Polizeistrukturreform - Polizeirevier Hennigsdorf

/ 385
PDF herunterladen
Seite 42 von 96 Polizeirevier Hennigsdorf Frage 34: Erfasste Fälle, Aufgeklärte Fälle, Aufklärungsquoten, Häufigkeitskennzahlen für alle Deliktsfelder Erfasste Fälle                            Aufgeklärte Fälle Schlüssel                                                      Bezeichnung                                  Anzahl gesamt         Häufigkeitszahl      Anzahl gesamt             AQ in % 2010       2011        2010       2011     2010       2011        2010         2011 200000         Rohheitsdelikte und ST gg. die persönliche Freiheit                                                906        925         961        973      784        825        86,5          89,2 210000         Raub, räuberische Erpressung und räuberischer Angriff auf Kraftfahrer                               47         39          50         41       23         21        48,9          53,8 210010         Sonstiger Raub                                                                                       8          4           8          4        4          1        50,0          25,0 210020         Sonstiger schwerer Raub                                                                              3          1           3          1        2                   66,7           0,0 210040         Räuberischer Diebstahl                                                                               9          4          10          4        7          4        77,8         100,0 210050         Sonstige räuberische Erpressung                                                                      5          1           5          1        3          1        60,0         100,0 211000         Raub, räub. Erpressung auf Geldinstitute, Postfilialen und -agenturen                                2                      2          0        1                   50,0 211100         Raubüberfälle auf Geldinstitute (Banken/Sparkassen)                                                  1                      1          0        1                  100,0 211120         Schwerer Raub auf Geldinstitute (Banken/Sparkassen)                                                  1                      1          0        1                  100,0 211200         Raub auf Postfilialen und -agenturen                                                                 1                      1          0                              0,0 211220         Schwerer Raub auf Postfilialen und -agenturen                                                        1                      1          0                              0,0 212000         Raubüberfälle auf sonstige Zahlstellen und Geschäfte                                                 1          6           1          6                              0,0          0,0 212010         Raub auf sonstige Zahlstellen oder Geschäfte                                                         1          2           1          2                              0,0          0,0 212020         Schwerer Raub auf sonstige Zahlstellen oder Geschäfte                                                           3           0          3                                           0,0 212100         Raubüberfälle auf Spielhallen                                                                                   1           0          1                                           0,0 212150         Räuberische Erpressung gg. Spielhallen                                                                          1           0          1                                           0,0 214000         Räuberischer Angriff auf Kraftfahrer                                                                 1                      1          0                              0,0 214079         Räub. Angriff auf sonstige Kraftfahrer                                                               1                      1          0                              0,0 216000         Handtaschenraub                                                                                      3          1           3          1        1                   33,3           0,0 216010         Handtaschenraub gemäß § 249 StGB                                                                     2          1           2          1        1                   50,0           0,0 216050         Räub. Erpressung bei Handtaschenraub                                                                 1                      1          0                              0,0 217000         Sonstige Raubüberfälle auf Straßen, Wegen oder Plätzen                                              15         14          16         15        5          8        33,3          57,1 217010         Sonst. Raub auf Straßen/Wegen/Plätzen                                                                8         10           8         11        2          7        25,0          70,0 217050         Sonst. räub. Erpressung auf Straßen/Wegen/Plätzen                                                    7          4           7          4        3          1        42,9          25,0 219000         Raubüberfälle in Wohnungen                                                                                      8           0          8                   7                      87,5 219010         Raub in Wohnungen                                                                                               2           0          2                   2                     100,0 219020         Schwerer Raub in Wohnungen                                                                                      1           0          1                   1                     100,0 219050         Räub. Erpressung in Wohnungen                                                                                   5           0          5                   4                      80,0 220000         Körperverletzung                                                                                   525        536         557        564      473        499        90,1          93,1 222000         Gefährliche und schwere Körperverletzung                                                           121        122         128        128      107        113        88,4          92,6 222010         Sonst. Tatörtlichkeit bei gefährl. Körperverletzung                                                 75         64          80         67       65         61        86,7          95,3 222100         Gefährliche und schwere Körperverletzung auf Straßen, Wegen oder Plätzen                            46         58          49         61       42         52        91,3          89,7 222110         Gefährl. Körperverletzung gemäß § 224 StGB                                                          46         58          49         61       42         52        91,3          89,7 223000         Misshandlung von Schutzbefohlenen                                                                    9          9          10          9        9          9       100,0         100,0 223001         Misshandlung Schutzbefohlener ab 14 Jahren                                                           3          3           3          3        3          3       100,0         100,0 223100         Misshandlung von Kindern                                                                             6          6           6          6        6          6       100,0         100,0
61

Seite 43 von 96 Polizeirevier Hennigsdorf Frage 34: Erfasste Fälle, Aufgeklärte Fälle, Aufklärungsquoten, Häufigkeitskennzahlen für alle Deliktsfelder Erfasste Fälle                            Aufgeklärte Fälle Schlüssel                                                     Bezeichnung                                   Anzahl gesamt         Häufigkeitszahl      Anzahl gesamt             AQ in % 2010       2011        2010       2011     2010       2011        2010         2011 224000         Vorsätzliche einfache Körperverletzung § 223 StGB                                                  357        370          379       389      326        346        91,3          93,5 225000         Fahrlässige Körperverletzung                                                                        38         35           40        37       31         31        81,6          88,6 230000         ST gg. die persönliche Freiheit                                                                    334        350          354       368      288        305        86,2          87,1 231000         Menschenraub, Entziehung Minderjähriger, Kinderhandel                                                9          8           10         8        2          6        22,2          75,0 231200         Entziehung Minderjähriger                                                                            9          8           10         8        2          6        22,2          75,0 232000         Freiheitsber., Nötigung, Bedrohung, Zwangsheirat, Nachstellung (Stalking)                          324        342          344       360      285        299        88,0          87,4 232100         Freiheitsberaubung                                                                                   2          3            2         3        2          3       100,0         100,0 232200         Nötigung                                                                                           187        192          198       202      159        163        85,0          84,9 232201         Nötigung im Straßenverkehr                                                                          85         84           90        88       68         67        80,0          79,8 232202         Nötigung zur Eingehung einer Ehe                                                                                1            0         1                   1                     100,0 232279         Sonstige Nötigung                                                                                  102        107          108       113       91         95        89,2          88,8 232300         Bedrohung                                                                                           79         88           84        93       72         80        91,1          90,9 232400         Nachstellung                                                                                        56         59           59        62       52         53        92,9          89,8 232410         Nachstellung - z.B. räumliche Nähe -                                                                46         53           49        56       43         47        93,5          88,7 232420         Nachstellung - z.B. Gesundheitsbeeinträchtigung -                                                   10          6           11         6        9          6        90,0         100,0 233000         Erpress. Menschenraub                                                                                1                       1         0        1                  100,0 233079         Sonstiger Erpress. Menschenraub                                                                      1                       1         0        1                  100,0 3*****         Diebstahl ohne erschwerende Umstände                                                             1.120      1.029        1.188     1.083      585        456        52,2          44,3 3**100         EDS insg. von Kraftwagen einschl. unbefugter Gebrauch                                                9         15           10        16        4         12        44,4          80,0 3**200         EDS insg. von Moped/Krad einschl. unbefugter Gebrauch                                                1          2            1         2                              0,0          0,0 3**300         EDS insg. von Fahrrad einschl. unbefugter Gebrauch                                                  40         52           42        55       12         15        30,0          28,8 3**500         EDS insg. von unbaren Zahlungsmitteln                                                               22         24           23        25        5                   22,7           0,0 3**800         EDS insg. von Antiquitäten, Kunst- und sakralen Gegenständen                                         1                       1         0                              0,0 300000         EDS - Sonstiger                                                                                    211        241          224       254       59         60        28,0          24,9 300010         EDS - Sonstiger gem. 242, 247, 248a StGB                                                           182        237          193       249       38         56        20,9          23,6 300020         EDS - Haus- u. Familiendiebstahl - Sonstiger                                                         5                       5         0        5                  100,0 300030         EDS - Diebstahl geringwertiger Sachen - Sonstiger                                                   12                      13         0        5                   41,7 300040         EDS - Unbefugter Gebrauch eines sonst. Fahrzeuges                                                    3          1            3         1        3          1       100,0         100,0 300050         EDS - Entziehung elektrischer Energie                                                                9          3           10         3        8          3        88,9         100,0 300100         EDS von Kraftwagen einschl. unbefugter Ingebrauchnahme                                               9         15           10        16        4         12        44,4          80,0 300110         EDS - Diebstahl von Kraftwagen                                                                       5          6            5         6        1          3        20,0          50,0 300140         EDS - Unbefugter Gebrauch von Kraftwagen                                                             4          9            4         9        3          9        75,0         100,0 300200         EDS von Mopeds und Krafträdern einschl. unbefugter Ingebrauchnahme                                   1          2            1         2                              0,0          0,0 300210         EDS - von Moped/Krad                                                                                 1          1            1         1                              0,0          0,0 300240         EDS - Unbefugter Gebrauch von Moped/Krad                                                                        1            0         1                                           0,0 300300         EDS von Fahrrädern einschl. unbefugter Ingebrauchnahme                                              37         45           39        47       11         11        29,7          24,4
62

Seite 44 von 96 Polizeirevier Hennigsdorf Frage 34: Erfasste Fälle, Aufgeklärte Fälle, Aufklärungsquoten, Häufigkeitskennzahlen für alle Deliktsfelder Erfasste Fälle                           Aufgeklärte Fälle Schlüssel                                                      Bezeichnung                                  Anzahl gesamt         Häufigkeitszahl     Anzahl gesamt             AQ in % 2010       2011        2010       2011    2010       2011        2010         2011 300310         EDS - von Fahrrad                                                                                  36         42           38        44      10         10         27,8          23,8 300340         EDS - Unbefugter Gebrauch von Fahrrad                                                               1          3            1         3       1          1        100,0          33,3 300500         EDS von unbaren Zahlungsmitteln                                                                    11          4           12         4       3                    27,3           0,0 300510         EDS - von unbaren ZM gem. § 242 StGB                                                               10                      11         0       2                    20,0 300520         EDS - Haus- und Familiendiebstahl - von unbare ZM                                                   1                       1         0       1                   100,0 300800         EDS von Antiquitäten, Kunst- und sakralen Gegenständen                                              1                       1         0                              0,0 300810         EDS - von Antiquitäten gem. § 242 StGB                                                              1                       1         0                              0,0 301*00         EDS in/aus Gärten, Gartenanlagen, Gartenkolonien                                                   29         19           31        20       6          4         20,7          21,1 301000         Sonstiger EDS in/aus Gärten, Gartenanlagen, Gartenkolonien                                         23         15           24        16       4          4         17,4          26,7 301010         Sonstiger EDS in/aus Gärten, Gartenanlagen, Gartenkolonien                                         23         15           24        16       4          4         17,4          26,7 301300         EDS von Fahrrad in/aus Gärten, Gartenanlagen, Gartenkolonien                                        6          4            6         4       2                    33,3           0,0 301310         EDS von Fahrrad in/aus Gärten, Gartenanlagen, Gartenkolonien                                        6          4            6         4       2                    33,3           0,0 302*00         EDS in/aus Bungalow, Gartenlauben                                                                   3                       3         0                              0,0 302000         Sonstiger EDS in/aus Bungalow, Gartenlauben                                                         2                       2         0                              0,0 302010         Sonstiger EDS in/aus Bungalow, Gartenlauben                                                         2                       2         0                              0,0 302800         EDS - in/aus Bungalow - von Antiquität                                                              1                       1         0                              0,0 302810         EDS - in/aus Bungalow - von Antiquität gem. § 242 StGB                                              1                       1         0                              0,0 303*00         EDS in/aus Bungalow, Gartenlauben, Gärten, Gartenanlagen, Gartenkolonien                           32         19           34        20       6          4         18,8          21,1 304*00         EDS in/aus Garagen, Carports                                                                        6          4            6         4                              0,0          0,0 304000         Sonstiger "einfacher" Diebstahl in/aus Garagen, Carports                                            2          3            2         3                              0,0          0,0 304010         Sonstiger "einfacher" Diebstahl in/aus Garagen, Carports                                            2          3            2         3                              0,0          0,0 304100         EDS von Kraftwagen in/aus Garagen, Carports                                                         1                       1         0                              0,0 304140         Unbefugter Gebrauch von Kraftwagen in/aus Garagen, Carports                                         1                       1         0                              0,0 304300         EDS von Fahrrad in/aus Garagen, Carports                                                            2          1            2         1                              0,0          0,0 304310         EDS von Fahrrad in/aus Garagen, Carports                                                            2          1            2         1                              0,0          0,0 304500         EDS - in/aus Garagen - von unbaren ZM                                                               1                       1         0                              0,0 304510         EDS - in/aus Garagen - von unbaren ZM gem. § 242 StGB                                               1                       1         0                              0,0 305*00         EDS insg. in/aus Banken, Sparkassen, Postfilialen und -agenturen und dgl.                           6          2            6         2                  1           0,0         50,0 305000         EDS - in/aus Banken - Sonstiger                                                                     6          1            6         1                  1           0,0        100,0 305010         EDS - in/aus Banken - Sonstiger gem. § 242 StGB                                                     6                       6         0                              0,0 305500         EDS - in/aus Banken - von unb. ZM                                                                              1            0         1                                           0,0 310*00         EDS insg. in/aus Dienst-, Büro-, Fabrikations-, Werkstatt- und Lagerräumen                         98         62          104        65      32         17         32,7          27,4 310000         EDS - in/aus Dienst-/Büror. - Sonstiger                                                            91         58           97        61      31         15         34,1          25,9 310010         EDS - in/aus Dienst-/Büror. - Sonstiger gem. § 242 StGB                                            89                      94         0      30                    33,7 310020         EDS - Haus- u. Familiendiebstahl - in/aus Dienst-/Büror. - Sonstiger                                1                       1         0       1                   100,0 310030         EDS - Diebstahl geringwertiger Sachen - in/aus Dienst-/Büror. - Sonstiger                           1                       1         0                              0,0
63

Seite 45 von 96 Polizeirevier Hennigsdorf Frage 34: Erfasste Fälle, Aufgeklärte Fälle, Aufklärungsquoten, Häufigkeitskennzahlen für alle Deliktsfelder Erfasste Fälle                            Aufgeklärte Fälle Schlüssel                                                      Bezeichnung                                  Anzahl gesamt         Häufigkeitszahl      Anzahl gesamt             AQ in % 2010       2011        2010       2011     2010       2011        2010         2011 310300         EDS - in/aus Dienst-/Büror. - von Fahrrädern                                                         2          2           2          2        1          2        50,0         100,0 310310         EDS - in/aus Dienst-/Büror. - von Fahrrad gem. § 242 StGB                                            2                      2          0        1                   50,0 310500         EDS - in/aus Dienst-/Büror. - von unbaren Zahlungsmitteln                                            5          2           5          2                              0,0          0,0 310510         EDS - in/aus Dienst-/Büror. - von unbaren ZM gem. § 242 StGB                                         5                      5          0                              0,0 311*00         EDS insg. in/aus Amtsgebäuden, Bürohäusern                                                           2                      2          0        1                   50,0 311000         EDS - in/aus Amts-/Bürohäusern - Sonstiger                                                           2                      2          0        1                   50,0 311010         EDS - in/aus Amts-/Bürohäusern - Sonstiger gem. § 242 StGB                                           2                      2          0        1                   50,0 312*00         EDS insg. in/aus sonstigen selbst. Büroräumen                                                        8                      8          0        3                   37,5 312000         EDS - in/aus sonst. selbst. Büroräumen - Sonstiger                                                   7                      7          0        3                   42,9 312010         EDS - in/aus selb. Büroräumen - Sonstiger gem. § 242 StGB                                            6                      6          0        3                   50,0 312030         EDS - Diebstahl geringwertiger Sachen - in/aus selb. Büroräumen - Sonstiger                          1                      1          0                              0,0 312500         EDS - in/aus sonst. selbst. Büroräumen - von unbaren Zahlungsmitteln                                 1                      1          0                              0,0 312510         EDS - in/aus selb. Büroräumen - von unbaren ZM gem. § 242 StGB                                       1                      1          0                              0,0 313*00         EDS insg. in/aus Schulen, Kindergärten u. a.                                                        26                     28          0        5                   19,2 313000         EDS - in/aus Schulen/Kinderg. - Sonstiger                                                           21                     22          0        4                   19,0 313010         EDS - in/aus Schulen/Kinderg. - Sonstiger gem. § 242 StGB                                           21                     22          0        4                   19,0 313300         EDS - in/aus Schulen, Kinderg. - von Fahrrad                                                         2                      2          0        1                   50,0 313310         EDS - in/aus Schulen/Kinderg. - von Fahrrad gem. § 242 StGB                                          2                      2          0        1                   50,0 313500         EDS - in/aus Schulen/Kinderg. - von unbaren Zahlungsmitteln                                          3                      3          0                              0,0 313510         EDS - in/aus Schulen/Kinderg. - von unbaren ZM gem. § 242 StGB                                       3                      3          0                              0,0 314*00         EDS insg. in/aus Schwimmhallen u. a. Sportstätten                                                   13                     14          0        2                   15,4 314000         EDS - in/aus Sportstätten - Sonstiger                                                               12                     13          0        2                   16,7 314010         EDS - in/aus Sportstätten - Sonstiger gem. § 242 StGB                                               12                     13          0        2                   16,7 314500         EDS - in/aus Sportstätten - von unbaren Zahlungsmitteln                                              1                      1          0                              0,0 314510         EDS - in/aus Sportstätten - von unbaren ZM gem. § 242 StGB                                           1                      1          0                              0,0 315*00         EDS insg. in/aus Gaststätten, Kantinen, Hotels und Pensionen                                         5         17           5         18        2          6        40,0          35,3 315000         EDS - in/aus Gaststätten - Sonstiger                                                                 5         16           5         17        2          6        40,0          37,5 315010         EDS - in/aus Gaststätten - Sonstiger gem. § 242 StGB                                                 5                      5          0        2                   40,0 315500         EDS - in/aus Gaststätten - von unb. Zahlungsmitteln                                                             1           0          1                                           0,0 320*00         EDS insg. in/aus Kiosken                                                                             2                      2          0                              0,0 320000         EDS - in/aus Kiosken - Sonstiger                                                                     2                      2          0                              0,0 320010         EDS - in/aus Kiosken - Sonstiger gem. § 242 StGB                                                     2                      2          0                              0,0 325*00         EDS insg. in/aus Kiosken, Warenhäusern, Verkaufsräumen                                             459        365         487        384      417        293        90,8          80,3 325000         EDS - in/aus Warenhäusern - Sonstiger                                                               28         32          30         34        8          6        28,6          18,8 325010         EDS - in/aus Warenhäusern - Sonstiger gem. § 242 StGB                                               27                     29          0        7                   25,9 325030         EDS - Diebstahl geringw. Sachen - in/aus Warenhäusern - Sonstiger                                    1                      1          0        1                  100,0
64

Seite 46 von 96 Polizeirevier Hennigsdorf Frage 34: Erfasste Fälle, Aufgeklärte Fälle, Aufklärungsquoten, Häufigkeitskennzahlen für alle Deliktsfelder Erfasste Fälle                            Aufgeklärte Fälle Schlüssel                                                      Bezeichnung                                  Anzahl gesamt         Häufigkeitszahl      Anzahl gesamt             AQ in % 2010       2011        2010       2011     2010       2011        2010         2011 325500         EDS - in/aus Warenhäusern - von unbaren ZM                                                           2          8           2          8                              0,0          0,0 325510         EDS - in/aus Warenhäusern - von unbaren ZM gem. § 242 StGB                                           2                      2          0                              0,0 326*00         EDS insg. - Ladendiebstahl                                                                         429        325         455        342      409        287        95,3          88,3 326000         EDS - Ladendiebstahl - Sonstiger                                                                   429        325         455        342      409        287        95,3          88,3 326010         EDS - Ladendiebstahl - Sonstiger gem. § 242 StGB                                                   404                    429          0      384                   95,0 326030         EDS - Diebstahl geringwertiger Sachen - Ladendiebstahl - Sonstiger                                  25                     27          0       25                  100,0 335*00         EDS insg. in/aus Wohnungen                                                                          57         53          60         56       36         35        63,2          66,0 335000         EDS - in/aus Wohnungen - Sonstiger                                                                  56         52          59         55       35         35        62,5          67,3 335010         EDS - in/aus Wohnungen - Sonstiger gem. § 242 StGB                                                  51                     54          0       30                   58,8 335020         EDS - Haus- u. Familiendiebstahl - in/aus Wohnungen - Sonstiger                                      5                      5          0        5                  100,0 335500         EDS - in/aus Wohnungen - von unbaren Zahlungsmitteln                                                 1          1           1          1        1                  100,0           0,0 335510         EDS - in/aus Wohnungen - von unbaren ZM gem. § 242 StGB                                              1                      1          0        1                  100,0 340*00         EDS insg. in/aus Boden-/Kellerräumen, Waschküchen                                                    9         18          10         19        1          7        11,1          38,9 340000         EDS - in/aus Boden-/Kellerräumen - Sonstiger                                                         9         13          10         14        1          5        11,1          38,5 340010         EDS - in/aus Boden-/Kellerr. - Sonstiger gem. § 242 StGB                                             9                     10          0        1                   11,1 340300         EDS - in/aus Boden-/Kellerräumen - von Fahrrad                                                                  5           0          5                   2                      40,0 345*00         EDS insg. in/aus Baubuden und Baustellen                                                            11         11          12         12        3          3        27,3          27,3 345000         EDS - in/aus Baubuden/Baustellen - Sonstiger                                                        10         11          11         12        3          3        30,0          27,3 345010         EDS - in/aus Baustellen - Sonstiger gem. § 242 StGB                                                 10                     11          0        3                   30,0 345300         EDS - in/aus Baubuden/Baustellen - von Fahrrad                                                       1                      1          0                              0,0 345310         EDS - in/aus Baustellen - von Fahrrad gem. § 242 StGB                                                1                      1          0                              0,0 350*00         EDS insg. an/aus Kfz                                                                               163        152         173        160       15          8          9,2          5,3 350000         EDS an/aus Kfz von sonstigem Gut                                                                   162        152         172        160       14          8          8,6          5,3 350010         EDS - an/aus Kfz - Sonstiger gem. § 242 StGB                                                        30                     32          0        5                   16,7 350500         EDS - aus Kfz von unbaren ZM                                                                         1                      1          0        1                  100,0 350510         EDS - aus Kfz - von unbaren ZM gem. § 242 StGB                                                       1                      1          0        1                  100,0 356000         EDS an Fahrrad - Sonstiger                                                                          14         15          15         16        2          3        14,3          20,0 356010         EDS - an Fahrrad - Sonstiger gem. § 242 StGB                                                        11                     12          0        2                   18,2 356030         EDS - Diebstahl geringwertiger Sachen - an Fahrrad - Sonstiger                                       3                      3          0                              0,0 357000         EDS an Wasserfahrzeugen                                                                              1                      1          0                              0,0 357010         EDS - an Wasserfahrzeug - Sonstiger gem. § 242 StGB                                                  1                      1          0                              0,0 360000         EDS von/in/aus sonstigen Wasserfahrzeugen                                                            1          3           1          3                              0,0          0,0 360010         EDS - von/in/aus sonstigen Wasserfahrzeugen gem. § 242 StGB                                          1                      1          0                              0,0 363000         EDS von Ruderboot                                                                                               2           0          2                                           0,0 364000         EDS in/aus Motorboot                                                                                            1           0          1                                           0,0 385000         EDS auf Friedhöfen und Grabstätten                                                                   8          3           8          3        3                   37,5           0,0
65

Seite 47 von 96 Polizeirevier Hennigsdorf Frage 34: Erfasste Fälle, Aufgeklärte Fälle, Aufklärungsquoten, Häufigkeitskennzahlen für alle Deliktsfelder Erfasste Fälle                            Aufgeklärte Fälle Schlüssel                                                    Bezeichnung                                    Anzahl gesamt         Häufigkeitszahl      Anzahl gesamt             AQ in % 2010       2011        2010       2011     2010       2011        2010         2011 385010         EDS - auf Friedhöfen und Grabstätten gemäß § 242 StGB                                                8                       8         0        3                   37,5 386*00         EDS auf Campingplätzen- und Raststätten                                                              1                       1         0                              0,0 386000         EDS auf Campingplätzen- und Raststätten - Sonstiger                                                  1                       1         0                              0,0 386010         EDS - auf Camping-/Raststätten - Sonstiges gemäß § 242 StGB                                          1                       1         0                              0,0 390*00         EDS insg. - Taschendiebstahl                                                                        38         42           40        44                   3          0,0          7,1 390000         EDS - Taschendiebstahl - Sonstiger                                                                  36         35           38        37                   3          0,0          8,6 390010         EDS - Taschendiebstahl - Sonstiges gemäß § 242 StGB                                                 36                      38         0                              0,0 390500         EDS - Taschendiebstahl von unbaren ZM                                                                2          7            2         7                              0,0          0,0 390510         EDS - Taschendiebstahl - von unbaren ZM gemäß § 242 StGB                                             2                       2         0                              0,0 395000         EDS - Großviehdiebstahl                                                                              2                       2         0        2                  100,0 395010         EDS - Großviehdiebstahl gemäß § 242 StGB                                                             2                       2         0        2                  100,0 4*****         Diebstahl unter erschwerenden Umständen                                                          1.755      1.738        1.862     1.829      256        223        14,6          12,8 4**100         BSD insg. von Kraftwagen                                                                           107        108          114       114       15         15        14,0          13,9 4**200         BSD insg. von Moped/Krad                                                                            44         23           47        24       18          8        40,9          34,8 4**300         BSD insg. von Fahrrad                                                                              517        628          548       661       72         67        13,9          10,7 4**500         BSD insg. von unbaren Zahlungsmitteln                                                                4          7            4         7                   1          0,0         14,3 4**600         BSD insg. von amtlichen Siegeln und Stempeln                                                         1                       1         0                              0,0 4**700         BSD insg. von/aus Automaten                                                                         17          7           18         7        1          1          5,9         14,3 4**800         BSD insg. von Antiquitäten, Kunst- und sakralen Gegenständen                                         2                       2         0        2                  100,0 400000         Schwerer Diebstahl - Sonstiger                                                                     164        166          174       175       29         17        17,7          10,2 400010         BSD - Sonstiger                                                                                    161        163          171       171       26         15        16,1           9,2 400020         Sonstiger schwerer Diebstahl (ohne WED)                                                              2          3            2         3        2          2       100,0          66,7 400040         BSD - schw. Bandendieb. - Sonstiger                                                                  1                       1         0        1                  100,0 400100         Schwerer Diebstahl von Kraftwagen                                                                  104        107          110       113       14         15        13,5          14,0 400110         BSD - von Kraftwagen                                                                               102        106          108       112       12         14        11,8          13,2 400120         SDS - von Kraftwagen                                                                                            1            0         1                   1                     100,0 400130         BSD - Bandendieb. - von Kraftw.                                                                      1                       1         0        1                  100,0 400140         BSD - schw. Bandendieb. - von Kraftw.                                                                1                       1         0        1                  100,0 400200         Schwerer Diebstahl von Mopeds und Krafträdern                                                       43         22           46        23       18          7        41,9          31,8 400210         BSD - von Moped/Krad                                                                                43         22           46        23       18          7        41,9          31,8 400300         Schwerer Diebstahl von Fahrrädern                                                                  461        581          489       611       61         63        13,2          10,8 400310         BSD - von Fahrrad                                                                                  461        581          489       611       61         63        13,2          10,8 400700         Schwerer Diebstahl von/aus Automaten                                                                 9          6           10         6                              0,0          0,0 400710         BSD - von/aus Automaten                                                                              9          6           10         6                              0,0          0,0 401*00         Diebst. unter erschw. Umst. in/aus Gärten, Gartenanlagen, Gartenkolonien                            47         34           50        36       11          2        23,4           5,9 401000         Sonstiger Diebst. unter erschw. Umst. in/aus Gärten, Gartenanl., Gartenkolonien                     25         14           27        15        5          2        20,0          14,3
66

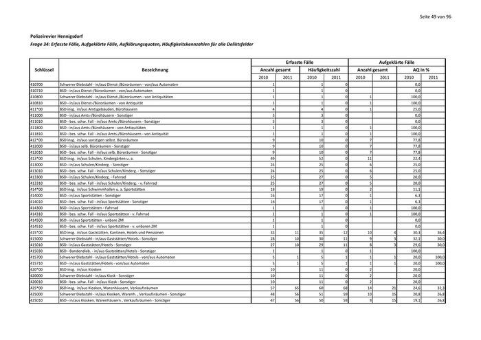
Seite 48 von 96 Polizeirevier Hennigsdorf Frage 34: Erfasste Fälle, Aufgeklärte Fälle, Aufklärungsquoten, Häufigkeitskennzahlen für alle Deliktsfelder Erfasste Fälle                            Aufgeklärte Fälle Schlüssel                                                     Bezeichnung                                   Anzahl gesamt         Häufigkeitszahl      Anzahl gesamt             AQ in % 2010       2011        2010       2011     2010       2011        2010         2011 401010         Sonstiger BSD in/aus Gärten, Gartenanlagen, Gartenkolonien                                          25         14          27         15       5          2         20,0          14,3 401100         Diebst. unter erschw. Umst. von Kraftwagen in/aus Gärten, Gartenanl., Gartenk.                       2          2           2          2                              0,0          0,0 401110         BSD von Kraftwagen in/aus Gärten, Gartenanlagen, Gartenkolonien                                      2          2           2          2                              0,0          0,0 401200         Diebst. unter erschw. Umst. von Moped/Krad in/aus Gärten, Gartenanl., Gartenk.                       2                      2          0       1                    50,0 401210         BSD von Moped/Krad in/aus Gärten, Gartenanlagen, Gartenkolonien                                      2                      2          0       1                    50,0 401300         Diebst. unter erschw. Umst. von Fahrrad in/aus Gärten, Gartenanl., Gartenk.                         18         18          19         19       5                    27,8           0,0 401310         BSD von Fahrrad in/aus Gärten, Gartenanlagen, Gartenkolonien                                        18         18          19         19       5                    27,8           0,0 402*00         Diebst. unter erschw. Umst. in/aus Bungalow, Gartenlauben                                           52         26          55         27       9          1         17,3           3,8 402000         Sonstiger Diebst. unter erschw. Umst. in/aus Bungalow, Gartenlauben                                 52         26          55         27       9          1         17,3           3,8 402010         Sonstiger BSD in/aus Bungalow, Gartenlauben                                                         52         26          55         27       9          1         17,3           3,8 403*00         Diebst. u. erschw. Umst. in/aus Bungalow, Gartenl., Gärten, Gartenanl., Gartenk.                    99         60         105         63      20          3         20,2           5,0 404*00         Diebst. unter erschw. Umst. in/aus Garagen, Carports                                                56         39          59         41       8          1         14,3           2,6 404000         Sonstiger Diebst. unter erschw. Umst. in/aus Garagen, Carports                                      31         28          33         29       3          1           9,7          3,6 404010         Sonstiger BSD in/aus Garagen, Carports                                                              31         28          33         29       3          1           9,7          3,6 404100         Diebst. unter erschw. Umst. von Kraftwagen in/aus Garagen, Carports                                  5          1           5          1                              0,0          0,0 404110         BSD von Kraftwagen in/aus Garagen, Carports                                                          5          1           5          1                              0,0          0,0 404200         Diebst. unter erschw. Umst. von Moped/Krad in/aus Garagen, Carports                                  9          4          10          4       4                    44,4           0,0 404210         BSD von Moped/Krad in/aus Garagen, Carports                                                          9          4          10          4       4                    44,4           0,0 404300         Diebst. unter erschw. Umst. von Fahrrad in/aus Garagen, Carports                                    11          6          12          6       1                      9,1          0,0 404310         BSD von Fahrrad in/aus Garagen, Carports                                                            11          6          12          6       1                      9,1          0,0 405*00         BSD insg. in/aus Banken, Sparkassen, Postfilialen und -agenturen und dgl.                                       2           0          2                  1                       50,0 405000         Schwerer Diebstahl - in/aus Banken, Sparkassen, Postfilialen und -agenturen                                     2           0          2                  1                       50,0 405010         BSD - in/aus Banken, Sparkassen, Postfilialen und -agenturen                                                    2           0          2                  1                       50,0 410*00         BSD insg. in/aus Dienst-, Büro-, Fabrikations-, Werkstatt- und Lagerräumen                         206        147         219        155      51         39         24,8          26,5 410000         Schwerer Diebstahl - in/aus Dienst-/Büroräumen - Sonstiger                                         172        128         182        135      43         38         25,0          29,7 410010         BSD - in/aus Dienst-/Büroräumen - Sonstiger                                                        172        128         182        135      43         38         25,0          29,7 410100         Schwerer Diebstahl - in/aus Dienst-/Büroräumen - von Kraftwagen                                      2          1           2          1       1                    50,0           0,0 410110         BSD - in/aus Dienst-/Büroräumen - v. Kraftw.                                                         2          1           2          1       1                    50,0           0,0 410200         Schwerer Diebstahl - in/aus Dienst-/Büroräumen - von Moped/Krad                                                 1           0          1                  1                      100,0 410210         BSD - in/aus Dienst-/Büroräumen - v. Moped/Krad                                                                 1           0          1                  1                      100,0 410300         Schwerer Diebstahl - in/aus Dienst-/Büroräumen - von Fahrrad                                        27         16          29         17       6                    22,2           0,0 410310         BSD - in/aus Dienst-/Büroräumen - v. Fahrrad                                                        27         16          29         17       6                    22,2           0,0 410500         Schwerer Diebstahl - in/aus Dienst-/Büroräumen - von unbaren ZM                                      2          1           2          1                              0,0          0,0 410510         BSD - in/aus Dienst-/Büroräumen - v. unbaren ZM                                                      2          1           2          1                              0,0          0,0 410600         Schwerer Diebstahl - in/aus Dienst-, Büroräumen - von amtl. Siegeln, Stempeln                        1                      1          0                              0,0 410610         BSD - bes. schw. Fall - in/aus Dienst-/Büroräumen - v. Siegeln                                       1                      1          0                              0,0
67

Seite 49 von 96 Polizeirevier Hennigsdorf Frage 34: Erfasste Fälle, Aufgeklärte Fälle, Aufklärungsquoten, Häufigkeitskennzahlen für alle Deliktsfelder Erfasste Fälle                           Aufgeklärte Fälle Schlüssel                                                        Bezeichnung                                Anzahl gesamt         Häufigkeitszahl     Anzahl gesamt             AQ in % 2010       2011        2010       2011    2010       2011        2010         2011 410700         Schwerer Diebstahl - in/aus Dienst-/Büroräumen - von/aus Automaten                                  1                      1          0                              0,0 410710         BSD - in/aus Dienst-/Büroräumen - von/aus Automaten                                                 1                      1          0                              0,0 410800         Schwerer Diebstahl - in/aus Dienst-/Büroräumen - von Antiquitäten                                   1                      1          0       1                   100,0 410810         BSD - in/aus Dienst-/Büroräumen - von Antiquität                                                    1                      1          0       1                   100,0 411*00         BSD insg. in/aus Amtsgebäuden, Bürohäusern                                                          4                      4          0       1                    25,0 411000         BSD - in/aus Amts-/Bürohäusern - Sonstiger                                                          3                      3          0                              0,0 411010         BSD - bes. schw. Fall - in/aus Amts-/Bürohäusern - Sonstiger                                        3                      3          0                              0,0 411800         BSD - in/aus Amts-/Bürohäusern - von Antiquitäten                                                   1                      1          0       1                   100,0 411810         BSD - bes. schw. Fall - in/aus Amts-/Bürohäusern - von Antiquität                                   1                      1          0       1                   100,0 412*00         BSD insg. in/aus sonstigen selbst. Büroräumen                                                       9                     10          0       7                    77,8 412000         BSD - in/aus selb. Büroräumen - Sonstiger                                                           9                     10          0       7                    77,8 412010         BSD - bes. schw. Fall - in/aus selb. Büroräumen - Sonstiger                                         9                     10          0       7                    77,8 413*00         BSD insg. in/aus Schulen, Kindergärten u. a.                                                       49                     52          0      11                    22,4 413000         BSD - in/aus Schulen/Kinderg. - Sonstiger                                                          24                     25          0       6                    25,0 413010         BSD - bes. schw. Fall - in/aus Schulen/Kinderg. - Sonstiger                                        24                     25          0       6                    25,0 413300         BSD - in/aus Schulen/Kinderg. - Fahrrad                                                            25                     27          0       5                    20,0 413310         BSD - bes. schw. Fall - in/aus Schulen/Kinderg. - v. Fahrrad                                       25                     27          0       5                    20,0 414*00         BSD insg. in/aus Schwimmhallen u. a. Sportstätten                                                  18                     19          0       2                    11,1 414000         BSD - in/aus Sportstätten - Sonstiger                                                              16                     17          0       1                      6,3 414010         BSD - bes. schw. Fall - in/aus Sportstätten - Sonstiger                                            16                     17          0       1                      6,3 414300         BSD - in/aus Sportstätten - Fahrrad                                                                 1                      1          0       1                   100,0 414310         BSD - bes. schw. Fall - in/aus Sportstätten - v. Fahrrad                                            1                      1          0       1                   100,0 414500         BSD - in/aus Sportstätten - unbare ZM                                                               1                      1          0                              0,0 414510         BSD - bes. schw. Fall - in/aus Sportstätten - v. unbaren ZM                                         1                      1          0                              0,0 415*00         BSD insg. in/aus Gaststätten, Kantinen, Hotels und Pensionen                                       33         11          35         12      10          4         30,3          36,4 415000         Schwerer Diebstahl - in/aus Gaststätten/Hotels - Sonstiger                                         28         10          30         11       9          3         32,1          30,0 415010         BSD - in/aus Gaststätten/Hotels - Sonstiger                                                        27         10          29         11       8          3         29,6          30,0 415030         BSD - Bandendieb. - in/aus Gaststätten/Hotels - Sonstiger                                           1                      1          0       1                   100,0 415700         Schwerer Diebstahl - in/aus Gaststätten/Hotels - von/aus Automaten                                  5          1           5          1       1          1         20,0         100,0 415710         BSD - in/aus Gaststätten/Hotels - von/aus Automaten                                                 5          1           5          1       1          1         20,0         100,0 420*00         BSD insg. in/aus Kiosken                                                                           10                     11          0       2                    20,0 420000         Schwerer Diebstahl - in/aus Kiosk - Sonstiger                                                      10                     11          0       2                    20,0 420010         BSD - bes. schw. Fall - in/aus Kiosk - Sonstiger                                                   10                     11          0       2                    20,0 425*00         BSD insg. in/aus Kiosken, Warenhäusern, Verkaufsräumen                                             57         65          60         68      14         21         24,6          32,3 425000         Schwerer Diebstahl - in/aus Kiosken, Warenh. , Verkaufsräumen - Sonstiger                          48         56          51         59      10         15         20,8          26,8 425010         BSD - in/aus Kiosken, Warenhäusern , Verkaufsräumen - Sonstiger                                    47         56          50         59       9         15         19,1          26,8
68

Seite 50 von 96 Polizeirevier Hennigsdorf Frage 34: Erfasste Fälle, Aufgeklärte Fälle, Aufklärungsquoten, Häufigkeitskennzahlen für alle Deliktsfelder Erfasste Fälle                            Aufgeklärte Fälle Schlüssel                                                        Bezeichnung                                Anzahl gesamt         Häufigkeitszahl      Anzahl gesamt             AQ in % 2010       2011        2010       2011     2010       2011        2010         2011 425030         BSD - Bandendieb. - in/aus Warenhäusern - Sonstiger                                                  1                      1          0       1                   100,0 425700         Schwerer Diebstahl - in/aus Warenhäusern - von/aus Automaten                                         2                      2          0                              0,0 425710         BSD - bes. schw. Fall - in/aus Warenhäusern - von/aus Automaten                                      2                      2          0                              0,0 426*00         BSD insg. - Ladendiebstahl                                                                           7          9           7          9       4          6         57,1          66,7 426000         Schwerer Diebstahl - Laden                                                                           7          9           7          9       4          6         57,1          66,7 426010         BSD - Laden                                                                                          6          5           6          5       4          2         66,7          40,0 426020         SDS - Laden                                                                                          1          4           1          4                  4           0,0        100,0 430*00         BSD insg. in/aus Schaufenstern, Schaukästen und Vitrinen                                             1                      1          0                              0,0 430000         Schwerer Diebstahl - in/aus Schaufenstern - Sonstiger                                                1                      1          0                              0,0 430010         BSD - bes. schw. Fall - in/aus Schaufenstern - Sonstiger                                             1                      1          0                              0,0 435*00         Wohnungseinbruchdiebstahl                                                                          228        170         242        179      28         25         12,3          14,7 435000         Wohnungseinbruchdiebstahl (ohne TWE) - sonstiger                                                    96         93         102         98      17         13         17,7          14,0 435500         Wohnungseinbruchdiebstahl - von unbaren ZM                                                                      2           0          2                  1                       50,0 436*00         Tageswohnungseinbruchdiebstahl                                                                     132         75         140         79      11         11           8,3         14,7 436000         Tageswohnungseinbruch (TWE) - sonstiger                                                            132         75         140         79      11         11           8,3         14,7 440*00         BSD insg. in/aus Boden-, Kellerräumen, Waschküchen                                                  68         52          72         55       9          6         13,2          11,5 440000         Schwerer Diebstahl - in/aus Boden-/Kellerr. - Sonstiger                                             37         21          39         22       3          2           8,1          9,5 440010         BSD - in/aus Boden-/Kellerr. - Sonstiger                                                            37         21          39         22       3          2           8,1          9,5 440200         Schwerer Diebstahl - in/aus Boden-/Kellerr. - Moped/Krad                                             1                      1          0                              0,0 440210         BSD - bes. schw. Fall - in/aus Boden-/Kellerr. - v. Moped/Krad                                       1                      1          0                              0,0 440300         Schwerer Diebstahl - in/aus Boden-/Kellerr. - v. Fahrrad                                            29         31          31         33       5          4         17,2          12,9 440310         BSD - in/aus Boden-/Kellerr. - v. Fahrrad                                                           29         31          31         33       5          4         17,2          12,9 440800         Schwerer Diebstahl - in/aus Boden-/Kellerr. - von Antiquität                                         1                      1          0       1                   100,0 440810         BSD - bes. schw. Fall - in/aus Boden-/Kellerr. - von Antiquität                                      1                      1          0       1                   100,0 445*00         BSD insg. in/aus Baubuden und Baustellen                                                            38         22          40         23       3                      7,9          0,0 445000         Schwerer Diebstahl - in/aus Baustellen - Sonstiger                                                  37         22          39         23       3                      8,1          0,0 445010         BSD - in/aus Baustellen - Sonstiger                                                                 37         22          39         23       3                      8,1          0,0 445100         Schwerer Diebstahl - in/aus Baustellen - v. Kraftw.                                                  1                      1          0                              0,0 445110         BSD - in/aus Baustellen - v. Kraftw.                                                                 1                      1          0                              0,0 450*00         SDS insg. an/aus Kfz                                                                               328        378         348        398      16         25           4,9          6,6 450000         SDS - an/aus Kfz von sonstigem Gut                                                                 326        374         346        393      16         25           4,9          6,7 450010         BSD - an/aus Kfz von sonstigem Gut                                                                 326        374         346        393      16         25           4,9          6,7 450500         SDS - aus Kfz von unbaren ZM                                                                         2          4           2          4                              0,0          0,0 450510         BSD - aus Kfz von unbaren ZM                                                                         2          4           2          4                              0,0          0,0 456000         Diebst. unter erschw. Umst. an Fahrrad - Sonstiger                                                   3          9           3          9       1                    33,3           0,0 456010         BSD - bes. schw. Fall - an Fahrrad                                                                   3                      3          0       1                    33,3
69

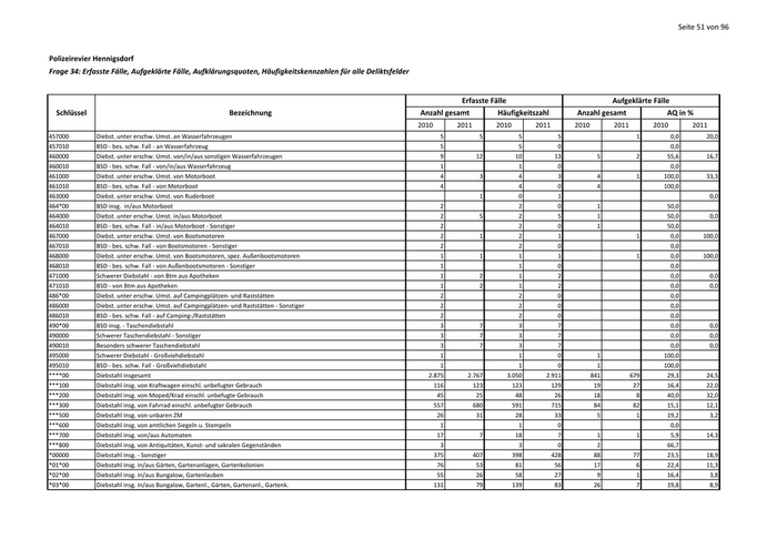
Seite 51 von 96 Polizeirevier Hennigsdorf Frage 34: Erfasste Fälle, Aufgeklärte Fälle, Aufklärungsquoten, Häufigkeitskennzahlen für alle Deliktsfelder Erfasste Fälle                            Aufgeklärte Fälle Schlüssel                                                      Bezeichnung                                  Anzahl gesamt         Häufigkeitszahl      Anzahl gesamt             AQ in % 2010       2011        2010       2011     2010       2011        2010         2011 457000         Diebst. unter erschw. Umst. an Wasserfahrzeugen                                                      5          5            5         5                   1          0,0         20,0 457010         BSD - bes. schw. Fall - an Wasserfahrzeug                                                            5                       5         0                              0,0 460000         Diebst. unter erschw. Umst. von/in/aus sonstigen Wasserfahrzeugen                                    9         12           10        13        5          2        55,6          16,7 460010         BSD - bes. schw. Fall - von/in/aus Wasserfahrzeug                                                    1                       1         0                              0,0 461000         Diebst. unter erschw. Umst. von Motorboot                                                            4          3            4         3        4          1       100,0          33,3 461010         BSD - bes. schw. Fall - von Motorboot                                                                4                       4         0        4                  100,0 463000         Diebst. unter erschw. Umst. von Ruderboot                                                                       1            0         1                                           0,0 464*00         BSD insg. in/aus Motorboot                                                                           2                       2         0        1                   50,0 464000         Diebst. unter erschw. Umst. in/aus Motorboot                                                         2          5            2         5        1                   50,0           0,0 464010         BSD - bes. schw. Fall - in/aus Motorboot - Sonstiger                                                 2                       2         0        1                   50,0 467000         Diebst. unter erschw. Umst. von Bootsmotoren                                                         2          1            2         1                   1          0,0        100,0 467010         BSD - bes. schw. Fall - von Bootsmotoren - Sonstiger                                                 2                       2         0                              0,0 468000         Diebst. unter erschw. Umst. von Bootsmotoren, spez. Außenbootsmotoren                                1          1            1         1                   1          0,0        100,0 468010         BSD - bes. schw. Fall - von Außenbootsmotoren - Sonstiger                                            1                       1         0                              0,0 471000         Schwerer Diebstahl - von Btm aus Apotheken                                                           1          2            1         2                              0,0          0,0 471010         BSD - von Btm aus Apotheken                                                                          1          2            1         2                              0,0          0,0 486*00         Diebst. unter erschw. Umst. auf Campingplätzen- und Raststätten                                      2                       2         0                              0,0 486000         Diebst. unter erschw. Umst. auf Campingplätzen- und Raststätten - Sonstiger                          2                       2         0                              0,0 486010         BSD - bes. schw. Fall - auf Camping-/Raststätten                                                     2                       2         0                              0,0 490*00         BSD insg. - Taschendiebstahl                                                                         3          7            3         7                              0,0          0,0 490000         Schwerer Taschendiebstahl - Sonstiger                                                                3          7            3         7                              0,0          0,0 490010         Besonders schwerer Taschendiebstahl                                                                  3          7            3         7                              0,0          0,0 495000         Schwerer Diebstahl - Großviehdiebstahl                                                               1                       1         0        1                  100,0 495010         BSD - bes. schw. Fall - Großviehdiebstahl                                                            1                       1         0        1                  100,0 ****00         Diebstahl insgesamt                                                                              2.875      2.767        3.050     2.911      841        679        29,3          24,5 ***100         Diebstahl insg. von Kraftwagen einschl. unbefugter Gebrauch                                        116        123          123       129       19         27        16,4          22,0 ***200         Diebstahl insg. von Moped/Krad einschl. unbefugte Gebrauch                                          45         25           48        26       18          8        40,0          32,0 ***300         Diebstahl insg. von Fahrrad einschl. unbefugter Gebrauch                                           557        680          591       715       84         82        15,1          12,1 ***500         Diebstahl insg. von unbaren ZM                                                                      26         31           28        33        5          1        19,2           3,2 ***600         Diebstahl insg. von amtlichen Siegeln u. Stempeln                                                    1                       1         0                              0,0 ***700         Diebstahl insg. von/aus Automaten                                                                   17          7           18         7        1          1          5,9         14,3 ***800         Diebstahl insg. von Antiquitäten, Kunst- und sakralen Gegenständen                                   3                       3         0        2                   66,7 *00000         Diebstahl insg. - Sonstiger                                                                        375        407          398       428       88         77        23,5          18,9 *01*00         Diebstahl insg. in/aus Gärten, Gartenanlagen, Gartenkolonien                                        76         53           81        56       17          6        22,4          11,3 *02*00         Diebstahl insg. in/aus Bungalow, Gartenlauben                                                       55         26           58        27        9          1        16,4           3,8 *03*00         Diebstahl insg. in/aus Bungalow, Gartenl., Gärten, Gartenanl., Gartenk.                            131         79          139        83       26          7        19,8           8,9
70

Zur nächsten Seite