G20 – Polizeiliche Datenbank „Schwarzer Block“

/ 5
PDF herunterladen
BÜRGERSCHAFT DER FREIEN UND HANSESTADT HAMBURG                                      Drucksache   22/1363 22. Wahlperiode                                                                               18.09.20 Schriftliche Kleine Anfrage des Abgeordneten Deniz Celik (DIE LINKE) vom 10.09.20 und   Antwort des Senats Betr.:     G20 – Polizeiliche Datenbank „Schwarzer Block“ Einleitung für die Fragen: Offensichtlich hat die Polizei Hamburg eine weitere CRIME-Datei eingerichtet: Informationen zufolge, soll eine CRIME-Datei „Schwarzer Block“ existieren, die der Aufklärung von Straftaten, die im Zusammenhang mit dem G20-Gipfel begangen wurden, und der Dokumentation, Recherche und Auswertung von Informationen in dem Ermittlungskomplex dient. Polizeiliche Datenbanken sind hochsensibel: Enthaltene Erkenntnisse geben lediglich polizeiliche Bewertung wieder; die enthaltenen Informationen sind einer Fehlerkontrolle und Überprüfung nur schwer zugänglich. Gleichzeitig bil­ den diese unzureichenden Datengrundlagen die Basis für weitere polizeiliche Maßnahmen. Gerade der G20-Gipfel hat verdeutlicht, welche Gefahren von polizeilichen Datenbanken ausgehen können: 32 Journalisten/-innen wurde nachträglich ihre Akkreditierung entzogen, auch auf Grundlage falscher Infor­ mationen in polizeilichen Datenbanken. Vor diesem Hintergrund frage ich den Senat: Einleitung für die Antworten: Für die Unterstützung der polizeilichen Ermittlungsarbeit bei der Strafverfolgung im Zusammenhang mit den Ereignissen um den G20-Gipfel hat die Polizei auf Grundlage von § 483 Strafprozessordnung (StPO) am 3. August 2017 die Datei „Schwarzer Block“ eingerichtet. Die gesetzlich der Polizei übertragenen Aufgaben beinhalten, dass die für die Aufga­ benwahrnehmung erforderlichen polizeilichen Datenbanken schutzbedürftige Daten enthalten und gegebenenfalls auf dieser Grundlage getroffene Maßnahmen in die Grundrechte der Betroffenen eingreifen. Entsprechend hoch ist daher auch der Quali­ tätsanspruch an die Datenverarbeitung. Die Polizei Hamburg hat dem Schutzbedarf der Daten mit geeigneten technischen und organisatorischen Maßnahmen Rechnung getragen und die Richtigkeit der gespeicherten Daten besitzt höchste Priorität. Polizei­ liche Ermittlungsverfahren werden immer auf Grundlage festgestellter Fakten eingelei­ tet. Ziel eines Ermittlungsverfahrens ist die Aufklärung des Sachverhaltes, wobei selbst­ verständlich auch entlastende Informationen erhoben und berücksichtigt werden. Unzu- treffende Fakten werden korrigiert. Teilweise fließen auch auf polizeiliche Erfahrungs­ werte gestützte Bewertungen in ein Ermittlungsverfahren ein, diese werden jedoch in der Akte und auch in polizeilichen Datenbanken entsprechend gekennzeichnet. Soweit im Zusammenhang mit dem Akkreditierungsentzug von Journalisten beim G20- Gipfel im Jahr 2017 Mängel in der polizeilichen Datenhaltung festgestellt wurden, hat die Polizei Hamburg seither umfangreiche Qualitätssicherungsmaßnahmen eingeführt, welche sowohl die Datenqualität der polizeilichen Datenbanken als auch die Rechtmä­ ßigkeit der Datenübermittlung sicherstellen sollen.
1

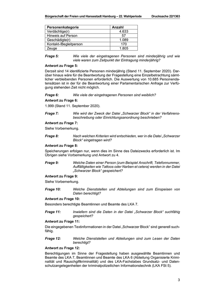
Drucksache 22/1363        Bürgerschaft der Freien und Hansestadt Hamburg – 22. Wahlperiode Die anlässlich der Vorkommnisse im Juli 2017 beim G20-Gipfel am 17. Juli 2017 einge­ richtete „Sonderkommission Schwarzer Block“ hatte eine Vielzahl von Hinweisen und strafrechtlichen Ermittlungsverfahren zu bearbeiten. Nach Auflösung der Sonderkom­ mission im Frühjahr 2020 werden die Ermittlungen in der Abteilung Staatsschutz des Landeskriminalamtes (LKA 7) fortgeführt. Laut Errichtungsanordnung ist der Zweck der Datei folgender: „Die Datei dient der Aufklärung von Straftaten, die im Zusammenhang mit dem G20- Gipfel, insbesondere im Rahmen der schweren Ausschreitungen in der Zeit vom 6. Juli bis 8. Juli 2017, durch eine Vielzahl von Tätern begangen wurden. Ferner dient die Datei der Dokumentation, Recherche und Auswertung von Informationen/Hinweisen im Zusammenhang mit diesem Ermittlungskomplex zum Erkennen von Bezügen zwischen den jeweiligen Einzeltaten oder fortgesetzter Tathandlungen. Gegenstand sind u.a. Ermittlungen wegen des Tatverdachts des besonders schweren Fall des Landfriedensbruchs gem. §§ 125, 125a StGB bzw. Brandstiftung gem. § 306 StGB. Die Datei ist erforderlich, um die Vielfalt der im Zusammenhang mit dem G20-Gipfel begangenen Straftaten recherchefähig in einer geeigneten Datenbankanwendung zu erfassen und auszuwerten.“ Dies vorausgeschickt, beantwortet der Senat die Fragen wie folgt: Frage 1:           Wann wurde die Datei „Schwarzer Block“ eingerichtet? Frage 2:           Auf welcher Rechtsgrundlage erfolgten die Einrichtung der Datei und ihr Betrieb? Antwort zu Fragen 1 und 2: Siehe Vorbemerkung. Frage 3:           Wie lang sind die Speicher- beziehungsweise Lösch- und Prüffristen? Antwort zu Frage 3: Daten aus Dateien, die zu Strafverfolgungszwecken gemäß § 483 StPO eingerichtet sind, werden spätestens nach gerichtlichem Abschluss des Verfahrenskomplexes beziehungsweise – nach vorheriger Absprache mit der Staatsanwaltschaft – ein Jahr nach Einstellung des Verfahrenskomplexes durch die Staatanwaltschaft vollständig gelöscht. Von der Polizei werden Straftaten im Zusammenhang mit dem G20-Gipfel grundsätzlich als ein zusammenhängender Ermittlungskomplex betrachtet. In der Datei „Schwarzer Block“ werden daher Datensätze nach Eingang des zugehörigen Verfahrensausgangs im Rahmen einer Einzelfallprüfung auf die Erforderlichkeit einer weiteren Speicherung für den Ermittlungskomplex geprüft. Eine isolierte Löschung einzelner Datensätze zu Ermittlungsverfahren und Straftätern nach Eingang des Verfahrensausgangs würde den Dateizweck erheblich gefährden. Im Übrigen siehe Vorbemerkung. Frage 4:           Wie viele Personen sind in der Datei „Schwarzer Block“ gegenwärtig eingetragen? Bitte nach Personenkategorien entsprechend der Ein­ tragungsmöglichkeiten (Beschuldigte/-r, Verdächtige/-r, Kontakt-/ Begleitperson, Gefährder/-in et cetera) aufschlüsseln. Antwort zu Frage 4: Derzeit sind 10.699 Personen in der Datei „Schwarzer Block“ gespeichert (Stand 11. September 2020). Diese verteilen sich wie folgt: Tabelle 1 Personenkategorie                           Anzahl Beschuldigte(r)                                  1.194 Beschuldigter(r)_Bildauswertung                  1.057 Beschuldigte(r)_Unbekannt                         694 2
2

Bürgerschaft der Freien und Hansestadt Hamburg – 22. Wahlperiode       Drucksache 22/1363 Personenkategorie                          Anzahl Verdächtige(r)                                  4.633 Hinweis auf Person                                57 Geschädigte(r)                                  1.089 Kontakt-/Begleitperson                           170 Zeuge                                           1.805 Frage 5:           Wie viele der eingetragenen Personen sind minderjährig und wie viele waren zum Zeitpunkt der Eintragung minderjährig? Antwort zu Frage 5: Derzeit sind 14 identifizierte Personen minderjährig (Stand 11. September 2020). Dar­ über hinaus wäre für die Beantwortung der Fragestellung eine Einzelbetrachtung sämt­ licher verbleibenden Personen erforderlich. Die Auswertung von 10.685 Personenda­ tensätzen ist in der für die Beantwortung einer Parlamentarischen Anfrage zur Verfü­ gung stehenden Zeit nicht möglich. Frage 6:           Wie viele der eingetragenen Personen sind weiblich? Antwort zu Frage 6: 1.999 (Stand 11. September 2020). Frage 7:           Wie wird der Zweck der Datei „Schwarzer Block“ in der Verfahrens­ beschreibung oder Einrichtungsanordnung beschrieben? Antwort zu Frage 7: Siehe Vorbemerkung. Frage 8:           Nach welchen Kriterien wird entschieden, wer in die Datei „Schwarzer Block“ eingetragen wird? Antwort zu Frage 8: Speicherungen erfolgen nur, wenn dies im Sinne des Dateizwecks erforderlich ist. Im Übrigen siehe Vorbemerkung und Antwort zu 4. Frage 9:           Welche Daten einer Person (zum Beispiel Anschrift, Telefonnummer, Auffälligkeiten wie Tattoos oder Narben et cetera) werden in der Datei „Schwarzer Block“ gespeichert? Antwort zu Frage 9: Siehe Vorbemerkung. Frage 10:          Welche Dienststellen und Abteilungen sind zum Einspeisen von Daten berechtigt? Antwort zu Frage 10: Besonders berechtigte Beamtinnen und Beamte des LKA 7. Frage 11:          Inwiefern sind die Daten in der Datei „Schwarzer Block“ suchfähig gespeichert? Antwort zu Frage 11: Die eingegebenen Textinformationen in der Datei „Schwarzer Block“ sind generell such­ fähig. Frage 12:          Welche Dienststellen und Abteilungen sind zum Lesen der Daten berechtigt? Antwort zu Frage 12: Berechtigungen im Sinne der Fragestellung haben ausgewählte Beamtinnen und Beamte des LKA 7, Beamtinnen und Beamte des LKA 6 (Abteilung Organisierte Krimi­ nalität und Rauschgiftkriminalität) und des LKA-Fachstabes Grundsatz- und Daten­ schutzangelegenheiten der kriminalpolizeilichen Informationstechnik (LKA FSt 5). 3
3

Drucksache 22/1363        Bürgerschaft der Freien und Hansestadt Hamburg – 22. Wahlperiode Administrative Rechte haben die Dienststellen Informationstechnik (IT 21) und der LKA- Fachstab 5. Frage 13:         Sind auch Dienststellen und Abteilungen der Polizeien anderer Bun­ desländer zur Einsicht in die Datei berechtigt? Wenn ja, in welchem Umfang? Antwort zu Frage 13: Nein. Frage 14:         Enthält die Datei „Schwarzer Block“ auch Erkenntnisse beziehungs­ weise Informationen des Landesamtes für Verfassungsschutz? Wenn ja, wie erfolgt der Informationsaustausch? Antwort zu Frage 14: Ja. Darüber hinaus unterliegt der Informationsaustausch zwischen dem Landesamt für Verfassungsschutz und der Polizei den Geheimschutzvorschriften. Von einer weiter gehenden Beantwortung wird daher abgesehen. Frage 15:         Wie viele Personen wurden seit Errichtung der Datei wieder aus ihr gelöscht? Antwort zu Frage 15: Statistische Daten im Sinne der Fragestellung werden von der Polizei nicht erhoben; darüber hinaus siehe Drs. 21/5286. Frage 16:         Inwieweit überprüft der behördliche Datenschutzbeauftragte der Poli­ zei oder der Hamburgische Beauftragte für Datenschutz und Informa­ tionsfreiheit die Einhaltung der gesetzlichen Vorschriften, insbeson­ dere der Lösch- und Prüffristen? Antwort zu Frage 16: Der behördliche Datenschutzbeauftragte (behDSB) der Polizei wurde über die Einrich­ tung der Datei „Schwarzer Block“ durch die Übersendung einer Kopie der Errichtungs­ anordnung in Kenntnis gesetzt. Eine Überprüfung der Einhaltung von Lösch- und Prüf­ fristen kann durch den behDSB in eigener Verantwortung jederzeit durchgeführt wer­ den. Dateien, die ausschließlich für Zwecke der Strafverfolgung eingerichtet werden, unter­ liegen keiner Meldepflicht gegenüber dem Hamburgischen Beauftragten für Daten­ schutz und Informationsfreiheit (HmbBfDI). Seitens des Hamburgischen Beauftragten für Datenschutz und Informationsfreiheit (HmbBfDI) wird von einer inhaltlichen Stellungnahme abgesehen, da der HmbBfDI mit der zum 1. Januar 2017 in Kraft getretenen Verfassungsänderung über eine auch und gerade vom Senat unabhängige verfassungsrechtliche Stellung (vergleiche Artikel 60a Verfassung der Freien und Hansestadt Hamburg) verfügt. Anfragen nach Artikel 25 der Verfassung der Freien und Hansestadt Hamburg verpflichten jedoch ausdrücklich den Senat. Der Hamburgische Beauftragte für Datenschutz und Informationsfreiheit unter­ liegt demnach ausweislich des Wortlautes sowie angesichts seiner Unabhängigkeit gerade nicht der Pflicht zur Beantwortung. Frage 17:         Wann fand zuletzt eine Überprüfung durch welchen der Datenschutz­ beauftragten mit welchem Ergebnis statt? Antwort zu Frage 17: Eine Überprüfung der Datei „Schwarzer Block“ wurde bisher weder durch den behDSB der Polizei noch durch den HmbBfDI durchgeführt. Im Übrigen siehe Antwort zu 16. 4
4

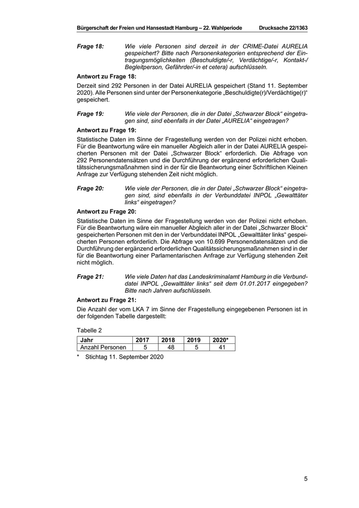
Bürgerschaft der Freien und Hansestadt Hamburg – 22. Wahlperiode     Drucksache 22/1363 Frage 18:          Wie viele Personen sind derzeit in der CRIME-Datei AURELIA gespeichert? Bitte nach Personenkategorien entsprechend der Ein­ tragungsmöglichkeiten (Beschuldigte/-r, Verdächtige/-r, Kontakt-/ Begleitperson, Gefährder/-in et cetera) aufschlüsseln. Antwort zu Frage 18: Derzeit sind 292 Personen in der Datei AURELIA gespeichert (Stand 11. September 2020). Alle Personen sind unter der Personenkategorie „Beschuldigte(r)/Verdächtige(r)“ gespeichert. Frage 19:          Wie viele der Personen, die in der Datei „Schwarzer Block“ eingetra­ gen sind, sind ebenfalls in der Datei „AURELIA“ eingetragen? Antwort zu Frage 19: Statistische Daten im Sinne der Fragestellung werden von der Polizei nicht erhoben. Für die Beantwortung wäre ein manueller Abgleich aller in der Datei AURELIA gespei­ cherten Personen mit der Datei „Schwarzer Block“ erforderlich. Die Abfrage von 292 Personendatensätzen und die Durchführung der ergänzend erforderlichen Quali­ tätssicherungsmaßnahmen sind in der für die Beantwortung einer Schriftlichen Kleinen Anfrage zur Verfügung stehenden Zeit nicht möglich. Frage 20:          Wie viele der Personen, die in der Datei „Schwarzer Block“ eingetra­ gen sind, sind ebenfalls in der Verbunddatei INPOL „Gewalttäter links“ eingetragen? Antwort zu Frage 20: Statistische Daten im Sinne der Fragestellung werden von der Polizei nicht erhoben. Für die Beantwortung wäre ein manueller Abgleich aller in der Datei „Schwarzer Block“ gespeicherten Personen mit den in der Verbunddatei INPOL „Gewalttäter links“ gespei­ cherten Personen erforderlich. Die Abfrage von 10.699 Personendatensätzen und die Durchführung der ergänzend erforderlichen Qualitätssicherungsmaßnahmen sind in der für die Beantwortung einer Parlamentarischen Anfrage zur Verfügung stehenden Zeit nicht möglich. Frage 21:          Wie viele Daten hat das Landeskriminalamt Hamburg in die Verbund­ datei INPOL „Gewalttäter links“ seit dem 01.01.2017 eingegeben? Bitte nach Jahren aufschlüsseln. Antwort zu Frage 21: Die Anzahl der vom LKA 7 im Sinne der Fragestellung eingegebenen Personen ist in der folgenden Tabelle dargestellt: Tabelle 2 Jahr                  2017      2018     2019      2020* Anzahl Personen          5        48         5       41 *   Stichtag 11. September 2020 5
5