Polizeistrukturreform - Polizeirevier Hennigsdorf

/ 385
PDF herunterladen
Seite 62 von 96 Polizeirevier Hennigsdorf Frage 34: Erfasste Fälle, Aufgeklärte Fälle, Aufklärungsquoten, Häufigkeitskennzahlen für alle Deliktsfelder Erfasste Fälle                            Aufgeklärte Fälle Schlüssel                                                     Bezeichnung                                 Anzahl gesamt         Häufigkeitszahl      Anzahl gesamt             AQ in % 2012       2013        2012       2013     2012       2013        2012         2013 ------         Straftaten insgesamt                                                                             6.650      7.010        6.951     7.328    3.336      3.601        50,2          51,4 000000         ST gg. das Leben                                                                                     5          3            5         3        3          3        60,0         100,0 010000         Mord                                                                                                            1            0         1                   1                     100,0 010079         Sonstiger Mord                                                                                                  1            0         1                   1                     100,0 020000         Totschlag und Tötung auf Verlangen                                                                   4                       4         0        3                   75,0 020010         Totschlag                                                                                            4                       4         0        3                   75,0 030000         Fahrlässige Tötung - nicht i.V.m. Verkehrsunfall -                                                   1          2            1         2                   2          0,0        100,0 100000         ST gg. die sex. Selbstbestimmung                                                                    43         51           45        53       29         38        67,4          74,5 110000         unter Gewaltanw. o. Ausnutzen e. Abhängigkeitsverh.                                                 13         12           14        13        9         11        69,2          91,7 111000         Vergewaltigung und sex. Nötigung                                                                     9         11            9        11        6         10        66,7          90,9 111100         Vergewalt./sex. Nötigung überfallartig (Einzeltäter)                                                            1            0         1                   1                     100,0 111400         Sonstige Straftaten gemäß § 177 Abs. 2 Nr. 1, Abs. 3 und 4 StGB                                      9         10            9        10        6          9        66,7          90,0 112000         Sonstige sex. Nötigung                                                                               4          1            4         1        3          1        75,0         100,0 130000         Sexueller Missbrauch                                                                                24         29           25        30       17         17        70,8          58,6 131000         Sex. Missbr. von Kindern                                                                            17         18           18        19       14         11        82,4          61,1 131100         Sexuelle Handlungen gemäß § 176 Abs. 1 und 2 StGB                                                    8          9            8         9        7          5        87,5          55,6 131200         Exhibitionistische/sex. Handlungen vor Kindern                                                       1          2            1         2        1          1       100,0          50,0 131400         Einwirken auf Kinder                                                                                 1          3            1         3        1          2       100,0          66,7 131500         Vollzug des Beischlafs mit einem Kind oder Vornahme einer ähnl. sex. Handlung                        5          2            5         2        4          1        80,0          50,0 131600         Schw. sex. Missbr. von Kindern zur Herst. u. Verbr. pornogr. Schriften                               2          2            2         2        1          2        50,0         100,0 132000         Exhibitionistische Handlungen und Erregung öffentlichen Ärgernisses                                  3          6            3         6                   2          0,0         33,3 132010         Exhibitionistische Handlungen                                                                        3          6            3         6                   2          0,0         33,3 133000         Sex. Missbr. von Jugendlichen                                                                        1          1            1         1        1          1       100,0         100,0 134000         Sex. Missbr. Widerstandsunfähiger                                                                    3          4            3         4        2          3        66,7          75,0 140000         Ausnutzen sexueller Neigung                                                                          6         10            6        10        3         10        50,0         100,0 141000         Förderung sex. Handl. Minderj. oder Ausbeuten von Prostituierten                                     1                       1         0                              0,0 141200         Ausbeuten von Prostituierten                                                                         1                       1         0                              0,0 143000         Verbreitung pornographischer Schriften (Erzeugnisse)                                                 5         10            5        10        3         10        60,0         100,0 143100         Verbr. pornogr. Schriften (Erzeugnisse) an Personen unter 18 Jahren                                  2          3            2         3        1          3        50,0         100,0 143300         Besitz/Verschaffung von Kinderpornographie                                                           2          7            2         7        2          7       100,0         100,0 143400         Verbreitung von Kinderpornographie                                                                   1                       1         0                              0,0 200000         Rohheitsdelikte und ST gg. die persönliche Freiheit                                                861        947          900       990      749        854        87,0          90,2 210000         Raub, räuberische Erpressung und räuberischer Angriff auf Kraftfahrer                               42         30           44        31       24         18        57,1          60,0 210010         Sonstiger Raub                                                                                       1          2            1         2        1                  100,0           0,0 210040         Räuberischer Diebstahl                                                                               4          5            4         5        3          5        75,0         100,0 210050         Sonstige räuberische Erpressung                                                                      1          5            1         5        1          4       100,0          80,0
81

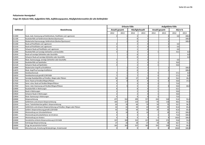
Seite 63 von 96 Polizeirevier Hennigsdorf Frage 34: Erfasste Fälle, Aufgeklärte Fälle, Aufklärungsquoten, Häufigkeitskennzahlen für alle Deliktsfelder Erfasste Fälle                            Aufgeklärte Fälle Schlüssel                                                      Bezeichnung                                  Anzahl gesamt         Häufigkeitszahl      Anzahl gesamt             AQ in % 2012       2013        2012       2013     2012       2013        2012         2013 211000         Raub, räub. Erpressung auf Geldinstitute, Postfilialen und -agenturen                                2          1           2          1                   2          0,0        200,0 211100         Raubüberfälle auf Geldinstitute (Banken/Sparkassen)                                                             1           0          1                   1                     100,0 211150         Räuberische Erpressung gg. Geldinstitute (Banken/Sparkassen)                                                    1           0          1                   1                     100,0 211200         Raub auf Postfilialen und -agenturen                                                                 2                      2          0                   1          0,0 211210         Raub auf Postfilialen und -agenturen                                                                 1                      1          0                   1          0,0 211220         Schwerer Raub auf Postfilialen und -agenturen                                                        1                      1          0                              0,0 212000         Raubüberfälle auf sonstige Zahlstellen und Geschäfte                                                 3          2           3          2        1                   33,3           0,0 212010         Raub auf sonstige Zahlstellen oder Geschäfte                                                                    1           0          1                                           0,0 212020         Schwerer Raub auf sonstige Zahlstellen oder Geschäfte                                                           1           0          1                                           0,0 212050         Räub. Erpressung gg. sonstige Zahlstellen oder Geschäfte                                             1                      1          0                              0,0 212100         Raubüberfälle auf Spielhallen                                                                        2                      2          0        1                   50,0 212120         Schwerer Raub auf Spielhallen                                                                        2                      2          0        1                   50,0 214000         Räuberischer Angriff auf Kraftfahrer                                                                            1           0          1                   1                     100,0 214079         Räub. Angriff auf sonstige Kraftfahrer                                                                          1           0          1                   1                     100,0 216000         Handtaschenraub                                                                                      7          1           7          1        4                   57,1           0,0 216010         Handtaschenraub gemäß § 249 StGB                                                                     7          1           7          1        4                   57,1           0,0 217000         Sonstige Raubüberfälle auf Straßen, Wegen oder Plätzen                                              16         13          17         14        9          6        56,3          46,2 217010         Sonst. Raub auf Straßen/Wegen/Plätzen                                                                8          8           8          8        4          3        50,0          37,5 217020         Sonst. schw. Raub auf Straßen/Wegen/Plätzen                                                          4                      4          0        3                   75,0 217050         Sonst. räub. Erpressung auf Straßen/Wegen/Plätzen                                                    4          5           4          5        2          3        50,0          60,0 219000         Raubüberfälle in Wohnungen                                                                           8                      8          0        5                   62,5 219010         Raub in Wohnungen                                                                                    2                      2          0        1                   50,0 219020         Schwerer Raub in Wohnungen                                                                           2                      2          0        1                   50,0 219050         Räub. Erpressung in Wohnungen                                                                        4                      4          0        3                   75,0 220000         Körperverletzung                                                                                   477        552         499        577      434        510        91,0          92,4 222000         Gefährliche und schwere Körperverletzung                                                           105        117         110        122       93        110        88,6          94,0 222010         Sonst. Tatörtlichkeit bei gefährl. Körperverletzung                                                 63         76          66         79       59         75        93,7          98,7 222100         Gefährliche und schwere Körperverletzung auf Straßen, Wegen oder Plätzen                            42         41          44         43       34         35        81,0          85,4 222110         Gefährl. Körperverletzung gemäß § 224 StGB                                                          42         41          44         43       34         35        81,0          85,4 223000         Misshandlung von Schutzbefohlenen                                                                    8         10           8         10        7         10        87,5         100,0 223001         Misshandlung Schutzbefohlener ab 14 Jahren                                                           4          1           4          1        3          1        75,0         100,0 223100         Misshandlung von Kindern                                                                             4          9           4          9        4          9       100,0         100,0 224000         Vorsätzliche einfache Körperverletzung § 223 StGB                                                  337        399         352        417      316        371        93,8          93,0 225000         Fahrlässige Körperverletzung                                                                        27         26          28         27       18         19        66,7          73,1 230000         ST gg. die persönliche Freiheit                                                                    342        365         357        382      291        326        85,1          89,3 231000         Menschenraub, Entziehung Minderjähriger, Kinderhandel                                                9          8           9          8        9          8       100,0         100,0
82

Seite 64 von 96 Polizeirevier Hennigsdorf Frage 34: Erfasste Fälle, Aufgeklärte Fälle, Aufklärungsquoten, Häufigkeitskennzahlen für alle Deliktsfelder Erfasste Fälle                            Aufgeklärte Fälle Schlüssel                                                     Bezeichnung                                   Anzahl gesamt         Häufigkeitszahl      Anzahl gesamt             AQ in % 2012       2013        2012       2013     2012       2013        2012         2013 231200         Entziehung Minderjähriger                                                                            9          8            9         8        9          8       100,0         100,0 232000         Freiheitsber., Nötigung, Bedrohung, Zwangsheirat, Nachstellung (Stalking)                          333        357          348       373      282        318        84,7          89,1 232100         Freiheitsberaubung                                                                                   7         14            7        15        5         11        71,4          78,6 232200         Nötigung                                                                                           208        206          217       215      174        176        83,7          85,4 232201         Nötigung im Straßenverkehr                                                                          93         78           97        82       77         66        82,8          84,6 232279         Sonstige Nötigung                                                                                  115        128          120       134       97        110        84,3          85,9 232300         Bedrohung                                                                                           80         95           84        99       71         94        88,8          98,9 232400         Nachstellung                                                                                        38         42           40        44       32         37        84,2          88,1 232410         Nachstellung - z.B. räumliche Nähe -                                                                35         40           37        42       29         35        82,9          87,5 232420         Nachstellung - z.B. Gesundheitsbeeinträchtigung -                                                    3          2            3         2        3          2       100,0         100,0 3*****         Diebstahl ohne erschwerende Umstände                                                               961        935        1.004       977      422        326        43,9          34,9 3**100         EDS insg. von Kraftwagen einschl. unbefugter Gebrauch                                               12          6           13         6        7          5        58,3          83,3 3**200         EDS insg. von Moped/Krad einschl. unbefugter Gebrauch                                                4          5            4         5                   1          0,0         20,0 3**300         EDS insg. von Fahrrad einschl. unbefugter Gebrauch                                                  49         48           51        50       11          8        22,4          16,7 3**500         EDS insg. von unbaren Zahlungsmitteln                                                               61         61           64        64        5          2          8,2          3,3 3**800         EDS insg. von Antiquitäten, Kunst- und sakralen Gegenständen                                                    1            0         1                                           0,0 300000         EDS - Sonstiger                                                                                    231        221          241       231       58         47        25,1          21,3 300010         EDS - Sonstiger gem. 242, 247, 248a StGB                                                           221        214          231       224       50         40        22,6          18,7 300040         EDS - Unbefugter Gebrauch eines sonst. Fahrzeuges                                                    1                       1         0                              0,0 300050         EDS - Entziehung elektrischer Energie                                                                9          7            9         7        8          7        88,9         100,0 300100         EDS von Kraftwagen einschl. unbefugter Ingebrauchnahme                                              12          6           13         6        7          5        58,3          83,3 300110         EDS - Diebstahl von Kraftwagen                                                                       9          4            9         4        4          3        44,4          75,0 300140         EDS - Unbefugter Gebrauch von Kraftwagen                                                             3          2            3         2        3          2       100,0         100,0 300200         EDS von Mopeds und Krafträdern einschl. unbefugter Ingebrauchnahme                                   4          5            4         5                   1          0,0         20,0 300210         EDS - von Moped/Krad                                                                                 4          5            4         5                   1          0,0         20,0 300300         EDS von Fahrrädern einschl. unbefugter Ingebrauchnahme                                              45         39           47        41        9          7        20,0          17,9 300310         EDS - von Fahrrad                                                                                   42         38           44        40        9          7        21,4          18,4 300340         EDS - Unbefugter Gebrauch von Fahrrad                                                                3          1            3         1                              0,0          0,0 300500         EDS von unbaren Zahlungsmitteln                                                                     17         22           18        23        2          1        11,8           4,5 300800         EDS von Antiquitäten, Kunst- und sakralen Gegenständen                                                          1            0         1                                           0,0 301*00         EDS in/aus Gärten, Gartenanlagen, Gartenkolonien                                                     8         14            8        15        3          3        37,5          21,4 301000         Sonstiger EDS in/aus Gärten, Gartenanlagen, Gartenkolonien                                           7         14            7        15        3          3        42,9          21,4 301010         Sonstiger EDS in/aus Gärten, Gartenanlagen, Gartenkolonien                                           7         14            7        15        3          3        42,9          21,4 301300         EDS von Fahrrad in/aus Gärten, Gartenanlagen, Gartenkolonien                                         1                       1         0                              0,0 301310         EDS von Fahrrad in/aus Gärten, Gartenanlagen, Gartenkolonien                                         1                       1         0                              0,0 302*00         EDS in/aus Bungalow, Gartenlauben                                                                    3          3            3         3        1          1        33,3          33,3
83

Seite 65 von 96 Polizeirevier Hennigsdorf Frage 34: Erfasste Fälle, Aufgeklärte Fälle, Aufklärungsquoten, Häufigkeitskennzahlen für alle Deliktsfelder Erfasste Fälle                            Aufgeklärte Fälle Schlüssel                                                      Bezeichnung                                  Anzahl gesamt         Häufigkeitszahl      Anzahl gesamt             AQ in % 2012       2013        2012       2013     2012       2013        2012         2013 302000         Sonstiger EDS in/aus Bungalow, Gartenlauben                                                          3          3           3          3        1          1        33,3          33,3 302010         Sonstiger EDS in/aus Bungalow, Gartenlauben                                                          2          3           2          3                   1          0,0         33,3 302050         EDS - Entziehung elektrischer Energie in/aus Bungalow, Gartenlauben                                  1                      1          0        1                  100,0 303*00         EDS in/aus Bungalow, Gartenlauben, Gärten, Gartenanlagen, Gartenkolonien                            11         17          11         18        4          4        36,4          23,5 304*00         EDS in/aus Garagen, Carports                                                                         8         11           8         11        1          3        12,5          27,3 304000         Sonstiger "einfacher" Diebstahl in/aus Garagen, Carports                                             5          9           5          9        1          3        20,0          33,3 304010         Sonstiger "einfacher" Diebstahl in/aus Garagen, Carports                                             5          8           5          8        1          2        20,0          25,0 304050         EDS - Entziehung elektrischer Energie in/aus Garagen, Carports                                                  1           0          1                   1                     100,0 304100         EDS von Kraftwagen in/aus Garagen, Carports                                                          1                      1          0                              0,0 304110         EDS von Kraftwagen in/aus Garagen, Carports                                                          1                      1          0                              0,0 304200         EDS von Moped/Krad in/aus Garagen, Carports                                                                     1           0          1                                           0,0 304210         EDS von Moped/Krad in/aus Garagen, Carports                                                                     1           0          1                                           0,0 304300         EDS von Fahrrad in/aus Garagen, Carports                                                             2          1           2          1                              0,0          0,0 304310         EDS von Fahrrad in/aus Garagen, Carports                                                             2          1           2          1                              0,0          0,0 305*00         EDS insg. in/aus Banken, Sparkassen, Postfilialen und -agenturen und dgl.                                       1           0          1                   1                     100,0 305000         EDS - in/aus Banken - Sonstiger                                                                                 1           0          1                   1                     100,0 310*00         EDS insg. in/aus Dienst-, Büro-, Fabrikations-, Werkstatt- und Lagerräumen                          43         78          45         82       10         15        23,3          19,2 310000         EDS - in/aus Dienst-/Büror. - Sonstiger                                                             33         66          34         69        8         13        24,2          19,7 310300         EDS - in/aus Dienst-/Büror. - von Fahrrädern                                                         3          2           3          2        2          1        66,7          50,0 310500         EDS - in/aus Dienst-/Büror. - von unbaren Zahlungsmitteln                                            7         10           7         10                   1          0,0         10,0 315*00         EDS insg. in/aus Gaststätten, Kantinen, Hotels und Pensionen                                         8          9           8          9        2                   25,0           0,0 315000         EDS - in/aus Gaststätten - Sonstiger                                                                 6          8           6          8        2                   33,3           0,0 315500         EDS - in/aus Gaststätten - von unb. Zahlungsmitteln                                                  2          1           2          1                              0,0          0,0 325*00         EDS insg. in/aus Kiosken, Warenhäusern, Verkaufsräumen                                             361        249         377        260      288        205        79,8          82,3 325000         EDS - in/aus Warenhäusern - Sonstiger                                                               29         23          30         24       11          3        37,9          13,0 325500         EDS - in/aus Warenhäusern - von unbaren ZM                                                          12         10          13         10        2                   16,7           0,0 326*00         EDS insg. - Ladendiebstahl                                                                         320        216         334        226      275        202        85,9          93,5 326000         EDS - Ladendiebstahl - Sonstiger                                                                   320        216         334        226      275        202        85,9          93,5 335*00         EDS insg. in/aus Wohnungen                                                                          41         61          43         64       26         32        63,4          52,5 335000         EDS - in/aus Wohnungen - Sonstiger                                                                  38         58          40         61       25         32        65,8          55,2 335500         EDS - in/aus Wohnungen - von unbaren Zahlungsmitteln                                                 3          3           3          3        1                   33,3           0,0 340*00         EDS insg. in/aus Boden-/Kellerräumen, Waschküchen                                                    7         10           7         10        3          2        42,9          20,0 340000         EDS - in/aus Boden-/Kellerräumen - Sonstiger                                                         6          3           6          3        3          2        50,0          66,7 340300         EDS - in/aus Boden-/Kellerräumen - von Fahrrad                                                       1          7           1          7                              0,0          0,0 345*00         EDS insg. in/aus Baubuden und Baustellen                                                            12          8          13          8        4          1        33,3          12,5 345000         EDS - in/aus Baubuden/Baustellen - Sonstiger                                                        12          8          13          8        4          1        33,3          12,5
84

Seite 66 von 96 Polizeirevier Hennigsdorf Frage 34: Erfasste Fälle, Aufgeklärte Fälle, Aufklärungsquoten, Häufigkeitskennzahlen für alle Deliktsfelder Erfasste Fälle                            Aufgeklärte Fälle Schlüssel                                                    Bezeichnung                                    Anzahl gesamt         Häufigkeitszahl      Anzahl gesamt             AQ in % 2012       2013        2012       2013     2012       2013        2012         2013 350*00         EDS insg. an/aus Kfz                                                                               129        169          135       177       11          7          8,5          4,1 350000         EDS an/aus Kfz von sonstigem Gut                                                                   122        167          128       175       11          7          9,0          4,2 350500         EDS - aus Kfz von unbaren ZM                                                                         7          2            7         2                              0,0          0,0 356000         EDS an Fahrrad - Sonstiger                                                                           9          8            9         8                   1          0,0         12,5 357000         EDS an Wasserfahrzeugen                                                                              1                       1         0                              0,0 360000         EDS von/in/aus sonstigen Wasserfahrzeugen                                                                       1            0         1                   1                     100,0 367000         EDS von Bootsmotoren                                                                                            1            0         1                   1                     100,0 385000         EDS auf Friedhöfen und Grabstätten                                                                   1          3            1         3                              0,0          0,0 386*00         EDS auf Campingplätzen- und Raststätten                                                              2          1            2         1                              0,0          0,0 386000         EDS auf Campingplätzen- und Raststätten - Sonstiger                                                  1          1            1         1                              0,0          0,0 386500         EDS von unbaren ZM auf Campingplätzen- und Raststätten                                               1                       1         0                              0,0 390*00         EDS insg. - Taschendiebstahl                                                                        51         56           53        59        2          2          3,9          3,6 390000         EDS - Taschendiebstahl - Sonstiger                                                                  38         43           40        45        2          2          5,3          4,7 390500         EDS - Taschendiebstahl von unbaren ZM                                                               13         13           14        14                              0,0          0,0 4*****         Diebstahl unter erschwerenden Umständen                                                          1.606      1.815        1.679     1.897      133        239          8,3         13,2 4**100         BSD insg. von Kraftwagen                                                                            82         84           86        88        6         12          7,3         14,3 4**200         BSD insg. von Moped/Krad                                                                            31         37           32        39        2          5          6,5         13,5 4**300         BSD insg. von Fahrrad                                                                              549        566          574       592       14         23          2,6          4,1 4**400         BSD insg. von Schusswaffen                                                                           2                       2         0        1                   50,0 4**500         BSD insg. von unbaren Zahlungsmitteln                                                               10         17           10        18        1          3        10,0          17,6 4**700         BSD insg. von/aus Automaten                                                                          9         18            9        19        1          1        11,1           5,6 400000         Schwerer Diebstahl - Sonstiger                                                                     132        157          138       164       20         33        15,2          21,0 400010         BSD - Sonstiger                                                                                    127        153          133       160       15         31        11,8          20,3 400020         Sonstiger schwerer Diebstahl (ohne WED)                                                              5          4            5         4        5          2       100,0          50,0 400100         Schwerer Diebstahl von Kraftwagen                                                                   80         84           84        88        6         12          7,5         14,3 400110         BSD - von Kraftwagen                                                                                80         84           84        88        6         12          7,5         14,3 400200         Schwerer Diebstahl von Mopeds und Krafträdern                                                       31         37           32        39        2          5          6,5         13,5 400210         BSD - von Moped/Krad                                                                                31         37           32        39        2          5          6,5         13,5 400300         Schwerer Diebstahl von Fahrrädern                                                                  520        529          544       553       10         19          1,9          3,6 400310         BSD - von Fahrrad                                                                                  520        529          544       553       10         19          1,9          3,6 400500         Schwerer Diebstahl von unbaren Zahlungsmitteln                                                       1                       1         0                              0,0 400510         BSD - von unbaren ZM                                                                                 1                       1         0                              0,0 400700         Schwerer Diebstahl von/aus Automaten                                                                 8         13            8        14        1                   12,5           0,0 400710         BSD - von/aus Automaten                                                                              8         13            8        14        1                   12,5           0,0 401*00         Diebst. unter erschw. Umst. in/aus Gärten, Gartenanlagen, Gartenkolonien                             8         12            8        13        2          1        25,0           8,3 401000         Sonstiger Diebst. unter erschw. Umst. in/aus Gärten, Gartenanl., Gartenkolonien                      7          8            7         8        2          1        28,6          12,5
85

Seite 67 von 96 Polizeirevier Hennigsdorf Frage 34: Erfasste Fälle, Aufgeklärte Fälle, Aufklärungsquoten, Häufigkeitskennzahlen für alle Deliktsfelder Erfasste Fälle                            Aufgeklärte Fälle Schlüssel                                                     Bezeichnung                                   Anzahl gesamt         Häufigkeitszahl      Anzahl gesamt             AQ in % 2012       2013        2012       2013     2012       2013        2012         2013 401010         Sonstiger BSD in/aus Gärten, Gartenanlagen, Gartenkolonien                                           7          8           7          8       2          1         28,6          12,5 401300         Diebst. unter erschw. Umst. von Fahrrad in/aus Gärten, Gartenanl., Gartenk.                          1          4           1          4                              0,0          0,0 401310         BSD von Fahrrad in/aus Gärten, Gartenanlagen, Gartenkolonien                                         1          4           1          4                              0,0          0,0 402*00         Diebst. unter erschw. Umst. in/aus Bungalow, Gartenlauben                                           26         30          27         31       2          4           7,7         13,3 402000         Sonstiger Diebst. unter erschw. Umst. in/aus Bungalow, Gartenlauben                                 24         28          25         29       2          4           8,3         14,3 402010         Sonstiger BSD in/aus Bungalow, Gartenlauben                                                         24         28          25         29       2          4           8,3         14,3 402300         Diebst. unter erschw. Umst. von Fahrrad in/aus Bungalow, Gartenlauben                                2          2           2          2                              0,0          0,0 402310         BSD von Fahrrad in/aus Bungalow, Gartenlauben                                                        2          2           2          2                              0,0          0,0 403*00         Diebst. u. erschw. Umst. in/aus Bungalow, Gartenl., Gärten, Gartenanl., Gartenk.                    34         42          36         44       4          5         11,8          11,9 404*00         Diebst. unter erschw. Umst. in/aus Garagen, Carports                                                17         36          18         38       1          2           5,9          5,6 404000         Sonstiger Diebst. unter erschw. Umst. in/aus Garagen, Carports                                       9         18           9         19                  1           0,0          5,6 404010         Sonstiger BSD in/aus Garagen, Carports                                                               9         18           9         19                  1           0,0          5,6 404100         Diebst. unter erschw. Umst. von Kraftwagen in/aus Garagen, Carports                                  3                      3          0                              0,0 404110         BSD von Kraftwagen in/aus Garagen, Carports                                                          3                      3          0                              0,0 404200         Diebst. unter erschw. Umst. von Moped/Krad in/aus Garagen, Carports                                  1          2           1          2       1                   100,0           0,0 404210         BSD von Moped/Krad in/aus Garagen, Carports                                                          1          2           1          2       1                   100,0           0,0 404300         Diebst. unter erschw. Umst. von Fahrrad in/aus Garagen, Carports                                     4         16           4         17                  1           0,0          6,3 404310         BSD von Fahrrad in/aus Garagen, Carports                                                             4         16           4         17                  1           0,0          6,3 405*00         BSD insg. in/aus Banken, Sparkassen, Postfilialen und -agenturen und dgl.                            1          4           1          4                  3           0,0         75,0 405000         Schwerer Diebstahl - in/aus Banken, Sparkassen, Postfilialen und -agenturen                          1          4           1          4                  3           0,0         75,0 405010         BSD - in/aus Banken, Sparkassen, Postfilialen und -agenturen                                         1          4           1          4                  3           0,0         75,0 410*00         BSD insg. in/aus Dienst-, Büro-, Fabrikations-, Werkstatt- und Lagerräumen                         121        134         126        140      36         25         29,8          18,7 410000         Schwerer Diebstahl - in/aus Dienst-/Büroräumen - Sonstiger                                         113        122         118        128      34         22         30,1          18,0 410010         BSD - in/aus Dienst-/Büroräumen - Sonstiger                                                        113        122         118        128      34         22         30,1          18,0 410100         Schwerer Diebstahl - in/aus Dienst-/Büroräumen - von Kraftwagen                                      1                      1          0                              0,0 410110         BSD - in/aus Dienst-/Büroräumen - v. Kraftw.                                                         1                      1          0                              0,0 410300         Schwerer Diebstahl - in/aus Dienst-/Büroräumen - von Fahrrad                                         7         11           7         11       2          3         28,6          27,3 410310         BSD - in/aus Dienst-/Büroräumen - v. Fahrrad                                                         7         11           7         11       2          3         28,6          27,3 410500         Schwerer Diebstahl - in/aus Dienst-/Büroräumen - von unbaren ZM                                                 1           0          1                                           0,0 410510         BSD - in/aus Dienst-/Büroräumen - v. unbaren ZM                                                                 1           0          1                                           0,0 415*00         BSD insg. in/aus Gaststätten, Kantinen, Hotels und Pensionen                                        10         20          10         21                  2           0,0         10,0 415000         Schwerer Diebstahl - in/aus Gaststätten/Hotels - Sonstiger                                           9         15           9         16                  1           0,0          6,7 415010         BSD - in/aus Gaststätten/Hotels - Sonstiger                                                          9         15           9         16                  1           0,0          6,7 415700         Schwerer Diebstahl - in/aus Gaststätten/Hotels - von/aus Automaten                                   1          5           1          5                  1           0,0         20,0 415710         BSD - in/aus Gaststätten/Hotels - von/aus Automaten                                                  1          5           1          5                  1           0,0         20,0 425*00         BSD insg. in/aus Kiosken, Warenhäusern, Verkaufsräumen                                              47         60          49         63      11         21         23,4          35,0
86

Seite 68 von 96 Polizeirevier Hennigsdorf Frage 34: Erfasste Fälle, Aufgeklärte Fälle, Aufklärungsquoten, Häufigkeitskennzahlen für alle Deliktsfelder Erfasste Fälle                            Aufgeklärte Fälle Schlüssel                                                      Bezeichnung                                  Anzahl gesamt         Häufigkeitszahl      Anzahl gesamt             AQ in % 2012       2013        2012       2013     2012       2013        2012         2013 425000         Schwerer Diebstahl - in/aus Kiosken, Warenh. , Verkaufsräumen - Sonstiger                           40         52          42         54       7         18         17,5          34,6 425010         BSD - in/aus Kiosken, Warenhäusern , Verkaufsräumen - Sonstiger                                     37         50          39         52       4         16         10,8          32,0 425020         SDS - in/aus Kiosken, Warenhäusern , Verkaufsräumen - Sonstiger                                      3          2           3          2       3          2        100,0         100,0 425300         Schwerer Diebstahl - in/aus Warenhäusern - Fahrrad                                                   1                      1          0                              0,0 425310         BSD - in/aus Warenhäusern - v. Fahrrad                                                               1                      1          0                              0,0 425500         Schwerer Diebstahl - in/aus Warenhäusern - unbare ZM                                                 1          4           1          4                              0,0          0,0 425510         BSD - in/aus Warenhäusern - v. unbaren ZM                                                            1          4           1          4                              0,0          0,0 426*00         BSD insg. - Ladendiebstahl                                                                           5          4           5          4       4          3         80,0          75,0 426000         Schwerer Diebstahl - Laden                                                                           5          4           5          4       4          3         80,0          75,0 426010         BSD - Laden                                                                                          2          3           2          3       2          2        100,0          66,7 426020         SDS - Laden                                                                                          3          1           3          1       2          1         66,7         100,0 435*00         Wohnungseinbruchdiebstahl                                                                          248        360         259        376      34         50         13,7          13,9 435000         Wohnungseinbruchdiebstahl (ohne TWE) - sonstiger                                                   120        174         125        182      18         18         15,0          10,3 435400         Wohnungseinbruchdiebstahl - von Schusswaffen                                                         1                      1          0                              0,0 436*00         Tageswohnungseinbruchdiebstahl                                                                     127        186         133        194      16         32         12,6          17,2 436000         Tageswohnungseinbruch (TWE) - sonstiger                                                            124        185         130        193      15         32         12,1          17,3 436400         TWE - von Schusswaffen                                                                               1                      1          0       1                   100,0 436500         TWE - von unbaren ZM                                                                                 2          1           2          1                              0,0          0,0 440*00         BSD insg. in/aus Boden-, Kellerräumen, Waschküchen                                                  53         53          55         55       7          3         13,2           5,7 440000         Schwerer Diebstahl - in/aus Boden-/Kellerr. - Sonstiger                                             32         27          33         28       5          2         15,6           7,4 440010         BSD - in/aus Boden-/Kellerr. - Sonstiger                                                            32         27          33         28       5          2         15,6           7,4 440300         Schwerer Diebstahl - in/aus Boden-/Kellerr. - v. Fahrrad                                            21         26          22         27       2          1           9,5          3,8 440310         BSD - in/aus Boden-/Kellerr. - v. Fahrrad                                                           21         26          22         27       2          1           9,5          3,8 445*00         BSD insg. in/aus Baubuden und Baustellen                                                            20         21          21         22       1          1           5,0          4,8 445000         Schwerer Diebstahl - in/aus Baustellen - Sonstiger                                                  19         21          20         22       1          1           5,3          4,8 445010         BSD - in/aus Baustellen - Sonstiger                                                                 19         21          20         22       1          1           5,3          4,8 445100         Schwerer Diebstahl - in/aus Baustellen - v. Kraftw.                                                  1                      1          0                              0,0 445110         BSD - in/aus Baustellen - v. Kraftw.                                                                 1                      1          0                              0,0 450*00         SDS insg. an/aus Kfz                                                                               331        334         346        349       5         65           1,5         19,5 450000         SDS - an/aus Kfz von sonstigem Gut                                                                 325        325         340        340       4         62           1,2         19,1 450010         BSD - an/aus Kfz von sonstigem Gut                                                                 325        325         340        340       4         62           1,2         19,1 450500         SDS - aus Kfz von unbaren ZM                                                                         6          9           6          9       1          3         16,7          33,3 450510         BSD - aus Kfz von unbaren ZM                                                                         6          9           6          9       1          3         16,7          33,3 456000         Diebst. unter erschw. Umst. an Fahrrad - Sonstiger                                                   9          6           9          6       1                    11,1           0,0 457000         Diebst. unter erschw. Umst. an Wasserfahrzeugen                                                      1          1           1          1                              0,0          0,0 460000         Diebst. unter erschw. Umst. von/in/aus sonstigen Wasserfahrzeugen                                   10          9          10          9                  4           0,0         44,4
87

Seite 69 von 96 Polizeirevier Hennigsdorf Frage 34: Erfasste Fälle, Aufgeklärte Fälle, Aufklärungsquoten, Häufigkeitskennzahlen für alle Deliktsfelder Erfasste Fälle                            Aufgeklärte Fälle Schlüssel                                                       Bezeichnung                                 Anzahl gesamt         Häufigkeitszahl      Anzahl gesamt             AQ in % 2012       2013        2012       2013     2012       2013        2012         2013 461000         Diebst. unter erschw. Umst. von Motorboot                                                                       1            0         1                                           0,0 464000         Diebst. unter erschw. Umst. in/aus Motorboot                                                                    5            0         5                   4                      80,0 465000         Diebst. unter erschw. Umst. in/aus Segelboot                                                         1                       1         0                              0,0 467000         Diebst. unter erschw. Umst. von Bootsmotoren                                                         6          1            6         1                              0,0          0,0 468000         Diebst. unter erschw. Umst. von Bootsmotoren, spez. Außenbootsmotoren                                6          1            6         1                              0,0          0,0 485000         Diebst. unter erschw. Umst. auf Friedhöfen und Grabstätten                                           2          2            2         2                              0,0          0,0 486*00         Diebst. unter erschw. Umst. auf Campingplätzen- und Raststätten                                                 1            0         1                   1                     100,0 486000         Diebst. unter erschw. Umst. auf Campingplätzen- und Raststätten - Sonstiger                                     1            0         1                   1                     100,0 490*00         BSD insg. - Taschendiebstahl                                                                         3          9            3         9                              0,0          0,0 490000         Schwerer Taschendiebstahl - Sonstiger                                                                3          7            3         7                              0,0          0,0 490010         Besonders schwerer Taschendiebstahl                                                                  3          7            3         7                              0,0          0,0 490500         Schwerer Taschendiebstahl - von unbaren ZM                                                                      2            0         2                                           0,0 490510         Besonders schwerer Taschendiebstahl - von unbaren ZM                                                            2            0         2                                           0,0 ****00         Diebstahl insgesamt                                                                              2.567      2.750        2.683     2.875      555        565        21,6          20,5 ***100         Diebstahl insg. von Kraftwagen einschl. unbefugter Gebrauch                                         94         90           98        94       13         17        13,8          18,9 ***200         Diebstahl insg. von Moped/Krad einschl. unbefugte Gebrauch                                          35         42           37        44        2          6          5,7         14,3 ***300         Diebstahl insg. von Fahrrad einschl. unbefugter Gebrauch                                           598        614          625       642       25         31          4,2          5,0 ***400         Diebstahl insg. von Schusswaffen                                                                     2                       2         0        1                   50,0 ***500         Diebstahl insg. von unbaren ZM                                                                      71         78           74        82        6          5          8,5          6,4 ***700         Diebstahl insg. von/aus Automaten                                                                    9         18            9        19        1          1        11,1           5,6 ***800         Diebstahl insg. von Antiquitäten, Kunst- und sakralen Gegenständen                                              1            0         1                                           0,0 *00000         Diebstahl insg. - Sonstiger                                                                        363        378          379       395       78         80        21,5          21,2 *01*00         Diebstahl insg. in/aus Gärten, Gartenanlagen, Gartenkolonien                                        16         26           17        27        5          4        31,3          15,4 *02*00         Diebstahl insg. in/aus Bungalow, Gartenlauben                                                       29         33           30        34        3          5        10,3          15,2 *03*00         Diebstahl insg. in/aus Bungalow, Gartenl., Gärten, Gartenanl., Gartenk.                             45         59           47        62        8          9        17,8          15,3 *04*00         Diebstahl insg. in/aus Garagen, Carports                                                            25         47           26        49        2          5          8,0         10,6 *05*00         Diebstahl insg. in/aus Banken, Sparkassen, Postfilialen und -agenturen u. dgl.                       1          5            1         5                   4          0,0         80,0 *10*00         Diebstahl insg. in/aus Dienst-, Büro-, Fabrikations-,Werkstatt- u. Lagerräumen                     164        212          171       222       46         40        28,0          18,9 *15*00         Diebstahl insg. in/aus Gaststätten, Kantinen, Hotels und Pensionen                                  18         29           19        30        2          2        11,1           6,9 *25*00         Diebstahl insg. in/aus Kiosken, Warenhäusern, Verkaufsräumen                                       408        309          426       323      299        226        73,3          73,1 *26*00         Diebstahl insg. Ladendiebstahl                                                                     325        220          340       230      279        205        85,8          93,2 *35*00         Diebstahl insg. in/aus Wohnungen                                                                   289        421          302       440       60         82        20,8          19,5 *36*00         Tageswohnungseinbruch                                                                              127        186          133       194       16         32        12,6          17,2 *40*00         Diebstahl insg. in/aus Boden-, Kellerräumen und Waschküchen                                         60         63           63        66       10          5        16,7           7,9 *45*00         Diebstahl insg. in/aus Baubuden und Baustellen                                                      32         29           33        30        5          2        15,6           6,9 *50*00         Diebstahl insg. an/aus Kfz                                                                         460        503          481       526       16         72          3,5         14,3
88

Seite 70 von 96 Polizeirevier Hennigsdorf Frage 34: Erfasste Fälle, Aufgeklärte Fälle, Aufklärungsquoten, Häufigkeitskennzahlen für alle Deliktsfelder Erfasste Fälle                            Aufgeklärte Fälle Schlüssel                                                    Bezeichnung                                    Anzahl gesamt         Häufigkeitszahl      Anzahl gesamt             AQ in % 2012       2013        2012       2013     2012       2013        2012         2013 *56000         Diebstahl insg. an Fahrrad                                                                          18         14           19        15        1          1          5,6          7,1 *57000         Diebstahl insg. an Wasserfahrzeug                                                                    2          1            2         1                              0,0          0,0 *60000         Diebstahl insg. von/in/aus Wasserfahrzeugen                                                         10         10           10        10                   5          0,0         50,0 *61000         Diebstahl insg. von Motorboot                                                                                   1            0         1                                           0,0 *64*00         Diebstahl insg. in/aus Motorboot                                                                                5            0         5                   4                      80,0 *65*00         Diebstahl insg. in/aus Segelboot                                                                     1                       1         0                              0,0 *67000         Diebstahl insg. von Bootsmotoren                                                                     6          2            6         2                   1          0,0         50,0 *68000         Diebstahl insg. von Bootsmotoren, spez. Außenbootsmotoren                                            6          1            6         1                              0,0          0,0 *85000         Diebstahl insg. auf Friedhöfen und Grabstätten                                                       3          5            3         5                              0,0          0,0 *86*00         Diebstahl insg. auf Campingplätzen- und Raststätten                                                  2          2            2         2                   1          0,0         50,0 *90*00         Diebstahl insg. Taschendiebstahl                                                                    54         65           56        68        2          2          3,7          3,1 500000         Vermögens- und Fälschungsdelikte                                                                 1.374      1.105        1.436     1.155      919        783        66,9          70,9 510000         Betrug                                                                                           1.092        751        1.141       785      738        521        67,6          69,4 511000         Waren- und Warenkreditbetrug                                                                       566        372          592       389      406        278        71,7          74,7 511100         Betrügerisches Erlangen von Kfz                                                                      2                       2         0        1                   50,0 511200         Sonstiger Warenkreditbetrug                                                                        327        296          342       309      185        202        56,6          68,2 511201         Tankbetrug                                                                                         214        203          224       212       84        116        39,3          57,1 511279         Weitere Arten des Warenkreditbetruges                                                              113         93          118        97      101         86        89,4          92,5 511300         Warenbetrug                                                                                        237         76          248        79      220         76        92,8         100,0 512000         Grundstücks- und Baubetrug                                                                           2          2            2         2        2          1       100,0          50,0 513000         Kapitalanlage- und Anlagebetrug                                                                      2          1            2         1        2          1       100,0         100,0 513200         Anlagebetrug                                                                                         1          1            1         1        1          1       100,0         100,0 513500         Kautionsbetrug                                                                                       1                       1         0        1                  100,0 514000         Geldkreditbetrug                                                                                    10          5           10         5        7          3        70,0          60,0 514200         Subventionsbetrug                                                                                    1          1            1         1        1          1       100,0         100,0 514300         Krediterlangungsbetrug                                                                               6          4            6         4        5          2        83,3          50,0 514400         Wechselbetrug                                                                                        2                       2         0        1                   50,0 514500         Wertpapierbetrug                                                                                     1                       1         0                              0,0 515000         Erschleichen von Leistungen                                                                         91         37           95        39       87         36        95,6          97,3 515001         Beförderungserschleichung                                                                           90         35           94        37       86         34        95,6          97,1 516000         Betrug bzw. Computerbetrug mittels rechtswidrig erlangter unbarer Zahlungsmittel                    42         47           44        49       14         11        33,3          23,4 516200         Betrug mittels rechtswidrig erlangter Zahlungskarten ohne PIN (Lastschriftverfahren)                 4          9            4         9        2                   50,0           0,0 516300         Computerbetrug mittels rechtswidrig erlanger Zahlungskarten mit PIN                                 10         17           10        18        3          6        30,0          35,3 516400         Betrug m. rechtsw. erlangter Kreditkarten                                                            7          5            7         5        3          2        42,9          40,0 516500         Betrug bzw. Computerbetrug mittels rechtswidrig erlangter Daten von Zahlungskarten                  21         14           22        15        6          3        28,6          21,4 516900         Betrug bzw. Computerbetrug mittels rechtswidrig erlangter sonstiger unbarer Zahlungsmittel                      2            0         2                                           0,0
89

Seite 71 von 96 Polizeirevier Hennigsdorf Frage 34: Erfasste Fälle, Aufgeklärte Fälle, Aufklärungsquoten, Häufigkeitskennzahlen für alle Deliktsfelder Erfasste Fälle                            Aufgeklärte Fälle Schlüssel                                                  Bezeichnung                                      Anzahl gesamt         Häufigkeitszahl      Anzahl gesamt             AQ in % 2012       2013        2012       2013     2012       2013        2012         2013 517000         Sonstiger Betrug                                                                                   379        287         396        300      220        191        58,0          66,6 517100         Leistungsbetrug                                                                                     12         14          13         15        9          7        75,0          50,0 517200         Leistungskreditbetrug                                                                               36         21          38         22       36         17       100,0          81,0 517400         Betrug z.N.v. Versich. und Versich.missbrauch                                                        1          6           1          6        1          6       100,0         100,0 517410         Betrug zum Nachteil von Versicherungen                                                                          5           0          5                   5                     100,0 517420         Versicherungsmissbrauch                                                                              1          1           1          1        1          1       100,0         100,0 517500         Computerbetrug (sonstiger)                                                                          18          8          19          8        5          4        27,8          50,0 517600         Provisionsbetrug                                                                                     2          5           2          5        2          2       100,0          40,0 517700         Betrug z.N.v. Sozialversich. und SV-trägern                                                          2          2           2          2        2          2       100,0         100,0 517800         Sozialleistungsbetrug                                                                                8          8           8          8        8          8       100,0         100,0 517900         Missbräuchliche Nutzung von Telekommunikationsdiensten                                               2          1           2          1        1          1        50,0         100,0 518100         Abrechnungsbetrug                                                                                    4         12           4         13        3         10        75,0          83,3 518110         Abrechnungsbetrug im Gesundheitswesen                                                                1          7           1          7        1          7       100,0         100,0 518179         Sonstiger Abrechnungsbetrug                                                                          3          5           3          5        2          3        66,7          60,0 518200         Einmietbetrug                                                                                        9          8           9          8        9          7       100,0          87,5 518300         Überweisungsbetrug                                                                                   5          5           5          5        2          3        40,0          60,0 518310         Kontoeröffnungsbetrug                                                                                1                      1          0                              0,0 518320         Überweisungsbetrug                                                                                   4          5           4          5        2          3        50,0          60,0 518400         Zechbetrug                                                                                           5          5           5          5        4          5        80,0         100,0 518900         Sonstige weitere Betrugsarten                                                                      275        192         287        201      138        119        50,2          62,0 520000         Veruntreuungen                                                                                      20         31          21         32       19         31        95,0         100,0 521000         Untreue                                                                                              5          4           5          4        4          4        80,0         100,0 521079         Sonstige Untreue                                                                                     5          4           5          4        4          4        80,0         100,0 522000         Vorenthalten und Veruntreuen von Arbeitsentgelt                                                     15         27          16         28       15         27       100,0         100,0 530000         Unterschlagung                                                                                     142        180         148        188       81        100        57,0          55,6 531000         Unterschlagung von Kfz                                                                               5         13           5         14        5         13       100,0         100,0 540000         Urkundenfälschung                                                                                  109         82         114         86       77         71        70,6          86,6 540001         Sonstige Urkundenfälschung                                                                          70         66          73         69       66         57        94,3          86,4 540002         Mittelbare Falschbeurkundung                                                                                    1           0          1                   1                     100,0 540003         Verändern von amtl. Ausweisen                                                                                   2           0          2                   2                     100,0 540004         Urkundenunterdrückung; Veränderung einer Grenzbezeichnung § 274 StGB                                            1           0          1                   1                     100,0 540006         Verschaffen von falschen amtl. Ausweisen                                                             1                      1          0        1                  100,0 540010         Missbrauch von Ausweispapieren                                                                       3          7           3          7        3          6       100,0          85,7 541000         Fälschung technischer Aufzeichnungen                                                                 2                      2          0        2                  100,0 541001         Manipulation von Fahrtenschreibern und EG-Kontrollgeräten gemäß § 268 StGB                           2                      2          0        2                  100,0 542000         Fälschung zur Erlangung von Btm                                                                                 1           0          1                   1                     100,0
90

Zur nächsten Seite