Ist Schutz vor Corona auch im Winternotprogramm sichergestellt?

/ 18
PDF herunterladen
02.05.2020   164   02.05.2020   282 03.05.2020   160   03.05.2020   282 04.05.2020   169   04.05.2020   286 05.05.2020   156   05.05.2020   283 Bürgerschaft der Freien und Hansestadt Hamburg – 22. Wahlperiode Drucksache 22/148 11
11

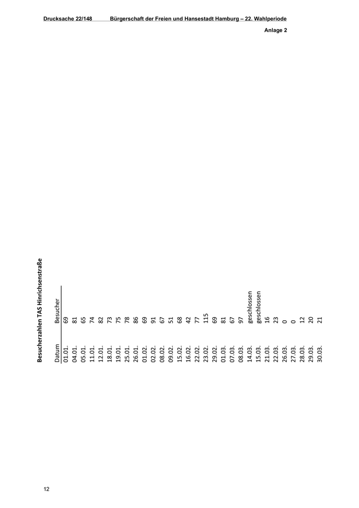
Besucherzahlen TAS Hinrichsenstraße 12 Datum        Besucher 01.01.       69 04.01.       81 05.01.       65 Drucksache 22/148 11.01.       74 12.01.       82 18.01.       73 19.01.       75 25.01.       78 26.01.       86 01.02.       69 02.02.       91 08.02.       67 09.02.       51 15.02.       68 16.02.       42 22.02.       77 23.02.       115 29.02.       69 01.03.       81 07.03.       67 08.03.       97 14.03.       geschlossen 15.03.       geschlossen 21.03.       16 22.03.       23 Bürgerschaft der Freien und Hansestadt Hamburg – 22. Wahlperiode Anlage 2 26.03.       0 27.03.       0 28.03.       12 29.03.       20 30.03.       21
12

31.03.   12 01.04.   23 02.04.   18 03.04.   18 04.03.   17 05.03.   22 06.04.   21 07.04.   16 08.04.   15 09.04.   17 10.04.   15 11.04.   14 12.04.   30 13.04.   39 14.04.   34 15.04.   31 16.04.   23 17.04.   30 18.04.   28 19.04.   31 20.04.   25 Bürgerschaft der Freien und Hansestadt Hamburg – 22. Wahlperiode 21.04.   24 22.04.   28 23.04.   28 24.04.   25 25.04.   26 26.04.   38 27.04.   30   Drucksache 22/148 28.04.   24 29.04.   24 30.04.   21 13   01.05.   24 02.05.   29
13

Drucksache 22/148   Bürgerschaft der Freien und Hansestadt Hamburg – 22. Wahlperiode 26 25 03.05. 04.05. 14
14

Wärmestube 01.01.2020   11 02.01.2020   11 03.01.2020   11 04.01.2020   12 05.01.2020   11 06.01.2020   11 07.01.2020   12 08.01.2020   12 09.01.2020   11 10.01.2020   10 11.01.2020   11 12.01.2020   11 13.01.2020   12 14.01.2020   12 15.01.2020   12 16.01.2020   12 17.01.2020   12 18.01.2020   12 19.01.2020   12 20.01.2020   10 Bürgerschaft der Freien und Hansestadt Hamburg – 22. Wahlperiode 21.01.2020   10 22.01.2020   12 23.01.2020   10 24.01.2020   10 25.01.2020   17 26.01.2020   22 27.01.2020   23              Drucksache 22/148 Anlage 3 28.01.2020   21 29.01.2020   19 30.01.2020   23 15    31.01.2020   25 01.02.2020   26
15

02.02.2020   21 16   03.02.2020   22 04.02.2020   24 05.02.2020   28 06.02.2020   27 07.02.2020   27 Drucksache 22/148 08.02.2020   29 09.02.2020   32 10.02.2020   34 11.02.2020   37 12.02.2020   33 13.02.2020   34 14.02.2020   34 15.02.2020   34 16.02.2020   32 17.02.2020   27 18.02.2020   26 19.02.2020   34 20.02.2020   34 21.02.2020   34 22.02.2020   34 23.02.2020   35 24.02.2020   38 25.02.2020   37 26.02.2020   37 27.02.2020   36 28.02.2020   36 29.02.2020   29 Bürgerschaft der Freien und Hansestadt Hamburg – 22. Wahlperiode 01.03.2020   31 02.03.2020   24 03.03.2020   18 04.03.2020   17 05.03.2020   21
16

06.03.2020   21 07.03.2020   14 08.03.2020   12 09.03.2020   10 10.03.2020   11 11.03.2020   11 12.03.2020    4 13.03.2020    4 14.03.2020    2 15.03.2020    2 16.03.2020    2 17.03.2020    2 18.03.2020    2 19.03.2020    2 20.03.2020    2 21.03.2020    3 22.03.2020    3 23.03.2020    2 24.03.2020    0 25.03.2020    0 26.03.2020    0 Bürgerschaft der Freien und Hansestadt Hamburg – 22. Wahlperiode 27.03.2020    0 28.03.2020    0 29.03.2020    0 30.03.2020    0 31.03.2020    0 01.04.2020    0 02.04.2020    0   Drucksache 22/148 03.04.2020    0 04.04.2020    0 05.04.2020    0 17   06.04.2020    0 07.04.2020    0
17

18 08.04.2020   0 09.04.2020   0 10.04.2020   0 11.04.2020   0 Drucksache 22/148 12.04.2020   0 13.04.2020   0 14.04.2020   0 15.04.2020   0 16.04.2020   0 17.04.2020   0 18.04.2020   0 19.04.2020   0 20.04.2020   0 21.04.2020   0 22.04.2020   0 23.04.2020   0 24.04.2020   0 25.04.2020   0 26.04.2020   0 27.04.2020   0 28.04.2020   0 29.04.2020   0 30.04.2020   0 01.05.2020   0 02.05.2020   0 03.05.2020   0 Bürgerschaft der Freien und Hansestadt Hamburg – 22. Wahlperiode 04.05.2020   0 05.05.2020   0
18