Polizei im Land Brandenburg

/ 944
PDF herunterladen
Seite 22 von 183 Auszug aus der Polizeilichen Kriminalstatistik - Polizeidirektion Süd Frage 17: Erfasste Fälle, Aufklärungsquoten für Delikte der Grenzüberschreitenden Kriminalität 2016 Erfasste      Aufgeklärte Fälle         Fälle Schlüssel                                           Bezeichnung Anzahl AQ in % gesamt 630000     Begünstigung, Strafvereitelung, Hehlerei u. Geldwäsche                                                    59             96,6 631000     Hehlerei von Kfz                                                                                          38             94,7 631079     Hehlerei von Kfz gemäß § 259 StGB                                                                         37             94,6 631100     Gewerbsmäßige Hehlerei von Kfz                                                                             1            100,0 632000     Sonstige Hehlerei                                                                                         21            100,0 632079     Sonstige Hehlerei                                                                                         21            100,0 670000     Alle sonstigen ST gemäß StGB - ohne Verkehrsdelikte                                                       22             31,8 670025     Gefährliche Eingriffe in den Straßenverkehr                                                                2             50,0 673000     Beleidigung                                                                                                1            100,0 673010     Beleidigung ohne sex. Grundlage                                                                            1            100,0 674000     Sachbeschädigung                                                                                          12             16,7 674010     Sachbeschädigung (ohne 674100, 674300)                                                                    10             10,0 674019     Sonstige Sachbeschäd. (ohne 674119, 674319)                                                               10             10,0 674100     Sachbeschädigung an Kfz                                                                                    1              0,0 674119     Sonstige Sachbeschädigung an Kfz                                                                           1              0,0 674300     Sonstige Sachb. auf Straßen, Wegen oder Plätzen                                                            1            100,0 674310     Sonst. Sachb. auf Straßen/Wegen/Plätzen gemäß § 303 StGB                                                   1            100,0 674319     Sonstige Sachb. auf Straßen/Wegen/Plätzen                                                                  1            100,0 675000     Sprengstoff- und Strahlungsverbrechen                                                                      4              0,0 675200     Herbeiführen einer Sprengstoffexplosion                                                                    4              0,0 676000     Straftaten gg. die Umwelt                                                                                  3            100,0 676800     Abfallein- / -aus- und -durchfuhr gemäß § 326 Abs. 2 StGB                                                  3            100,0 676810     Ungeneh. Einfuhr von Abfällen § 326 Abs. 2 StGB                                                            1            100,0 676811     Ungeneh. Einfuhr von Abfällen                                                                              1            100,0 676820     Ungeneh. Ausfuhr von Abfällen § 326 Abs. 2 StGB                                                            2            100,0 676821     Ungeneh. Ausfuhr von Abfällen                                                                              2            100,0 700000     Strafrechtliche Nebengesetze                                                                              82             72,0 710000     ST gg. strafrechtl. Nebengesetze auf dem Wirtschaftssektor                                                 6            100,0 715000     ST i.Z.m. Urheberrechtsbestimmungen                                                                        1            100,0 715050     UHG -sonstige Verstöße- (ohne Schl. 715100 u. 725200)                                                      1            100,0 719000     Sonst. ST (Nebengesetze) a. d. Wirtschaftssektor (z.B. RennwG)                                             5            100,0 719079     Sonstige Nebengesetze auf dem Wirtschaftssektor                                                            5            100,0 720000     ST gg. sonstige strafrechtliche Nebengesetze -ohne Verkehrsdelikte-                                       60             61,7 720005     Missbräuchl. Herstellen, Vertreiben oder Ausgeben von amtl. Kennzeichen                                    2             50,0 720079     Sonstige strafrechtliche Nebengesetze                                                                      2             50,0 725000     Straftaten gegen das Aufenthalts-, das Asyl- und das Freizügigkeitsgesetz/EU                              12            100,0 725100     Unerlaubte Einreise gem. § 95 Abs. 1 Nr. 3 und Abs. 2 Nr. 1a Aufenthaltsgesetz                             4            100,0 725110     Unerl. Einreise gemäß § 95 Abs. 1 Nr. 3 Aufenthaltsgesetz                                                  3            100,0 725120     Unerlaubte Wiedereinreise entgegen oder in Zuwiderhandlung eines Einreise- und Aufenthaltsverbotes         1            100,0 725200     Einschleusen von Ausländern gemäß § 96 Aufenthaltsgesetz                                                   1            100,0 725210     Einschleusen v. Ausländern gemäß § 96 Abs. 1 und 4 Aufenthaltsgesetz                                       1            100,0 725700     Unerl. Aufenthalt gem. § 95 Abs. 1 Nr. 1, 2 und Abs. 2 Nr. 1b Aufenthaltsgesetz                            5            100,0 725710     Unerl. Aufenthalt gemäß § 95 Abs. 1 Nr. 1 und 2 AufenthG                                                   4            100,0 725712     Unerl. Aufenthalt nach unerl./ungeklärter Einreise                                                         4            100,0 725720     Unerlaubter Aufenthalt entgegen oder in Zuwiderhandlung eines Einreise- und Aufenthaltsverbotes            1            100,0 725900     Sonstige Verstöße gg. das Aufenthaltsgesetz                                                                2            100,0 726000     ST gg. das Sprengstoff-, das Waffen- und das KriegswaffenkontrollG                                        44             52,3 726100     ST gg. das Sprengstoffgesetz                                                                              30             33,3 726200     ST gg. das Waffengesetz                                                                                   14             92,9 730000     Rauschgiftdelikte -BtMG-                                                                                  16            100,0 731000     Allg. Verstöße gemäß § 29 BtMG (soweit nicht unter 7340 pp. zu erfassen)                                  10            100,0 731200     Allgemeiner Verstoß (§ 29 BtMG) - mit Kokain einschl. Crack                                                1            100,0 731202     Allg. Verstoß (§ 29 BtMG) - Kokain                                                                         1            100,0 731600     Allg. Verstoß mit Amphet. u. Deriv. in Pulver-/flüss.-/Tabl.-/Kapself. (Ecstasy)                           4            100,0 731601     Allg. Verstoß mit Amphet. u. Deriv. in Pulver- oder flüssiger Form                                         4            100,0
321

Seite 23 von 183 Auszug aus der Polizeilichen Kriminalstatistik - Polizeidirektion Süd Frage 17: Erfasste Fälle, Aufklärungsquoten für Delikte der Grenzüberschreitenden Kriminalität 2016 Erfasste        Aufgeklärte Fälle            Fälle Schlüssel                                            Bezeichnung Anzahl AQ in % gesamt 731700     Allg. Verstoß mit Methamphet. in Pulver-/krist.-/flüss.-/Tabl.-/Kapselform                   3            100,0 731702     Allg. Verstoß mit Methamphet. in kristalliner Form (Crystal)                                 3            100,0 731800     Allg. Verstoß (§ 29 BtMG) - mit Cannabis und Zubereitungen                                   1            100,0 731900     Allg. Verstoß (§ 29 BtMG) - mit sonst. Btm                                                   1            100,0 732000     Unerl. Handel/Schmuggel mit/von Rauschgiften gemäß § 29 BtMG                                 2            100,0 732700     Unerl. Handel/Schmuggel Methamphet. in Pulver-/krist.-/flüss.-/Tabl.-/Kapselform             2            100,0 732710     Unerl. Handel mit Methamphet. in Pulver-/krist.-/flüss.-/Tabl.-/Kapselform                   2            100,0 732712     Unerl. Handel mit Methamphet. in kristalliner Form (Crystal)                                 2            100,0 733000     Unerl. Einfuhr von Btm gemäß § 30 Abs. 1 Nr. 4 BtMG (in ngM)                                 4            100,0 733600     Unerl. Einfuhr in ngM v. Amphet./Deriv. in Pulv.-/flüss.-/Tabl.-/Kapself. (Ecs.)             1            100,0 733601     Unerl. Einfuhr in ngM von Amphet./Deriv. in Pulver- oder flüssiger Form                      1            100,0 733700     Unerl. Einfuhr in ngM v. Methamphet. in Pulver-/krist.-/flüss.-/Tabl.-/Kapself.              2            100,0 733702     Unerl. Einfuhr in ngM von Methamphet. in kristalliner Form (Crystal)                         1            100,0 733703     Unerl. Einfuhr in ngM von Methamphet. in Tabl.- bzw. Kapselform                              1            100,0 733800     Unerl. Einfuhr in ngM von Cannabis und Zubereitungen                                         1            100,0 890000     ST insgesamt, o. Verst. g. Aufenth.-, Asyl- u. FreizügigkeitsG/EU                        1.620             37,5 891000     Rauschgiftkriminalität                                                                      16            100,0 892000     Gewaltkriminalität                                                                          21             57,1 893000     Wirtschaftskriminalität und zwar:                                                            4             50,0 893100     Wikri bei Betrug                                                                             1              0,0 894000     KFZ-Kriminalität                                                                           703             28,7 897000     Computerkriminalität                                                                         2             50,0 897100     Computerbetrug                                                                               1              0,0 898000     Straftaten insgesamt auf dem Umwelt- und Verbraucherschutzsektor                             7             42,9 898100     Umweltstraftaten gemäß 29. Abschnitt des StGB                                                3            100,0 898200     Sonstige Straftaten nach dem StGB mit Umweltrelevanz                                         4              0,0 899000     Straßenkriminalität                                                                        844             24,6 899100     Straßenraub                                                                                  7             57,1 899200     Straßendiebstahl                                                                           828             24,2
322

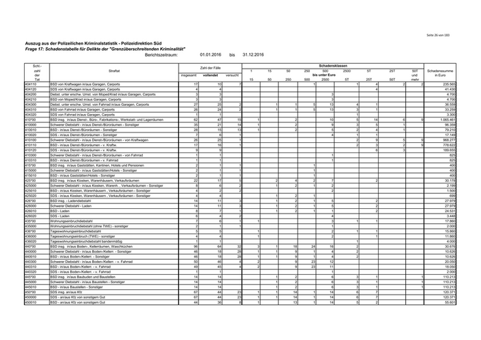
Seite 24 von 183 Auszug aus der Polizeilichen Kriminalstatistik - Polizeidirektion Süd Frage 17: Schadenstabelle für Delikte der "Grenzüberschreitenden Kriminalität" Berichtszeitraum:            01.01.2016       bis      31.12.2016 Schl.-                                                                                                                                                          Schadensklassen Zahl der Fälle zahl                                          Straftat                                                                           1      15     50     250        500        2500    5T      25T    50T     Schadenssumme der                                                                                     insgesamt   vollendet     versucht                                 bis unter Euro                          und           in Euro Tat                                                                                                                             15      50    250     500        2500        5T     25T     50T    mehr ------        Straftaten insgesamt                                                                   1.415         1.050        365         36     48     180    140         200         51     281     68      46          10.222.662 200000        Rohheitsdelikte und ST gg. die persönliche Freiheit                                       13            10           3         1              2      5           1                  1                             23.812 210000        Raub, räuberische Erpressung und räuberischer Angriff auf Kraftfahrer                     13            10           3         1              2      5           1                  1                             23.812 210010        Sonstiger Raub                                                                             1                         1 210040        Räuberischer Diebstahl                                                                     1              1                                   1                                                                       141 211000        Raub, räub. Erpressung auf Geldinstitute, Postfilialen und -agenturen                      1              1                                                                         1                             21.000 211100        Raubüberfälle auf Geldinstitute (Banken/Sparkassen)                                        1              1                                                                         1                             21.000 211120        Schwerer Raub auf Geldinstitute (Banken/Sparkassen)                                        1              1                                                                         1                             21.000 212000        Raubüberfälle auf sonstige Zahlstellen und Geschäfte                                       3              1          2                               1                                                                310 212050        Räub. Erpressung gg. sonstige Zahlstellen oder Geschäfte                                   2                         2 212200        Raubüberfälle auf Tankstellen                                                              1              1                                          1                                                                310 212250        Räub. Erpressung gg. Tankstellen                                                           1              1                                          1                                                                310 216000        Handtaschenraub                                                                            1              1                                          1                                                                300 216010        Handtaschenraub gemäß § 249 StGB                                                           1              1                                          1                                                                300 217000        Sonstige Raubüberfälle auf Straßen, Wegen oder Plätzen                                     6              6                    1              1      3           1                                                 2.061 217010        Sonst. Raub auf Straßen/Wegen/Plätzen                                                      5              5                    1              1      2           1                                                 1.601 217020        Sonst. schw. Raub auf Straßen/Wegen/Plätzen                                                1              1                                          1                                                                460 3*****        Diebstahl ohne erschwerende Umstände                                                     181           158         23         26     33      57     11          25          4       2                             60.637 3**100        EDS insg. von Kraftwagen einschl. unbefugter Gebrauch                                      2              2                                                      1                  1                              6.000 3**300        EDS insg. von Fahrrad einschl. unbefugter Gebrauch                                        15            13           2                1       4      3           5                                                 6.502 300000        EDS - Sonstiger                                                                           53            40         13          6      6      12      4          10          2                                     18.043 300010        EDS - Sonstiger gem. 242, 247, 248a StGB                                                  53            40         13          6      6      12      4          10          2                                     18.043 300100        EDS von Kraftwagen einschl. unbefugter Ingebrauchnahme                                     2              2                                                      1                  1                              6.000 300110        EDS - Diebstahl von Kraftwagen                                                             2              2                                                      1                  1                              6.000 300300        EDS von Fahrrädern einschl. unbefugter Ingebrauchnahme                                    15            13           2                1       4      3           5                                                 6.502 300310        EDS - von Fahrrad                                                                         15            13           2                1       4      3           5                                                 6.502 301*00        EDS in/aus Gärten, Gartenanlagen, Gartenkolonien                                           2              1          1                                           1                                                    800 301000        Sonstiger EDS in/aus Gärten, Gartenanlagen, Gartenkolonien                                 1              1                                                      1                                                    800 301010        Sonstiger EDS in/aus Gärten, Gartenanlagen, Gartenkolonien                                 1              1                                                      1                                                    800 301300        EDS von Fahrrad in/aus Gärten, Gartenanlagen, Gartenkolonien                               1                         1 301310        EDS von Fahrrad in/aus Gärten, Gartenanlagen, Gartenkolonien                               1                         1 302*00        EDS in/aus Bungalow, Gartenlauben                                                          7              2          5                1                          1                                                    530 302000        Sonstiger EDS in/aus Bungalow, Gartenlauben                                                7              2          5                1                          1                                                    530 302010        Sonstiger EDS in/aus Bungalow, Gartenlauben                                                7              2          5                1                          1                                                    530 303*00        EDS in/aus Bungalow, Gartenlauben, Gärten, Gartenanlagen, Gartenkolonien                   9              3          6                1                          2                                                 1.330 304*00        EDS in/aus Garagen, Carports                                                               7              6          1         2      1       2                  1                                                 1.691 304000        Sonstiger "einfacher" Diebstahl in/aus Garagen, Carports                                   7              6          1         2      1       2                  1                                                 1.691 304010        Sonstiger "einfacher" Diebstahl in/aus Garagen, Carports                                   7              6          1         2      1       2                  1                                                 1.691 310*00        EDS insg. in/aus Dienst-, Büro-, Fabrikations-, Werkstatt- und Lagerräumen                 6              3          3                        1                  1                  1                             10.620 310000        EDS - in/aus Dienst-/Büror. - Sonstiger                                                    6              3          3                        1                  1                  1                             10.620 315*00        EDS insg. in/aus Gaststätten, Kantinen, Hotels und Pensionen                               1              1                                                      1                                                 1.000 315000        EDS - in/aus Gaststätten - Sonstiger                                                       1              1                                                      1                                                 1.000 325*00        EDS insg. in/aus Kiosken, Warenhäusern, Verkaufsräumen                                    67            63           4        18     21      17      3           4                                                 6.823 325000        EDS - in/aus Warenhäusern - Sonstiger                                                      4              4                           1       1      1           1                                                 1.112
323

Seite 25 von 183 Auszug aus der Polizeilichen Kriminalstatistik - Polizeidirektion Süd Frage 17: Schadenstabelle für Delikte der "Grenzüberschreitenden Kriminalität" Berichtszeitraum:            01.01.2016       bis      31.12.2016 Schl.-                                                                                                                                                         Schadensklassen Zahl der Fälle zahl                                         Straftat                                                                           1      15     50     250        500        2500    5T      25T    50T     Schadenssumme der                                                                                    insgesamt   vollendet     versucht                                 bis unter Euro                          und           in Euro Tat                                                                                                                            15      50    250     500        2500        5T     25T     50T    mehr 326*00       EDS insg. - Ladendiebstahl                                                               63            59           4        18     20      16      2           3                                                 5.711 326000       EDS - Ladendiebstahl - Sonstiger                                                         63            59           4        18     20      16      2           3                                                 5.711 335*00       EDS insg. in/aus Wohnungen                                                                5              4          1                        1                  1          2                                      8.300 335000       EDS - in/aus Wohnungen - Sonstiger                                                        5              4          1                        1                  1          2                                      8.300 340*00       EDS insg. in/aus Boden-/Kellerräumen, Waschküchen                                         1              1                                   1                                                                        50 340000       EDS - in/aus Boden-/Kellerräumen - Sonstiger                                              1              1                                   1                                                                        50 345*00       EDS insg. in/aus Baubuden und Baustellen                                                  1              1                                                      1                                                    650 345000       EDS - in/aus Baubuden/Baustellen - Sonstiger                                              1              1                                                      1                                                    650 350*00       EDS insg. an/aus Kfz                                                                     27            27                     2      5      20                                                                    1.539 350000       EDS an/aus Kfz von sonstigem Gut                                                         27            27                     2      5      20                                                                    1.539 356000       EDS an Fahrrad - Sonstiger                                                                2              1          1                               1                                                                400 390*00       EDS insg. - Taschendiebstahl                                                              3              3                                   1      1           1                                                 1.110 390000       EDS - Taschendiebstahl - Sonstiger                                                        3              3                                   1      1           1                                                 1.110 4*****       Diebstahl unter erschwerenden Umständen                                               1.179           848        331          7     11     110    123         169         46     277     64      41           9.338.631 4**100       BSD insg. von Kraftwagen                                                                556           393        163                                3          18         22     251     61      38           8.482.371 4**200       BSD insg. von Moped/Krad                                                                  3              3                                                      3                                                 4.700 4**300       BSD insg. von Fahrrad                                                                   231           214         17          2      1      41     91          72          6       1                            125.875 4**800       BSD insg. von Antiquitäten, Kunst- und sakralen Gegenständen                              1              1                                                                                1                      30.000 400000       Schwerer Diebstahl - Sonstiger                                                          194           116         78          1      5      38     24          33          3       9      1       2             309.678 400010       BSD - Sonstiger                                                                         190           114         76          1      5      37     24          32          3       9      1       2             309.128 400020       Sonstiger schwerer Diebstahl (ohne WED)                                                   4              2          2                        1                  1                                                    550 400100       Schwerer Diebstahl von Kraftwagen                                                       530           368        162                                3          18         20     242     56      29           7.514.094 400110       BSD - von Kraftwagen                                                                    472           327        145                                3          18         17     223     47      19           6.257.170 400120       SDS - von Kraftwagen                                                                     58            41         17                                                       3      19      9      10           1.256.924 400200       Schwerer Diebstahl von Mopeds und Krafträdern                                             3              3                                                      3                                                 4.700 400210       BSD - von Moped/Krad                                                                      3              3                                                      3                                                 4.700 400300       Schwerer Diebstahl von Fahrrädern                                                       180           167         13                 1      32     68          59          6       1                            105.000 400310       BSD - von Fahrrad                                                                       179           166         13                 1      32     68          59          5       1                            101.700 400320       SDS - von Fahrrad                                                                         1              1                                                                 1                                      3.300 400800       Schwerer Diebstahl von Antiquitäten, Kunst- und sakralen Gegenständen                     1              1                                                                                1                      30.000 400810       BSD - von Antiquität                                                                      1              1                                                                                1                      30.000 401*00       Diebst. unter erschw. Umst. in/aus Gärten, Gartenanlagen, Gartenkolonien                 33            25           8         1              9      8           7                                                11.799 401000       Sonstiger Diebst. unter erschw. Umst. in/aus Gärten, Gartenanl., Gartenkolonien          33            25           8         1              9      8           7                                                11.799 401010       Sonstiger BSD in/aus Gärten, Gartenanlagen, Gartenkolonien                               33            25           8         1              9      8           7                                                11.799 402*00       Diebst. unter erschw. Umst. in/aus Bungalow, Gartenlauben                                42            27         15                 3       9      4          10          1                                     16.963 402000       Sonstiger Diebst. unter erschw. Umst. in/aus Bungalow, Gartenlauben                      41            26         15                 3       9      4           9          1                                     14.673 402010       Sonstiger BSD in/aus Bungalow, Gartenlauben                                              41            26         15                 3       9      4           9          1                                     14.673 402300       Diebst. unter erschw. Umst. von Fahrrad in/aus Bungalow, Gartenlauben                     1              1                                                      1                                                 2.290 402310       BSD von Fahrrad in/aus Bungalow, Gartenlauben                                             1              1                                                      1                                                 2.290 403*00       Diebst. u. erschw. Umst. in/aus Bungalow, Gartenl., Gärten, Gartenanl., Gartenk.         75            52         23          1      3      18     12          17          1                                     28.762 404*00       Diebst. unter erschw. Umst. in/aus Garagen, Carports                                    112            76         36                 3      15     12          24          6      12      2       2             353.464 404000       Sonstiger Diebst. unter erschw. Umst. in/aus Garagen, Carports                           61            34         27                 2      14      6           8          1       3                             35.210 404010       Sonstiger BSD in/aus Garagen, Carports                                                   61            34         27                 2      14      6           8          1       3                             35.210 404100       Diebst. unter erschw. Umst. von Kraftwagen in/aus Garagen, Carports                      21            14           7                               1                      1       8      2       2             276.995
324

Seite 26 von 183 Auszug aus der Polizeilichen Kriminalstatistik - Polizeidirektion Süd Frage 17: Schadenstabelle für Delikte der "Grenzüberschreitenden Kriminalität" Berichtszeitraum:           01.01.2016       bis      31.12.2016 Schl.-                                                                                                                                                       Schadensklassen Zahl der Fälle zahl                                          Straftat                                                                          1      15    50    250        500        2500   5T     25T   50T    Schadenssumme der                                                                                     insgesamt  vollendet     versucht                               bis unter Euro                       und          in Euro Tat                                                                                                                            15      50   250    500        2500        5T    25T    50T   mehr 404110      BSD von Kraftwagen in/aus Garagen, Carports                                              17            10           7                             1                     1      4     2      2             235.565 404120      SDS von Kraftwagen in/aus Garagen, Carports                                               4              4                                                                     4                           41.430 404200      Diebst. unter erschw. Umst. von Moped/Krad in/aus Garagen, Carports                       3              3                                                    3                                             4.700 404210      BSD von Moped/Krad in/aus Garagen, Carports                                               3              3                                                    3                                             4.700 404300      Diebst. unter erschw. Umst. von Fahrrad in/aus Garagen, Carports                         27            25           2               1      1      5          13         4      1                           36.559 404310      BSD von Fahrrad in/aus Garagen, Carports                                                 26            24           2               1      1      5          13         3      1                           33.259 404320      SDS von Fahrrad in/aus Garagen, Carports                                                  1              1                                                              1                                   3.300 410*00      BSD insg. in/aus Dienst-, Büro-, Fabrikations-, Werkstatt- und Lagerräumen               62            47         15         1             2                 10         5     14     6      9           1.065.461 410000      Schwerer Diebstahl - in/aus Dienst-/Büroräumen - Sonstiger                               35            21         14         1             2                  9         3      5     1                     96.359 410010      BSD - in/aus Dienst-/Büroräumen - Sonstiger                                              28            15         13         1             2                  5         2      4     1                     79.210 410020      SDS - in/aus Dienst-/Büroräumen - Sonstiger                                               7              6          1                                         4         1      1                           17.149 410100      Schwerer Diebstahl - in/aus Dienst-/Büroräumen - von Kraftwagen                          26            25           1                                                   2      9     5      9             968.277 410110      BSD - in/aus Dienst-/Büroräumen - v. Kraftw.                                             17            16           1                                                   2      3     2      9             778.622 410120      SDS - in/aus Dienst-/Büroräumen - v. Kraftw.                                              9              9                                                                     6     3                    189.655 410300      Schwerer Diebstahl - in/aus Dienst-/Büroräumen - von Fahrrad                              1              1                                                    1                                                825 410310      BSD - in/aus Dienst-/Büroräumen - v. Fahrrad                                              1              1                                                    1                                                825 415*00      BSD insg. in/aus Gaststätten, Kantinen, Hotels und Pensionen                              2              1          1                             1                                                            400 415000      Schwerer Diebstahl - in/aus Gaststätten/Hotels - Sonstiger                                2              1          1                             1                                                            400 415010      BSD - in/aus Gaststätten/Hotels - Sonstiger                                               2              1          1                             1                                                            400 425*00      BSD insg. in/aus Kiosken, Warenhäusern, Verkaufsräumen                                   22            17           5               2      4      2           7                2                           30.178 425000      Schwerer Diebstahl - in/aus Kiosken, Warenh. , Verkaufsräumen - Sonstiger                 8              6          2               1      2      1           2                                             2.199 425010      BSD - in/aus Kiosken, Warenhäusern , Verkaufsräumen - Sonstiger                           4              2          2                                         2                                             1.500 425020      SDS - in/aus Kiosken, Warenhäusern , Verkaufsräumen - Sonstiger                           4              4                          1      2      1                                                            699 426*00      BSD insg. - Ladendiebstahl                                                               14            11           3               1      2      1           5                2                           27.979 426000      Schwerer Diebstahl - Laden                                                               14            11           3               1      2      1           5                2                           27.979 426010      BSD - Laden                                                                               8              7          1               1      2      1           1                2                           24.531 426020      SDS - Laden                                                                               6              4          2                                         4                                             3.448 435*00      Wohnungseinbruchdiebstahl                                                                 7              6          1        1                                3         1      1                           17.860 435000      Wohnungseinbruchdiebstahl (ohne TWE) - sonstiger                                          2              1          1                                         1                                             2.000 436*00      Tageswohnungseinbruchdiebstahl                                                            5              5                   1                                2         1      1                           15.860 436000      Tageswohnungseinbruch (TWE) - sonstiger                                                   4              4                   1                                2                1                           11.860 436020      Tageswohnungseinbruchdiebstahl bandenmäßig                                                1              1                                                              1                                   4.000 440*00      BSD insg. in/aus Boden-, Kellerräumen, Waschküchen                                       96            64         32         3      1     18     24          16         2                                  30.676 440000      Schwerer Diebstahl - in/aus Boden-/Kellerr. - Sonstiger                                  46            18         28         1      1      9      1           4         2                                  10.626 440010      BSD - in/aus Boden-/Kellerr. - Sonstiger                                                 46            18         28         1      1      9      1           4         2                                  10.626 440300      Schwerer Diebstahl - in/aus Boden-/Kellerr. - v. Fahrrad                                 50            46           4        2             9     23          12                                            20.050 440310      BSD - in/aus Boden-/Kellerr. - v. Fahrrad                                                49            45           4        2             9     23          11                                            18.050 440320      SDS - in/aus Boden-/Kellerr. - v. Fahrrad                                                 1              1                                                    1                                             2.000 445*00      BSD insg. in/aus Baubuden und Baustellen                                                 14            14                           1      2                  6         3      1            1             110.213 445000      Schwerer Diebstahl - in/aus Baustellen - Sonstiger                                       14            14                           1      2                  6         3      1            1             110.213 445010      BSD - in/aus Baustellen - Sonstiger                                                      14            14                           1      2                  6         3      1            1             110.213 450*00      SDS insg. an/aus Kfz                                                                     67            44         23         1      1     14      1          14         6      7                          120.371 450000      SDS - an/aus Kfz von sonstigem Gut                                                       67            44         23         1      1     14      1          14         6      7                          120.371 450010      BSD - an/aus Kfz von sonstigem Gut                                                       44            36           8        1            13      1          14         5      2                           55.601
325

Seite 27 von 183 Auszug aus der Polizeilichen Kriminalstatistik - Polizeidirektion Süd Frage 17: Schadenstabelle für Delikte der "Grenzüberschreitenden Kriminalität" Berichtszeitraum:             01.01.2016       bis      31.12.2016 Schl.-                                                                                                                                                             Schadensklassen Zahl der Fälle zahl                                          Straftat                                                                             1      15     50     250        500        2500    5T      25T    50T     Schadenssumme der                                                                                       insgesamt   vollendet     versucht                                 bis unter Euro                          und           in Euro Tat                                                                                                                               15      50    250     500        2500        5T     25T     50T    mehr 450020      SDS - an/aus Kfz von sonstigem Gut                                                           23              8        15                 1       1                             1       5                             64.770 456000      Diebst. unter erschw. Umst. an Fahrrad - Sonstiger                                            6              4          2                               1           3                                                 1.847 460000      Diebst. unter erschw. Umst. von/in/aus sonstigen Wasserfahrzeugen                             2              2                                                      1                  1                             13.000 467000      Diebst. unter erschw. Umst. von Bootsmotoren                                                  2              2                                                      1                  1                             13.000 468000      Diebst. unter erschw. Umst. von Bootsmotoren, spez. Außenbootsmotoren                         2              2                                                      1                  1                             13.000 490*00      BSD insg. - Taschendiebstahl                                                                  1                         1 490000      Schwerer Taschendiebstahl - Sonstiger                                                         1                         1 490020      SDS - Taschendiebstahl                                                                        1                         1 ****00      Diebstahl insgesamt                                                                       1.360         1.006        354         33     44     167    134         194         50     279     64      41           9.399.268 ***100      Diebstahl insg. von Kraftwagen einschl. unbefugter Gebrauch                                 558           395        163                                3          19         22     252     61      38           8.488.371 ***200      Diebstahl insg. von Moped/Krad einschl. unbefugte Gebrauch                                    3              3                                                      3                                                 4.700 ***300      Diebstahl insg. von Fahrrad einschl. unbefugter Gebrauch                                    246           227         19          2      2      45     94          77          6       1                            132.377 ***800      Diebstahl insg. von Antiquitäten, Kunst- und sakralen Gegenständen                            1              1                                                                                1                      30.000 *00000      Diebstahl insg. - Sonstiger                                                                 247           156         91          7     11      50     28          43          5       9      1       2             327.721 *01*00      Diebstahl insg. in/aus Gärten, Gartenanlagen, Gartenkolonien                                 35            26           9         1              9      8           8                                                12.599 *02*00      Diebstahl insg. in/aus Bungalow, Gartenlauben                                                49            29         20                 4       9      4          11          1                                     17.493 *03*00      Diebstahl insg. in/aus Bungalow, Gartenl., Gärten, Gartenanl., Gartenk.                      84            55         29          1      4      18     12          19          1                                     30.092 *04*00      Diebstahl insg. in/aus Garagen, Carports                                                    119            82         37          2      4      17     12          25          6      12      2       2             355.155 *10*00      Diebstahl insg. in/aus Dienst-, Büro-, Fabrikations-,Werkstatt- u. Lagerräumen               68            50         18          1              3                 11          5      15      6       9           1.076.081 *15*00      Diebstahl insg. in/aus Gaststätten, Kantinen, Hotels und Pensionen                            3              2          1                               1           1                                                 1.400 *25*00      Diebstahl insg. in/aus Kiosken, Warenhäusern, Verkaufsräumen                                 89            80           9        18     23      21      5          11                  2                             37.001 *26*00      Diebstahl insg. Ladendiebstahl                                                               77            70           7        18     21      18      3           8                  2                             33.690 *35*00      Diebstahl insg. in/aus Wohnungen                                                             12            10           2         1              1                  4          3       1                             26.160 *36*00      Tageswohnungseinbruch                                                                         5              5                    1                                 2          1       1                             15.860 *40*00      Diebstahl insg. in/aus Boden-, Kellerräumen und Waschküchen                                  97            65         32          3      1      19     24          16          2                                     30.726 *45*00      Diebstahl insg. in/aus Baubuden und Baustellen                                               15            15                            1       2                  7          3       1              1             110.863 *50*00      Diebstahl insg. an/aus Kfz                                                                   94            71         23          3      6      34      1          14          6       7                            121.910 *56000      Diebstahl insg. an Fahrrad                                                                    8              5          3                               2           3                                                 2.247 *60000      Diebstahl insg. von/in/aus Wasserfahrzeugen                                                   2              2                                                      1                  1                             13.000 *67000      Diebstahl insg. von Bootsmotoren                                                              2              2                                                      1                  1                             13.000 *68000      Diebstahl insg. von Bootsmotoren, spez. Außenbootsmotoren                                     2              2                                                      1                  1                             13.000 *90*00      Diebstahl insg. Taschendiebstahl                                                              4              3          1                        1      1           1                                                 1.110 500000      Vermögens- und Fälschungsdelikte                                                             40            33           7         1      4      11      1           5          1       1      4       5             799.581 510000      Betrug                                                                                       36            29           7                4      11                  4          1       1      3       5             757.130 511000      Waren- und Warenkreditbetrug                                                                 19            19                            4       7                  2                         3       3             328.422 511100      Betrügerisches Erlangen von Kfz                                                               6              6                                                                                3       3             325.000 511110      Betrügerisches Erlangen von Kfz § 263                                                         6              6                                                                                3       3             325.000 511200      Sonstiger Warenkreditbetrug                                                                  12            12                            4       7                  1                                                 1.722 511201      Tankbetrug                                                                                   11            11                            4       7                                                                       592 511210      Weitere Arten des Warenkreditbetruges                                                         1              1                                                      1                                                 1.130 511211      Weitere Arten des Warenkreditbetruges § 263                                                   1              1                                                      1                                                 1.130 511300      Warenbetrug                                                                                   1              1                                                      1                                                 1.700 516000      Betrug bzw. Computerbetrug mittels rechtswidrig erlangter unbarer Zahlungsmittel              1              1                                                                 1                                      3.195 516200      Betrug mittels rechtswidrig erlangter Zahlungskarten ohne PIN (Lastschriftverfahren)          1              1                                                                 1                                      3.195
326

Seite 28 von 183 Auszug aus der Polizeilichen Kriminalstatistik - Polizeidirektion Süd Frage 17: Schadenstabelle für Delikte der "Grenzüberschreitenden Kriminalität" Berichtszeitraum:            01.01.2016       bis      31.12.2016 Schl.-                                                                                                                                                           Schadensklassen Zahl der Fälle zahl                                           Straftat                                                                           1      15     50     250        500        2500    5T      25T    50T     Schadenssumme der                                                                                      insgesamt   vollendet     versucht                                 bis unter Euro                          und           in Euro Tat                                                                                                                              15      50    250     500        2500        5T     25T     50T    mehr 517000      Sonstiger Betrug                                                                          16              9          7                        4                  2                  1              2             425.513 517500      Computerbetrug (sonstiger)                                                                 1              1                                                      1                                                    524 517510      Computerbetrug (sonstiger) § 263a Abs. 1 und 2 StGB                                        1              1                                                      1                                                    524 518300      Überweisungsbetrug                                                                         5              2          3                        1                  1                                                    789 518301      Überweisungsbetrug § 263 StGB                                                              5              2          3                        1                  1                                                    789 518900      Sonstige weitere Betrugsarten                                                             10              6          4                        3                                     1              2             424.200 530000      Unterschlagung                                                                             4              4                    1                     1           1                         1                      42.451 530079      Unterschlagung sonstiger Güter/Sachen gemäß §§ 246, 247 StGB - ohne von Kfz                1              1                                          1                                                                300 531000      Unterschlagung von Kfz                                                                     3              3                    1                                 1                         1                      42.151 600000      Sonstige Straftatbestände (StGB)                                                           1                         1 610000      Erpressung                                                                                 1                         1 610079      Sonstige Erpressung                                                                        1                         1 700000      Strafrechtliche Nebengesetze                                                               1              1                    1                                                                                        1 710000      ST gg. strafrechtl. Nebengesetze auf dem Wirtschaftssektor                                 1              1                    1                                                                                        1 715000      ST i.Z.m. Urheberrechtsbestimmungen                                                        1              1                    1                                                                                        1 715050      UHG -sonstige Verstöße- (ohne Schl. 715100 u. 725200)                                      1              1                    1                                                                                        1 890000      ST insgesamt, o. Verst. g. Aufenth.-, Asyl- u. FreizügigkeitsG/EU                      1.415         1.050        365         36     48     180    140         200         51     281     68      46          10.222.662 892000      Gewaltkriminalität                                                                        13            10           3         1              2      5           1                  1                             23.812 893000      Wirtschaftskriminalität und zwar:                                                          1              1                                                      1                                                    524 893100      Wikri bei Betrug                                                                           1              1                                                      1                                                    524 894000      KFZ-Kriminalität                                                                         664           478        186          4      6      34      4          37         28     259     65      41           8.982.132 897000      Computerkriminalität                                                                       1              1                                                      1                                                    524 897100      Computerbetrug                                                                             1              1                                                      1                                                    524 899000      Straßenkriminalität                                                                      835           634        201          4      8      72     80         102         32     251     56      29           7.761.677 899100      Straßenraub                                                                                7              7                    1              1      4           1                                                 2.361 899200      Straßendiebstahl                                                                         828           627        201          3      8      71     76         101         32     251     56      29           7.759.316
327

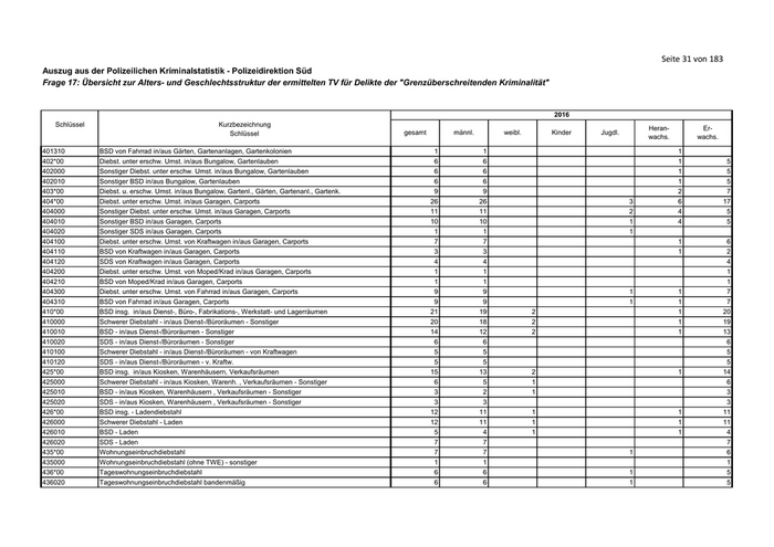
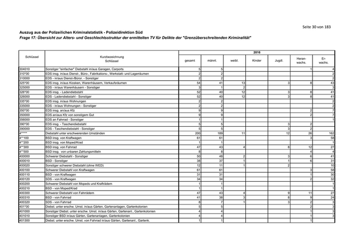
Seite 29 von 183 Auszug aus der Polizeilichen Kriminalstatistik - Polizeidirektion Süd Frage 17: Übersicht zur Alters- und Geschlechtsstruktur der ermittelten TV für Delikte der "Grenzüberschreitenden Kriminalität" 2016 Schlüssel                                         Kurzbezeichnung Heran-         Er- Schlüssel                        gesamt     männl.      weibl.       Kinder Jugdl. wachs.        wachs. ------          Straftaten insgesamt                                                               459        416         43                  28         58           373 200000          Rohheitsdelikte und ST gg. die persönliche Freiheit                                 28         27          1                   4          6            18 210000          Raub, räuberische Erpressung und räuberischer Angriff auf Kraftfahrer               12         11          1                   2          2             8 210010          Sonstiger Raub                                                                       3          3                                                       3 210040          Räuberischer Diebstahl                                                               1          1                                         1 211000          Raub, räub. Erpressung auf Geldinstitute, Postfilialen und -agenturen                3          3                                                       3 211100          Raubüberfälle auf Geldinstitute (Banken/Sparkassen)                                  3          3                                                       3 211120          Schwerer Raub auf Geldinstitute (Banken/Sparkassen)                                  3          3                                                       3 212000          Raubüberfälle auf sonstige Zahlstellen und Geschäfte                                 1          1                                                       1 212050          Räub. Erpressung gg. sonstige Zahlstellen oder Geschäfte                             1          1                                                       1 217000          Sonstige Raubüberfälle auf Straßen, Wegen oder Plätzen                               4          3          1                   2          1             1 217010          Sonst. Raub auf Straßen/Wegen/Plätzen                                                3          2          1                   1          1             1 217020          Sonst. schw. Raub auf Straßen/Wegen/Plätzen                                          1          1                              1 220000          Körperverletzung                                                                    15         15                              2          3            10 222000          Gefährliche und schwere Körperverletzung                                             5          5                                         1             4 222100          Gefährliche und schwere Körperverletzung auf Straßen, Wegen oder Plätzen             5          5                                         1             4 222110          Gefährl. Körperverletzung gemäß § 224 StGB                                           5          5                                         1             4 224000          Vorsätzliche einfache Körperverletzung § 223 StGB                                   10         10                              2          2             6 230000          ST gg. die persönliche Freiheit                                                      1          1                                         1 232000          Freiheitsber., Nötigung, Bedrohung, Zwangsheirat, Nachstellung (Stalking)            1          1                                         1 232200          Nötigung                                                                             1          1                                         1 232279          Sonstige Nötigung                                                                    1          1                                         1 3*****          Diebstahl ohne erschwerende Umstände                                               104         87         17                   8         17            79 3**300          EDS insg. von Fahrrad einschl. unbefugter Gebrauch                                  12         11          1                   2          2             8 300000          EDS - Sonstiger                                                                     30         26          4                   1          4            25 300010          EDS - Sonstiger gem. 242, 247, 248a StGB                                            30         26          4                   1          4            25 300300          EDS von Fahrrädern einschl. unbefugter Ingebrauchnahme                              12         11          1                   2          2             8 300310          EDS - von Fahrrad                                                                   12         11          1                   2          2             8 301*00          EDS in/aus Gärten, Gartenanlagen, Gartenkolonien                                     2          2                                                       2 301300          EDS von Fahrrad in/aus Gärten, Gartenanlagen, Gartenkolonien                         2          2                                                       2 301310          EDS von Fahrrad in/aus Gärten, Gartenanlagen, Gartenkolonien                         2          2                                                       2 303*00          EDS in/aus Bungalow, Gartenlauben, Gärten, Gartenanlagen, Gartenkolonien             2          2                                                       2 304*00          EDS in/aus Garagen, Carports                                                         5          5                                         1             4 304000          Sonstiger "einfacher" Diebstahl in/aus Garagen, Carports                             5          5                                         1             4
328

Seite 30 von 183 Auszug aus der Polizeilichen Kriminalstatistik - Polizeidirektion Süd Frage 17: Übersicht zur Alters- und Geschlechtsstruktur der ermittelten TV für Delikte der "Grenzüberschreitenden Kriminalität" 2016 Schlüssel                                         Kurzbezeichnung Heran-         Er- Schlüssel                           gesamt     männl.     weibl.     Kinder Jugdl. wachs.        wachs. 304010         Sonstiger "einfacher" Diebstahl in/aus Garagen, Carports                                 5          5                                      1             4 310*00         EDS insg. in/aus Dienst-, Büro-, Fabrikations-, Werkstatt- und Lagerräumen               2          2                                                    2 310000         EDS - in/aus Dienst-/Büror. - Sonstiger                                                  2          2                                                    2 325*00         EDS insg. in/aus Kiosken, Warenhäusern, Verkaufsräumen                                  54         41        13                 3          8            43 325000         EDS - in/aus Warenhäusern - Sonstiger                                                    3          1         2                                          3 326*00         EDS insg. - Ladendiebstahl                                                              52         40        12                 3          8            41 326000         EDS - Ladendiebstahl - Sonstiger                                                        52         40        12                 3          8            41 335*00         EDS insg. in/aus Wohnungen                                                               2          2                                                    2 335000         EDS - in/aus Wohnungen - Sonstiger                                                       2          2                                                    2 350*00         EDS insg. an/aus Kfz                                                                     9          9                                      2             7 350000         EDS an/aus Kfz von sonstigem Gut                                                         9          9                                      2             7 356000         EDS an Fahrrad - Sonstiger                                                               1          1                                                    1 390*00         EDS insg. - Taschendiebstahl                                                             5          5                           3          2 390000         EDS - Taschendiebstahl - Sonstiger                                                       5          5                           3          2 4*****         Diebstahl unter erschwerenden Umständen                                                200        189        11                12         26           162 4**100         BSD insg. von Kraftwagen                                                                61         61                                      3            58 4**200         BSD insg. von Moped/Krad                                                                 1          1                                                    1 4**300         BSD insg. von Fahrrad                                                                   47         43         4                 8         12            27 4**500         BSD insg. von unbaren Zahlungsmitteln                                                    8          8                                      4             4 400000         Schwerer Diebstahl - Sonstiger                                                          50         48         2                 3          6            41 400010         BSD - Sonstiger                                                                         38         37         1                 1          6            31 400020         Sonstiger schwerer Diebstahl (ohne WED)                                                 12         11         1                 2                       10 400100         Schwerer Diebstahl von Kraftwagen                                                       61         61                                      3            58 400110         BSD - von Kraftwagen                                                                    31         31                                      1            30 400120         SDS - von Kraftwagen                                                                    34         34                                      2            32 400200         Schwerer Diebstahl von Mopeds und Krafträdern                                            1          1                                                    1 400210         BSD - von Moped/Krad                                                                     1          1                                                    1 400300         Schwerer Diebstahl von Fahrrädern                                                       47         43         4                 9         11            27 400310         BSD - von Fahrrad                                                                       41         38         3                 8          9            24 400320         SDS - von Fahrrad                                                                        8          7         1                 3          2             3 401*00         Diebst. unter erschw. Umst. in/aus Gärten, Gartenanlagen, Gartenkolonien                 5          5                                      2             3 401000         Sonstiger Diebst. unter erschw. Umst. in/aus Gärten, Gartenanl., Gartenkolonien          4          4                                      1             3 401010         Sonstiger BSD in/aus Gärten, Gartenanlagen, Gartenkolonien                               4          4                                      1             3 401300         Diebst. unter erschw. Umst. von Fahrrad in/aus Gärten, Gartenanl., Gartenk.              1          1                                      1
329

Seite 31 von 183 Auszug aus der Polizeilichen Kriminalstatistik - Polizeidirektion Süd Frage 17: Übersicht zur Alters- und Geschlechtsstruktur der ermittelten TV für Delikte der "Grenzüberschreitenden Kriminalität" 2016 Schlüssel                                         Kurzbezeichnung Heran-         Er- Schlüssel                             gesamt    männl.    weibl.       Kinder Jugdl. wachs.        wachs. 401310        BSD von Fahrrad in/aus Gärten, Gartenanlagen, Gartenkolonien                             1         1                                       1 402*00        Diebst. unter erschw. Umst. in/aus Bungalow, Gartenlauben                                6         6                                       1            5 402000        Sonstiger Diebst. unter erschw. Umst. in/aus Bungalow, Gartenlauben                      6         6                                       1            5 402010        Sonstiger BSD in/aus Bungalow, Gartenlauben                                              6         6                                       1            5 403*00        Diebst. u. erschw. Umst. in/aus Bungalow, Gartenl., Gärten, Gartenanl., Gartenk.         9         9                                       2            7 404*00        Diebst. unter erschw. Umst. in/aus Garagen, Carports                                    26        26                            3          6           17 404000        Sonstiger Diebst. unter erschw. Umst. in/aus Garagen, Carports                          11        11                            2          4            5 404010        Sonstiger BSD in/aus Garagen, Carports                                                  10        10                            1          4            5 404020        Sonstiger SDS in/aus Garagen, Carports                                                   1         1                            1 404100        Diebst. unter erschw. Umst. von Kraftwagen in/aus Garagen, Carports                      7         7                                       1            6 404110        BSD von Kraftwagen in/aus Garagen, Carports                                              3         3                                       1            2 404120        SDS von Kraftwagen in/aus Garagen, Carports                                              4         4                                                    4 404200        Diebst. unter erschw. Umst. von Moped/Krad in/aus Garagen, Carports                      1         1                                                    1 404210        BSD von Moped/Krad in/aus Garagen, Carports                                              1         1                                                    1 404300        Diebst. unter erschw. Umst. von Fahrrad in/aus Garagen, Carports                         9         9                            1          1            7 404310        BSD von Fahrrad in/aus Garagen, Carports                                                 9         9                            1          1            7 410*00        BSD insg. in/aus Dienst-, Büro-, Fabrikations-, Werkstatt- und Lagerräumen              21        19        2                              1           20 410000        Schwerer Diebstahl - in/aus Dienst-/Büroräumen - Sonstiger                              20        18        2                              1           19 410010        BSD - in/aus Dienst-/Büroräumen - Sonstiger                                             14        12        2                              1           13 410020        SDS - in/aus Dienst-/Büroräumen - Sonstiger                                              6         6                                                    6 410100        Schwerer Diebstahl - in/aus Dienst-/Büroräumen - von Kraftwagen                          5         5                                                    5 410120        SDS - in/aus Dienst-/Büroräumen - v. Kraftw.                                             5         5                                                    5 425*00        BSD insg. in/aus Kiosken, Warenhäusern, Verkaufsräumen                                  15        13        2                              1           14 425000        Schwerer Diebstahl - in/aus Kiosken, Warenh. , Verkaufsräumen - Sonstiger                6         5        1                                           6 425010        BSD - in/aus Kiosken, Warenhäusern , Verkaufsräumen - Sonstiger                          3         2        1                                           3 425020        SDS - in/aus Kiosken, Warenhäusern , Verkaufsräumen - Sonstiger                          3         3                                                    3 426*00        BSD insg. - Ladendiebstahl                                                              12        11        1                              1           11 426000        Schwerer Diebstahl - Laden                                                              12        11        1                              1           11 426010        BSD - Laden                                                                              5         4        1                              1            4 426020        SDS - Laden                                                                              7         7                                                    7 435*00        Wohnungseinbruchdiebstahl                                                                7         7                            1                       6 435000        Wohnungseinbruchdiebstahl (ohne TWE) - sonstiger                                         1         1                                                    1 436*00        Tageswohnungseinbruchdiebstahl                                                           6         6                            1                       5 436020        Tageswohnungseinbruchdiebstahl bandenmäßig                                               6         6                            1                       5
330

Zur nächsten Seite