Zahlungen von Wassernutzungsentgelten an das Landesumweltamt

/ 99
PDF herunterladen
Veranlagungsjahr 2016                                                 (Anlage 2) Landkreis/      Betrieb              Grundwasser-          Oberflächenwasser-    Entgelt kreisfreie                           entnahme              entnahme Stadt Brauch-   Bewässe-    Brauch- Bewässe- wasser    rungs-      wasser rungs- wasser               wasser m3/a      m3/a        m3/a     m3/a         EUR LK Ostprignitz- Brandenburgische      18.772,0                                      1.877,00 Ruppin          Mast Jabel GmbH & Co.KG LK Ostprignitz- Milchhof Thiele,       3.420,0                                        342,00 Ruppin          Freyenstein LK Ostprignitz- Havelia GmbH                      59.100,0                          5.910,00 Ruppin          (Gärtnerei/Gewächsh äuser) LK Potsdam-     Landgut Reppinichen    2.800,0                                           0,00 Mittelmark      GmbH, Wiesenburg/Reppinic hen LK Potsdam-     Biohof Rottstock,                  8.150,0                            500,00 Mittelmark      Deutsch Bork LK Potsdam-     Duck-Tec Brüterei     16.851,0                                      1.685,10 Mittelmark      GmbH Bad Belzig, Bergholzer Str. (Wiesenhof) LK Potsdam-     Milchviehanlage       16.187,0                                      1.618,70 Mittelmark      Vermue GmbH, Belzig OT Werbig LK Potsdam-     Agrargenossenschaft   17.955,0    29.140,0                          1.795,50 Mittelmark      Fläming eG Feldheim, Treuenbrietzen LK Potsdam-     ELKI Milchproduktion  28.470,0                                      2.847,00 Mittelmark      Reetz GmbH & Co. KG, Wiesenburg/Mark LK Potsdam-     Fläminger Tiergut     39.055,0                                      3.905,50 Mittelmark      GmbH, Bad Belzig OT Schwanebeck LK Potsdam-     Spargelhof Ragösen,                2.521,0                               0,00 Mittelmark      Bad Belzig Tröpfchenbew. Heidelbeerkulturen LK Potsdam-     Agrargenossenschaft        0,0                                           0,00 Mittelmark      Schlalach eG, Mühlenfließ LK Potsdam-     Gut Herrenhölzer,                 50.342,0                               0,00 Mittelmark      Bensdorf LK Potsdam-     Gollwitzer Agrar                 342.220,0           155.200,0      2.612,82 Mittelmark      GmbH, Brandenburg 16
51

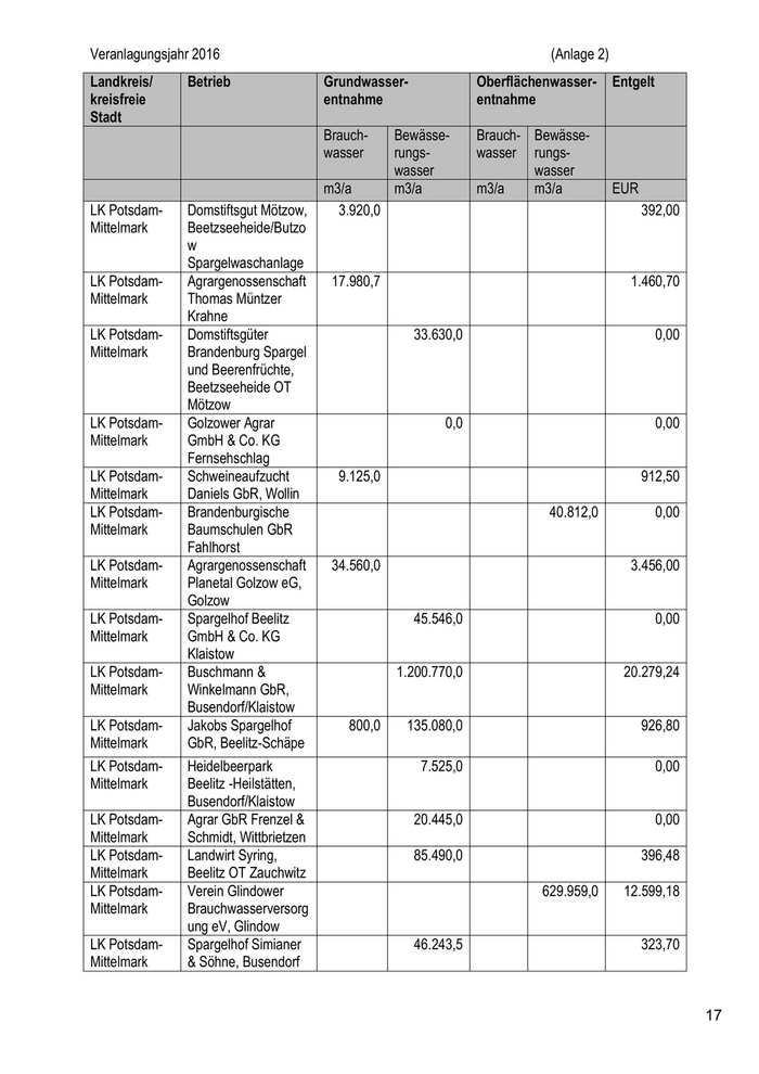
Veranlagungsjahr 2016                                                   (Anlage 2) Landkreis/      Betrieb               Grundwasser-           Oberflächenwasser-    Entgelt kreisfreie                            entnahme               entnahme Stadt Brauch-   Bewässe-     Brauch- Bewässe- wasser    rungs-       wasser rungs- wasser                wasser m3/a      m3/a         m3/a     m3/a         EUR LK Potsdam-     Domstiftsgut Mötzow,    3.920,0                                         392,00 Mittelmark      Beetzseeheide/Butzo w Spargelwaschanlage LK Potsdam-     Agrargenossenschaft    17.980,7                                       1.460,70 Mittelmark      Thomas Müntzer Krahne LK Potsdam-     Domstiftsgüter                      33.630,0                               0,00 Mittelmark      Brandenburg Spargel und Beerenfrüchte, Beetzseeheide OT Mötzow LK Potsdam-     Golzower Agrar                           0,0                               0,00 Mittelmark      GmbH & Co. KG Fernsehschlag LK Potsdam-     Schweineaufzucht        9.125,0                                         912,50 Mittelmark      Daniels GbR, Wollin LK Potsdam-     Brandenburgische                                        40.812,0           0,00 Mittelmark      Baumschulen GbR Fahlhorst LK Potsdam-     Agrargenossenschaft    34.560,0                                       3.456,00 Mittelmark      Planetal Golzow eG, Golzow LK Potsdam-     Spargelhof Beelitz                  45.546,0                               0,00 Mittelmark      GmbH & Co. KG Klaistow LK Potsdam-     Buschmann &                      1.200.770,0                        20.279,24 Mittelmark      Winkelmann GbR, Busendorf/Klaistow LK Potsdam-     Jakobs Spargelhof         800,0    135.080,0                            926,80 Mittelmark      GbR, Beelitz-Schäpe LK Potsdam-     Heidelbeerpark                       7.525,0                               0,00 Mittelmark      Beelitz -Heilstätten, Busendorf/Klaistow LK Potsdam-     Agrar GbR Frenzel &                 20.445,0                               0,00 Mittelmark      Schmidt, Wittbrietzen LK Potsdam-     Landwirt Syring,                    85.490,0                            396,48 Mittelmark      Beelitz OT Zauchwitz LK Potsdam-     Verein Glindower                                       629.959,0    12.599,18 Mittelmark      Brauchwasserversorg ung eV, Glindow LK Potsdam-     Spargelhof Simianer                 46.243,5                            323,70 Mittelmark      & Söhne, Busendorf 17
52

Veranlagungsjahr 2016                                                  (Anlage 2) Landkreis/      Betrieb               Grundwasser-          Oberflächenwasser-    Entgelt kreisfreie                            entnahme              entnahme Stadt Brauch-   Bewässe-    Brauch- Bewässe- wasser    rungs-      wasser rungs- wasser               wasser m3/a      m3/a        m3/a     m3/a         EUR LK Potsdam-     Trechwitzer Agrar                                     567.922,0    11.358,44 Mittelmark      GmbH Kloster Lehnin LK Potsdam-     Obstgut Marquardt,                  1.596,0                               0,00 Mittelmark      Satzkorn LK Potsdam-     "Biogas Golzow         15.000,0                                      1.500,00 Mittelmark      GmbH & Co.KG GF Matthias Nadler" LK Potsdam-     Spargelhof Elsholz                  4.132,0                               0,00 Mittelmark LK Potsdam-     Joachim Zeller                      2.425,0                               0,00 Mittelmark      (Saaten Zeller) Landwirtschaftl. Betrieb, Hofstelle Phöben Objekt: Schmergow LK Potsdam-     Märkische Obstbau                                      39.750,0         96,68 Mittelmark      GmbH Groß Kreutz Phöben + SchmergowGartenba u Busch GbR, Kloster Lehnin LK Potsdam-     Gartenbau Busch                     5.600,0                            560,00 Mittelmark      GbR, Kloster Lehnin LK Prignitz     Agrarproduktivgenoss               39.300,0                               0,00 enschaft e.G. Viesecke LK Prignitz     Agrargenossenschaft                92.430,0                            647,01 Brunow eG, Brunow LK Prignitz     GbR Guhl, Düpow                   144.000,0                          1.008,00 LK Prignitz     S.A.N. Putenfarm        7.438,5                                        743,85 Boberow, Karstädt/Bobereow LK Prignitz     Prignitzer             15.372,0                                      1.537,20 Landschwein GmbH & Co. KG ehem. Neudorfer Schweinezucht GmbH LK Prignitz     Landgenossenschaft                 93.277,0             5.677,0        446,86 Pröttlin eG, Pröttlin LK Prignitz     Agrar GmbH                        165.948,0                 0,0      1.161,64 Boberow,Boberow 18
53

Veranlagungsjahr 2016                                                 (Anlage 2) Landkreis/      Betrieb              Grundwasser-          Oberflächenwasser-    Entgelt kreisfreie                           entnahme              entnahme Stadt Brauch-   Bewässe-    Brauch- Bewässe- wasser    rungs-      wasser rungs- wasser               wasser m3/a      m3/a        m3/a     m3/a         EUR LK Prignitz     Ferkelgut Pinnow      25.583,4                                      2.558,34 GmbH & Co.KG, Pinnow Sauenaufzuchtanlage LK Prignitz     BioKraft Karstädt      1.307,0                                           0,00 GmbH & Co.KG Biogasanlage LK Prignitz     Agrargenossenschaft               23.300,0                               0,00 Pirow eG, Pirow LK Prignitz     Agrargenossenschaft              209.287,0                          1.465,01 eG Quitzow, Quitzow LK Prignitz     Landwirt Helmut                   46.731,0                               0,00 Lossin Berge LK Prignitz     Agrargenossenschaft    5.475,0                                        547,50 Groß Lüben eG LK Prignitz     Lenzener Wische       35.405,0                        14.400,0      3.540,50 Rinderzucht GmbH MVA Kietz + Beregnung LK Prignitz     Rinderzucht Lanz-     27.556,0                                      2.755,60 Lenzen AG LK Prignitz     Biogas Produktion        643,0                                           0,00 Perleberg GmbH LK Prignitz     Produktivagrargenoss             114.680,0                            802,76 enschaft eG Groß Warnow, Karstädt OT Reckenzin LK Prignitz     Bernd Cord-Kruse,     16.188,0   135.823,0                          2.569,56 Perleberg OT Lübzow LK Prignitz     Zweite Prignitzer      4.200,0                                        420,00 Mastschwein GmbH, Gr. Pankow OT Neudorf LK Prignitz     Landwirt Zachow,                 122.113,0                            854,79 Perleberg / OT Gramzow LK Prignitz     Bioenergie Kunow       2.108,2                                           0,00 GmbH, Gumtow / OT Kunow LK Prignitz     Agrargenossenschaft 105.485,0                                     10.548,50 Karstädt e.G. LK Prignitz     Agrar GmbH Kleinow,               33.062,0                               0,00 Plattenburg 19
54

Veranlagungsjahr 2016                                                 (Anlage 2) Landkreis/      Betrieb              Grundwasser-          Oberflächenwasser-    Entgelt kreisfreie                           entnahme              entnahme Stadt Brauch-   Bewässe-    Brauch- Bewässe- wasser    rungs-      wasser rungs- wasser               wasser m3/a      m3/a        m3/a     m3/a         EUR LK Prignitz     Nitzow/Theek GbR,                 60.000,0                            420,00 Breese GT Kuhblank LK Prignitz     Gut Krampfer GmbH      1.270,0         0,0                               0,00 & Co. KG, Plattenburg LK Prignitz     Heidemark              3.940,0                                        394,00 Turkey Farm Wellsow GmbH, Pirow LK Prignitz     HELMA                 16.899,5                                      1.689,95 Agrarproduktion GmbH, Lockstädt LK Prignitz     Putlitzer-Agrar-                 122.240,0                            855,68 Erzeugnisse, Putlitz Treder/Karlshof LK Prignitz     Putlitzer-Agrar-                  56.211,0                            393,48 Erzeugnisse, Putlitz Spargel/Schmarsow LK Prignitz     Altmärkische           7.696,4                                        769,64 Putenmast- Gesellschaft mbH & Co., Garrel LK Prignitz     Agrargenossenschaft   10.020,0                                      1.002,00 eG Gerdshagen MVA Giesenhagen LK Prignitz     BLUMAG Marktfrucht                     0,0                               0,00 GmbH LK Prignitz     LPG mbH Frehne                    36.300,0                               0,00 Zwei, Marienfließ/Frehne LK Prignitz     Milchhof Rapshagen                12.315,0                               0,00 GbR LK Prignitz     Agrargenossenschaft               45.739,0                            320,17 eG Mesendorf, Groß Pankow OT Kuhsdorf LK Prignitz     Stiftsgut Rapshagen              223.775,0                          1.566,43 Herr Markus Brücker LK Prignitz     BCJS Solar GmbH &      6.973,0                                        697,30 Co.KG, Höltlinghausen; Putenfarm Stepenitz 20
55

Veranlagungsjahr 2016                                                 (Anlage 2) Landkreis/      Betrieb              Grundwasser-          Oberflächenwasser-    Entgelt kreisfreie                           entnahme              entnahme Stadt Brauch-   Bewässe-    Brauch- Bewässe- wasser    rungs-      wasser rungs- wasser               wasser m3/a      m3/a        m3/a     m3/a         EUR LK Prignitz     Putenfarm              3.773,0                                        377,30 Zimmermann GmbH, Groß Pankow OT Helle LK Prignitz     Tierzuchtgenossensc               91.903,0                            643,32 haft Gulow eG. Groß Pankow OT Gulow LK Prignitz     Kolreper Agrar                   113.680,0                            795,76 GmbH, Gumtow OT Wutike LK Prignitz     Gut Groß              14.600,0                                      1.460,00 Langerwisch Hölscher GbR, Groß Pankow OT Groß Langerwisch LK Prignitz     Brandenburger                          0,0                               0,00 Gemüsekontor GmbH & Co. KG, Wittstock OT Fretzdorf LK Prignitz     Ferkelaufzucht             0,0                                           0,00 Kehrberg, Groß Pankow OT Kehrberg LK Spree-       Spreewälder                      188.369,0                          2.020,99 Neiße           Gemüsehof Ricken KG, Burg LK Spree-       Ehlego Landkost                   78.765,0                          7.876,50 Neiße           GmbH, Roggosen LK Spree-       AGRAR-                12.775,0     3.750,0                          1.277,50 Neiße           Genossenschaft "Im Spreewald" e.G. Werben LK Spree-       Broilermast Vetschau   5.650,0                                        565,00 Neiße           eG LK Spree-       SPREEFA GmbH          50.000,0                                      5.000,00 Neiße           Genthin, SMA Löschen, Drebkau OT Laubst LK Spree-       SPREEFA GmbH,         23.352,0                                      2.335,20 Neiße           Betr. Wadelsdorf Genthin OT Gladau 21
56

Veranlagungsjahr 2016                                                   (Anlage 2) Landkreis/      Betrieb               Grundwasser-           Oberflächenwasser-    Entgelt kreisfreie                            entnahme               entnahme Stadt Brauch-   Bewässe-     Brauch- Bewässe- wasser    rungs-       wasser rungs- wasser                wasser m3/a      m3/a         m3/a     m3/a         EUR LK Spree-       Agrargenossenschaft    29.200,0                                       2.920,00 Neiße           Gahry eG, Wiesengrund LK Spree-       Biogas Forst GmbH      24.144,0                                       2.414,40 Neiße LK Spree-       SMA Jocksdorf Neiße           GmbH Schweinezucht- und Mastanlagen GmbH LK Spree-       Lübbinchener Milch     49.512,0    165.130,0           157.718,0      6.327,92 Neiße           und Mast, Schenkendöbern Lk Teltow-      Oehnaland                        1.459.621,0                          9.249,02 Fläming         Agrargesellschaft mbH Beregnungsanlagen LK Teltow-      AFB Agrar GmbH,                    584.660,0                          3.791,13 Fläming         Niedergörsdorf/ Blönsdorf LK Teltow-      Agrargenossenschaft    14.100,0    404.660,0                          3.027,70 Fläming         eG Welsickendorf, Welsickendorf LK Teltow-      ZUMA eG Schlenzer                        0,0                               0,00 Fläming         Niederer Fläming OT Werbig LK Teltow-      Nuthequelle             6.357,0     68.400,0                          1.114,50 Fläming         landwirtschaftl. Betriebs GmbH, Niedergörsdorf LK Teltow-      Thier & Wenzel GbR,                  8.800,0                               0,00 Fläming         Niederer Fläming/Hohenseefel d LK Teltow-      Landwirtschaftsbetrie              149.466,0                          1.046,26 Fläming         b Schütze, Niedergörsdorf/Lange nlipsdorf LK Teltow-      Bauerngenossenscha     55.306,0     41.005,0                          5.531,60 Fläming         ft Dahme eG, Dahme/Mark LK Teltow-      Gartenbau Müller,                    7.320,0                               0,00 Fläming         Dennewitz LK Teltow-      Hähnchenmast Horn       5.541,9                                         554,19 Fläming         GmbH 22
57

Veranlagungsjahr 2016                                                  (Anlage 2) Landkreis/      Betrieb               Grundwasser-          Oberflächenwasser-    Entgelt kreisfreie                            entnahme              entnahme Stadt Brauch-   Bewässe-    Brauch- Bewässe- wasser    rungs-      wasser rungs- wasser               wasser m3/a      m3/a        m3/a     m3/a         EUR LK Teltow-      C & R Horn GbR,             0,0                                           0,00 Fläming         Niederer Fläming Geflügelmast Niedergörsdorf LK Teltow-      Duck-Tec Brüterei       2.708,0                                           0,00 Fläming         GmbH, Jüterbog Kloster Zinna LK Teltow-      Gemüseproduktion                   32.929,0                          3.292,90 Fläming         Meinsdorf GmbH, Niederer Fläming LK Teltow-      Märkischer             20.862,0                                      2.086,20 Fläming         Schweinehof, Oehna, OT Langenlipsdorf LK Teltow-      Biogas Produktion         518,0                                           0,00 Fläming         Nonnendorf GmbH & Co.KG, Niederer Fläming LK Teltow-      JAG Jüterboger         46.301,0                                      4.630,10 Fläming         Agrargenossenschaft e.G., MVA Bürgermühle LK Teltow-      NGH Agrar GmbH &                  140.760,0                            985,32 Fläming         Co. Agrargesellschaft Nonnendorf KG LK Teltow-      Agrargenossenschaft    18.500,0                                      1.850,00 Fläming         Ländeken Meinsdorf eG, Niederer Fläming LK Teltow-      Bobalis Agrar GmbH,                25.404,0                               0,00 Fläming         Jüterbog LK Teltow-      Gemüsering Jessen                  20.349,0                               0,00 Fläming         GmbH LK Teltow-      Agrargenossenschaft     3.850,0                                           0,00 Fläming         Trebbin eG Tankstelle, Möhrenwaschstation, Werkstatt LK Teltow-      Agrargenossenschaft               127.084,0                               0,00 Fläming         eG "Der Märker", NutheUrstromtal/Jäni ckendorf LK Teltow-      Agrarprodukte          30.500,0   109.741,0                          4.970,47 Fläming         Frankenförde GmbH & Co.KG Beregnung 23
58

Veranlagungsjahr 2016                                                  (Anlage 2) Landkreis/      Betrieb               Grundwasser-          Oberflächenwasser-    Entgelt kreisfreie                            entnahme              entnahme Stadt Brauch-   Bewässe-    Brauch- Bewässe- wasser    rungs-      wasser rungs- wasser               wasser m3/a      m3/a        m3/a     m3/a         EUR LK Teltow-      Agrargesellschaft                 352.423,0                          2.337,02 Fläming         Niederer Fläming mbH Wahlsdorf LK Teltow-      Obst- und                          52.220,0                               0,00 Fläming         Gemüsehof Hennickendorf GmbH, Beelitz LK Teltow-      S. K.                   2.806,0                                           0,00 Fläming         Schweinehaltung Kemnitz GmbH LK Teltow-      Tier- und                         117.563,0                        11.756,30 Fläming         Pflanzenproduktion GmbH, Nuthe- Urstromtal OT Felgentreu Gewächshausanlage LK Teltow-      Vereinigte              3.778,0                                        377,80 Fläming         Agrargenossenschaft eG Jänickendorf Jungrinderanlage LK Teltow-      Tier- und               1.250,0                                           0,00 Fläming         Pflanzenproduktion GmbH, Nuthe- Urstromtal OT Felgentreu Tierproduktionsanlag e Felgentreu (Rinder, Schweine) LK Teltow-      agt Agrar GmbH         61.687,0   174.686,0                          7.099,04 Fläming         Trebbin, Trebbin Beregnung LK Teltow-      Löwendorfer             7.114,0                                        711,40 Fläming         Geflügelhof GmbH, Ahrensdorf LK Teltow-      Fläming-Blumen-                     7.500,0                            750,00 Fläming         Felgentreu GmbH & Co. KG (BUBA) LK Teltow-      Ferkelproduktion van   18.572,0                                      1.857,20 Fläming         Dijck GmbH, Nuthe- Urstromtal, OT Jänickendorf, Standort Charlottenfelde 24
59

Veranlagungsjahr 2016                                                   (Anlage 2) Landkreis/      Betrieb                Grundwasser-          Oberflächenwasser-    Entgelt kreisfreie                             entnahme              entnahme Stadt Brauch-   Bewässe-    Brauch- Bewässe- wasser    rungs-      wasser rungs- wasser               wasser m3/a      m3/a        m3/a     m3/a         EUR LK Teltow-      Naturfleisch             5.300,0                                        530,00 Fläming         Heinsdorf GmbH (Johann Nesges, Dahmetal) Schafställe Heinsdorf, Lieper Weg LK Teltow-      Gut Heinsdorf GmbH                 141.647,0                            991,53 Fläming         c/o Krabbenborg Nuthe-Urstromtal OT Zülichendorf LK Teltow-      Landschaftspflege        3.800,0                                        380,00 Fläming         SCHAF Dienstleistungs GbR, Heinsdorf Hauptstr. (Rinderstall) LK Teltow-      LaProG                  14.850,0   142.930,0                          2.436,58 Fläming         Agrargesellschaft Gottow mbH, Nuthe- Urstromtal OT Woltersdorf LK Teltow-      Agrargenossenschaft                                      3.841,0           0,00 Fläming         Groß Machnow eG, Rangsdorf/Groß Machnow LK Teltow-      Pferdehof Neubeeren                 12.850,0                          1.285,00 Fläming         Otto Pohl GmbH LK Teltow-      Spargelhof                          15.000,0                               0,00 Fläming         Schlunkendorf GmbH & Co.KG, Beelitz/Schlunkendorf LK Teltow-      DAREZ Agrar GmbH,                   86.315,0                 0,0           0,00 Fläming         Baruth LK Teltow-      Baruther Urstromtal                116.890,0                               0,00 Fläming         Rinderhaltung GmbH Horstwalde, Baruth LK Teltow-      Stadtgut Berlin Süd     80.500,0                                      8.050,00 Fläming         Vrieling KG, Jühnsdorf MVA Blankenfelde LK Teltow-      Agrargenossenschaft      8.451,0                                        845,10 Fläming         Löwenbruch/Kerzend orf eG MVA 25
60

Zur nächsten Seite