Polizeistrukturreform - Polizeirevier Hennigsdorf

/ 385
PDF herunterladen
Seite 72 von 96 Polizeirevier Hennigsdorf Frage 34: Erfasste Fälle, Aufgeklärte Fälle, Aufklärungsquoten, Häufigkeitskennzahlen für alle Deliktsfelder Erfasste Fälle                            Aufgeklärte Fälle Schlüssel                                                      Bezeichnung                                  Anzahl gesamt         Häufigkeitszahl      Anzahl gesamt             AQ in % 2012       2013        2012       2013     2012       2013        2012         2013 543000         Fälsch. beweiserhebl. Daten, Täusch. im Rechtsverkehr b. Datenverarb.                               33          4           34         4        5          3        15,2          75,0 543010         Fälschung beweiserheblicher Daten                                                                   33          4           34         4        5          3        15,2          75,0 550000         Geld- und Wertzeichenfälschung                                                                      10         59           10        62        3         58        30,0          98,3 551000         Geld- und Wertzeichenfälschung einschl. Vorbereitungshandlungen                                      1          1            1         1        1          1       100,0         100,0 551020         Wertzeichenfälschung                                                                                 1          1            1         1        1          1       100,0         100,0 552000         Inverkehrbringen von Falschgeld §§ 146 Abs. 1 Nr. 3, 147 StGB                                        2         56            2        59        2         56       100,0         100,0 552020         Inverkehrbringen von Falschgeld gemäß § 147 StGB (nach gutgläubigem Erwerb)                          2         56            2        59        2         56       100,0         100,0 553000         Fälsch. v. Zahlungskarten mit/ohne Garantiefunktion, Schecks u. Wechseln                             7          2            7         2                   1          0,0         50,0 553100         Gebr. falscher Zahlungsk. mit oder ohne Garantiefunktion, Schecks und Wechsel                        7                       7         0                              0,0 553110         Gebrauch falscher Zahlungskarten o. Garantiefunktion, Schecks und Wechsel                            2                       2         0                              0,0 553120         Gebrauch falscher Zahlungskarten mit Garantiefunktion                                                5                       5         0                              0,0 553200         Nachmachen, Verfälschen, Verschaffen, Feilhalten o. Überl. falscher Zahlungsk                                   2            0         2                   1                      50,0 553210         Nachm., Verfälsch, Verschaff falscher Zahlungsk. o. Garantiefunktion                                            2            0         2                   1                      50,0 560000         Insolvenzstraftaten                                                                                  1          2            1         2        1          2       100,0         100,0 561000         Bankrott                                                                                             1          2            1         2        1          2       100,0         100,0 600000         Sonstige Straftatbestände (StGB)                                                                 1.511      1.872        1.579     1.957      821      1.108        54,3          59,2 610000         Erpressung                                                                                           9          9            9         9        6          9        66,7         100,0 610001         Schutzgelderpressung                                                                                 1                       1         0        1                  100,0 610079         Sonstige Erpressung                                                                                  8          9            8         9        5          9        62,5         100,0 620000         Widerstand gg. die Staatsgewalt und ST gg. die öff. Ordnung                                        137        202          143       211      119        164        86,9          81,2 620001         Störung des öffentl. Friedens durch Androhung von ST                                                 8          7            8         7        8          6       100,0          85,7 620004         Anleitung zu Straftaten                                                                                         1            0         1                                           0,0 620005         Amtsanmaßung                                                                                                    3            0         3                   3                     100,0 620013         Missbr. von Notrufen und Beeintr. v. Unfallverhütungs- und Nothilfemitteln                          12         27           13        28       10         23        83,3          85,2 620014         Verstoß gg. Weisung während Führungsaufsicht                                                         1          1            1         1        1          1       100,0         100,0 621000         Widerstand gg. die Staatsgewalt                                                                     22         32           23        33       22         31       100,0          96,9 621010         Öffentliche Aufforderung zu Straftaten                                                                          1            0         1                                           0,0 621020         Widerstand gg. Vollstreckungsbeamte                                                                 22         31           23        32       22         31       100,0         100,0 621021         Widerstand gegen Polizeivollzugsbeamte                                                              22         31           23        32       22         31       100,0         100,0 622000         Hausfriedensbruch                                                                                   79        107           83       112       64         76        81,0          71,0 622100         Hausfriedensbruch gemäß § 123 StGB                                                                  79        107           83       112       64         76        81,0          71,0 623000         Landfriedensbruch                                                                                    2                       2         0        2                  100,0 623020         Besonders schwerer Landfriedensbruch                                                                 2                       2         0        2                  100,0 624000         Vortäuschen einer Straftat                                                                          10         19           10        20        9         19        90,0         100,0 624010         Vortäuschen einer Straftat gg. die sex. Selbstbestimmung                                                        2            0         2                   2                     100,0 624079         Vortäuschen einer sonstigen Straftat                                                                 8         12            8        13        7         12        87,5         100,0
91

Seite 73 von 96 Polizeirevier Hennigsdorf Frage 34: Erfasste Fälle, Aufgeklärte Fälle, Aufklärungsquoten, Häufigkeitskennzahlen für alle Deliktsfelder Erfasste Fälle                           Aufgeklärte Fälle Schlüssel                                                    Bezeichnung                                    Anzahl gesamt         Häufigkeitszahl     Anzahl gesamt             AQ in % 2012       2013        2012       2013    2012       2013        2012         2013 624100         Vortäuschen eines Raubes                                                                            2                      2          0       2                   100,0 624200         Vortäuschen eines Diebstahls                                                                                   5           0          5                  5                      100,0 624201         Vortäuschen eines Kfz-Diebstahls                                                                               3           0          3                  3                      100,0 624279         Vortäuschen eines sonstigen Diebstahls                                                                         2           0          2                  2                      100,0 626000         Gewaltdarstellung                                                                                              1           0          1                  1                      100,0 626079         Sonstige Gewaltdarstellung                                                                                     1           0          1                  1                      100,0 627000         Volksverhetzung                                                                                     3          4           3          4       3          4        100,0         100,0 630000         Begünstigung, Strafvereitelung, Hehlerei u. Geldwäsche                                             15         19          16         20      15         17        100,0          89,5 630020         Strafvereitelung                                                                                    2          2           2          2       2          2        100,0         100,0 631000         Hehlerei von Kfz                                                                                    4                      4          0       4                   100,0 631079         Hehlerei von Kfz gemäß § 259 StGB                                                                   4                      4          0       4                   100,0 632000         Sonstige Hehlerei                                                                                   8         13           8         14       8         12        100,0          92,3 632079         Sonstige Hehlerei                                                                                   5         13           5         14       5         12        100,0          92,3 632100         Gewerbsmäßige Hehlerei                                                                              2                      2          0       2                   100,0 632200         Bandenhehlerei                                                                                      1                      1          0       1                   100,0 633000         Geldwäsche, Verschleierung unrechtmäßig erl. Vermögenswerte                                         1          4           1          4       1          3        100,0          75,0 640000         Brandstiftung und Herbeiführen einer Brandgefahr                                                   27         43          28         45      17         20         63,0          46,5 640010         Fahrlässige Brandstiftung                                                                          15         15          16         16      13          9         86,7          60,0 640020         Fahrlässiges Herbeiführen einer Brandgefahr                                                                    1           0          1                                           0,0 641000         (Vorsätzliche) Brandstiftung und Herbeiführen einer Brandgefahr                                    12         27          13         28       4         11         33,3          40,7 641010         Vorsätzliche Brandstiftung                                                                         10         21          10         22       3          7         30,0          33,3 641020         Schwere Brandstiftung                                                                               2          5           2          5       1          3         50,0          60,0 641050         Vorsätzliches Herbeiführen einer Brandgefahr                                                                   1           0          1                  1                      100,0 650000         Wettbewerbs-, Korruptions- und Amtsdelikte                                                         21          3          22          3      17          2         81,0          66,7 651000         Vorteilsannahme, Bestechlichkeit                                                                    7                      7          0       6                    85,7 651100         Vorteilsannahme § 331 StGB                                                                          1                      1          0                              0,0 651200         Bestechlichkeit § 332 StGB                                                                          6                      6          0       6                   100,0 652000         Vorteilsgewährung, Bestechung                                                                       7          1           7          1       6          1         85,7         100,0 652100         Vorteilsgewährung                                                                                   1                      1          0                              0,0 652200         Bestechung                                                                                          6          1           6          1       6          1        100,0         100,0 655000         Sonstige Straftaten im Amt                                                                          4          1           4          1       2                    50,0           0,0 655004         Verfolgung Unschuldiger                                                                             1                      1          0                              0,0 655100         Körperverletzung im Amt                                                                             3          1           3          1       2                    66,7           0,0 657000         Bestechlichkeit und Bestechung im geschäftlichen Verkehr                                            3          1           3          1       3          1        100,0         100,0 657100         Bestechlichkeit und Bestechung gemäß § 299 StGB                                                     3          1           3          1       3          1        100,0         100,0 657110         Bestechlichkeit und Bestechung gemäß § 299 Abs. 1 und 2 StGB                                        3          1           3          1       3          1        100,0         100,0
92

Seite 74 von 96 Polizeirevier Hennigsdorf Frage 34: Erfasste Fälle, Aufgeklärte Fälle, Aufklärungsquoten, Häufigkeitskennzahlen für alle Deliktsfelder Erfasste Fälle                            Aufgeklärte Fälle Schlüssel                                                       Bezeichnung                                 Anzahl gesamt         Häufigkeitszahl      Anzahl gesamt             AQ in % 2012       2013        2012       2013     2012       2013        2012         2013 660000         Strafbarer Eigennutz                                                                                 7          2            7         2        6          2        85,7         100,0 660020         Pfandkehr                                                                                            2                       2         0        2                  100,0 662000         Wilderei                                                                                             5          2            5         2        4          2        80,0         100,0 662001         Fischwilderei                                                                                        4          2            4         2        4          2       100,0         100,0 662100         Jagdwilderei                                                                                         1                       1         0                              0,0 670000         Alle sonstigen ST gemäß StGB - ohne Verkehrsdelikte                                              1.295      1.594        1.354     1.666      641        894        49,5          56,1 670001         Falsche uneidliche Aussage (Falschaussage)                                                           1          1            1         1                   1          0,0        100,0 670003         Falsche Versicherung an Eides statt                                                                  8          4            8         4        8          4       100,0         100,0 670005         Verleitung zur Falschaussage                                                                         1                       1         0        1                  100,0 670007         Falsche Verdächtigung                                                                               23         30           24        31       22         29        95,7          96,7 670011         Störung der Totenruhe                                                                                1          3            1         3                   1          0,0         33,3 670015         Üble Nachrede und Verleumdung gg. Personen des politischen Lebens                                    1          1            1         1        1                  100,0           0,0 670016         Verletzung der Vertraulichkeit des Wortes                                                            1          3            1         3        1          2       100,0          66,7 670017         Verletzung des Briefgeheimnisses                                                                     3          6            3         6        2          3        66,7          50,0 670020         Verletzung des Post- u. Fernmeldegeheimnisses                                                        2        249            2       260        2        249       100,0         100,0 670021         Aussetzung                                                                                           1                       1         0        1                  100,0 670024         Gefährl. Eingriffe in den Bahn-, Schiffs- und Luftverkehr                                            5          7            5         7                              0,0          0,0 670025         Gefährliche Eingriffe in den Straßenverkehr                                                         40         25           42        26       19         17        47,5          68,0 670026         Störung öffentlicher Betriebe                                                                        3                       3         0                              0,0 670027         Störung von Telekommunikationsanlagen                                                                1          1            1         1                   1          0,0        100,0 670029         Baugefährdung                                                                                        5          1            5         1        4          1        80,0         100,0 670032         Unterlassene Hilfeleistung                                                                          10          7           10         7        8          7        80,0         100,0 670034         Verl. des höchstpersönl. Lebensbereiches durch Bildaufnahmen                                         3          5            3         5        3          4       100,0          80,0 671000         Verletzung der Unterhaltspflicht                                                                    23         18           24        19       23         18       100,0         100,0 672000         Verletzung der Fürsorge- oder Erziehungspflicht                                                      8         24            8        25        8         23       100,0          95,8 673000         Beleidigung                                                                                        265        298          277       312      248        254        93,6          85,2 673010         Beleidigung ohne sex. Grundlage                                                                    180        207          188       216      171        186        95,0          89,9 673020         Üble Nachrede ohne sex. Grundlage                                                                   27         27           28        28       27         22       100,0          81,5 673030         Verleumdung ohne sex. Grundlage                                                                     44         45           46        47       42         35        95,5          77,8 673040         Verunglimpfung des Andenkens Verstorbener ohne sex. Grundlage                                        2                       2         0        2                  100,0 673100         Beleidigung auf sex. Grundlage                                                                      12         19           13        20        6         11        50,0          57,9 673110         Beleidigung auf sex. Grundlage                                                                      11         13           11        14        5          7        45,5          53,8 673120         Üble Nachrede auf sex. Grundlage                                                                     1          2            1         2        1          1       100,0          50,0 673130         Verleumdung auf sex. Grundlage                                                                                  4            0         4                   3                      75,0 674000         Sachbeschädigung                                                                                   837        868          875       907      267        262        31,9          30,2 674010         Sachbeschädigung (ohne 674100, 674300)                                                             572        574          598       600      184        189        32,2          32,9
93

Seite 75 von 96 Polizeirevier Hennigsdorf Frage 34: Erfasste Fälle, Aufgeklärte Fälle, Aufklärungsquoten, Häufigkeitskennzahlen für alle Deliktsfelder Erfasste Fälle                            Aufgeklärte Fälle Schlüssel                                                    Bezeichnung                                    Anzahl gesamt         Häufigkeitszahl      Anzahl gesamt             AQ in % 2012       2013        2012       2013     2012       2013        2012         2013 674011         Sachbeschädigung durch Graffiti (ohne 674111, 674311)                                              283        255         296        267       56         61        19,8          23,9 674012         Sachbeschädigung durch Feuer (ohne 674312)                                                          23         21          24         22       10          5        43,5          23,8 674019         Sonstige Sachbeschäd. (ohne 674119, 674319)                                                        266        298         278        312      118        123        44,4          41,3 674020         Gemeinschädl. Sachb. (ohne 674320)                                                                  10         10          10         10        7          3        70,0          30,0 674021         Gemeinschädl. Sachb. durch Graffiti (ohne 674321)                                                    5          4           5          4        6          1       120,0          25,0 674022         Gemeinschädl. Sachb. durch Feuer (ohne 674322)                                                       3                      3          0        1                   33,3 674029         Sonstige gemeinschädl. Sachb. (ohne 674329)                                                          2          6           2          6                   2          0,0         33,3 674100         Sachbeschädigung an Kfz                                                                            177        156         185        163       59         44        33,3          28,2 674111         Sachbeschädigung durch Graffiti an Kfz                                                              16          5          17          5       11                   68,8           0,0 674119         Sonstige Sachbeschädigung an Kfz                                                                   161        151         168        158       48         44        29,8          29,1 674200         Datenveränderung, Computersabotage                                                                  15         15          16         16        2          4        13,3          26,7 674210         Datenveränderung                                                                                    10          7          10          7        1          3        10,0          42,9 674220         Computersabotage                                                                                     5          8           5          8        1          1        20,0          12,5 674300         Sonstige Sachb. auf Straßen, Wegen oder Plätzen                                                     62        113          65        118       14         22        22,6          19,5 674310         Sonst. Sachb. auf Straßen/Wegen/Plätzen gemäß § 303 StGB                                            51         97          53        101       11         19        21,6          19,6 674311         Sonst. Sachb. durch Graffiti auf Straßen/Wegen/Plätzen                                               9         17           9         18        2          8        22,2          47,1 674312         Sonst. Sachb. durch Feuer auf Straßen/Wegen/Plätzen                                                  2          5           2          5        1          3        50,0          60,0 674319         Sonstige Sachb. auf Straßen/Wegen/Plätzen                                                           40         75          42         78        8          8        20,0          10,7 674320         Gemeinschädl. Sachb. auf Straßen/Wegen/Plätzen                                                      11         16          11         17        3          3        27,3          18,8 674321         Gemeinschädl. Sachb. durch Graffiti auf Straßen/Wegen/Plätzen                                        2          1           2          1                              0,0          0,0 674329         Sonstige gemeinschädl. Sachb. auf Straßen/Wegen/Plätzen                                              9         15           9         16        3          3        33,3          20,0 674500         Zerstörung wichtiger Arbeitsmittel                                                                   1                      1          0        1                  100,0 674519         Sonstige Zerstörung wichtiger Arbeitsmittel                                                          1                      1          0        1                  100,0 675000         Sprengstoff- und Strahlungsverbrechen                                                                7          2           7          2        7          1       100,0          50,0 675200         Herbeiführen einer Sprengstoffexplosion                                                              7          2           7          2        7          1       100,0          50,0 676000         Straftaten gg. die Umwelt                                                                            5         21           5         22        4         14        80,0          66,7 676010         Bodenverunreinigung                                                                                  3          7           3          7        3          3       100,0          42,9 676011         Bodenverunreinigung 324a StGB                                                                        3          7           3          7        3          3       100,0          42,9 676400         Unerlaubter Umgang mit gefährlichen Abfällen                                                         2         12           2         13        1         10        50,0          83,3 676410         Unerl. Umgang mit Abfällen                                                                           2         12           2         13        1         10        50,0          83,3 676411         Unerl. Umgang mit Abfällen § 326 Abs. 1                                                              2         12           2         13        1         10        50,0          83,3 676600         Unerl. Umgang mit radioaktiven Stoffen und anderen gef. Gütern                                                  1           0          1                                           0,0 676620         Unerl. Umgang mit anderen gefährl. Stoffen und Gütern                                                           1           0          1                                           0,0 676622         Unerl. Umgang mit anderen gefährl. Stoffen und Gütern - bes. schw. Fall                                         1           0          1                                           0,0 676900         Schwere Gefährdung durch Freisetzen von Giften § 330a StGB                                                      1           0          1                   1                     100,0 678000         Ausspähen von Daten                                                                                 41         20          43         21       12          3        29,3          15,0
94

Seite 76 von 96 Polizeirevier Hennigsdorf Frage 34: Erfasste Fälle, Aufgeklärte Fälle, Aufklärungsquoten, Häufigkeitskennzahlen für alle Deliktsfelder Erfasste Fälle                            Aufgeklärte Fälle Schlüssel                                                       Bezeichnung                                 Anzahl gesamt         Häufigkeitszahl      Anzahl gesamt             AQ in % 2012       2013        2012       2013     2012       2013        2012         2013 678010         Ausspähen von Daten gemäß § 202a StGB                                                               38         17          40         18       11          1        28,9           5,9 678020         Abfangen von Daten gemäß § 202b StGB                                                                 2                      2          0        1                   50,0 678030         Vorbereiten des Ausspähens und Abfangens von Daten                                                   1          3           1          3                   2          0,0         66,7 700000         Strafrechtliche Nebengesetze                                                                       289        282         302        295      260        250        90,0          88,7 710000         ST gg. strafrechtl. Nebengesetze auf dem Wirtschaftssektor                                          35         40          37         42       31         36        88,6          90,0 712000         Straftaten nach AktG, GenG, GmbHG, HGB, RechnungslegungsG, UmwandlungsG, InsO                        7          7           7          7        7          7       100,0         100,0 712030         GmbH-Gesetz                                                                                                     1           0          1                   1                     100,0 712200         Insolvenzverschleppung § 15a InsO                                                                    7          6           7          6        7          6       100,0         100,0 715000         ST i.Z.m. Urheberrechtsbestimmungen                                                                 10         28          10         29        9         27        90,0          96,4 715040         Kunsturheberrechtsgesetz                                                                                        4           0          4                   3                      75,0 715050         UHG -sonstige Verstöße- (ohne Schl. 715100 u. 725200)                                                8          4           8          4        7          4        87,5         100,0 715100         Softwarepiraterie (private Anwendung z.B. Computerspiele)                                            2                      2          0        2                  100,0 715200         Softwarepiraterie in Form gewerbsmäßigen Handelns                                                              20           0         21                  20                     100,0 716000         ST i.Z.m. Lebensmitteln (z.B. Lebensmittel- und Futtermittelgesetzbuch)                              6          2           6          2        4          1        66,7          50,0 716079         Sonst. ST i.Z.m. Lebensmitteln - soweit nicht u. a. Schl. zu erf. -                                             1           0          1                   1                     100,0 716100         ST nach dem Lebensmittel- und Bedarfsgg.ständegesetz                                                 2                      2          0        1                   50,0 716200         ST nach dem Arzneimittelgesetz                                                                       4          1           4          1        3                   75,0           0,0 716210         ST nach dem AMG gemäß § 95                                                                           4          1           4          1        3                   75,0           0,0 716213         Unerl. Handel, Abgabe, Bezug von verschreibungspflichtigen Arzneimitteln                             1                      1          0                              0,0 716219         Sonstige ST nach dem AMG gemäß § 95                                                                  3          1           3          1        3                  100,0           0,0 719000         Sonst. ST (Nebengesetze) a. d. Wirtschaftssektor (z.B. RennwG)                                      12          3          13          3       11          1        91,7          33,3 719040         Gewerbeordnung                                                                                                  1           0          1                                           0,0 719079         Sonstige Nebengesetze auf dem Wirtschaftssektor                                                     11          2          11          2       10          1        90,9          50,0 719200         ST nach UWG ohne § 17                                                                                1                      1          0        1                  100,0 720000         ST gg. sonstige strafrechtliche Nebengesetze -ohne Verkehrsdelikte-                                126         92         132         96      111         76        88,1          82,6 720002         Versammlungsgesetze des Bundes und der Länder                                                        1          1           1          1                   1          0,0        100,0 720005         Missbräuchl. Herstellen, Vertreiben oder Ausgeben von amtl. Kennzeichen                              1          2           1          2        1                  100,0           0,0 720011         ST gemäß § 4 Gewaltschutzgesetz                                                                      2          7           2          7        2          7       100,0         100,0 722000         ST gg. § 27 Abs. 1 des Jugendschutzgesetzes                                                          1          1           1          1        1                  100,0           0,0 725000         Straftaten gegen das Aufenthalts-, das Asyl- und das Freizügigkeitsgesetz/EU                        58         29          61         30       57         26        98,3          89,7 725100         Unerlaubte Einreise gem. § 95 Abs. 1 Nr. 3 und Abs. 2 Nr. 1a Aufenthaltsgesetz                                  2           0          2                   1                      50,0 725110         Unerl. Einreise gemäß § 95 Abs. 1 Nr. 3 Aufenthaltsgesetz                                                       2           0          2                   1                      50,0 725500         Straftaten gegen §§ 84, 85 Asylgesetz                                                                1          1           1          1        1                  100,0           0,0 725520         Straftaten gegen § 85 Asylgesetz                                                                     1          1           1          1        1                  100,0           0,0 725700         Unerl. Aufenthalt gem. § 95 Abs. 1 Nr. 1, 2 und Abs. 2 Nr. 1b Aufenthaltsgesetz                     27         16          28         17       26         15        96,3          93,8 725710         Unerl. Aufenthalt gemäß § 95 Abs. 1 Nr. 1 und 2 AufenthG                                            22         16          23         17       21         15        95,5          93,8
95

Seite 77 von 96 Polizeirevier Hennigsdorf Frage 34: Erfasste Fälle, Aufgeklärte Fälle, Aufklärungsquoten, Häufigkeitskennzahlen für alle Deliktsfelder Erfasste Fälle                            Aufgeklärte Fälle Schlüssel                                                     Bezeichnung                                   Anzahl gesamt         Häufigkeitszahl      Anzahl gesamt             AQ in % 2012       2013        2012       2013     2012       2013        2012        2013 725720         Unerlaubter Aufenthalt nach Ausweisung/Abschiebung                                                   5                      5          0        5                  100,0 725900         Sonstige Verstöße gg. das Aufenthaltsgesetz                                                         30         10          31         10       30         10       100,0        100,0 726000         ST gg. das Sprengstoff-, das Waffen- und das KriegswaffenkontrollG                                  62         50          65         52       49         40        79,0         80,0 726100         ST gg. das Sprengstoffgesetz                                                                         8          5           8          5        7          5        87,5        100,0 726200         ST gg. das Waffengesetz                                                                             53         44          55         46       41         35        77,4         79,5 726300         ST gg. das Kriegswaffenkontrollgesetz                                                                1          1           1          1        1                  100,0          0,0 728000         ST gg. das Bundes- (oder Landes-) Datenschutzgesetz                                                  1          2           1          2        1          2       100,0        100,0 728010         ST gg. Landesdatenschutzgesetz                                                                                  2           0          2                   2                    100,0 728020         ST gg. das Bundesdatenschutzgesetz                                                                   1                      1          0        1                  100,0 730000         Rauschgiftdelikte -BtMG-                                                                           117        134         122        140      111        129        94,9         96,3 731000         Allg. Verstöße gemäß § 29 BtMG (soweit nicht unter 7340 pp. zu erfassen)                            98        116         102        121       94        115        95,9         99,1 731100         Allg. Verstoß (§ 29 BtMG) - mit Heroin                                                               3          2           3          2        2          2        66,7        100,0 731200         Allgemeiner Verstoß (§ 29 BtMG) - mit Kokain einschl. Crack                                          9         10           9         10        9         10       100,0        100,0 731202         Allg. Verstoß (§ 29 BtMG) - Kokain                                                                   9         10           9         10        9         10       100,0        100,0 731300         Allg. Verstoß (§ 29 BtMG) - mit LSD                                                                  1                      1          0        1                  100,0 731400         Allg. Verstoß - mit Amphet./Methamphet in Pulver- o. flüss. Form                                    10         22          10         23       10         22       100,0        100,0 731500         Allg. Verstoß - mit Amphet./Methamphet (Ecstasy)                                                     3          2           3          2        3          2       100,0        100,0 731800         Allg. Verstoß (§ 29 BtMG) - mit Cannabis und Zubereitungen                                          67         77          70         80       65         76        97,0         98,7 731900         Allg. Verstoß (§ 29 BtMG) - mit sonst. Btm                                                           5          3           5          3        4          3        80,0        100,0 732000         Unerl. Handel/Schmuggel mit/von Rauschgiften gemäß § 29 BtMG                                        14          7          15          7       13          5        92,9         71,4 732100         Unerl. Handel und Schmuggel mit/von Heroin                                                                      1           0          1                   1                    100,0 732110         Unerl. Handel mit Heroin                                                                                        1           0          1                   1                    100,0 732200         Unerl. Handel und Schmuggel mit/von Kokain einschl. Crack                                            1                      1          0        1                  100,0 732210         Unerl. Handel mit Kokain einschl. Crack                                                              1                      1          0        1                  100,0 732212         Unerl. Handel mit Kokain                                                                             1                      1          0        1                  100,0 732400         Unerl. Handel/Schmuggel mit/von Amphet./Methamphet. in Pulver- o. flüss. Form                        1          1           1          1        1          1       100,0        100,0 732410         Ill. Handel - mit Amphet./Methamphet. u. d. Deriva. in Pulver- o. flüss. Form                        1          1           1          1        1          1       100,0        100,0 732500         Unerl. Handel/Schmuggel mit/von Amphet./Methamphet. (Ecstasy)                                        1                      1          0        1                  100,0 732510         Ill. Handel - mit Amphet./Methamphet. u. d. Deriva. (Ecstasy)                                        1                      1          0        1                  100,0 732800         Unerl. Handel und Schmuggel (§ 29 BtMG) mit/von Cannabis und Zubereitungen                          10          5          10          5        9          3        90,0         60,0 732810         Unerl. Handel (§ 29 BtMG) mit Cannabis und Zubereitungen                                            10          5          10          5        9          3        90,0         60,0 732900         Unerl. Handel und Schmuggel (§ 29 BtMG) mit/von sonstigen Btm                                        1                      1          0        1                  100,0 732910         Unerl. Handel (§ 29 BtMG) mit sonstigen Btm                                                          1                      1          0        1                  100,0 733000         Unerl. Einfuhr von Btm gemäß § 30 Abs. 1 Nr. 4 BtMG (in ngM)                                                    1           0          1                   1                    100,0 733800         Unerl. Einfuhr in ngM von Cannabis und Zubereitungen                                                            1           0          1                   1                    100,0 734000         Sonstige Verstöße gg. das BtMG                                                                       5         10           5         10        4          8        80,0         80,0
96

Seite 78 von 96 Polizeirevier Hennigsdorf Frage 34: Erfasste Fälle, Aufgeklärte Fälle, Aufklärungsquoten, Häufigkeitskennzahlen für alle Deliktsfelder Erfasste Fälle                            Aufgeklärte Fälle Schlüssel                                                        Bezeichnung                                Anzahl gesamt         Häufigkeitszahl      Anzahl gesamt             AQ in % 2012       2013        2012       2013     2012       2013        2012        2013 734100         Unerl. Anbau von Betäubungsmitteln                                                                   3          6            3         6        2          4        66,7         66,7 734200         Betäubungsmittelanbau, -herstellung und -handel als Mitglied einer Bande                                        1            0         1                   1                    100,0 734220         Verstöße gemäß § 30a BtMG                                                                                       1            0         1                   1                    100,0 734500         Abgabe, Verabr. o. Überl. v. Btm an Minderjährige                                                               1            0         1                   1                    100,0 734510         Abgabe, Verabreichung o. Überl. v. Btm an Minderj. § 29a Abs. 1 Nr. 1 BtMG                                      1            0         1                   1                    100,0 734800         Unerl. Handel, Herstellung, Abgabe und Besitz in ngM von Btm                                         2          2            2         2        2          2       100,0        100,0 734810         Unerl. Abgabe und Besitz in ngM gemäß § 29a Abs. 1 Nr. 2 BtMG                                        1                       1         0        1                  100,0 734814         Ill.(r) Abgabe/Besitz in ngM von A/M/D in Pulver- oder flüssiger Form                                1                       1         0        1                  100,0 734820         Unerl. Handel in ngM gemäß § 29a Abs. 1 Nr. 2 BtMG                                                   1          2            1         2        1          2       100,0        100,0 734824         Ill. Handel in ngM von A/M/D in Pulver- oder flüssiger Form                                                     1            0         1                   1                    100,0 734828         Unerl. Handel in ngM von Cannabis und Zubereitungen                                                  1          1            1         1        1          1       100,0        100,0 740000         Straft. gg. strafrechtl. Nebenges. auf dem Umwelt- und Verbraucherschutzsektor                      11         16           11        17        7          9        63,6         56,3 742000         Straftaten nach dem Infektionsschutz- und TiergesundheitsG                                                      1            0         1                   1                    100,0 742020         Tiergesundheitsgesetz                                                                                           1            0         1                   1                    100,0 743000         ST nach dem Bundesnaturschutz-, Tierschutz-, Bundesjagd- und PflanzenschutzG                        11         15           11        16        7          8        63,6         53,3 743020         Tierschutzgesetz                                                                                    11         15           11        16        7          8        63,6         53,3 890000         ST insgesamt, o. Verst. g. Aufenth.-, Asyl- u. FreizügigkeitsG/EU                                6.592      6.981        6.890     7.298    3.279      3.575        49,7         51,2 891000         Rauschgiftkriminalität                                                                             117        135          122       141      111        130        94,9         96,3 891100         direkte Beschaffungskriminalität                                                                                1            0         1                   1                    100,0 892000         Gewaltkriminalität                                                                                 160        159          167       166      126        139        78,8         87,4 892500         Mord und Totschlag                                                                                   4          1            4         1        3          1        75,0        100,0 893000         Wirtschaftskriminalität und zwar:                                                                   58         83           61        87       49         76        84,5         91,6 893100         Wikri bei Betrug                                                                                    21         24           22        25       17         17        81,0         70,8 893200         Wikri - Insolvenzstraftaten gemäß StGB und Nebenstrafrecht                                           8          8            8         8        8          8       100,0        100,0 893300         Wikri - im Anlage- und Finanzierungsbereich pp.                                                      2          1            2         1        2          1       100,0        100,0 893400         Wikri - Wettbewerbsdelikte                                                                           2         21            2        22        2         21       100,0        100,0 893500         Wikri - i.Z.m. Arbeitsverhältnissen                                                                 12         23           13        24       12         23       100,0        100,0 893600         Wikri - Betrug und Untreue i.Z.m. Beteiligungen und Kapitalanlagen                                   1          1            1         1        1          1       100,0        100,0 894000         KFZ-Kriminalität                                                                                   777        804          812       841      100        152        12,9         18,9 896000         ST gegen Bestimmungen zum Schutze der Jugend                                                         3          4            3         4        2          3        66,7         75,0 897000         Computerkriminalität                                                                               121         85          126        89       30         41        24,8         48,2 898000         Straftaten insgesamt auf dem Umwelt- und Verbraucherschutzsektor                                    34         43           36        45       26         27        76,5         62,8 898100         Umweltstraftaten gemäß 29. Abschnitt des StGB                                                        5         21            5        22        4         14        80,0         66,7 898200         Sonstige Straftaten nach dem StGB mit Umweltrelevanz                                                12          4           13         4       11          3        91,7         75,0 898300         Straftaten auf dem Umwelt- und Verbraucherschutzsektor gem. strafr. Nebengesetze                    17         18           18        19       11         10        64,7         55,6 899000         Straßenkriminalität                                                                              1.523      1.613        1.592     1.686      175        234        11,5         14,5
97

Seite 79 von 96 Polizeirevier Hennigsdorf Frage 34: Erfasste Fälle, Aufgeklärte Fälle, Aufklärungsquoten, Häufigkeitskennzahlen für alle Deliktsfelder Erfasste Fälle                            Aufgeklärte Fälle Schlüssel                                              Bezeichnung                                          Anzahl gesamt         Häufigkeitszahl      Anzahl gesamt             AQ in % 2012       2013        2012       2013     2012       2013        2012         2013 899100         Straßenraub                                                                                         23         15           24        16      13           7        56,5          46,7 899200         Straßendiebstahl                                                                                 1.214      1.281        1.269     1.339      53         123          4,4          9,6 899500         Sachbeschädigung durch Graffiti insgesamt                                                          315        282          329       295      75          70        23,8          24,8
98

Seite 80 von 96 Polizeirevier Hennigsdorf Frage 34: Erfasste Fälle, Aufgeklärte Fälle, Aufklärungsquoten, Häufigkeitskennzahlen für alle Deliktsfelder Erfasste Fälle                     Aufgeklärte Fälle Schlüssel                                                     Bezeichnung                                Anzahl gesamt      Häufigkeitszahl   Anzahl gesamt         AQ in % 2015                 2015            2015                2015 ------         Straftaten insgesamt                                                                                      6.071              6.239                                50,1 000000         ST gg. das Leben                                                                                              4                  4               2                50,0 010000         Mord                                                                                                                             0 010079         Sonstiger Mord                                                                                                                   0 020000         Totschlag und Tötung auf Verlangen                                                                                               0 020010         Totschlag                                                                                                                        0 030000         Fahrlässige Tötung - nicht i.V.m. Verkehrsunfall -                                                            3                  3               1                33,3 040000         Abbruch der Schwangerschaft                                                                                   1                  1               1               100,0 040010         Schwangerschaftsabbruch                                                                                       1                  1               1               100,0 100000         ST gg. die sex. Selbstbestimmung                                                                             70                 72              62                88,6 110000         unter Gewaltanw. o. Ausnutzen e. Abhängigkeitsverh.                                                          28                 29              23                82,1 111000         Vergewaltigung und sex. Nötigung                                                                             16                 16              12                75,0 111100         Vergewalt./sex. Nötigung überfallartig (Einzeltäter)                                                          1                  1               1               100,0 111300         Vergewalt./sex. Nötigung durch Gruppen                                                                        2                  2               1                50,0 111400         Sonstige Straftaten gemäß § 177 Abs. 2 Nr. 1, Abs. 3 und 4 StGB                                              13                 13              10                76,9 112000         Sonstige sex. Nötigung                                                                                       12                 12              11                91,7 113000         Sex. Missbr. v. Schutzbef. pp., u. Ausnutzung e. Amtsst. o.e. Vertrauensverh.                                                    0 113010         Sex. Missbr. von Schutzbefohlenen ab 14 Jahren                                                                                   0 130000         Sexueller Missbrauch                                                                                         30                 31              27                90,0 131000         Sex. Missbr. von Kindern                                                                                     23                 24              21                91,3 131100         Sexuelle Handlungen gemäß § 176 Abs. 1 und 2 StGB                                                            16                 16              15                93,8 131200         Exhibitionistische/sex. Handlungen vor Kindern                                                                1                  1                                 0,0 131400         Einwirken auf Kinder                                                                                          3                  3               3               100,0 131500         Vollzug des Beischlafs mit einem Kind oder Vornahme einer ähnl. sex. Handlung                                 3                  3               3               100,0 131700         Sonstiger schwerer sex. Missbr. von Kindern                                                                                      0 132000         Exhibitionistische Handlungen und Erregung öffentlichen Ärgernisses                                           4                  4               4               100,0 132010         Exhibitionistische Handlungen                                                                                 4                  4               4               100,0 132020         Erregung öffentlichen Ärgernisses                                                                                                0 133000         Sex. Missbr. von Jugendlichen                                                                                 1                  1               1               100,0 134000         Sex. Missbr. Widerstandsunfähiger                                                                             2                  2               1                50,0 140000         Ausnutzen sexueller Neigung                                                                                  12                 12              12               100,0 143000         Verbreitung pornographischer Schriften (Erzeugnisse)                                                         12                 12              12               100,0 143030         Zugänglichmachen pornographischer Inhalte mittels Rundfunk oder Telemedien                                    1                  1               1               100,0 143100         Verbr. pornogr. Schriften (Erzeugnisse) an Personen unter 18 Jahren                                           1                  1               1               100,0 143300         Besitz/Verschaffung von Kinderpornographie                                                                    8                  8               8               100,0 143400         Verbreitung von Kinderpornographie                                                                            2                  2               2               100,0
99

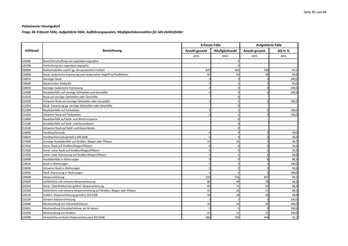
Seite 81 von 96 Polizeirevier Hennigsdorf Frage 34: Erfasste Fälle, Aufgeklärte Fälle, Aufklärungsquoten, Häufigkeitskennzahlen für alle Deliktsfelder Erfasste Fälle                     Aufgeklärte Fälle Schlüssel                                                      Bezeichnung                                 Anzahl gesamt      Häufigkeitszahl   Anzahl gesamt         AQ in % 2015                 2015            2015                2015 143600         Besitz/Verschaffung von Jugendpornographie                                                                                       0 143700         Verbreitung von Jugendpornographie                                                                                               0 200000         Rohheitsdelikte und ST gg. die persönliche Freiheit                                                        879                903              768                87,4 210000         Raub, räuberische Erpressung und räuberischer Angriff auf Kraftfahrer                                       42                 43               29                69,0 210010         Sonstiger Raub                                                                                               3                   3               3               100,0 210040         Räuberischer Diebstahl                                                                                       5                   5               3                60,0 210050         Sonstige räuberische Erpressung                                                                              2                   2               2               100,0 212000         Raubüberfälle auf sonstige Zahlstellen und Geschäfte                                                         4                   4               4               100,0 212010         Raub auf sonstige Zahlstellen oder Geschäfte                                                                                     0 212020         Schwerer Raub auf sonstige Zahlstellen oder Geschäfte                                                        3                   3               3               100,0 212050         Räub. Erpressung gg. sonstige Zahlstellen oder Geschäfte                                                                         0 212200         Raubüberfälle auf Tankstellen                                                                                1                   1               1               100,0 212220         Schwerer Raub auf Tankstellen                                                                                1                   1               1               100,0 213000         Raubüberfälle auf Geld- und Werttransporte                                                                                       0 213100         Raubüberfälle auf Geld- und Kassenboten                                                                                          0 213120         Schwerer Raub auf Geld- und Kassenboten                                                                                          0 216000         Handtaschenraub                                                                                              4                   4               2                50,0 216010         Handtaschenraub gemäß § 249 StGB                                                                             4                   4               2                50,0 217000         Sonstige Raubüberfälle auf Straßen, Wegen oder Plätzen                                                      15                 15                7                46,7 217010         Sonst. Raub auf Straßen/Wegen/Plätzen                                                                        6                   6               2                33,3 217020         Sonst. schw. Raub auf Straßen/Wegen/Plätzen                                                                  4                   4               1                25,0 217050         Sonst. räub. Erpressung auf Straßen/Wegen/Plätzen                                                            5                   5               4                80,0 219000         Raubüberfälle in Wohnungen                                                                                   9                   9               8                88,9 219010         Raub in Wohnungen                                                                                            5                   5               5               100,0 219020         Schwerer Raub in Wohnungen                                                                                   2                   2               1                50,0 219050         Räub. Erpressung in Wohnungen                                                                                2                   2               2               100,0 220000         Körperverletzung                                                                                           518                532              467                90,2 222000         Gefährliche und schwere Körperverletzung                                                                    88                 90               78                88,6 222010         Sonst. Tatörtlichkeit bei gefährl. Körperverletzung                                                         69                 71               61                88,4 222100         Gefährliche und schwere Körperverletzung auf Straßen, Wegen oder Plätzen                                    19                 20               17                89,5 222110         Gefährl. Körperverletzung gemäß § 224 StGB                                                                  18                 18               16                88,9 222120         Schwere Körperverletzung                                                                                     1                   1               1               100,0 223000         Misshandlung von Schutzbefohlenen                                                                           16                 16               16               100,0 223001         Misshandlung Schutzbefohlener ab 14 Jahren                                                                   5                   5               5               100,0 223100         Misshandlung von Kindern                                                                                    11                 11               11               100,0 224000         Vorsätzliche einfache Körperverletzung § 223 StGB                                                          382                393              348                91,1
100

Zur nächsten Seite