Wasserentnahmeentgelt

/ 14
PDF herunterladen
Niedersächsischer Landtag — 13. Wahlperiode Drucksache 13/612

Antwort auf eine Große Anfrage
— Drucksache 13/306 —

Wortlaut der Großen Anfrage der Fraktion der CDU vom 29. 9. 1994

Betr.: Wasserentnahmeentgelt

 

Der Landtag hat mit Beschluß vom 17. Juni 1992 das Niedersächsische Wassergesetz
(NWG) mit dem Ziel geändert, eine Wasserentnahmegebühr zur Finanzierung von Maß-

nahmen zum Schutz der Gewässer und des Wasserhaushaltes zu erheben. Entsprechend

wird seit dem 1. Juli 1992 nach den einschlägigen Bestinnmungen des Gesetzes eine Was-
serentnahmegebühr erhoben. Im Haushaltsplan von 1992 war eine Einnahme von 60 Mio.
DM veranschlagt, die Haushaltspläne 1993 und 1994 weisen jeweils Einnahmen in Höhe
von 120 Mio. DM aus dieser Gebühr aus.

Wir fragen die Landesregierung: |
I. Gebührenaufkommen |

1. Welche Bundesländer erheben seit welchem Haushaltsjahr eine vergleichbare Was-
serentnahmegebühr?

2. Wie hoch waren in den einzelnen Haushaltsjahren in diesen Bundesländern die

Einnahmen?

3. Wie hoch war die Wasserentnahmegebühr in den einzelnen Landkreisen bzw.
kreisfreien Städten in Niedersachsen in den Jahren

a) 1992?

b) 19932

c) 1. Halbjahr 1994?

d) geschätzt 2. Halbjahr 1994?
4. In.der Anlage zu $ 47 a Abs. 1 NWG sind die Gebührensätze für die einzelnen

Wasserentnahmen aufgeführt. Wie hoch waren die Gesamtaufkommen für die ein-
zelnen Ziffern in den Jahren

a) 19922

b) 1993?

c) 1. Halbjahr 1994?

d) geschätzt 2. Halbjahr 1994?

II. Verwaltung der Mittel

1. Wie hoch waren die Verwaltungskosten für die Einzichung bzw. Verwendung der
Wasserentnahmegebühr in den Haushaltsplänen 1992, 1993 und 1994 (1994
Haushaltsansarz}?
1

Niedersächsischer Landtag - 13. Wahlperiode Drucksache 13/612

2. Welche tatsächlichen Verwaltungskosten sind in den einzelnen Haushaltsstellen
entstanden?

3. Wie viele Mitarbeiter sind bei der Finführung der Wasserentnahmegebülr zeit-
weise beteiligt gewesen:

a) im Niedersächsischen Umweltministertum?

b) bei den staatlichen Ämtern für Wasser und Abfall?
c) bei den Bezirksregierungen?

d) bei sonstigen Landesbehörden?

e) bei den Landkreisen bzw. kreisfreien Städten?

f} bei den Wasserverbänden bzw. Wasserwerken und anderen Abgabenpflichti-
gen?

4. Wie hoch wurde der Personalbedarf für die verschiedenen staatlichen Ebenen
während der Gesetzesberatungen vom Niedersächsischen Umweltministerium an-

gegeben?
5. Wie hoch war der tatsächliche Personalbedarf?

6. Welche Verwaltungskosten sind dadurch auf den einzelnen Ebenen verursacht
worden?

7. Welcher ständiger Personalbedarf ist durch die Einführung der Wasserentnahme-
gebühr entstanden

a) im Niedersächischen Umweltministerium?

b) bei den staatlichen Ämtern für Wasser und Abfall?
c) bei den Bezirksregierungen?

d) bei anderen Landesbehörden?

e) bei den Landkreisen und kreisfreien Städten?

N) bei den Wasserverbänden bzw. Wasserwerken oder anderen Abgabenpflichti-
gen?
8. Wie hoch waren die konkreten Verwaltungskosten
a) in den Landkreisen und kreisfreien Städten?
b) bei den Wasserverbänden und Wasserwerken und anderen Gebührenpflichti-
gen?
9. Welche Verwaltungskostenerstattungen sind den
a) Landkreisen und kreisfreien Städten,

b) Wasserverbänden und Wasserwerken und anderen Gebührenpflichtigen in den
Jahren 1992, 1993 und 1994 zugeflossen bzw. werden ihnen zufließen?

IH. Verwendung des Gebührenaufkommens
In welcher Höhe ist das Gebührenaufkommen für die nachstehend genannten Pro-
jekte und Maßnahmen in den Haushaltsjahren 1992 und 1993 verwendet worden, in
welcher Höhe soll es dafür in den Haushaltsjahren 1994 und 1995 verwendet wer-

den?
2

Niedersächsischer Landtag — 13. Wahlperiode

Drucksache 13/612

 

1.1 Schutz des Grundwassers in Wasserschutz- und Wassereinzugsgebieten
a) Ausgleichszahlungen in Wasserschutzgebieten
b) Entschädigungsleistungen aufgrund freiwilliger Vereinbarungen

c) Beratung der Land- und Forstwirtschaft sowie des Erwerbsgartenbaues ein-
schließlich der hiermit im Zusammenhang stehenden Boden- und Gewässer-
untersuchungen

d) Zuwendungen an die Landwirtschaftskammern zur gewässerschutzorientier-
ten Beratung

€) Zuschüsse an Wasserversorgungsunternehmen für den Erwerb von Flächen in
Wasserschutzgebieten

f} Zuschüsse für Anpachtung von Flächen in Wasserschutzgebieten
8) Zuschüsse an Kooperationen in Wasserschutzgebieten oder Einzugsgebieten
h) Modell und Pilotvorhaben in Wasserschutzgebieten
) Wassersparprogramme - einzelne konkrete Programme
1.2 Erweiterter Grundwasser- und Gewässerschutz

a) Förderung der Gewässerunterhaltung sowie des Rückbaues im Rahmen einer
naturnahen Gewässergestaltung zur Förderung der Selbstreinigungskraft der
Gewässer

b) Ausgleichs- und Entschädigungsleistungen im Rahmen des Gewässerrandstrei-
fenprogramms einschließlich der Leistungen gem. $ 91 b Abs. 2 NWG

c) Zuwendung für den Bau von Güllebehältern in Wasserschutzgebieten
d) Gewässerüberwachungsprogramm/GÜN
e) Fließgewässerschutzprogranım |

f) Förderung der Renaturierung der Flußauen und Feuchtgrünlandbereiche zum
Zwecke der Wasserrückhaltung und der Grundwasserneubildung

1.3 Naturschutzprogramme und sonstige Maßnahmen

a) Naturschutzprogramme - einzelne konkrete Maßnahmen
b) Weißstorchprogramm
c) Fischotterprogramm

d) Feuchtgrünlandschutzprogramm
e) Dümmersanierung und Steinhuder Meer
f} Sanierung Münchehagen
g) Zuschüsse für den Abwasserbereich
h) sanstige Verwendungsbereiche

- einzelne konkrete Maßnahmen

IV. Wassersparkonzepte

Die Landesregierung wollte mit der Gesetzesnovelle den sparsamen Verbrauch von
Wasser sicherstellen.

Hat die Landesregierung in der Zwischenzeit Erkenntnisse darüber gewonnen, daß
diese Lenkungsfunktion in einzelnen Bereichen konkret eingetreten ist?
3

Niedersächsischer Landtag - 13. Wahlperiode Drucksache 13/612

 

V. Weitere Entwicklungen

1. Beabsichtigt die Landesregierung eine Novellierung des Niedersächsischen Was-
sergesetzes mit dem Ziel, alle öffentlichen Aufgaben aus der Wasserentnahme-
gebühr finanzieren zu können?

2. Steht die Landesregierung noch zu ihrer Auffassung in der Begründung des Ge-
setzentwurfes der 8. NWG-Novelle (Drs 12/2960 vom 17. 3. 1992), wonach die
Wasserentnahmegebühr zweckgebunden für Maßnahmen des unmittelbaren Ge-
wässerschutzes für die Trinkwasserversorgung verwandt werden soll und aus dem
Aufkommen nicht Maßnahmen zur Sanierung von Grundwasserbelastungen
finanziert werden sollen, weil insoweit die Verursacher heranzuziehen seien oder
Mittel aus einer zu erhebenden Abfallabgabe bereitzustellen seien?

3. Soll diese Gesetzesänderung ggf. zum 1. 1. 1995 Rechtskraft erhalten?

4. In welchem Umfang ist die niedersächsische Schiffbauindustrie von der Wasser-
entnahmegebühr betroffen worden?

5. Warum wird in den Ländern Bremen, Hamburg, Hessen und ab 1. 4. 1994 in
Schleswig-Holstein nur eine Wasserentnahmegebühr für die Entnahme von
Grundwasser erhoben, nicht aber auf die Entnahme aus oberirdischen Gewässern?

6. Beabsichtigt die Landesregierung das Niedersächsische Wassergesetz in dem Sinne
zu ändern, daß eine Harmonisierung mit den Wassergesetzen der norddeutschen
Bundesländer erreicht wird?

Antwort der Landesregierung

Niedersächsisches Umweltministerium Hannover, den 2. 12. 1994
— 109 - 01425/5/2/1 203 - 01425/1 -

Die Entwicklung der modernen Industriegesellschaft hat die natürlichen Lebensgrundla-
gen der Menschen durch Schädigungen der Luft, des Bodens, der Tier- und Pflanzenwelt
und des Wassers besorgniserregend verändert. Hierdurch sind Belastungen entstanden,
deren Beseitigung erheblicher finanzieller Anstrengungen bedarf. Neue Belastungen müs-
sen vermieden werden. Ziel einer verantwortungsbewußten Umweltpolitik muß es daher
sein, vorausschauend Maßnahmen zum Schutz der Umwelt zu planen und umzusetzen.
Das klassische Instrumentarium des Ordnungsrechts reicht hierfür allein nicht mehr aus.
Wirtschaftliche Anreize können daneben wirksam zu einer sorgsameren und sparsameren
Nurzung der Umweltgüter beitragen.

Mit dieser Zielsetzung wurde in Niedersachsen zum 1.7.1992 eine Wasserentnahmege-
bühr eingeführt. Wasser steht seit dem Inkrafttreten der 8. Novelle zum Niedersächsi-
schen Wassergesetz (NWG) nicht mehr unentgeltlich zur Verfügung. Damit soll eine
sparsamere Wasserverwendung als bisher erreicht werden. Gleichzeitig wird mit dem Ge-
bührenaufkommen ein innovativer Gewässerschutz gefördert. Das gesamte Gebührenauf-
kommen aus der Wasserentnahmegebühr wird — nach Abzug der Verwaltungskosten —
ausschließlich für Maßnahmen zum Schutz der Gewässer und des Wasserhaushaltes ver-
wendet. Ein erheblicher Teil der Mittel wird in Trinkwassereinzugsgebieten zur Mini-
mierung von Grundwasserbelastungen aus der Landwirtschaft eingesetzt. So entstehen
zwischen Landwirtschaft und Wasserwirtschaft kooperative Lösungen zur langfristigen Si-
cherung unserer Trinkwasserversorgung.
4

Niedersächsischer Landtag — 13. Wahlperiode Drucksache 13/612

 

Dieses vorausgeschickt, beantworte ich die Einzelfragen wie folgt:

Zul.l:

Ein Wasserentnahmeentgelt wird zur Zeit in 11 Ländern erhoben. Die Länder Bayern,
Nordrhein-Westfalen, das Saarland und Rheinland-Pfalz erheben bisher noch keine Was-
serentnahmegebühr; das Land Sachsen-Anhalt verfügt über eine Verordnungsermächti-
gung im Landeswassergesetz, die noch nicht ausgefüllt wurde.

Die Gebührentatbestände und die Gebührenhöhe sind in den einzelnen Ländern unter-
schiedlich ausgestaltet; so sind z. B. nur in einigen Ländern die Hebesätze nach Herkunft
und Verwendungszweck des Wassers gestaffelt, wie dies in Niedersachsen der Fall ist. Die
nachstehende Tabelle, aus der sich auch das Jahr der erstmaligen Erhebung ergibt, stellt
die Hebesätze für die öffentliche Wasserversorgung dar, um einen diesbezüglichen Ver-
gleich zu ermöglichen.

Grund- und Oberflächenwasser

 

Jahr Hebesatz in DM/m?
Baden- Württemberg 1988 0,10
Brandenburg 1994 0,10
Mecklenburg-Vorpommern 1992 0,035
Niedersachsen 1992 0,10
Sachsen 1993 0,03
Thüringen 1994 0,03
Grundwasser

Jahr Hebesarz in DM/m?
Berlin 1990 0,30
Bremen 1993 0,10
Hamburg 1989 0,10
Hessen 1992 0,20 ab 94: 0,40
Schleswig-Holstein 1994 0,10
Zu l.2:

Der Landesregierung sind lediglich die Gesamteinnahmen der Länder Baden-Württem-
berg, Hessen und Berlin aus der Wasserentnahmegebühr im Haushaltsjahr 1993 bekannt.
Sie belaufen sich in Baden-Württemberg auf rund 145 Mio. DM, in Berlin auf rund
75 Mio. DM und in Hessen auf rund 102 Mio. DM; für das Jahr 1994 werden die Ge-
samteinnahmen in Hessen auf rund 200 Mio. DM geschätzt.

Zu L3:

Die Einnahmen aus der Wasserentnahmegebühr in den Landkreisen und kreisfreien Städ-
ten in Niedersachsen ergeben sich aus den nachstehenden Tabellen.

Die deutlich höheren Einnahmen im Jahre 1993 gegenüber dem Jahr 1992 erklären sich
zum einen daraus, daß die Wasserentnahmegebühr erst ab der zweiten Jahreshälfte 1992
erhoben wurde; zum anderen wurden Gebühren, die für das Jahr 1992 zu entrichten wa-
ren, häufig erst 1993 eingenommen und yerbucht.

Die Angaben für das Jahr 1994 beruhen auf Schätzungen auf der Grundlage der Einnah-
men im Jahre 1993. Aus dem Regierungsbezirk Hannover liegen bereits diesbezügliche
Meldungen der unteren Wasserbehörden vor.
5

Niedersächsischer Landtag - 13. Wahlperiode

 

   

   

Bezirk Braunschweig 1992 1993 1. Halbj. 1994
DM DM DM
LK Gifhorn 868 366,90 1 662 996,14 850 000
LK Göttingen 385 664,73 527 244,42 300 000
LK Goslar 2962 412,07 5 807 724,63 2 900 000
LK Helmstedt 337 910,45 542 072,27 300 000
LK Northeim 543 920,47 1.060 473,38 530 000
LK Osterode 1180 793,90 2288 237,77 1150 000
LK Peine 297 973,94 593 156,41 300 000
LK Wolfenbüttel 1 273 550,01 2 686 260,14 1 300 000
Stadt Braunschweig 73 077,85 211 401,08 90 000
Stadt Göttingen 114 944,80 234 937,20 120 000
Stadt Goslar 1271,81 275 174,45 90 000
Stadt Salzgitter 100 264,48 198 211,27 100 000
Stadt Wolfsburg 379 327,96 644 318,85 320 000
Gesamtsummen 8519 479,37 16 732 208,01 8 350 000
Bezirk Hannover 1992 1993 1. Halbj. 1994
DM DM DM
LK Diepholz 1251 799,49 2 378 972,81 1 181 866,19
LK Hameln-Pyrmont 7188 233,71 14 253 743,36 7 251 741,51
LK Hannover 3 602 205,10 6861 964,49 3 665 155,75
LK Hildesheim 434 988,93 846 758,64 425 055,32
LK Holzminden 442 955,55 716 730,56 266 805,38
LK Nienburg 1118 413,77 1527 414,92 875 275,79
LK Schaumburg 422 236,23 861 287,86 397 410,98
Stadt Hameln 250 814,02 448 808,51 206 261,09
Landeshauptstadt
Hannover 373 626,49 910 828,15 410 748,20
Stade Hildesheim 29 158,00 48 341,08 27 348,80
Gesamtsummen 15 114 431,29 28854 850,38 14707 669,01
Bezirk Lüneburg 1992 1993 1. Halbj. 1994
DM DM DM
LK Celle 704 898,23 1 278 140,43 639 000
Stadt + LK Cuxhaven 1222 106,56 2454 298,80 1 227 000
LK Harburg 1 429 215,85 2 823 450,65 1412 000
LK Lüchow-
Dannenberg 203 847,87 511 130,44 256 000
Stadt + LK Lüneburg 729 942,59 , 1389 288,32 695 000
LK Osterholz-
Scharmbeck 304 365,00 625 869,36 313 000
LK Rotenburg (Wümme) 685 756,40 1321 942,50 661 000
LK Soltau-Fallingbostel 636 369,34 1222 701,60 611.000
LK Stade 5 153 273,34 11121 257,25 5 560 000
LK Uelzen 522 658,47 911 580,25 456 000
LK Verden 942 281,84 1 848 081,79 924 000
Gesamtsummen 12 534 715,49 25 507 741,39 12 808 000

Drucksache 13/612

2. Halbj. 1994
DM

850 000
300 000

2. Halbj. 1994
DM

1 182 415,93
7 125 373,88
3 481 593,46
430 552,10
381 648,58
730 185,79
397 410,98
242 395,05

410 748,20
25 564,00

14 407 887,97

2. Halbj. 1994
DM

639 000
1 227 000
1412 000

256 000
695 000

313 000
661.000
611.000
5 560 000
456 000
924 000

12 808 000
6

Niedersächsischer Landtag - 13. Wahlperiode

Drucksache 13/612

 

Bezirk Weser-Ems

LK Ammerland

LK Aurich

LK Grafschaft Bentheim
LK Cloppenburg
LK Emsland

LK Friesland
LKLeer

LK Oldenburg

LK Osnabrück

LK Vechta

LK Wesermarsch

LK Wittmund

Stadt Delmenhorst
Stadt Emden

Stadt Lingen

Stadt Oldenburg
Stadt Osnabrück
Stadt Wilhelmshaven

Gesamtsummen

Zu 1.4:

1992
DM

494 948,90
990 706,77
426 675,11
468 109,60
1 241 581,96
68 838,91
539 582,05

1 334 784,85
1 464 208,49
411 106,63
7999 229,11
334 703,40
221 087,00
601 007,85
369 842,55
488 694,97
710 553,05
524 800,30

18 690 461,50

1993
DM

921 730,90
1939 838,97
818 970,17
1.083 051,34
2.352 226,28
133 182,38
1.043 005,87
2 413 551,49
3.065 326,75
783 128,24
19 003 828,84
687 703,17
475 393,41
596 666,85
726 446,78
542 587,07
405 030,98
1.083 959,00

38 075 628,49

 

1. Halbj. 1994
DM

460 865,45
969 919,49
409 485,09
541 525,67
1 176 113,15
66 612,45
537 599,33

1 206 775,75
1 532 663,38
391 564,12
9 501 914,42
343 851,59
237 696,71
261 188,50
363 223,40
271 293,54
202 515,50
541 979,50

2. Halbj. 1994
DM

460 865,45
969 919,48
409 485,08
541 525,67

1 176 113,13
66 612,45
537 599,33

1 206 775,74
1532 663,37
391 564,12
9 501 914,42
343 851,58
237 696,70
261 188,50
363 223,38
271 293,53
202 515,48
541 979,50

19 016 787,04 19 016 786,91

Die Verteilung des Gesamtaufkommens nach den einzelnen Verwendungszwecken ergibt
sich aus der nachstehenden Tabelle; die Angaben für das Jahr 1994 beruhen auf Schät-

zungen.

1. Öffentliche Wasserversorgung:

. 2. Entnahme und Ableiten von Wasser aus oberirdischen Gewässern:

2.1 zur Kühlung
2.2 zur Beregnung
und Berieselung

2.3 zu sonstigen Zwecken

1992
DM

30 159 706,95

1992
DM

20 552 733,91

28 367,86

601 215,38

1993
DM

57 981 638,63

1993
DM

43 926 183,57

53 508,29

955 038,22

‚1. Halbj. 1994
DM

28 948 000,00

1. Halbj. 1994
DM

22 427 000,00

40 600,00
494 000,00

2. Halbj. 1994
DM

28 908 000,00

2. Halbj. 1994
DM

22 060 000,00

34 000,00
512 000,00

3. Entnehmen, Zutagefördern, Zutageleiten und Ableiten von Grundwasser

3.1 zur Wasserhaltung

3.2 zur Kühlung

3.3 zur Beregnung
und Berieselung

3.4 zur Fischhaltung

1992 1993  1.Halbj. 1994 2. Halbj. 1994
DM DM DM DM

258 931,10 942 839,95 427 950,00 205 000,00

1549 266,81 , 2704 191,67 1372050,00 1350 000,00

494 311,46 _ 516 975,49 318 000,00 238 000,00

2 695,02 10 444,36 7 300,00 5 000,00

1211 868,79 ° 2079 608,08 1004000,00 1150 000,00

3.5 zu sonstigen Zwecken
7

Niedersächsischer Landtag - 13. Wahlperiode Drucksache 13/612

Zull.i und 2:

Nach $ 47 hAbs. 1NWG ist aus dem Aufkommen der Gebühr für die Wasserentnahme
vorab der Verwaltungsaufwand zu decken, der dem Land und den kommunalen Körper-
schaften bei der Erhebung und Verwaltung dieser Gebühr einschließlich dem Vollzug der
$$ Sia und 9b NWG entsteht.

Zum Verwaltungsaufwand gehören demzufolge zunächst die Kosten, die bei der Erhe-
bung der Wasserentnahmegebühr anfallen. Darüber hinaus entstehen zusätzliche Verwal-
tungskosten im Zusammenhang mit der Verwendung des Aufkommens.

Die nachstehende Tabelle stelle auf der Basis der Haushaltsansätze den mit der Ein-
führung der Wasserentnahmegebühr verbundenen Verwaltungsaufwand sowie - in Klam-
mern — die tatsächlichen Ausgaben dar.

. Zu Pos. 1 ist anzumerken, daß die kommunalen Körperschaften für die Wahrnehmung
der Aufgaben der unteren Wasserbehörden pauschale Zuweisungen zur Deckung ihres
Verwaltungsaufwandes erhalten. Die Höhe richtet sich gem. $ 47 Abs. 2 NWG nach dem
auf die Körperschaft entfallenden Anteil an der Gesamtzahl der Bescheide. Die Erstattung
in Höhe von 1992 144 DM erfolgte für 1992 rückwirkend im Jahre 1993. Die Erstar-
tungen für die folgenden Jahre werden zur Zeit berechnet.

Zu den Pos. 2 und 3 ist anzumerken, daß die Steigerungen der Verwaltungskosten in der
Landesverwaltung von 1993 zu 1994 darauf zurückzuführen sind, daß im Laufe des Jah-
xes 1993 noch nicht alle für die Erhebung und Verwaltung der Wasserentnahmegebühr
erforderlichen Stellen zur Verfügung standen und besetzt werden konnten. Für 1992
konnte der Verwaltungsmehraufwand des Landes nicht im einzelnen erfaßt und ausge-
wiesen werden, da der erforderliche Personalbedarf zunächst hätte ermittelt und festge-
schrieben werden müssen. Zum Ausgleich des Verwaltungsaufwandes ist deshalb im
Haushaltsjahr 1993 eine globale Mehrausgabe in Höhe von 5749300 DM ausgewiesen
und dem allgemeinen Landeshaushalt zugeführt worden.

Verwendungszweck 1992 1993 1994

(Haushaltsstelle) DM DM DM

1. Verwaltungsaufwand der 4750000 3000000 3000000
unteren Wasserbehörden) (-) (1992 144)

(Kap. 15 51 Titel 633 01)
2. Abführung an andere Kapitel

des Landeshaushalts —

Verwaltungskosten

(Kap. 1551 Titel 981 01)

Insgesamt: - 4149700 6.004 300
=) (2413 569,00)

—MU (Kap. 1501) 381000
=) (207 343,00)

— Bezirksregierungen/StÄWA

Kapitel 15 50 (MU) 4420700

o (1.800 464,00)

Kapitel 03 05 (MI) 1 202 600
ge) (405 762,00)

3. Globale Mehrausgabe für - 5749 300 -

den Verwaltungsaufwand des

Landes im Zusammenhang

mit der Bewirtschaftung der

Wasserentnahmegebühr

(Kap. 15 51 Titel 971 02) ) (5 749 300) J
8

Niedersächsischer Landtag - 13. Wahlperiode Drucksache 13/612

 

Zu 113:

In den unter a) bis d} aufgeführten Landesbehörden war eine Vielzahl von Micarbeiterin-
nen und Mitarbeitern mit unterschiedliche Arbeitsbelastung an der Einführung der Was-
serentnahmegebühr beteiligt. Die Personalaufwendungen während der Einführungszeit
sind für Landesbehörden nicht nach der Personenzahl bestimmbar.

Im Laufe des Jahres 1993 wurden die planmäßigen Stellen für die Bewirtschaftung der
Wasserenrnahmegebühr besetzt, so daß seit Ende 1993/Beginn 1994 von einem ständigen
Personalaufwand auszugehen ist.

Die tatsächliche Zahl der Mitarbeiterinnen und Mitarbeiter, die bei den unter e) genann-
ten unteren Wasserbehörden Aufgaben im Zusammenhang mit der Einführung der Was-
serentnahnmiegebühr wahrgenommen haben, ist der Landesregierung nicht bekannt. Die
Organisation und Ausführung dieser Aufgaben liegt in der Zuständigkeit der kommuna-
len Gebietskörperschaften.

Bezüglich der unter f}) genannten Einrichtungen und Abgabepflichtigen sind der Landes-
regierung keine Angaben bekannt.

Zu II.4:

In der Begründung des von der Landesregierung eingebrachten Gesetzentwurfs zur 8. No-
velle des NWG wurde der ständige Personalbedarf dahingehend angegeben, daß voraus-
sichtlich jede untere Wasserbehörde je eine Stelle für die Erhebung und die Verwendung
der Wasserentnahmegebühr (also insgesamt 108 Stellen) und jede obere Wasserbehörde
2,5 Stellen für die Erhebung der Wasserentnahmegebühr und die Bearbeitung der Rechts-
mittelverfahren (also insgesamt 10 Stellen) benötigen werde.

Zu I15:

Der Personalbedarf der staatlichen Stellen ergibt sich aus der umfassenden Antwort zu
II.7.

Zu 11.6:

Auf die Antwort zu II.1 und 11.2 wird verwiesen.

Zu ll.7:

 

Mit der Einführung der Wasserentnahmegebühr ist der nachstehend aufgeführte Perso-

nalbedarf entstanden:
I
a) im Nieders. Umweltministerium:

2 Stellen der BesGr. A 15
0,5 Stellen der BesGr. A 13
0,5 Stellen der VergGr. I a (g.D.) BAT

b) bei den Staarlichen Ämtern für Wasser und Abfall:
eine Stelle der BesGr. A 10
11 Stellen der VergGr. ITa BAT
10 Stellen der VergGr. IV aBAT

|
|
|
c) bei den Bezirksregierungen: |
4 Stellen der BesGr. A 11 ‚Kapitel 15 50
4 Stellen der BesGr. A 10 Wasserwirtschaftsverwaltung

4 Stellen der VergGr. IIa BAT (Fachdezernate)
9

Niedersächsischer Landtag - 13. Wahlperiode Drucksache 13/612

 

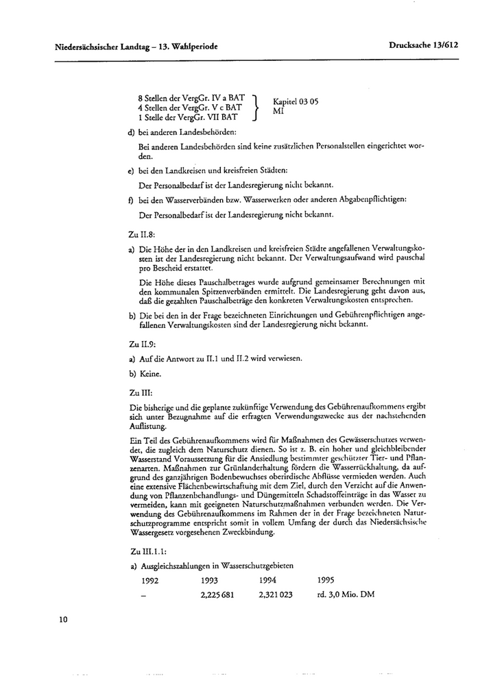
Kapitel 03 05

4 Stellen der VergGr. V c BAT MI

1 Stelle der VergGr. VII BAT
d) bei anderen Landesbehörden:

8 Stellen der VergGr. IV aBAT }

Bei anderen Landesbehörden sind keine zusätzlichen Personalstellen eingerichtet wor-
den.

e) bei den Landkreisen und kreisfreien Städten:
Der Personalbedarf ist der Landesregierung nicht bekannt.

f}) bei den Wasserverbänden bzw. Wasserwerken oder anderen Abgabenpflichtigen:
Der Personalbedarf ist der Landesregierung nicht bekannt.

Zu 11.8:

a) Die Höhe der in den Landkreisen und kreisfreien Städte angefallenen Verwaltungsko-
sten ist der Landesregierung nicht bekannt. Der Verwaltungsaufwand wird pauschal
pro Bescheid erstattet.

Die Höhe dieses Pauschalbetrages wurde aufgrund gemeinsamer Berechnungen mit
den kommunalen Spitzenverbänden ermittelt. Die Landesregierung geht davon aus,
daß die gezahlten Pauschalberräge den konkreten Verwaltungskosten entsprechen,

b) Die bei den in der Frage bezeichneten Einrichtungen und Gebührenpflichtigen ange-
fallenen Verwaltungskosten sind der Landesregierung nicht bekannt.

Zu IL9:
a) Auf die Antwort zu Il.1 und II.2 wird verwiesen.
b) Keine.

Zu I:

Die bisherige und die geplante zukünftige Verwendung des Gebührenaufkommens ergibt
sich unter Bezugnahme auf die erfragten Verwendungszwecke aus der nachstehenden
Auflistung.

Ein Teil des Gebührenaufkommens wird für Maßnahmen des Gewässerschutzes verwen-
det, die zugleich dem Naturschutz dienen. So ist z. B. ein hoher und gleichbleibender
Wasserstand Vorausserzung für die Ansiedlung bestimmter geschützter Tier- und Pflan-
zenarten. Maßnahmen zur Grünlanderhaltung fördern die Wasserrückhaltung, da auf-
grund des ganzjährigen Bodenbewuchses oberirdische Abflüsse vermieden werden. Auch
eine extensive Flächenbewirtschaftung mit dem Ziel, durch den Verzicht auf die Anwen-
dung von Pflanzenbehandlungs- und Düngemitteln Schadstoffeinträge in das Wasser zu
vermeiden, kann mit geeigneten Naturschutzmaßnahmen verbunden werden. Die Ver-
wendung des Gebührenaufkommens im Rahmen der in der Frage bezeichneten Nartur-
schurzprogramme entspricht somit in vollem Umfang der durch das Niedersächsische
Wassergesetz vorgesehenen Zweckbindung.

Zu UL1.:
a) Ausgleichszahlungen in Wasserschutzgebieten
1992 1993 1994 1995

_ 2,225 681 2,321 023 rd. 3,0 Mio. DM

10
10

Zur nächsten Seite