Topf Secret bei der Senatsverwaltung für Justiz Berlin

Dieses Dokument ist Teil der Anfrage „Dokumente zu "Topf Secret"

/ 176
PDF herunterladen
/~ A....No.Js~-l~ Um sicherzustellen, dass der Bescheid tatsächlich dem Antragstelle(zugeht, empfeh- le ich diesen ~isht per E Ma~sonel~r~ per Post fr1 oine zustellungsf-ät-ti@e Adresse zu v.erschieken. ~~LA-. Der Informationsanspruch nach § 2 Abs. 1 VIG 9ateft umfasst festgestellte nicht zu- lässige Abweichungen von bestimmten dort genannten gesetzlichen Anforderungen. Da die Kontrollberichte weitere, .über diesen Umfang hinausgehende Informationen,. beinhalten, empfehle ich, vor Herausgabe entweder die weitergehenden Informatio- nen im Kontrollbericht unkenntlich zu machen oder einen Auszug anzufertigen. Antragstelle~fra­ Hinwersen möchte ich noch auf ·die Problematik, dass die gen der W.eitergabe ihres Namens L,fnd ihrer Adresse. auf Nachfrage der betroffenen Lebensmittelunternehmer, wie§ 5 Abs. 2 VIG es vorsieht, widersprechen. Ein solcher Widerspruch gemäß Art. 21 DSGVO ist aber nicht möglichtsoweit es sich- wie hier- urri eine gesetzliche Verpflichtung der Datenweitergabe handelt. Insofern müssten die Antragsteller darauf hingewiesen werden, dass die Behörde auf Nachfrage zu einer · Weitergabe verpflichtet ist. Dies könnte bereits im Rahmen der Zwischennachricht er- folgen· oder erst, wenn tatsächlich eine solche Nachfrage eines Lebehsmittelunter- . nehmers gestellt wird. V Anbei sende ich Ihnen das Prüfschema (Anlage 2}, welches die Senatsverwaltung für Justiz, . Verbraucherschutz und Antidiskriminierung Antragsverfahren nach VIG zugrunde legt. Mit freundlichen GrüBen Margit Gottstein 2. Schreiben zu 1 per Post an Adressaten laut Liste 3:>-.~ 3.ZV - !ll4(/f. .·.. _!.!_. (s\~ cLO.U: ~~' ()..-.: ~Q~ ) ~ CA.JG.tt) V/A 2.-V\ VA....{ c:v( V VA'+ LL.{ StSin VA (EU): r AtiL V VALi~ \.J;? .. VB 'ZA-1- . · . ADzrj1
35

BzStRVetleb Mai I-Verteiler Stand: 21.01.2019 BA Charlottenburg-Wilmersdorf von Berlin Leiter der Abt. Bürgerdienste, Wirtschafts.:und Ordnungsangelegenheiten B.ezirksstadtrat Arne Herz · Qtto-Suhr-AIIee 100 10585 Berlin herz@charlottenburg-wilmersdoii.de BA Friedrichshain-Kreuzberg von Berlin Leiter der Abt. Wirtschaft, Ordnung, Schule und Sport Bezirksstadtrat Andy Hehmke Frankfurter Allee 35/37 1024 7 Berlin Stadtrat.Hehmke@ba-fk.berlin.de BA Lichtenberg von Berlin Leiter der Abt. Schule, Sport, öffentliche Ordnung, Umwelt und Verkehr · Bezirksstadtrat Wilfried Nünthel ·Postfach· 10360 Berlin Wilfried.Nuenthel@lichtenberg;berlin.de BA Marzahn-HeUersdorf von Berlin Leiterin der Abt. Wirtschaft, Straßen und Grünflächen Bezirksstadträtin Nadja Z~vkovic Wolfeher Straße 32 - 34, Haus K, 3. Etage 12681 Berlin BAMHBzStRWirtSGBuero@ba-mh.bertlri.de BA Mitte von Berlin .Leiter der Abt. Ordnung, Personal und Finanzen BzBm Stephan von Dassei Mathilde-Jacob-Piatz 1 10551 Berlin bezirksbuergermeister@ba-mitte. berlin.de BA Ne·ukölhi von Berlin Leiter der Abt. Finanzen un9 Wirtschaft, Facility Management und Ordnungsamt BzBm Martin Hikel Kari-Marx-Str. 83 12040 Berlin Martin.Hikei@Bezirksamt-Neukoelln.de BA Pankow von Berlin · . Leiter der Abt. Umwelt und öffentliche Ordnung Bezirksstadtrat Daniel Krüger
36

Fröbelstraße 17 10405 Berlin daniel.krueger@ba-pankow.berlin.de BA Reinickendorf von Berlin . Leiter der Abt. Bürgerdienste und Ordnung~angelegenheiten Bezirksstadtrat Sebastian Maack Eichborndamm 215 13437 Berlin · Sebastian. Maack@reinickendorf.berlin.de BA Spandau· von Berlin Leiter der Abt. Bürgerdienste, Ordnung und Jugend Bezirksstadtrat Stephan Machulik Cari-Schurz-Str. 2 - 6 13597 Berlin stephan.machulik@ba-spandau.berlin.de V BA Steglitz-Zehlendorf von Berlin Bezirksstadtrat für Ordnung, Verkehr und Bürgerdienste Michael Karnetzki Rathaus Zehlendorf Kirchstr. 1 - 3 14163 Berlin michael.karnetzki@ba-sz.berlin.de BA Tempelhof-Schöneberg von Berlin Leiterin. der Abt. Bürgerdienste, Ordnungsamt, Straßen-und Grünflächenamt · Bezirksstadträtin Christiane Heiß Tempelhafer Damm 165 12099 Berlin christiane. Heiss@ba-ts. berlin .de V BA Treptow-Köpenick von Berlin Leiter der Abt. Bauen, Stadtentwicklung und öffentliche Ordnung Bezirksstadtrat Rainer Hölmer · Postfach 910 240 12414 Berlin Rainer.hoelmer@ba-tk.berlin.de
37

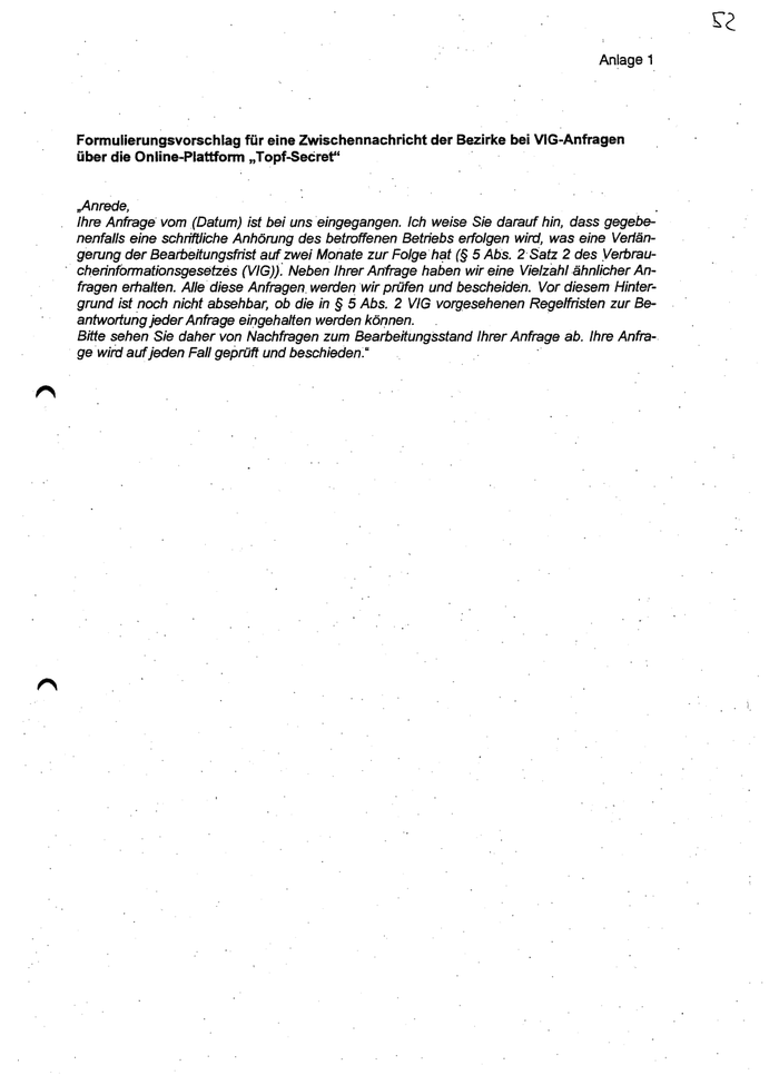
Anlage 1 Formulierungsvorschlag für eine Zwischennachricht der Bezirke bei VIG-Anfragen über die Online-Piattfonn "Topf-Secret'' "Anrede, Ihre Anfrage vom (Datum) ist bei uns eingegangen. Ich weise Sie darauf hin, dass gegebe- nenfalls eine schriftliche Anhörung des betroffenen Betriebs erfolgen wird, was eine Verlän- gerung der Bearbeitungsfrist auf zwei Monate zur Folge· h~t (§ 5 Abs. 2 Satz 2 des .Verbrau- cherinformationsgesetzes (VIG)): Neben Ihrer Anfrage haben wir eine Vielzahl ähnlicher An- fragen erhalten. Alle diese Anfragen. werden wir prüfen und bescheiden. Vor diesem Hinter- grund ist noch nicht absehbar, ob die in § 5 Abs. 2 VJG vorgesehenen Regelfristen zur Be- · antwortung jeder Anfrage eingehalten werden können. Bitte sehen Sie daher von Nachfragen zum Bearbeitungsstand Ihrer Anfrage ab. Ihre Anfra- ge wiiT:J aufjeden Fall geprüft und beschieden."
38

Senatsverwaltung for Justiz und be -=tJ:ild 1111 . Verbrciucher;chutz Antragsverfahren VIG Antragstellung Antrag bezieht sich auf . Daten gern.§ 2 Abs. 1 Nr. 1-7 Verbraucher- informatioll!>J esetz Zuständige Stelle (§ 4 Abs.1 Satz 4 i. V: m. § 2 Abs. 2)? Neinj Antrag bezieht sich auf Daten nach UmweHinfor- mations esetz-UIG Nein I Antrag bezieht sich al# Informationen nach Informations- I . freih~e.esetz-IFG IJa Nein Nein· lJa Entscheidung durch die für das UIG zListänd!g_e Behörde Entscheidung durch die für das IFG zuständlg_e Behörde Ablehnung, ggf. unter Hinwels auf zuständige Behörde (§ 4 II) Ja Ist der Antrag nach § 4 Nein Abs. 1 Satz 2 hinreichend bestimmt? I .fa .. Uegen Ausschluss- und· Ja Beschränkungsgründe nach__§_ 3 vor? Nein l Uegt ein Ablehnungs- Ja grund nach § 4 Abs. 3 vor? Nein J Kann ~er/ die Antrags- Ja steller/in sich die _Daten· zurnutbar aus allgemein zugänglichen Quellen · beschaffen 4 Abs.S)? Nein /Ja Werden Daten zu Dritten, Ja deren Belange durch den Antrag betroffen sind, beantr~!.? Soll-Ablehnung J r_ _I Kann-Ablehnung -~Antrag J J Frist: 2 Monate (§ 5 Abs. 2 Saiz 2) ~ Frist: 1 Monat (§ 5 Abs. 2 Satz 1) 1 I J § 5 Abs. 3:,MHteilung über Ort, ZeH und Art des · Informationszugangs (ggf. Hinweis auf späteren. Zugang zu Informationen) § 7 Abs. 1 Satz 3: Vorabinformation über die voraussichtliche Höhe der Kosten (soweit nicht nach § 7 Abs. 1 Satz 2 kostenfrei) J lnformationszugang, ggf. Kostenerhebung I lr.1 der Regel vorherige Anhö- rung des Dritten(§ 5 Abs. 1 i. V. m._i 28 VwVfGl
39

SenJustVA Dr. Nata.lie-Emilienne· Florack 25.01.2019 App.2769 VBS V_ 1:. Adressaten. IEmt Uste Umgang mit Anfragen nach dem Verbraucherinformationsgesetz über ·das Online- .Portal ~Topf Secret'' Sehr geehrte/sen·r geehrter foodwatch unq FragDenStaat haben am 14.01.2019 die Online-Piattform •Topf Secretg ge- startet. Über diese Plattform können Verbraucherinnen und Verbraucher automatisiert bei . den zuständigen -l,..ebensinittelüberwachungsbeh.örden auf Grundlage.des Verbraucherinfo~­ mationsgesetzes (VIG) die letzten beiden Kontrollberichte, soweit Beanstandungen festg9:- stellt . · wurden, · eines konkreten Lebensmittelbetriebs · anfragen . (httos://www·. foodwatch.orq/de/infoi'mieren/topf-secret'jetzt-hygienebericht-anfragenD. · Die Online-Piattform ist darauf angelegt, die erlangten behördlichen l_nformationen später im ID~ tarnet einzustellen. . · · Im Zuge dieser Aktion sehen sich die Bezirksämter nach·meiner Information mit einer außer- gewöhnlich hohen Zahl von VJG-Anträgen konfrontiert. Um mir. einen Eindruck der aktuellen Lage verschaffen können, bitte ich Sie, mir mitzuteilen, wie viele Anträge Sie seit Frei- schaltung des Online-Portals erhalten haben. · Die Senatsverwaltung_ fur Justiz, Verbraucherschutz u~d- Antidiskriminierung hat vor dem Hintergrund, dass. es aufgrund der Vielzahl der Anträge für die Bezirksämter schwierig ist, 1 VIG ge·nannte Regelfrist von einem Monat bei der Bean:twortung der · · die ih §. 5 Abs. 2· Anfragen einzuhalten, den Ordm.ingsamtsleitungen bereits· einen Formuli~rungsvorschlag für eine Zwischennachricht zur Verfügung ge?tellt (Anlage 1). Beabsichtigt wird. hiermit, dass · gehäuften Nachfrage~ zum Bearbeitungsstand vermieden. werden. Gleichzeitig soll den An- .tragstellern signalisiert werden, dass· sich die zuständigen Behörden den Anträgen anneh- men. ·zu s: 1". _f Die Bezirke haben den Wunsch' an die SeAC!,tsvetwaltung für Justiz, Verbraucherschutz und Antidiskriminier!Jng herangetragen, Hinweis~ zum Umgang mit den Anfragen über das Portal · •Topf Secret" zu erhalten, um ·ein -möglichst bE;trlinweit gleichlaufendes Verwaltungsvertanrem. · zu gewährleisten. Dieser Bitte möchte ich. gerne nachkommen. · Die Rechtslage wird nach einem i ;;;::::::::::::::::::;;~ oder Beschrärikungsgrün- de, etwa nach § 4 Abs. 3 ,VIG, dürften in der Regel nicht einschlägig sein. lnS.ofern .. empfehle ich, die Anträge im üblichen Verwaltungsverfahren abzuarbeit~n. - . Die Durchführung einer Anhöru~g der betroffenen Lebensmittelunternehmer. nach § 28 VwVfG wird dringend empfohlen. Zwar kann gemäß § 5 Abs. 1 S. 2 VIG bei der. ·Weitergabe von Informationen i.S.v. § 2 Abs. 1 Nr: 1 VIG ·ausnahmsweise von einer Anhörung abgE;tsehen werden. Da ein Verzicht hierauf einen hohen Begründungsauf- -wand fordert und nicht in jedem Fall rechtssicher erfolgen kann, rege. ich an von der Ausnahme im Zweifel keinen Gebrauctf zu m~chen. · ·' Zu beachten ist, dass personenbezogene Daten in. den zur Verfügung gestellten In- formationen vor der Herausgabe unkenntlich zu machen sind. ·
40

- Um sicherzust~llen, dass derBescheid tatsächlich dem Antragsteller zugeht, empfeh- le ich diesen nicht per E-Mail, sondern per Post an eine zustellungsfähige Adresse zu verschicken. · Der Informationsanspruch nach § -2 Ab~. 1 VJG Daten umfasst festgestellte nicht zu- lässige Abweicl)ungen von bestimmten dort genannten gesetzlichen A11forderungen. ·Da die Kontrollberichte weitere, über diesen Umfang hinausgehende Informationen, · beinhalten, empfehle ich, vor ·Herausgabe entWeder die weitergehenden Informatio- nen im Kontrollbericht unkenntlich zu machen oder einen Auszug anzufertigen ... · ·. · Hinweisen rriöchte jch noch auf die .Problematik, d~ss die Antragsteller in ihren Anfra- gen der Weitergabe. ihres Namens und ihrer Adresse.auf Nachfrage der b.etroffenen Lebensmittelunternehmer, wiß § 5 Abs. 2 VIG es voi'Sielit, widersprechen. Ein solcher Widerspruch gemäß Art 21 DSGVO ist ·aber nicht möglich soweit es sich ...:. wie hier -: um eine gesetziiche V~rpflichtung der Datenweitergabe handelt. lnsofe·rn müssten die Antragsteller darauf 'hingewiesen werden, dass die Behörde auf Nachfrage zu einer Weitergabe verpflichtet ist. Dies könnte bereits ini Rahmen der Zwischennachricht er..: folg.en oder erst,· wenn tatsächlich eine solche ·Nachfrage eines Lebensmittelunter- · . nehmers gestellt wird. . . Anbei sende. ich Ihnen das Prüfschema (ktlage 2), w~lches die Senatsve~altung für Justiz, Verbra1,.1cherschutz und Antidiskrimi_nierung Antragsverfahreri nach_ VIG zugrunde legt. V Mit freundlichen Grüßen (, ·Margit GottStein 2.. Schreiben zu 1 per Post an Adressaten .laut Liste 3.ZV StSin VA (EU): VAlin VB . VB6 ; ' . .
41


                                            
                                                
                                                42
                                            
                                        

• Sf- 1·- • 2- - . . - 4- 5- - &- -"" l- - a- - 9·- - STAPlES f470678 o- x
43

V
44

Zur nächsten Seite