Wie hat sich der Straßenbau in NRW entwickelt?

/ 7
PDF herunterladen
LANDTAG NORDRHEIN-WESTFALEN                                             Drucksache     18/585 18. Wahlperiode 22.08.2022 Antwort der Landesregierung auf die Kleine Anfrage 184 der Abgeordneten Henning Höne und Christof Rasche FDP Drucksache 18/271 Wie hat sich der Straßenbau in NRW entwickelt? Vorbemerkung der Kleinen Anfrage Mit Übernahme der Regierungsverantwortung durch CDU und FDP 2017 wurde die ideologische Blockadehaltung von SPD und Grünen bei der Infrastruktur beendet. So lagen die Erhaltungsmittel jahrelang deutlich unter dem Betrag, der notwendig gewesen wäre, um den weiteren Verfall der Landesstraßen aufzuhalten. Auch die Mittel für Neu- und Ausbaumaßnahmen befanden sich auf einem historischen Tiefstand. Vor diesem Hintergrund wurden der Erhalt, die Modernisierung und den bedarfsgerechten Ausbau der Verkehrsinfrastruktur ein Schwerpunkt der Landespolitik von CDU und FDP. Es wurde eine ideologiefreie Verkehrspolitik angestrebt, bei der die Menschen frei von staatlicher Bevormundung selber entscheiden können, welches Verkehrsmittel für sie das geeignete ist. Aufgabe der öffentlichen Hand sollte dabei sein, individuelle Mobilität für alle zu gewährleisten. Neben massiven Investitionen in den ÖPNV wurden die Investitionsmittel für Neu- und Ausbaumaßnahmen im Landesstraßennetz erhöht und auch Straßenbauvorhaben, die bisher nicht geplant wurden, in die Realisierung geben. Nachdem die Planung und Genehmigung von Infrastrukturvorhaben viele Jahre lang nur schleppend vorankamen, hatte die Landesregierung nach Amtsübernahme mit Nachdruck einen Planungs-, Genehmigungs- und Bauhochlauf in Gang gesetzt. In diesem Rahmen wurden unter anderem zahlreiche zusätzliche Planer, Techniker und Ingenieure eingestellt. So ist es gelungen, zwischen 2017 und 2020 zusätzliche Bundesmittel in Höhe von fast 600 Millionen Euro nach Nordrhein- Westfalen zu holen. Der Minister für Umwelt, Naturschutz und Verkehr hat die Kleine Anfrage 184 mit Schreiben vom 22. August 2022 namens der Landesregierung beantwortet. 1.    Welche Maßnahmen des Landesstraßenbedarfsplanes wurden von 2010 bis 2022 realisiert? (Bitte aufschlüsseln in Jahre, Projekte und Kilometer.) Die Maßnahmen des Landesstraßenbedarfsplans, die von 2010 bis 2022 realisiert wurden, sind mit der jeweiligen Angabe der Länge und des Jahres der Verkehrsfreigabe der Anlage 1 zu entnehmen. Datum des Originals: 22.08.2022/Ausgegeben: 26.08.2022
1

LANDTAG NORDRHEIN-WESTFALEN - 18. Wahlperiode                              Drucksache 18/585 2.    Für welche Projekte des Landesstraßenbedarfsplanes liegen aktuell Baurecht oder Baureife vor, mit welchem Fertigstellungsdatum befinden diese sich im Bau oder der Bauvorbereitung? Die Maßnahmen des Landesstraßenbedarfsplans, für die Baurecht oder Baureife vorliegt, sind mit der jeweiligen Angabe des prognostischen Jahres der Verkehrsfreigabe der Anlage 2 zu entnehmen. 3.    Welche Maßnahmen des Landesstraßenbedarfsplanes befinden sich mit welchem Stand in Planung? (Bitte den aktuellen Planungsstand darstellen.) Die Maßnahmen des Landesstraßenbedarfsplans, die sich in Planung befinden, sind der Anlage 3 zu entnehmen. 4.    Welche von den Kommunen gewünschten konkreten Ortsumgehungen sind nicht im Landesstraßenbedarfsplan enthalten? Der derzeit geltende Landesstraßenbedarfsplan aus dem Jahr 2006 wird unter Berücksichtigung der Kriterien verkehrlicher Bedarf, Finanzierung und Klimaschutz auf Basis des Anfang 2023 fertiggestellten Landesverkehrsmodells neu aufgestellt. Zu Beginn des Verfahrens wird den Kommunen die Möglichkeit eröffnet, neue Vorhaben zur Bewertung anzumelden. Erst in diesem Rahmen ist eine gesamthafte und aktuelle Übersicht über die seitens der Kommunen gewünschten Ortsumgehungen möglich. Bei bisherigen Maßnahmenmeldungen wurden die Kommunen bereits auf dieses Verfahren hingewiesen. 5.    Welche Zeitvorläufe von der Projektidee und deren Adressierung bzw. Beschlussfassung auf kommunaler Ebene bis zur anstehenden Realisierung bestehen bei den noch nicht realisierten Ortsumgehungsvorhaben im Land? (Bitte kategorisiert aufschlüsseln in Jahre.) Als grobe Einschätzung kann für Maßnahmen des Landesstraßenbedarfsplans abhängig von der Art des Vorhabens (Erhaltungs-, Ausbau-, Neubauprojekt oder Umgehung) und den sonstigen Rahmenbedingungen eine Zeitschiene von 4 - 15 Jahren von der Bedarfsplanaufnahme bis zum 1. Spatenstich genannt werden. 2
2

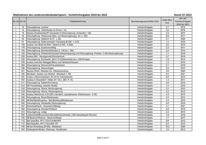
Maßnahmen des Landesstraßenbedarfsplans - Verkehrsfreigaben 2010 bis 2022                                                                               Stand: 07.2022 Jahr der Länge [Bau- Str.-Art Str.-Nr.                                                  Projektbezeichnung                          Bearbeitungsstand Mitte 2022              Verkehrsfreigabe km] 2010 bis 2022 L       12     Ortsumgehung Luchem                                                                               Verkehrsfreigabe            3,1            2015 L       14     Ortsumgehung Jülich/Koslar (A 44 bis L 14)                                                        Verkehrsfreigabe            4,0            2016 L       19     Neubau Ersatzstraße BT Garzweiler II (Ortsumgehung Immerath) 1. BA                                Verkehrsfreigabe            3,3            2017 L       33     Ortsumgehung Weilerswist (Süd- und Westumgehung L 33 / L 163)                                     Verkehrsfreigabe            6,0            2011 L       50     Ortsumgehung Setterich (K 27 - L 50)                                                              Verkehrsfreigabe            2,1            2020 L       81     Ortsumgehung Radevormwald / Honsberg (B 229 - L 412)                                              Verkehrsfreigabe            1,4            2010 L      150     Ausbau vom Brühl bis Köln / Godorf (A 553 - A 555)                                                Verkehrsfreigabe            3,5            2015 L      178     Ortsumgehung Euskirchen/Billig                                                                    Verkehrsfreigabe            2,3            2011 L      183     Ortsumgehung Bornheim/Roisdorf (L 118 bis L 183)                                                  Verkehrsfreigabe            2,2            2015 L      183     Ortsumgehung Pulheim/Sinnersdorf (Westumgehung) und Ortsumgehung Pulheim (1.BA Westumgehung)      Verkehrsfreigabe            1,1            2018 L      223     Ausbau Birk - Herzogenrath/Schulzentrum                                                           Verkehrsfreigabe            3,7            2019 L      238     Ortsumgehung Eschweiler, BA K 15 (Odilienstraße bis L 238 (Pumpe)                                 Verkehrsfreigabe            1,8            2014 L      249     Ausbau zwischen Nideggen/Blens und Heimbach/Hausen                                                Verkehrsfreigabe            1,3            2010 L      264     Ortsumgehung Nörvenich/Frauwüllesheim                                                             Verkehrsfreigabe            2,1            2018 L      306     Ortsumgehung Meinerzhagen                                                                         Verkehrsfreigabe            4,0            2012 L      321     Neubau Wiehl / Bielstein bis -/Oberbantenberg                                                     Verkehrsfreigabe            0,9            2020 L      336     Morsbach, Ausbau von Hülstert - Morsbach 1. BA                                                     Verkehrsfreigabe           0,3            2021 L      381     Ausbau in Mönchengladbach, BA OD bis Volksbadstraße                                               Verkehrsfreigabe            0,9            2012 L      404     Ausbau in Düsseldorf / Hilden (K 7 bis L 282 / K 14)                                              Verkehrsfreigabe            1,3            2011 L      511     Ortsumgehung Datteln/Horneburg                                                                    Verkehrsfreigabe            2,0            2010 L      512     OD Freudenberg, Asdorfer Straße                                                                   Verkehrsfreigabe            1,5            2010 L      518     Ortsumgehung Werne, Nordumgehung                                                                  Verkehrsfreigabe            3,1            2013 L      519     Ortsumgehung Werne, Westumgehung                                                                  Verkehrsfreigabe            3,2            2013 L      545     Ausbau Herford bis A 30 (OD´s Sundern, Lippinghausen, Eilsenhausen - A 30)                        Verkehrsfreigabe            4,3            2015 L      549     Ortsumgehung Büren/Steinhausen                                                                    Verkehrsfreigabe            4,5            2012 L      553     AB Bad Berleburg/Aue - Bad Berleburg/Berghausen                                                   Verkehrsfreigabe            4,3            2010 L      555     Ortsumgehung Nordwalde (Südumgehung)                                                              Verkehrsfreigabe            4,0            2016 L      561     Herscheid/Hardt - Herscheid (Silberg)                                                             Verkehrsfreigabe            3,1            2021 L      585     Ortsumgehung Münster/Wolbeck                                                                      Verkehrsfreigabe            5,8            2015 L      614     Ortsumgehung Lüdge                                                                                Verkehrsfreigabe            2,3            2010 L      694     Lüdenscheid/Brunscheid-Altena/Mühlenrahmede, 2.BA Gewerbepark Rosmart                             Verkehrsfreigabe            1,8            2010 L      705     AB Bochum/Weitmar - Bochum/Stiepel                                                                Verkehrsfreigabe            1,7            2017 L      712     Bad Salzuflen, KP L712n/2.AuffahrtK5                                                              Verkehrsfreigabe            0,8            2012 L      712     Bad Salzuflen, KP L712n/L805, KP                                                                  Verkehrsfreigabe            0,3            2013 L      740     AB bei Winterberg (B 480) - Medebach                                                              Verkehrsfreigabe           12,2            2020 L      764     Osttangente Minden, Wehrweg - Nordbrücke                                                          Verkehrsfreigabe            1,6            2013 Seite 1 von 2
3

Jahr der Länge [Bau- Str.-Art Str.-Nr.                                              Projektbezeichnung                        Bearbeitungsstand Mitte 2022             Verkehrsfreigabe km] 2010 bis 2022 L      766     AB Hille/Hartum, einschl. OD Minden/Hahlen und OD Frotheim, Anlage Rad- und Gehweg          Verkehrsfreigabe            5,5           2022 L      791     Ortsumgehung Verl (Ostumgehung)                                                             Verkehrsfreigabe            1,5           2013 L      876     AB Rödinghausen - Porta Westfalica/Barkhausen, 5.2 BA Wallücke - Rothenuffeln               Verkehrsfreigabe            1,8           2010 L      921     Halle - Werther/Theenhausen                                                                 Verkehrsfreigabe            1,3           2011 Seite 2 von 2
4

Projekte des Landesstraßenbedarfsplans mit Baurecht oder Baureife                                                                                Stand: 07.2022 Jahr der Str.-Art Str.-Nr.                                            Projektbezeichnung                                Bearbeitungsstand Mitte 2022 Verkehrsfreigabe L       70     Ortsumgehung Niedersprockhövel                                                                             Bau                        2023 L      117     Ortsumgehung Hückelhoven/Ratheim und -Millich                                                              Bau                        2024 L      269     Ortsumgehung Niederkassel/Ranzel (L82) bis -/Mondorf (L 332)Ortsumgehung Reidt und Mondorf                 Bau                        2025 L      332     Ortsumgehung Eschmar bis Troisdorf / Sieglar (A 59)                                                        Bau                        2025 L      361     Neubau in Frechen/Königsdorf (B 55 - A 4)                                                                  Bau                        2024 L      364     Ortsumgehung Hückelhoven, BA A 46 - L 117                                                                  Bau                        2026 Bau (Knotenpunkte) L      381     Ausbau in Korschenbroich, BA Volksbadstraße bis Korschenbroich                                                                        2023 ohne Planung (Strecke) L      409     Ausbau zw. Kürten/Laudenberg u. Wermelskirchen/Dhünn, BA Stauwurzel bis Halzenberg            Ausführungsplanung Anfang               2026 Planfeststellung Beschluss / L      486     Ortsumgehung Kevelaer (Südumgehung) (B9-A57)                                                                                          2025 Planfeststellung unanfechtbar / Bau L      677     Ortsumgehung Holzwickede                                                                      Ausführungsplanung Anfang               2027 L      712     Bad Salzuflen, KP L712n/KP L751                                                                            Bau                        2023 L      712     Bielefeld/Brake - Bielefeld/Altenhagen, 4. BA B 61 - L 778                                 Ausführungsplanung Anfang / Bau            2025 L      758     DT-Bl./Großenm., Ausb.Vahlhsn-Cappel                                                          Ausführungsplanung Anfang               2024 L      776     Ortsumgehung Schmallenberg/Bad Fredeburg                                                                   Bau                        2023 L      821     Ortsumgehung Bergkamen                                                                                     Bau                        2024 L      851     Drensteinfurt - Sendenhorst, Ausbau                                                                        Bau                        2022 Seite 1 von 1
5

Maßnahmen des Landesstraßenbedarfsplans in der Planung                                                                                     Stand: 07.2022 Str.-Art Str.-Nr.                                Projektbezeichnung                                                 Bearbeitungsstand L        4     Ortsumgehung Dinslaken (B 8 - A 3)                                                        Variantenuntersuchung begonnen L       70     Wuppertal Kiesbergtunnel - Ersatzneubau                                                         Bearbeitung Vorentwurf L       82     Köln-Wahn / Elsdorf B 8 - A 59                                                                       Vorplanung Ortsumgehung Pulheim/Stommeln - Bergheim/Büsdorf, BA K 20 bis L       93                                                                                                   Planfeststellung Deckblatt B 477 mit Ortsumgehung Bergheim/Büsdorf Planfeststellung (zwingende Folgemaßnahme im Kontext des L      115     Neubau Blankenheim / Lommersdorf, L115 - LGr.                             Lückenschlusses A 1 "Eifelautobahn"; zuständig ist die Autobahn GmbH des Bundes) L      183     Ausbau bei Frechen mit AS A4, B 264 bis B 55                                                  Planfeststellung beantragt L      221     Neubau Aachen-Eilendorf bis Geisberg (L 236), inkl. AS an A 44                                  Bearbeitung Vorentwurf L      238     Ortsumgehung Eschweiler, 3.BA L 238 (Pumpe) - L 238 (Steinfurt)                          Überprüfung linienbestimmte Trasse L      277     Lückenschluss Erkelenz - Kückhoven L 19 - L 354                                                      Vorplanung L      336     Morsbach, Ausbau von Hülstert - Morsbach 2. BA                                           Vorplanung / Bearbeitung Vorentwurf L      336     Morsbach, Ausbau von Hülstert - Morsbach 3. BA                                           Vorplanung / Bearbeitung Vorentwurf L      361     Bedburg - Kerpen (B55), BA B477alt - K22                                                        Bearbeitung Vorentwurf L      361     Ortsumgehung Grevenbroich/Kapellen                                                              Vorentwurf genehmigt L      364     Ortsumgehung Hückelhoven-Hilfahrt, BA Rheinstraße - L 364alt                              Variantenuntersuchung begonnen L      419     L 419 Wuppertal/Ronsdorf (mit Anbindung an die A1) 1.BA                                       Planfeststellung Erörterung L      419     L 419 Wuppertal/Ronsdorf (mit Anbindung an die A1) 2.BA                                         Bearbeitung Vorentwurf Umsetzung Machbarkeitsstudie (Bau Ihnetalbrücke ab IV 2022, L      512     Ausbau zwischen Olpe und Attendorn Planung Radweg- und Parkraumkonzept) L      528     Breckerfeld                                                                                          Vorplanung Ortsumgehung Warendorf/Freckenhorst, 1. BA Nordwestumgehung L      547                                                                                                     Vorentwurf genehmigt (B 64n - L 793) Ortsumgehung Warendorf/Freckenhorst, 2. BA Südwestumgehung L      547                                                                                                     Vorentwurf genehmigt (L 793 - L 547) L      558     Ortsumgehung Südlohn/Oeding                                                                   Planfeststellung Erörterung L      561     Herscheid/Hardt - Herscheid                                                                     Vorentwurf genehmigt L      586     Ortsumgehung Sendenhorst / Albersloh                                                                 Vorplanung L      655     Lüdenscheid/Brunscheid (L 691 - L 694)                                                          Bearbeitung Vorentwurf L      667     Ortsumgehung Hamm/Rhynern                                                                       Vorentwurf genehmigt L      712     Bad Salzuflen, KP L712n/L751, planfr. KP/L967                                                   Bearbeitung Vorentwurf L      758     DT-Bl./Großenm., Ortsumgehung DT/Vahlhsn.                                                       Bearbeitung Vorentwurf L      758     DT-Bl./Großenm.,Ortsumgehung Blombg/Cappel                                                      Vorentwurf genehmigt Seite 1 von 2
6

L 782 Ortsumgehung Rietberg/Neuenkirchen                        Bearbeitung Vorentwurf (1. BA) L 806 Herzebrock/Clarholz, Verlegung in Clarholz                          Vorplanung L 844 Ortsumgehung Senden/Ottmarsbocholt                       Variantenuntersuchung begonnen L 924 Witten/ Herbede - Witten/ Heven                               Bearbeitung Vorentwurf Seite 2 von 2
7