Polizeistrukturreform - Polizeirevier Hennigsdorf

/ 385
PDF herunterladen
Seite 52 von 96 Polizeirevier Hennigsdorf Frage 34: Erfasste Fälle, Aufgeklärte Fälle, Aufklärungsquoten, Häufigkeitskennzahlen für alle Deliktsfelder Erfasste Fälle                            Aufgeklärte Fälle Schlüssel                                                       Bezeichnung                                 Anzahl gesamt         Häufigkeitszahl      Anzahl gesamt             AQ in % 2010       2011        2010       2011     2010       2011        2010         2011 *04*00         Diebstahl insg. in/aus Garagen, Carports                                                            62         43           66        45        8          1        12,9           2,3 *05*00         Diebstahl insg. in/aus Banken, Sparkassen, Postfilialen und -agenturen u. dgl.                       6          4            6         4                   2          0,0         50,0 *10*00         Diebstahl insg. in/aus Dienst-, Büro-, Fabrikations-,Werkstatt- u. Lagerräumen                     304        209          322       220       83         56        27,3          26,8 *11*00         Diebstahl insg. in/aus Amtsgebäuden, Bürohäusern                                                     6                       6         0        2                   33,3 *12*00         Diebstahl insg. in/aus sonstigen selbst. Büroräumen                                                 17                      18         0       10                   58,8 *13*00         Diebstahl insg. in/aus Schulen, Kindergärten u. a.                                                  75                      80         0       16                   21,3 *14*00         Diebstahl insg. in/aus Schwimmhallen u. a. Sportstätten                                             31                      33         0        4                   12,9 *15*00         Diebstahl insg. in/aus Gaststätten, Kantinen, Hotels und Pensionen                                  38         28           40        29       12         10        31,6          35,7 *20*00         Diebstahl insg. in/aus Kiosken                                                                      12                      13         0        2                   16,7 *25*00         Diebstahl insg. in/aus Kiosken, Warenhäusern, Verkaufsräumen                                       516        430          547       452      431        314        83,5          73,0 *26*00         Diebstahl insg. Ladendiebstahl                                                                     436        334          463       351      413        293        94,7          87,7 *30*00         Diebstahl insg. in/aus Schaufenstern, Schaukästen und Vitrinen                                       1                       1         0                              0,0 *35*00         Diebstahl insg. in/aus Wohnungen                                                                   285        223          302       235       64         60        22,5          26,9 *36*00         Tageswohnungseinbruch                                                                              132         75          140        79       11         11          8,3         14,7 *40*00         Diebstahl insg. in/aus Boden-, Kellerräumen und Waschküchen                                         77         70           82        74       10         13        13,0          18,6 *45*00         Diebstahl insg. in/aus Baubuden und Baustellen                                                      49         33           52        35        6          3        12,2           9,1 *50*00         Diebstahl insg. an/aus Kfz                                                                         491        530          521       558       31         33          6,3          6,2 *56000         Diebstahl insg. an Fahrrad                                                                          17         24           18        25        3          3        17,6          12,5 *57000         Diebstahl insg. an Wasserfahrzeug                                                                    6          5            6         5                   1          0,0         20,0 *60000         Diebstahl insg. von/in/aus Wasserfahrzeugen                                                         10         15           11        16        5          2        50,0          13,3 *61000         Diebstahl insg. von Motorboot                                                                        4          3            4         3        4          1       100,0          33,3 *63000         Diebstahl insg. von Ruderboot                                                                                   3            0         3                                           0,0 *64*00         Diebstahl insg. in/aus Motorboot                                                                     2          6            2         6        1                   50,0           0,0 *67000         Diebstahl insg. von Bootsmotoren                                                                     2          1            2         1                   1          0,0        100,0 *68000         Diebstahl insg. von Bootsmotoren, spez. Außenbootsmotoren                                            1          1            1         1                   1          0,0        100,0 *71000         Diebstahl insg. von Btm aus Apotheken                                                                1          2            1         2                              0,0          0,0 *85000         Diebstahl insg. auf Friedhöfen und Grabstätten                                                       8          3            8         3        3                   37,5           0,0 *86*00         Diebstahl insg. auf Campingplätzen- und Raststätten                                                  3                       3         0                              0,0 *90*00         Diebstahl insg. Taschendiebstahl                                                                    41         49           43        52                   3          0,0          6,1 *95000         Diebstahl insg. Großviehdiebstahl                                                                    3                       3         0        3                  100,0 500000         Vermögens- und Fälschungsdelikte                                                                 1.630      1.232        1.729     1.296    1.156        783        70,9          63,6 510000         Betrug                                                                                           1.307        977        1.387     1.028      919        621        70,3          63,6 511000         Waren- und Warenkreditbetrug                                                                       666        548          707       577      516        391        77,5          71,4 511100         Betrügerisches Erlangen von Kfz                                                                                 2            0         2                   1                      50,0 511200         Sonstiger Warenkreditbetrug                                                                        461        330          489       347      344        198        74,6          60,0 511201         Tankbetrug                                                                                         252        259          267       272      143        131        56,7          50,6
71

Seite 53 von 96 Polizeirevier Hennigsdorf Frage 34: Erfasste Fälle, Aufgeklärte Fälle, Aufklärungsquoten, Häufigkeitskennzahlen für alle Deliktsfelder Erfasste Fälle                            Aufgeklärte Fälle Schlüssel                                                    Bezeichnung                                    Anzahl gesamt         Häufigkeitszahl      Anzahl gesamt             AQ in % 2010       2011        2010       2011     2010       2011        2010         2011 511279         Weitere Arten des Warenkreditbetruges                                                              209         71         222         75      201         67        96,2          94,4 511300         Warenbetrug                                                                                        205        216         217        227      172        192        83,9          88,9 512000         Grundstücks- und Baubetrug                                                                           5          4           5          4        3          4        60,0         100,0 512001         Baubetrug                                                                                            1                      1          0        1                  100,0 512002         Grundstücksbetrug                                                                                    4                      4          0        2                   50,0 513000         Kapitalanlage- und Anlagebetrug                                                                      2          2           2          2        2          2       100,0         100,0 513200         Anlagebetrug                                                                                         2          2           2          2        2          2       100,0         100,0 514000         Geldkreditbetrug                                                                                     3          4           3          4        1          2        33,3          50,0 514300         Krediterlangungsbetrug                                                                               2          2           2          2        1          2        50,0         100,0 514400         Wechselbetrug                                                                                        1          2           1          2                              0,0          0,0 515000         Erschleichen von Leistungen                                                                         63         48          67         51       59         43        93,7          89,6 515001         Beförderungserschleichung                                                                           63         43          67         45       59         40        93,7          93,0 516000         Betrug bzw. Computerbetrug mittels rechtswidrig erlangter unbarer Zahlungsmittel                    59         62          63         65       10         11        16,9          17,7 516100         Betrug m. rechtsw. erl. Schecks                                                                      1                      1          0                              0,0 516200         Betrug mittels rechtswidrig erlangter Zahlungskarten ohne PIN (Lastschriftverfahren)                 2          6           2          6                   5          0,0         83,3 516300         Computerbetrug mittels rechtswidrig erlanger Zahlungskarten mit PIN                                 14         15          15         16        3          4        21,4          26,7 516400         Betrug m. rechtsw. erlangter Kreditkarten                                                            2          2           2          2                              0,0          0,0 516500         Betrug bzw. Computerbetrug mittels rechtswidrig erlangter Daten von Zahlungskarten                  36         35          38         37        7          2        19,4           5,7 516900         Betrug bzw. Computerbetrug mittels rechtswidrig erlangter sonstiger unbarer Zahlungsmittel           4          4           4          4                              0,0          0,0 517000         Sonstiger Betrug                                                                                   509        309         540        325      328        168        64,4          54,4 517100         Leistungsbetrug                                                                                      5          7           5          7        3          5        60,0          71,4 517200         Leistungskreditbetrug                                                                              110         21         117         22       78         17        70,9          81,0 517300         Arbeitsvermittlungsbetrug                                                                                       1           0          1                   1                     100,0 517400         Betrug z.N.v. Versich. und Versich.missbrauch                                                        6          3           6          3        5          4        83,3         133,3 517410         Betrug zum Nachteil von Versicherungen                                                               6          2           6          2        5          3        83,3         150,0 517420         Versicherungsmissbrauch                                                                                         1           0          1                   1                     100,0 517500         Computerbetrug (sonstiger)                                                                          38         27          40         28        7          3        18,4          11,1 517600         Provisionsbetrug                                                                                     1                      1          0        1                  100,0 517700         Betrug z.N.v. Sozialversich. und SV-trägern                                                          1                      1          0        1                  100,0 517800         Sozialleistungsbetrug                                                                                7         12           7         13        6         12        85,7         100,0 517900         Missbräuchliche Nutzung von Telekommunikationsdiensten                                              10          2          11          2        6          1        60,0          50,0 518100         Abrechnungsbetrug                                                                                    6          6           6          6        3          3        50,0          50,0 518110         Abrechnungsbetrug im Gesundheitswesen                                                                1                      1          0        1                  100,0 518179         Sonstiger Abrechnungsbetrug                                                                          5          6           5          6        2          3        40,0          50,0 518200         Einmietbetrug                                                                                       11          7          12          7       10          7        90,9         100,0 518300         Überweisungsbetrug                                                                                  15          9          16          9        8          5        53,3          55,6
72

Seite 54 von 96 Polizeirevier Hennigsdorf Frage 34: Erfasste Fälle, Aufgeklärte Fälle, Aufklärungsquoten, Häufigkeitskennzahlen für alle Deliktsfelder Erfasste Fälle                            Aufgeklärte Fälle Schlüssel                                                    Bezeichnung                                    Anzahl gesamt         Häufigkeitszahl      Anzahl gesamt             AQ in % 2010       2011        2010       2011     2010       2011        2010         2011 518310         Kontoeröffnungsbetrug                                                                                2                      2          0        2                  100,0 518320         Überweisungsbetrug                                                                                  13          9          14          9        6          5        46,2          55,6 518400         Zechbetrug                                                                                           4          3           4          3        4          3       100,0         100,0 518800         Kreditvermittlungsbetrug                                                                             1          1           1          1        1          1       100,0         100,0 518900         Sonstige weitere Betrugsarten                                                                      294        210         312        221      195        106        66,3          50,5 520000         Veruntreuungen                                                                                      44         11          47         12       44         10       100,0          90,9 521000         Untreue                                                                                             17          4          18          4       17          3       100,0          75,0 521079         Sonstige Untreue                                                                                    17          2          18          2       17          2       100,0         100,0 521100         Untreue bei Kapitalanlagegeschäften                                                                             2           0          2                   1                      50,0 522000         Vorenthalten und Veruntreuen von Arbeitsentgelt                                                     27          7          29          7       27          7       100,0         100,0 530000         Unterschlagung                                                                                     180        146         191        154      119         88        66,1          60,3 530010         Sonstige Unterschlagung ohne von Kfz                                                               145                    154          0       87                   60,0 530020         Sonstige Unterschlagung gemäß § 247 - ohne von Kfz                                                  10                     11          0       10                  100,0 530030         Unterschlagung geringwertiger Sachen                                                                 7                      7          0        6                   85,7 531000         Unterschlagung von Kfz                                                                              18         14          19         15       16         14        88,9         100,0 531010         Unterschlagung von Kfz gemäß § 246, 247 StGB                                                        17                     18          0       15                   88,2 531020         Unterschlagung von Kfz gemäß § 247 StGB                                                              1                      1          0        1                  100,0 540000         Urkundenfälschung                                                                                   86         73          91         77       65         44        75,6          60,3 540001         Sonstige Urkundenfälschung                                                                          49         38          52         40       44         30        89,8          78,9 540002         Mittelbare Falschbeurkundung                                                                         1          1           1          1                              0,0          0,0 540003         Verändern von amtl. Ausweisen                                                                        3                      3          0        3                  100,0 540004         Urkundenunterdrückung; Veränderung einer Grenzbezeichnung § 274 StGB                                 1                      1          0        1                  100,0 540010         Missbrauch von Ausweispapieren                                                                                  3           0          3                   3                     100,0 541000         Fälschung technischer Aufzeichnungen                                                                 3                      3          0        3                  100,0 541079         Sonstige Fälsch. technischer Aufzeichnungen                                                          3                      3          0        3                  100,0 542000         Fälschung zur Erlangung von Btm                                                                      2          6           2          6        1          4        50,0          66,7 543000         Fälsch. beweiserhebl. Daten, Täusch. im Rechtsverkehr b. Datenverarb.                               27         25          29         26       13          7        48,1          28,0 543010         Fälschung beweiserheblicher Daten                                                                   27         25          29         26       13          7        48,1          28,0 550000         Geld- und Wertzeichenfälschung                                                                      12         23          13         24        8         18        66,7          78,3 551000         Geld- und Wertzeichenfälschung einschl. Vorbereitungshandlungen                                      2          2           2          2        2          2       100,0         100,0 551020         Wertzeichenfälschung                                                                                 2          2           2          2        2          2       100,0         100,0 552000         Inverkehrbringen von Falschgeld §§ 146 Abs. 1 Nr. 3, 147 StGB                                        5          6           5          6        5          6       100,0         100,0 552010         Inverkehrbringen von Falschgeld gemäß § 146 Abs. 1 Nr. 3 StGB                                                   1           0          1                   1                     100,0 552020         Inverkehrbringen von Falschgeld gemäß § 147 StGB (nach gutgläubigem Erwerb)                          5          5           5          5        5          5       100,0         100,0 553000         Fälsch. v. Zahlungskarten mit/ohne Garantiefunktion, Schecks u. Wechseln                             5         15           5         16        1         10        20,0          66,7 553100         Gebr. falscher Zahlungsk. mit oder ohne Garantiefunktion, Schecks und Wechsel                        3         15           3         16        1         10        33,3          66,7
73

Seite 55 von 96 Polizeirevier Hennigsdorf Frage 34: Erfasste Fälle, Aufgeklärte Fälle, Aufklärungsquoten, Häufigkeitskennzahlen für alle Deliktsfelder Erfasste Fälle                            Aufgeklärte Fälle Schlüssel                                                     Bezeichnung                                   Anzahl gesamt         Häufigkeitszahl      Anzahl gesamt             AQ in % 2010       2011        2010       2011     2010       2011        2010         2011 553110         Gebrauch falscher Zahlungskarten o. Garantiefunktion, Schecks und Wechsel                            1          1            1         1                   1          0,0        100,0 553120         Gebrauch falscher Zahlungskarten mit Garantiefunktion                                                2         14            2        15        1          9        50,0          64,3 553200         Nachmachen, Verfälschen, Verschaffen, Feilhalten o. Überl. falscher Zahlungsk                        2                       2         0                              0,0 553210         Nachm., Verfälsch, Verschaff falscher Zahlungsk. o. Garantiefunktion                                 2                       2         0                              0,0 560000         Insolvenzstraftaten                                                                                  1          2            1         2        1          2       100,0         100,0 561000         Bankrott                                                                                             1          2            1         2        1          2       100,0         100,0 600000         Sonstige Straftatbestände (StGB)                                                                 1.841      1.716        1.953     1.805      896        867        48,7          50,5 610000         Erpressung                                                                                           5          4            5         4        5          2       100,0          50,0 610079         Sonstige Erpressung                                                                                  5          4            5         4        5          2       100,0          50,0 620000         Widerstand gg. die Staatsgewalt und ST gg. die öff. Ordnung                                        183        163          194       171      165        148        90,2          90,8 620001         Störung des öffentl. Friedens durch Androhung von ST                                                12          3           13         3        9          2        75,0          66,7 620005         Amtsanmaßung                                                                                         2          2            2         2        1          2        50,0         100,0 620013         Missbr. von Notrufen und Beeintr. v. Unfallverhütungs- und Nothilfemitteln                          15         12           16        13       10          9        66,7          75,0 620014         Verstoß gg. Weisung während Führungsaufsicht                                                         2          1            2         1        2          1       100,0         100,0 621000         Widerstand gg. die Staatsgewalt                                                                     35         31           37        33       35         31       100,0         100,0 621010         Öffentliche Aufforderung zu Straftaten                                                                          2            0         2                   2                     100,0 621020         Widerstand gg. Vollstreckungsbeamte                                                                 34         29           36        31       34         29       100,0         100,0 621021         Widerstand gegen Polizeivollzugsbeamte                                                              34         29           36        31       34         29       100,0         100,0 621030         Widerstand gegen gleichgestellte Personen                                                            1                       1         0        1                  100,0 622000         Hausfriedensbruch                                                                                   84         91           89        96       77         80        91,7          87,9 622100         Hausfriedensbruch gemäß § 123 StGB                                                                  84         91           89        96       77         80        91,7          87,9 624000         Vortäuschen einer Straftat                                                                          22         17           23        18       22         17       100,0         100,0 624079         Vortäuschen einer sonstigen Straftat                                                                16         13           17        14       16         13       100,0         100,0 624100         Vortäuschen eines Raubes                                                                             2          2            2         2        2          2       100,0         100,0 624200         Vortäuschen eines Diebstahls                                                                         4          2            4         2        4          2       100,0         100,0 624279         Vortäuschen eines sonstigen Diebstahls                                                               4          2            4         2        4          2       100,0         100,0 627000         Volksverhetzung                                                                                     11          6           12         6        9          6        81,8         100,0 630000         Begünstigung, Strafvereitelung, Hehlerei u. Geldwäsche                                              18         26           19        27       18         23       100,0          88,5 630010         Begünstigung                                                                                         1                       1         0        1                  100,0 630020         Strafvereitelung                                                                                     3          4            3         4        3          4       100,0         100,0 632000         Sonstige Hehlerei                                                                                    9         11           10        12        9         11       100,0         100,0 632079         Sonstige Hehlerei                                                                                    9         11           10        12        9         11       100,0         100,0 633000         Geldwäsche, Verschleierung unrechtmäßig erl. Vermögenswerte                                          5         11            5        12        5          8       100,0          72,7 640000         Brandstiftung und Herbeiführen einer Brandgefahr                                                    41         88           43        93       15         51        36,6          58,0 640010         Fahrlässige Brandstiftung                                                                           16         30           17        32       10         17        62,5          56,7 640020         Fahrlässiges Herbeiführen einer Brandgefahr                                                          2          3            2         3        2          3       100,0         100,0
74

Seite 56 von 96 Polizeirevier Hennigsdorf Frage 34: Erfasste Fälle, Aufgeklärte Fälle, Aufklärungsquoten, Häufigkeitskennzahlen für alle Deliktsfelder Erfasste Fälle                            Aufgeklärte Fälle Schlüssel                                                       Bezeichnung                                 Anzahl gesamt         Häufigkeitszahl      Anzahl gesamt             AQ in % 2010       2011        2010       2011     2010       2011        2010         2011 641000         (Vorsätzliche) Brandstiftung und Herbeiführen einer Brandgefahr                                     23         55           24        58        3         31        13,0          56,4 641010         Vorsätzliche Brandstiftung                                                                          17         44           18        46        1         26          5,9         59,1 641020         Schwere Brandstiftung                                                                                4          6            4         6        1          3        25,0          50,0 641030         Besonders schwere Brandstiftung                                                                      1          1            1         1                   1          0,0        100,0 641050         Vorsätzliches Herbeiführen einer Brandgefahr                                                         1          4            1         4        1          1       100,0          25,0 650000         Wettbewerbs-, Korruptions- und Amtsdelikte                                                           6          8            6         8        4          5        66,7          62,5 651000         Vorteilsannahme, Bestechlichkeit                                                                                3            0         3                   3                     100,0 651100         Vorteilsannahme § 331 StGB                                                                                      1            0         1                   1                     100,0 651200         Bestechlichkeit § 332 StGB                                                                                      2            0         2                   2                     100,0 655000         Sonstige Straftaten im Amt                                                                           6          5            6         5        4          2        66,7          40,0 655001         Strafvereitelung im Amt                                                                              3          1            3         1        3          1       100,0         100,0 655006         Falschbeurkundung im Amt                                                                                        1            0         1                   1                     100,0 655100         Körperverletzung im Amt                                                                              2          3            2         3        1                   50,0           0,0 655200         Verletzung des Dienstgeheimnisses                                                                    1                       1         0                              0,0 660000         Strafbarer Eigennutz                                                                                            7            0         7        1          6                      85,7 660010         Vereiteln der Zwangsvollstreckung                                                                               1            0         1                   1                     100,0 661000         Glücksspiel                                                                                                     1            0         1        1          1                     100,0 661010         Unerlaubte Veranstaltung eines Glücksspiels                                                                     1            0         1        1          1                     100,0 662000         Wilderei                                                                                                        5            0         5                   4                      80,0 662001         Fischwilderei                                                                                                   4            0         4                   4                     100,0 662100         Jagdwilderei                                                                                                    1            0         1                                           0,0 670000         Alle sonstigen ST gemäß StGB - ohne Verkehrsdelikte                                              1.588      1.420        1.685     1.494      688        632        43,3          44,5 670001         Falsche uneidliche Aussage (Falschaussage)                                                           1          2            1         2        1          2       100,0         100,0 670003         Falsche Versicherung an Eides statt                                                                  6          3            6         3        6          3       100,0         100,0 670006         Fahrl. Falscheid, fahrl. falsche Versicherung an Eides statt                                         1          1            1         1        1          1       100,0         100,0 670007         Falsche Verdächtigung                                                                               32         33           34        35       32         32       100,0          97,0 670011         Störung der Totenruhe                                                                                4          1            4         1        2                   50,0           0,0 670015         Üble Nachrede und Verleumdung gg. Personen des politischen Lebens                                               1            0         1                   1                     100,0 670016         Verletzung der Vertraulichkeit des Wortes                                                            1                       1         0        1                  100,0 670017         Verletzung des Briefgeheimnisses                                                                     5          5            5         5        2          4        40,0          80,0 670018         Verletzung von Privatgeheimnissen                                                                    2          1            2         1        2          1       100,0         100,0 670020         Verletzung des Post- u. Fernmeldegeheimnisses                                                                   1            0         1                   1                     100,0 670024         Gefährl. Eingriffe in den Bahn-, Schiffs- und Luftverkehr                                           11          5           12         5        7          2        63,6          40,0 670025         Gefährliche Eingriffe in den Straßenverkehr                                                         26         25           28        26       15         14        57,7          56,0 670026         Störung öffentlicher Betriebe                                                                        8          1            8         1                              0,0          0,0 670027         Störung von Telekommunikationsanlagen                                                                2          3            2         3                              0,0          0,0
75

Seite 57 von 96 Polizeirevier Hennigsdorf Frage 34: Erfasste Fälle, Aufgeklärte Fälle, Aufklärungsquoten, Häufigkeitskennzahlen für alle Deliktsfelder Erfasste Fälle                            Aufgeklärte Fälle Schlüssel                                                    Bezeichnung                                    Anzahl gesamt         Häufigkeitszahl      Anzahl gesamt             AQ in % 2010       2011        2010       2011     2010       2011        2010         2011 670032         Unterlassene Hilfeleistung                                                                           7          8            7         8        5          6        71,4          75,0 670034         Verl. des höchstpersönl. Lebensbereiches durch Bildaufnahmen                                         3          3            3         3        2          3        66,7         100,0 671000         Verletzung der Unterhaltspflicht                                                                    23         34           24        36       23         34       100,0         100,0 672000         Verletzung der Fürsorge- oder Erziehungspflicht                                                     19         19           20        20       18         18        94,7          94,7 673000         Beleidigung                                                                                        290        253          308       266      268        226        92,4          89,3 673010         Beleidigung ohne sex. Grundlage                                                                    193        183          205       193      183        169        94,8          92,3 673020         Üble Nachrede ohne sex. Grundlage                                                                   31         20           33        21       28         17        90,3          85,0 673030         Verleumdung ohne sex. Grundlage                                                                     44         38           47        40       40         34        90,9          89,5 673100         Beleidigung auf sex. Grundlage                                                                      22         12           23        13       17          6        77,3          50,0 673110         Beleidigung auf sex. Grundlage                                                                      19          8           20         8       15          2        78,9          25,0 673120         Üble Nachrede auf sex. Grundlage                                                                     1                       1         0        1                  100,0 673130         Verleumdung auf sex. Grundlage                                                                       2          4            2         4        1          4        50,0         100,0 674000         Sachbeschädigung                                                                                 1.123      1.000        1.191     1.052      296        278        26,4          27,8 674010         Sachbeschädigung (ohne 674100, 674300)                                                             781        694          829       730      217        179        27,8          25,8 674011         Sachbeschädigung durch Graffiti (ohne 674111, 674311)                                              421        340          447       358       77         43        18,3          12,6 674012         Sachbeschädigung durch Feuer (ohne 674312)                                                          33         52           35        55        4         18        12,1          34,6 674019         Sonstige Sachbeschäd. (ohne 674119, 674319)                                                        327        302          347       318      136        118        41,6          39,1 674020         Gemeinschädl. Sachb. (ohne 674320)                                                                  33         26           35        27        6          6        18,2          23,1 674021         Gemeinschädl. Sachb. durch Graffiti (ohne 674321)                                                    8          8            8         8        2          1        25,0          12,5 674022         Gemeinschädl. Sachb. durch Feuer (ohne 674322)                                                      11          4           12         4                   2          0,0         50,0 674029         Sonstige gemeinschädl. Sachb. (ohne 674329)                                                         14         14           15        15        4          3        28,6          21,4 674100         Sachbeschädigung an Kfz                                                                            231        198          245       208       44         78        19,0          39,4 674111         Sachbeschädigung durch Graffiti an Kfz                                                              16         11           17        12        7          2        43,8          18,2 674119         Sonstige Sachbeschädigung an Kfz                                                                   215        187          228       197       37         76        17,2          40,6 674200         Datenveränderung, Computersabotage                                                                             10            0        11                   3                      30,0 674210         Datenveränderung                                                                                               10            0        11                   3                      30,0 674300         Sonstige Sachb. auf Straßen, Wegen oder Plätzen                                                     77         69           82        73       28          9        36,4          13,0 674310         Sonst. Sachb. auf Straßen/Wegen/Plätzen gemäß § 303 StGB                                            60         50           64        53       24          6        40,0          12,0 674311         Sonst. Sachb. durch Graffiti auf Straßen/Wegen/Plätzen                                              10         10           11        11        7          2        70,0          20,0 674312         Sonst. Sachb. durch Feuer auf Straßen/Wegen/Plätzen                                                             2            0         2                                           0,0 674319         Sonstige Sachb. auf Straßen/Wegen/Plätzen                                                           50         38           53        40       17          4        34,0          10,5 674320         Gemeinschädl. Sachb. auf Straßen/Wegen/Plätzen                                                      17         19           18        20        4          3        23,5          15,8 674321         Gemeinschädl. Sachb. durch Graffiti auf Straßen/Wegen/Plätzen                                        4          1            4         1        3                   75,0           0,0 674329         Sonstige gemeinschädl. Sachb. auf Straßen/Wegen/Plätzen                                             13         18           14        19        1          3          7,7         16,7 674500         Zerstörung wichtiger Arbeitsmittel                                                                   1          3            1         3        1          3       100,0         100,0 674519         Sonstige Zerstörung wichtiger Arbeitsmittel                                                          1          3            1         3        1          3       100,0         100,0
76

Seite 58 von 96 Polizeirevier Hennigsdorf Frage 34: Erfasste Fälle, Aufgeklärte Fälle, Aufklärungsquoten, Häufigkeitskennzahlen für alle Deliktsfelder Erfasste Fälle                            Aufgeklärte Fälle Schlüssel                                                     Bezeichnung                                   Anzahl gesamt         Häufigkeitszahl      Anzahl gesamt             AQ in % 2010       2011        2010       2011     2010       2011        2010         2011 675000         Sprengstoff- und Strahlungsverbrechen                                                                2          2           2          2                              0,0          0,0 675200         Herbeiführen einer Sprengstoffexplosion                                                              2          2           2          2                              0,0          0,0 676000         Straftaten gg. die Umwelt                                                                            9          7          10          7        4          2        44,4          28,6 676010         Bodenverunreinigung                                                                                  2          3           2          3        1                   50,0           0,0 676011         Bodenverunreinigung 324a StGB                                                                        2          3           2          3        1                   50,0           0,0 676100         Gewässerverunreinigung                                                                                          1           0          1                                           0,0 676101         Gewässerverunreinigung § 324 StGB                                                                               1           0          1                                           0,0 676400         Unerlaubter Umgang mit gefährlichen Abfällen                                                         7          3           7          3        3          2        42,9          66,7 676410         Unerl. Umgang mit Abfällen                                                                           6          3           6          3        2          2        33,3          66,7 676411         Unerl. Umgang mit Abfällen § 326 Abs. 1                                                              6          3           6          3        2          2        33,3          66,7 676420         Unerl. Umgang mit Abfällen                                                                           1                      1          0        1                  100,0 676421         Unerl. Umgang mit Abfällen § 326 Abs. 3                                                              1                      1          0        1                  100,0 678000         Ausspähen von Daten                                                                                 13         12          14         13        3          4        23,1          33,3 678010         Ausspähen von Daten gemäß § 202a StGB                                                                9         11          10         12        2          4        22,2          36,4 678020         Abfangen von Daten gemäß § 202b StGB                                                                 1                      1          0        1                  100,0 678030         Vorbereiten des Ausspähens und Abfangens von Daten                                                   3          1           3          1                              0,0          0,0 700000         Strafrechtliche Nebengesetze                                                                       340        261         361        275      310        238        91,2          91,2 710000         ST gg. strafrechtl. Nebengesetze auf dem Wirtschaftssektor                                          24         20          25         21       21         18        87,5          90,0 712000         Straftaten nach AktG, GenG, GmbHG, HGB, RechnungslegungsG, UmwandlungsG, InsO                        5          5           5          5        5          5       100,0         100,0 712200         Insolvenzverschleppung § 15a InsO                                                                    5          5           5          5        5          5       100,0         100,0 715000         ST i.Z.m. Urheberrechtsbestimmungen                                                                 10          7          11          7        8          6        80,0          85,7 715040         Kunsturheberrechtsgesetz                                                                             3          3           3          3        2          3        66,7         100,0 715050         UHG -sonstige Verstöße- (ohne Schl. 715100 u. 725200)                                                6          1           6          1        6                  100,0           0,0 715200         Softwarepiraterie in Form gewerbsmäßigen Handelns                                                               1           0          1                   1                     100,0 715300         Verrat von Betriebs- und Geschäftsgeheim. nach § 17 Abs. 1 und 4 UWG                                            2           0          2                   2                     100,0 715400         Verrat von Betriebs- und Geschäftsgeheim. nach § 17 Abs. 2 und 4 UWG                                 1                      1          0                              0,0 716000         ST i.Z.m. Lebensmitteln (z.B. Lebensmittel- und Futtermittelgesetzbuch)                              6          5           6          5        6          4       100,0          80,0 716100         ST nach dem Lebensmittel- und Bedarfsgg.ständegesetz                                                            2           0          2                   2                     100,0 716200         ST nach dem Arzneimittelgesetz                                                                       6          3           6          3        6          2       100,0          66,7 716210         ST nach dem AMG gemäß § 95                                                                           4          3           4          3        4          2       100,0          66,7 716213         Unerl. Handel, Abgabe, Bezug von verschreibungspflichtigen Arzneimitteln                             1          2           1          2        1          1       100,0          50,0 716217         Bes. schw. Fall des Verstoßes gg. das AMG                                                                       1           0          1                   1                     100,0 716219         Sonstige ST nach dem AMG gemäß § 95                                                                  3                      3          0        3                  100,0 716220         ST nach dem Arzneimittelgesetz gemäß § 96 AMG                                                        2                      2          0        2                  100,0 719000         Sonst. ST (Nebengesetze) a. d. Wirtschaftssektor (z.B. RennwG)                                       3          3           3          3        2          3        66,7         100,0 719079         Sonstige Nebengesetze auf dem Wirtschaftssektor                                                      1          1           1          1        1          1       100,0         100,0
77

Seite 59 von 96 Polizeirevier Hennigsdorf Frage 34: Erfasste Fälle, Aufgeklärte Fälle, Aufklärungsquoten, Häufigkeitskennzahlen für alle Deliktsfelder Erfasste Fälle                            Aufgeklärte Fälle Schlüssel                                                     Bezeichnung                                   Anzahl gesamt         Häufigkeitszahl      Anzahl gesamt             AQ in % 2010       2011        2010       2011     2010       2011        2010         2011 719200         ST nach UWG ohne § 17                                                                                2          2           2          2        1          2        50,0         100,0 720000         ST gg. sonstige strafrechtliche Nebengesetze -ohne Verkehrsdelikte-                                193        109         205        115      179        103        92,7          94,5 720001         Vereinsgesetz                                                                                        1                      1          0        1                  100,0 720002         Versammlungsgesetze des Bundes und der Länder                                                        2          1           2          1        1          1        50,0         100,0 720009         Telekommunikationsgesetz                                                                             1                      1          0                              0,0 720011         ST gemäß § 4 Gewaltschutzgesetz                                                                     13          4          14          4       13          4       100,0         100,0 720014         Luftsicherheitsgesetz                                                                                1                      1          0        1                  100,0 720079         Sonstige strafrechtliche Nebengesetze                                                                3          3           3          3        3          3       100,0         100,0 722000         ST gg. § 27 Abs. 1 des Jugendschutzgesetzes                                                          1                      1          0        1                  100,0 725000         Straftaten gegen das Aufenthalts-, das Asyl- und das Freizügigkeitsgesetz/EU                        91         54          97         57       91         54       100,0         100,0 725200         Einschleusen von Ausländern gemäß § 96 Aufenthaltsgesetz                                             1                      1          0        1                  100,0 725210         Einschleusen v. Ausländern gemäß § 96 Abs. 1 und 4 Aufenthaltsgesetz                                 1                      1          0        1                  100,0 725300         Erschleichen eines Aufenthaltstitels gemäß § 95 Abs. 2 Nr. 2 Aufenthaltsgesetz                       1                      1          0        1                  100,0 725320         Erschleichen oder Gebrauch eines Aufenthaltstitels (Aufenthaltserlaubnis)                            1                      1          0        1                  100,0 725321         Aufenthaltstitels (Aufenthaltserlaubnis) durch Scheinehe                                             1                      1          0        1                  100,0 725400         Einschleusen mit Todesfolge; gewerbs- und bandenm. Einschl. v. Ausländern                            1                      1          0        1                  100,0 725420         Gewerbs- und bandenmäßiges Einschleusen von Ausländern                                               1                      1          0        1                  100,0 725500         Straftaten gegen §§ 84, 85 Asylgesetz                                                                4          4           4          4        4          4       100,0         100,0 725520         Straftaten gegen § 85 Asylgesetz                                                                     4          4           4          4        4          4       100,0         100,0 725700         Unerl. Aufenthalt gem. § 95 Abs. 1 Nr. 1, 2 und Abs. 2 Nr. 1b Aufenthaltsgesetz                     68         33          72         35       68         33       100,0         100,0 725710         Unerl. Aufenthalt gemäß § 95 Abs. 1 Nr. 1 und 2 AufenthG                                            65         33          69         35       65         33       100,0         100,0 725720         Unerlaubter Aufenthalt nach Ausweisung/Abschiebung                                                   3                      3          0        3                  100,0 725900         Sonstige Verstöße gg. das Aufenthaltsgesetz                                                         16         17          17         18       16         17       100,0         100,0 726000         ST gg. das Sprengstoff-, das Waffen- und das KriegswaffenkontrollG                                  79         46          84         48       68         40        86,1          87,0 726100         ST gg. das Sprengstoffgesetz                                                                         3          9           3          9        3          6       100,0          66,7 726200         ST gg. das Waffengesetz                                                                             71         37          75         39       62         34        87,3          91,9 726300         ST gg. das Kriegswaffenkontrollgesetz                                                                5                      5          0        3                   60,0 728000         ST gg. das Bundes- (oder Landes-) Datenschutzgesetz                                                  1          1           1          1                   1          0,0        100,0 728010         ST gg. Landesdatenschutzgesetz                                                                       1                      1          0                              0,0 728020         ST gg. das Bundesdatenschutzgesetz                                                                              1           0          1                   1                     100,0 730000         Rauschgiftdelikte -BtMG-                                                                           114        118         121        124      106        110        93,0          93,2 731000         Allg. Verstöße gemäß § 29 BtMG (soweit nicht unter 7340 pp. zu erfassen)                            87         85          92         89       82         83        94,3          97,6 731100         Allg. Verstoß (§ 29 BtMG) - mit Heroin                                                               1                      1          0        1                  100,0 731200         Allgemeiner Verstoß (§ 29 BtMG) - mit Kokain einschl. Crack                                          6          4           6          4        4          5        66,7         125,0 731202         Allg. Verstoß (§ 29 BtMG) - Kokain                                                                   6          4           6          4        4          5        66,7         125,0 731400         Allg. Verstoß - mit Amphet./Methamphet in Pulver- o. flüss. Form                                    15         15          16         16       13         14        86,7          93,3
78

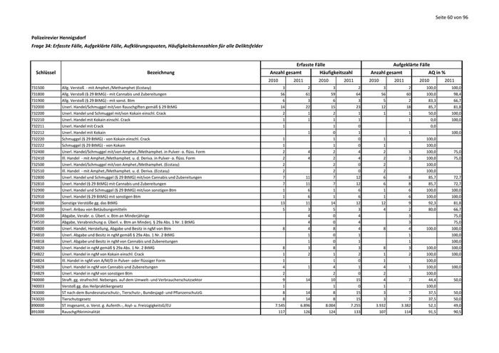
Seite 60 von 96 Polizeirevier Hennigsdorf Frage 34: Erfasste Fälle, Aufgeklärte Fälle, Aufklärungsquoten, Häufigkeitskennzahlen für alle Deliktsfelder Erfasste Fälle                            Aufgeklärte Fälle Schlüssel                                                        Bezeichnung                                Anzahl gesamt         Häufigkeitszahl      Anzahl gesamt             AQ in % 2010       2011        2010       2011     2010       2011        2010         2011 731500         Allg. Verstoß - mit Amphet./Methamphet (Ecstasy)                                                     3          2            3         2        3          2       100,0         100,0 731800         Allg. Verstoß (§ 29 BtMG) - mit Cannabis und Zubereitungen                                          56         61           59        64       56         60       100,0          98,4 731900         Allg. Verstoß (§ 29 BtMG) - mit sonst. Btm                                                           6          3            6         3        5          2        83,3          66,7 732000         Unerl. Handel/Schmuggel mit/von Rauschgiften gemäß § 29 BtMG                                        14         22           15        23       12         18        85,7          81,8 732200         Unerl. Handel und Schmuggel mit/von Kokain einschl. Crack                                            2          1            2         1        1          1        50,0         100,0 732210         Unerl. Handel mit Kokain einschl. Crack                                                              1          1            1         1                   1          0,0        100,0 732211         Unerl. Handel mit Crack                                                                              1                       1         0                              0,0 732212         Unerl. Handel mit Kokain                                                                                        1            0         1                   1                     100,0 732220         Schmuggel (§ 29 BtMG) - von Kokain einschl. Crack                                                    1                       1         0        1                  100,0 732222         Schmuggel (§ 29 BtMG) - von Kokain                                                                   1                       1         0        1                  100,0 732400         Unerl. Handel/Schmuggel mit/von Amphet./Methamphet. in Pulver- o. flüss. Form                        2          4            2         4        2          3       100,0          75,0 732410         Ill. Handel - mit Amphet./Methamphet. u. d. Deriva. in Pulver- o. flüss. Form                        2          4            2         4        2          3       100,0          75,0 732500         Unerl. Handel/Schmuggel mit/von Amphet./Methamphet. (Ecstasy)                                        2                       2         0        2                  100,0 732510         Ill. Handel - mit Amphet./Methamphet. u. d. Deriva. (Ecstasy)                                        2                       2         0        2                  100,0 732800         Unerl. Handel und Schmuggel (§ 29 BtMG) mit/von Cannabis und Zubereitungen                           7         11            7        12        6          8        85,7          72,7 732810         Unerl. Handel (§ 29 BtMG) mit Cannabis und Zubereitungen                                             7         11            7        12        6          8        85,7          72,7 732900         Unerl. Handel und Schmuggel (§ 29 BtMG) mit/von sonstigen Btm                                        1          6            1         6        1          6       100,0         100,0 732910         Unerl. Handel (§ 29 BtMG) mit sonstigen Btm                                                          1          6            1         6        1          6       100,0         100,0 734000         Sonstige Verstöße gg. das BtMG                                                                      13         11           14        12       12          9        92,3          81,8 734100         Unerl. Anbau von Betäubungsmitteln                                                                   5          3            5         3        4          2        80,0          66,7 734500         Abgabe, Verabr. o. Überl. v. Btm an Minderjährige                                                               4            0         4                   3                      75,0 734510         Abgabe, Verabreichung o. Überl. v. Btm an Minderj. § 29a Abs. 1 Nr. 1 BtMG                                      4            0         4                   3                      75,0 734800         Unerl. Handel, Herstellung, Abgabe und Besitz in ngM von Btm                                         8          4            8         4        8          4       100,0         100,0 734810         Unerl. Abgabe und Besitz in ngM gemäß § 29a Abs. 1 Nr. 2 BtMG                                                   1            0         1                   1                     100,0 734818         Unerl. Abgabe und Besitz in ngM von Cannabis und Zubereitungen                                                  1            0         1                   1                     100,0 734820         Unerl. Handel in ngM gemäß § 29a Abs. 1 Nr. 2 BtMG                                                   8          3            8         3        8          3       100,0         100,0 734822         Unerl. Handel in ngM von Kokain einschl. Crack                                                       1          2            1         2        1          2       100,0         100,0 734824         Ill. Handel in ngM von A/M/D in Pulver- oder flüssiger Form                                          1                       1         0        1                  100,0 734828         Unerl. Handel in ngM von Cannabis und Zubereitungen                                                  4          1            4         1        4          1       100,0         100,0 734829         Unerl. Handel in ngM von sonstigen Btm                                                               2                       2         0        2                  100,0 740000         Straft. gg. strafrechtl. Nebenges. auf dem Umwelt- und Verbraucherschutzsektor                       9         14           10        15        4          7        44,4          50,0 740003         Verstoß gg. das Heilpraktikergesetz                                                                  1                       1         0        1                  100,0 743000         ST nach dem Bundesnaturschutz-, Tierschutz-, Bundesjagd- und PflanzenschutzG                         8         14            8        15        3          7        37,5          50,0 743020         Tierschutzgesetz                                                                                     8         14            8        15        3          7        37,5          50,0 890000         ST insgesamt, o. Verst. g. Aufenth.-, Asyl- u. FreizügigkeitsG/EU                                7.545      6.896        8.004     7.255    3.932      3.382        52,1          49,0 891000         Rauschgiftkriminalität                                                                             117        126          124       133      107        114        91,5          90,5
79

Seite 61 von 96 Polizeirevier Hennigsdorf Frage 34: Erfasste Fälle, Aufgeklärte Fälle, Aufklärungsquoten, Häufigkeitskennzahlen für alle Deliktsfelder Erfasste Fälle                            Aufgeklärte Fälle Schlüssel                                                     Bezeichnung                                   Anzahl gesamt         Häufigkeitszahl      Anzahl gesamt             AQ in % 2010       2011        2010       2011     2010       2011        2010         2011 891100         direkte Beschaffungskriminalität                                                                     3          8            3         8        1          4        33,3          50,0 892000         Gewaltkriminalität                                                                                 181        166          192       175      142        140        78,5          84,3 892500         Mord und Totschlag                                                                                   6          2            6         2        5          3        83,3         150,0 893000         Wirtschaftskriminalität und zwar:                                                                  127         39          135        41      118         30        92,9          76,9 893100         Wikri bei Betrug                                                                                    80         15           85        16       73          7        91,3          46,7 893200         Wikri - Insolvenzstraftaten gemäß StGB und Nebenstrafrecht                                           6          7            6         7        6          7       100,0         100,0 893300         Wikri - im Anlage- und Finanzierungsbereich pp.                                                      2          2            2         2        2          2       100,0         100,0 893400         Wikri - Wettbewerbsdelikte                                                                           7          5            7         5        5          5        71,4         100,0 893500         Wikri - i.Z.m. Arbeitsverhältnissen                                                                 20          5           21         5       20          5       100,0         100,0 893600         Wikri - Betrug und Untreue i.Z.m. Beteiligungen und Kapitalanlagen                                   2          4            2         4        2          3       100,0          75,0 894000         KFZ-Kriminalität                                                                                   901        892          956       938      128        161        14,2          18,0 896000         ST gegen Bestimmungen zum Schutze der Jugend                                                         2          1            2         1        2          1       100,0         100,0 897000         Computerkriminalität                                                                               102         92          108        97       32         23        31,4          25,0 898000         Straftaten insgesamt auf dem Umwelt- und Verbraucherschutzsektor                                    26         33           28        35       14         17        53,8          51,5 898100         Umweltstraftaten gemäß 29. Abschnitt des StGB                                                        9          7           10         7        4          2        44,4          28,6 898200         Sonstige Straftaten nach dem StGB mit Umweltrelevanz                                                 2          7            2         7                   4          0,0         57,1 898300         Straftaten auf dem Umwelt- und Verbraucherschutzsektor gem. strafr. Nebengesetze                    15         19           16        20       10         11        66,7          57,9 899000         Straßenkriminalität                                                                              1.587      1.698        1.684     1.787      261        291        16,4          17,1 899100         Straßenraub                                                                                         19         15           20        16        6          8        31,6          53,3 899200         Straßendiebstahl                                                                                 1.209      1.357        1.283     1.428      141        144        11,7          10,6 899500         Sachbeschädigung durch Graffiti insgesamt                                                          459        370          487       389       96         48        20,9          13,0
80

Zur nächsten Seite