda Krankenhaus Bergedorf           med int.               12.01.20 21:15:56  11,5 Bethesda Krankenhaus Bergedorf           ZNA                    13.01.20 12:17:58    1 Bethesda Krankenhaus Bergedorf           ZNA                    13.01.20 16:35:08    1 Bethesda Krankenhaus Bergedorf           Herz-Katheter          15.01.20 13:06:56    3 Bethesda Krankenhaus Bergedorf           ZNA                    15.01.20 18:38:04    1 Bethesda Krankenhaus Bergedorf           ZNA                    15.01.20 19:43:58    1 Bethesda Krankenhaus Bergedorf           med int.               21.01.20 11:36:55    2 Bethesda Krankenhaus Bergedorf           med                    22.01.20 16:13:56    1 Bethesda Krankenhaus Bergedorf           med                    22.01.20 17:48:34   0,5 Bethesda Krankenhaus Bergedorf           med int.               26.01.20 03:24:48    7 Bethesda Krankenhaus Bergedorf           med                    26.01.20 15:36:55    1 Bethesda Krankenhaus Bergedorf           ZNA                    27.01.20 17:23:11    1 Bethesda Krankenhaus Bergedorf           ZNA                    27.01.20 20:22:24   0,5 Bethesda Krankenhaus Bergedorf           ZNA                    30.01.20 14:45:42    1 Bethesda Krankenhaus Bergedorf           ZNA                    30.01.20 19:42:14    1 KH Bundeswehrkrankenhaus                 ZNA                    02.01.20 13:54:42    1 KH Bundeswehrkrankenhaus                 ISO                    18.01.20 10:33:38  22,5 Altonaer Kinderkrankenhaus               Nidatracker defekt     12.01.20 14:28:47  16,5 KH Kinderkrankenhaus Wilhelmstift        chir                   29.01.20 17:00:33    1 KH Marienkrankenhaus                     med                    01.01.20 14:01:35    1 KH Marienkrankenhaus                     med                    01.01.20 17:50:23    1 KH Marienkrankenhaus                     Kreißsaal              02.01.20 08:33:58   6,5 KH Marienkrankenhaus                     med                    02.01.20 12:09:20    1 KH Marienkrankenhaus                     med                    02.01.20 14:52:37    1 KH Marienkrankenhaus                     med                    02.01.20 18:47:22    1 KH Marienkrankenhaus                     med                    03.01.20 14:24:43    1 KH Marienkrankenhaus                     med int.               03.01.20 19:47:09   12 KH Marienkrankenhaus                     HNO                    04.01.20 01:24:36   6,5 KH Marienkrankenhaus                     Kreißsaal              05.01.20 10:21:33   9,5 KH Marienkrankenhaus                     med                    05.01.20 14:51:04    1 KH Marienkrankenhaus                     med                    06.01.20 11:47:00    1 KH Marienkrankenhaus                     ZNA                    06.01.20 14:22:47    1 KH Marienkrankenhaus                     med                    07.01.20 17:55:20    1 KH Marienkrankenhaus                     med                    07.01.20 20:14:01    1 KH Marienkrankenhaus                     med int.               08.01.20 00:35:21   5,5 5
5

Drucksache 22/1644         Bürgerschaft der Freien und Hansestadt Hamburg – 22. Wahlperiode Krankenhaus                            Station             Datum           Std. KH Marienkrankenhaus                        med                      08.01.20 15:15:29     1 KH Marienkrankenhaus                        med                      08.01.20 18:19:20     1 KH Marienkrankenhaus                        Kreißsaal                08.01.20 22:02:19     9 KH Marienkrankenhaus                        med int.                 08.01.20 23:16:01     8 KH Marienkrankenhaus                        med int.                 09.01.20 09:51:06     2 KH Marienkrankenhaus                        ZNA                      09.01.20 14:16:25     1 KH Marienkrankenhaus                        Kreißsaal                10.01.20 02:04:38     8 KH Marienkrankenhaus                        Kreißsaal                10.01.20 11:00:57     3 KH Marienkrankenhaus                        med                      10.01.20 13:11:05     1 KH Marienkrankenhaus                        HNO                      11.01.20 15:36:54    1,5 KH Marienkrankenhaus                        med                      13.01.20 12:56:53     1 KH Marienkrankenhaus                        ZNA                      13.01.20 15:39:06     1 KH Marienkrankenhaus                        med                      14.01.20 18:31:13     1 KH Marienkrankenhaus                        Kreißsaal                16.01.20 02:49:41     7 KH Marienkrankenhaus                        Kreißsaal                16.01.20 09:39:20    5,5 KH Marienkrankenhaus                        med                      17.01.20 14:18:16     1 KH Marienkrankenhaus                        Kreißsaal                19.01.20 07:04:20     4 KH Marienkrankenhaus                        Kreißsaal                19.01.20 19:22:35   10,5 KH Marienkrankenhaus                        ZNA                      20.01.20 16:37:50     1 KH Marienkrankenhaus                        Kreißsaal                21.01.20 06:16:13    3,5 KH Marienkrankenhaus                        Herz-Katheter            21.01.20 08:35:02     4 KH Marienkrankenhaus                        Herz-Katheter            21.01.20 13:39:08    2,5 KH Marienkrankenhaus                        med                      21.01.20 14:24:24     1 KH Marienkrankenhaus                        med                      21.01.20 19:02:01     1 KH Marienkrankenhaus                        med                      22.01.20 13:20:51     1 KH Marienkrankenhaus                        ZNA                      22.01.20 18:17:58     1 KH Marienkrankenhaus                        ZNA                      22.01.20 19:56:32     1 KH Marienkrankenhaus                        med                      23.01.20 11:33:21     1 KH Marienkrankenhaus                        med                      23.01.20 15:57:50     1 KH Marienkrankenhaus                        med                      23.01.20 19:22:09     1 KH Marienkrankenhaus                        med                      24.01.20 17:52:21     1 KH Marienkrankenhaus                        med                      26.01.20 13:47:40     1 KH Marienkrankenhaus                        med                      27.01.20 11:34:50     1 KH Marienkrankenhaus                        ZNA                      27.01.20 14:05:09     1 KH Marienkrankenhaus                        med                      27.01.20 17:13:53     1 KH Marienkrankenhaus                        med                      28.01.20 12:06:51     1 KH Marienkrankenhaus                        ZNA                      28.01.20 13:39:45     1 KH Marienkrankenhaus                        Kreißsaal                29.01.20 18:43:09   10,5 KH Marienkrankenhaus                        Kreißsaal                31.01.20 08:13:10     7 KH Marienkrankenhaus                        med                      31.01.20 13:57:17     1 KH Marienkrankenhaus                        ZNA                      31.01.20 15:23:30     1 KH Marienkrankenhaus                        Kreißsaal                31.01.20 15:35:02   18,5 KH Schön Klinik Eilbek                      Herz-Katheter            01.01.20 18:31:39   12,5 KH Universitätsklinikum Eppendorf           med                      01.01.20 10:00:27     1 KH Universitätsklinikum Eppendorf           med int.                 02.01.20 06:59:23     2 KH Universitätsklinikum Eppendorf           Kreißsaal                02.01.20 11:05:01    23 6
6

Bürgerschaft der Freien und Hansestadt Hamburg – 22. Wahlperiode   Drucksache 22/1644 Krankenhaus                         Station           Datum         Std. KH Universitätsklinikum Eppendorf        med                    02.01.20 12:48:46    1 KH Universitätsklinikum Eppendorf        med                    02.01.20 20:21:48   0,5 KH Universitätsklinikum Eppendorf        Kreißsaal              03.01.20 09:46:31   24 KH Universitätsklinikum Eppendorf        med                    03.01.20 11:24:42    1 KH Universitätsklinikum Eppendorf        Kreißsaal              04.01.20 11:34:10  22,5 KH Universitätsklinikum Eppendorf        med                    04.01.20 12:25:54    1 KH Universitätsklinikum Eppendorf        med                    04.01.20 16:01:19    1 KH Universitätsklinikum Eppendorf        med                    04.01.20 18:43:49    1 KH Universitätsklinikum Eppendorf        med                    05.01.20 14:37:06    1 KH Universitätsklinikum Eppendorf        Kreißsaal              06.01.20 07:58:41    6 KH Universitätsklinikum Eppendorf        med                    06.01.20 13:57:18    1 KH Universitätsklinikum Eppendorf        med                    06.01.20 18:06:49    1 KH Universitätsklinikum Eppendorf        med                    07.01.20 11:33:23    1 KH Universitätsklinikum Eppendorf        med int.               07.01.20 11:57:14    2 KH Universitätsklinikum Eppendorf        med                    08.01.20 13:59:00    1 KH Universitätsklinikum Eppendorf        med int.               08.01.20 14:23:23    2 KH Universitätsklinikum Eppendorf        med                    08.01.20 16:03:00   0,5 KH Universitätsklinikum Eppendorf        med int.               08.01.20 16:44:57    4 KH Universitätsklinikum Eppendorf        med                    08.01.20 19:17:46    1 KH Universitätsklinikum Eppendorf        med                    08.01.20 15:44:57   0,5 KH Universitätsklinikum Eppendorf        med                    09.01.20 01:12:57   6,5 KH Universitätsklinikum Eppendorf        med                    09.01.20 09:51:28    1 KH Universitätsklinikum Eppendorf        ZNA                    09.01.20 11:35:30    1 KH Universitätsklinikum Eppendorf        med                    09.01.20 13:48:45    1 KH Universitätsklinikum Eppendorf        med                    09.01.20 15:08:28    1 KH Universitätsklinikum Eppendorf        ZNA                    09.01.20 19:17:34    1 KH Universitätsklinikum Eppendorf        med int.               10.01.20 09:19:28   4,5 KH Universitätsklinikum Eppendorf        med int.               10.01.20 15:16:58   2,5 KH Universitätsklinikum Eppendorf        med int.               10.01.20 18:16:03    1 KH Universitätsklinikum Eppendorf        med int.               11.01.20 10:24:29    2 KH Universitätsklinikum Eppendorf        med int.               11.01.20 13:19:48    1 KH Universitätsklinikum Eppendorf        med int.               11.01.20 14:30:16    2 KH Universitätsklinikum Eppendorf        med int.               11.01.20 18:04:13    2 KH Universitätsklinikum Eppendorf        med                    11.01.20 18:50:17    1 KH Universitätsklinikum Eppendorf        med int.               11.01.20 20:17:20   12 KH Universitätsklinikum Eppendorf        med int.               12.01.20 08:28:21   8,5 KH Universitätsklinikum Eppendorf        med                    12.01.20 17:20:52    1 KH Universitätsklinikum Eppendorf        med int.               12.01.20 19:13:25    2 KH Universitätsklinikum Eppendorf        med int.               13.01.20 01:31:40    5 KH Universitätsklinikum Eppendorf        med                    13.01.20 11:21:25    1 KH Universitätsklinikum Eppendorf        med                    13.01.20 15:51:01    1 KH Universitätsklinikum Eppendorf        med int.               14.01.20 04:39:21   5,5 KH Universitätsklinikum Eppendorf        med int.               14.01.20 10:12:47    4 KH Universitätsklinikum Eppendorf        med int.               14.01.20 17:02:55    4 KH Universitätsklinikum Eppendorf        med                    14.01.20 20:05:12    1 KH Universitätsklinikum Eppendorf        med int.               14.01.20 21:32:31   8,5 7
7

Drucksache 22/1644         Bürgerschaft der Freien und Hansestadt Hamburg – 22. Wahlperiode Krankenhaus                            Station             Datum           Std. KH Universitätsklinikum Eppendorf           med int.                 15.01.20 06:03:33     4 KH Universitätsklinikum Eppendorf           med int.                 15.01.20 10:19:55     2 KH Universitätsklinikum Eppendorf           med                      15.01.20 10:46:28     1 KH Universitätsklinikum Eppendorf           med int.                 15.01.20 12:10:48     2 KH Universitätsklinikum Eppendorf           med int.                 15.01.20 13:13:45     2 KH Universitätsklinikum Eppendorf           med                      15.01.20 13:29:59     1 KH Universitätsklinikum Eppendorf           med int.                 15.01.20 16:19:07     2 KH Universitätsklinikum Eppendorf           med int.                 15.01.20 22:56:50     3 KH Universitätsklinikum Eppendorf           med int.                 16.01.20 03:28:56    6,5 KH Universitätsklinikum Eppendorf           med                      16.01.20 10:31:26     1 KH Universitätsklinikum Eppendorf           med                      16.01.20 12:40:56     1 KH Universitätsklinikum Eppendorf           med int.                 17.01.20 08:21:48     2 KH Universitätsklinikum Eppendorf           med                      17.01.20 11:42:49     1 KH Universitätsklinikum Eppendorf           med                      17.01.20 14:13:58     1 KH Universitätsklinikum Eppendorf           med int.                 17.01.20 15:06:40     2 KH Universitätsklinikum Eppendorf           med int.                 17.01.20 16:58:46     2 KH Universitätsklinikum Eppendorf           med                      17.01.20 17:44:40     1 KH Universitätsklinikum Eppendorf           med int.                 17.01.20 19:07:47     2 KH Universitätsklinikum Eppendorf           med int.                 17.01.20 22:00:03     1 KH Universitätsklinikum Eppendorf           med                      18.01.20 15:11:49     1 KH Universitätsklinikum Eppendorf           med                      18.01.20 18:44:52     1 KH Universitätsklinikum Eppendorf           med int.                 19.01.20 09:58:55     6 KH Universitätsklinikum Eppendorf           med                      20.01.20 10:18:38     1 KH Universitätsklinikum Eppendorf           med                      20.01.20 12:28:36     1 KH Universitätsklinikum Eppendorf           med                      21.01.20 17:14:48     1 KH Universitätsklinikum Eppendorf           med                      21.01.20 19:53:26     1 KH Universitätsklinikum Eppendorf           med                      22.01.20 15:48:56     1 KH Universitätsklinikum Eppendorf           med int.                 23.01.20 05:58:15     2 KH Universitätsklinikum Eppendorf           med int.                 23.01.20 10:27:25    1,5 KH Universitätsklinikum Eppendorf           Kreißsaal                23.01.20 10:38:15    5,5 KH Universitätsklinikum Eppendorf           med                      23.01.20 11:05:39     1 KH Universitätsklinikum Eppendorf           med int.                 23.01.20 14:01:30     3 KH Universitätsklinikum Eppendorf           Kreißsaal                24.01.20 00:19:52    3,5 KH Universitätsklinikum Eppendorf           med int.                 24.01.20 02:58:31     5 KH Universitätsklinikum Eppendorf           med                      24.01.20 12:05:34     2 KH Universitätsklinikum Eppendorf           med                      24.01.20 13:24:44     1 KH Universitätsklinikum Eppendorf           med                      24.01.20 16:31:36     1 KH Universitätsklinikum Eppendorf           med                      24.01.20 19:18:48     1 KH Universitätsklinikum Eppendorf           med                      26.01.20 19:19:22     1 KH Universitätsklinikum Eppendorf           med                      26.01.20 20:25:16     1 KH Universitätsklinikum Eppendorf           med int.                 26.01.20 22:39:41    8,5 KH Universitätsklinikum Eppendorf           med int.                 27.01.20 06:58:03    2,5 KH Universitätsklinikum Eppendorf           med                      27.01.20 11:16:00     1 KH Universitätsklinikum Eppendorf           med int.                 27.01.20 11:32:54     3 KH Universitätsklinikum Eppendorf           med                      27.01.20 14:16:26     1 KH Universitätsklinikum Eppendorf           med int.                 27.01.20 14:35:31     1 8
8

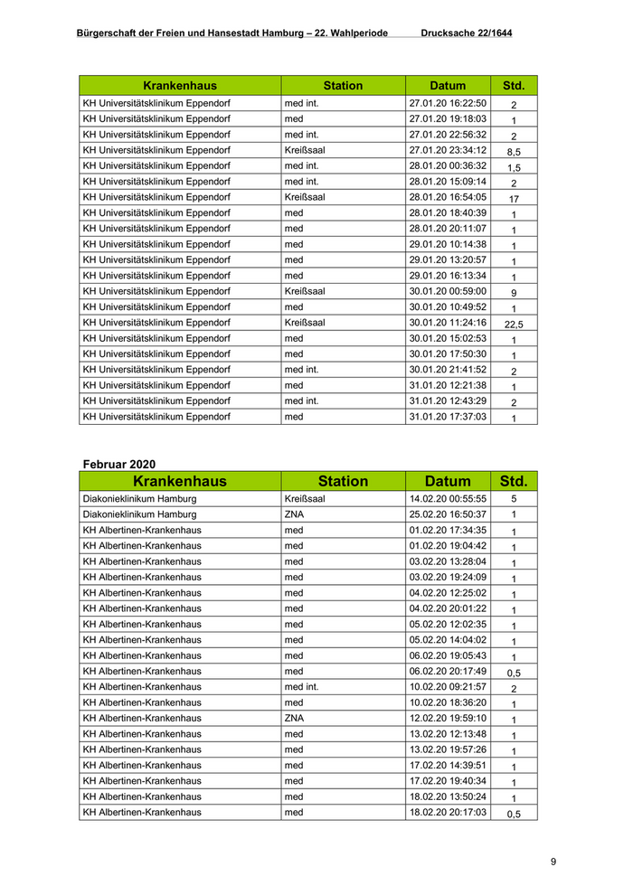
Bürgerschaft der Freien und Hansestadt Hamburg – 22. Wahlperiode   Drucksache 22/1644 Krankenhaus                         Station           Datum         Std. KH Universitätsklinikum Eppendorf        med int.               27.01.20 16:22:50    2 KH Universitätsklinikum Eppendorf        med                    27.01.20 19:18:03    1 KH Universitätsklinikum Eppendorf        med int.               27.01.20 22:56:32    2 KH Universitätsklinikum Eppendorf        Kreißsaal              27.01.20 23:34:12   8,5 KH Universitätsklinikum Eppendorf        med int.               28.01.20 00:36:32   1,5 KH Universitätsklinikum Eppendorf        med int.               28.01.20 15:09:14    2 KH Universitätsklinikum Eppendorf        Kreißsaal              28.01.20 16:54:05   17 KH Universitätsklinikum Eppendorf        med                    28.01.20 18:40:39    1 KH Universitätsklinikum Eppendorf        med                    28.01.20 20:11:07    1 KH Universitätsklinikum Eppendorf        med                    29.01.20 10:14:38    1 KH Universitätsklinikum Eppendorf        med                    29.01.20 13:20:57    1 KH Universitätsklinikum Eppendorf        med                    29.01.20 16:13:34    1 KH Universitätsklinikum Eppendorf        Kreißsaal              30.01.20 00:59:00    9 KH Universitätsklinikum Eppendorf        med                    30.01.20 10:49:52    1 KH Universitätsklinikum Eppendorf        Kreißsaal              30.01.20 11:24:16  22,5 KH Universitätsklinikum Eppendorf        med                    30.01.20 15:02:53    1 KH Universitätsklinikum Eppendorf        med                    30.01.20 17:50:30    1 KH Universitätsklinikum Eppendorf        med int.               30.01.20 21:41:52    2 KH Universitätsklinikum Eppendorf        med                    31.01.20 12:21:38    1 KH Universitätsklinikum Eppendorf        med int.               31.01.20 12:43:29    2 KH Universitätsklinikum Eppendorf        med                    31.01.20 17:37:03    1 Februar 2020 Krankenhaus                          Station           Datum          Std. Diakonieklinikum Hamburg                 Kreißsaal              14.02.20 00:55:55    5 Diakonieklinikum Hamburg                 ZNA                    25.02.20 16:50:37    1 KH Albertinen-Krankenhaus                med                    01.02.20 17:34:35    1 KH Albertinen-Krankenhaus                med                    01.02.20 19:04:42    1 KH Albertinen-Krankenhaus                med                    03.02.20 13:28:04    1 KH Albertinen-Krankenhaus                med                    03.02.20 19:24:09    1 KH Albertinen-Krankenhaus                med                    04.02.20 12:25:02    1 KH Albertinen-Krankenhaus                med                    04.02.20 20:01:22    1 KH Albertinen-Krankenhaus                med                    05.02.20 12:02:35    1 KH Albertinen-Krankenhaus                med                    05.02.20 14:04:02    1 KH Albertinen-Krankenhaus                med                    06.02.20 19:05:43    1 KH Albertinen-Krankenhaus                med                    06.02.20 20:17:49   0,5 KH Albertinen-Krankenhaus                med int.               10.02.20 09:21:57    2 KH Albertinen-Krankenhaus                med                    10.02.20 18:36:20    1 KH Albertinen-Krankenhaus                ZNA                    12.02.20 19:59:10    1 KH Albertinen-Krankenhaus                med                    13.02.20 12:13:48    1 KH Albertinen-Krankenhaus                med                    13.02.20 19:57:26    1 KH Albertinen-Krankenhaus                med                    17.02.20 14:39:51    1 KH Albertinen-Krankenhaus                med                    17.02.20 19:40:34    1 KH Albertinen-Krankenhaus                med                    18.02.20 13:50:24    1 KH Albertinen-Krankenhaus                med                    18.02.20 20:17:03   0,5 9
9

Drucksache 22/1644         Bürgerschaft der Freien und Hansestadt Hamburg – 22. Wahlperiode Krankenhaus                              Station             Datum           Std. KH Albertinen-Krankenhaus                    med                      19.02.20 19:41:21     1 KH Albertinen-Krankenhaus                    med                      21.02.20 12:31:35     1 KH Albertinen-Krankenhaus                    med                      21.02.20 19:01:14     1 KH Albertinen-Krankenhaus                    med int.                 21.02.20 22:43:24     2 KH Albertinen-Krankenhaus                    med                      25.02.20 20:25:26    0,5 KH Albertinen-Krankenhaus                    med                      26.02.20 20:03:19     1 KH Albertinen-Krankenhaus                    med                      27.02.20 19:34:23     1 KH Albertinen-Krankenhaus                    med int.                 28.02.20 21:35:57    8,5 KH Albertinen-Krankenhaus                    med                      29.02.20 20:16:43    0,5 KH Amalie Sieveking Krankenhaus              ZNA                      06.02.20 15:28:22     1 KH Amalie Sieveking Krankenhaus              med                      23.02.20 15:53:28     1 KH Amalie Sieveking Krankenhaus              ZNA                      24.02.20 16:36:02     1 KH Amalie Sieveking Krankenhaus              ZNA                      28.02.20 16:43:00     1 KH Amalie Sieveking Krankenhaus              med int.                 28.02.20 23:06:56     7 KH Amalie Sieveking Krankenhaus              med int.                 29.02.20 06:20:40    3,5 KH Asklepios Klinik Altona                   Radiologie               01.02.20 02:02:27     1 KH Asklepios Klinik Altona                   Kreißsaal                01.02.20 13:15:23     5 KH Asklepios Klinik Altona                   Kreißsaal                03.02.20 01:29:51     7 KH Asklepios Klinik Altona                   Kreißsaal                10.02.20 12:21:00    3,5 KH Asklepios Klinik Altona                   Kreißsaal                10.02.20 18:19:57    3,5 KH Asklepios Klinik Altona                   Kreißsaal                11.02.20 13:53:11     4 KH Asklepios Klinik Altona                   Kreißsaal                13.02.20 11:51:52     2 KH Asklepios Klinik Altona                   Kreißsaal                16.02.20 15:35:42     2 KH Asklepios Klinik Altona                   Kreißsaal                16.02.20 17:11:23     3 KH Asklepios Klinik Altona                   Kreißsaal                16.02.20 19:58:32     2 KH Asklepios Klinik Altona                   Kreißsaal                16.02.20 22:11:31     2 KH Asklepios Klinik Altona                   CT                       17.02.20 08:49:45     2 KH Asklepios Klinik Altona                   Kreißsaal                17.02.20 14:29:43    3,5 KH Asklepios Klinik Altona                   Kreißsaal                19.02.20 09:46:57     4 KH Asklepios Klinik Altona                   Kreißsaal                19.02.20 14:02:11     4 KH Asklepios Klinik Altona                   Kreißsaal                19.02.20 17:57:56     3 KH Asklepios Klinik Altona                   Kreißsaal                19.02.20 20:58:21     3 KH Asklepios Klinik Altona                   Kreißsaal                20.02.20 22:02:55    12 KH Asklepios Klinik Altona                   Kreißsaal                21.02.20 09:48:32     6 KH Asklepios Klinik Altona                   Kreißsaal                21.02.20 16:51:06    13 KH Asklepios Klinik Altona                   Kreißsaal                21.02.20 20:56:55     3 KH Asklepios Klinik Altona                   Kreißsaal                26.02.20 17:57:24     2 KH Asklepios Klinik Altona                   Kreißsaal                27.02.20 10:46:22     5 KH Asklepios Klinik Altona                   Kreißsaal                27.02.20 16:03:03    18 KH Asklepios Klinik Altona                   Kreißsaal                29.02.20 01:44:04     2 KH Asklepios Klinik Altona                   Kreißsaal                29.02.20 03:45:59     2 KH Asklepios Klinik Altona                   Kreißsaal                29.02.20 05:43:30     2 KH Asklepios Klinik Barmbek                  med                      02.02.20 10:39:35     1 KH Asklepios Klinik Barmbek                  med                      06.02.20 20:02:44     1 KH Asklepios Klinik Barmbek                  med                      15.02.20 20:02:20     1 KH Asklepios Klinik Barmbek                  med                      28.02.20 17:03:36     1 10
10

Zur nächsten Seite