Entwicklung des Rechtsextremismus in Sachsen-Anhalt sowie Handlungsstrategien und Gegenmaßnahmen der Landesregierung

/ 643
PDF herunterladen
341 Magdeburg 05.01.2007 § 224 StGB 46 -  - - - - 24 - 35 -  - - 39 -  - - 4 0 3  0 Magdeburg 24.02.2007 § 223 StGB  - - 15 - 21 -  - - 1 0 1  0 Magdeburg 09.03.2007 § 223 StGB 41 -  - - - - 17 - - - 15 - 1 0 2  0 Magdeburg 13.03.2007 § 223 StGB 46 -  - - 28 -  - - - - 33 - 2 0 1  0 Magdeburg 18.03.2007 § 223 StGB 23 -  - - 19 -  - - 19 -  - - 18 -  - - 28 -  - - 19 -  - - 20 -  - - 7 0 0  0 Magdeburg 14.04.2007 § 113 StGB 42 -  - - 1 0 0  0 Magdeburg 20.04.2007 § 113 StGB 34 -  - - 1 0 0  0 Magdeburg 20.04.2007 § 223 StGB 22 -  - - 1 0 0  0 Magdeburg 21.04.2007 § 223 StGB 20 -  - - 1 0 0  0 Magdeburg 01.05.2007 § 224 StGB 21 -  - - - - 42 - 22 -  - - 24 -  - - 21 -  - - 22 -  - - 33 -  - - 6 0 1  0 Magdeburg 12.05.2007 § 223 StGB  - - 22 - 32 -  - - 1 0 1  0 6
341

342 Magdeburg 06.07.2007 § 224 StGB  -  - 14  - Magdeburg 06.07.2007 § 224 StGB  -  -  - 14 -  - 14  - 0 0  2  1 Magdeburg 14.07.2007 § 224 StGB  -  -  - 18 -  - 21  - -  - 18  - 34  -  -  - -  - 19  - -  - 23  - 1 0  4  1 Magdeburg 23.07.2007 § 223 StGB 19  -  -  - -  - 37  - 1 0  1  0 Magdeburg 25.08.2007 § 224 StGB  -  - 36  - 24  -  -  - 1 0  1  0 Magdeburg 08.09.2007 § 224 StGB  -  - 20  - 0 0  1  0 Magdeburg 16.09.2007 § 224 StGB 20  -  -  - 40  -  -  - 41  -  -  - -  - 41  - 3 0  1  0 Magdeburg 27.10.2007 § 224 StGB 19  -  -  - 18  -  -  - 2 0  0  0 Magdeburg 02.11.2007 § 224 StGB 16  -  -  - 18  -  -  - 21  -  -  - 3 0  0  0 Magdeburg 24.11.2007 § 223 StGB  -  -  - 18 - 36  -  - 30  -  -  - -  - 20  - 1 1  1  1 Magdeburg 24.11.2007 § 223 StGB  -  - 17  - 0 0  1  0 Magdeburg 25.11.2007 § 223 StGB  -  -  -  - 0 0  0  0 Magdeburg 02.12.2007 § 224 StGB  -  - 27  - -  - 38  - -  -  - 23 7
342

343 - - 25  - 0 0  3  1 Merseburg        25.01.2007 § 113 StGB 27 -  -  - 1 0  0  0 Merseburg        10.05.2007 § 223 StGB 42 -  -  - - - 32  - 1 0  1  0 Merseburg        23.09.2007 § 224 StGB 19 -  -  - 17 -  -  - - - 13  - - - 13  - 2 0  2  0 Merseburg        12.10.2007 § 224 StGB 27 -  -  - 23 -  -  - 28 -  -  - - - 19  - 18 -  -  - - - 16  - 4 0  2  0 Mücheln          07.06.2007 § 223 StGB 14 -  -  - 1 0  0  0 Naumburg         04.11.2007 § 224 StGB  - -  -  - 0 0  0  0 Niederndodeleben 02.08.2007 § 224 StGB  - - 17  - 22 -  -  - 1 0  1  0 Osterburg        02.06.2007 § 113 StGB  - - 38  - - - 56  - 0 0  2  0 Osterburg        30.10.2007 § 223 StGB 22 -  -  - - - 31  - 1 0  1  0 Quedlinburg      30.01.2007 § 224 StGB  - -  - 18 36 -  -  - 1 0  0  1 Quedlinburg      23.06.2007 § 224 StGB  - -  - 19 30 -  -  - 1 0  0  1 Quedlinburg      28.06.2007 § 113 StGB 17 -  -  - 1 0  0  0 Quedlinburg      25.08.2007 § 223 StGB 24 -  -  - - -  - 17 1 0  0  1 8
343

344 Quedlinburg  15.09.2007 § 125a StGB  -  - 38 - 0 0  1  0 Roitzsch     23.09.2007  § 223 StGB  -  - 17 - Roitzsch     23.09.2007  § 223 StGB  -  - 17 - -  - 18 - 0 0  3  0 Rosian       03.03.2007  § 224 StGB 17  -  - - 24  -  - - -  - 19 - 17  -  - - -  - 16 - 3 0  2  0 Roßlau       17.05.2007  § 224 StGB  -  - 14 - 24  -  - - 1 0  1  0 Salzwedel    06.01.2007 § 223 StGB   -  - 26 - 19  -  - - -  - 21 - 1 0  2  0 Sangerhausen 06.01.2007  § 211 StGB 24  -  - - 25  -  - - - 20  - - -  - 23 - 26  -  - - 3 1  1  0 Stendal      21.05.2007  § 223 StGB 51  -  - - -  - 23 - -  - 21 - 1 0  2  0 Stendal      17.07.2007  § 224 StGB 18  -  - - 17  -  - - -  - 19 - 20  -  - - 3 0  1  0 Stendal      09.10.2007  § 224 StGB  -  - 19 - 0 0  1  0 Weißenfels   14.04.2007  § 224 StGB  -  - 18 - 0 0  1  0 Wernigerode  08.04.2007  § 224 StGB 20  -  - - 23  -  - - 19  -  - - 21  -  - - -  - 38 - 9
344

345 18 -   -  - 5 0  1   0 Wittenberg 30.06.2007       § 223 StGB   - -  18  - 0 0  1   0 Wolfen     06.06.2007       § 306 StGB   - -   - 40 24 -   -  - 1 0  0   1 Zeitz      01.05.2007       § 113 StGB  20 -   -  - 32 -   -  - - - 32   - 2 0  1   0 Zerbst     07.01.2007       § 224 StGB   - -  20  - 0 0  1   0 Zerbst     21.11.2007       § 224 StGB  16 -   -  - - - 16   - 1 0  1   0 Summe             99 Straftaten        174 7 103 18 10
345

346 AnlageXIX.4 Straftaten der Politisch motivierten Kriminalität -rechts-2007 [Alter zur Tatzeit] Abtsdorf                 22.09.2007      § 86a StGB        -   -  -      - 0   0  0      0 Aken                     16.05.2007      § 86a StGB       17   -  -      - 20   -  -      - 18   -  -      - 3   0  0      0 Aken                     08.06.2007      § 86a StGB       21   -  -      - 1   0  0      0 Aken                     01.07.2007      § 86a StGB       19   -  -      - 1   0  0      0 Aken                     18.08.2007      § 86a StGB       29   -  -      - 1   0  0      0 Aken                     25.08.2007      § 241 StGB        -   - 16      - 0   0  1      0 § 26 Aken                     25.08.2007 VersammlG         -   -  -      - 0   0  0      0 Aken                     25.08.2007      § 86a StGB        -   -  -      - 0   0  0      0 Alleringersleben         26.02.2007      § 86a StGB       18   -  -      - 1   0  0      0 Allstedt                 10.02.2007      § 86a StGB        -   -  -      - 0   0  0      0 Allstedt                 19.05.2007      § 86a StGB       25   -  -      - 1   0  0      0 Altenbrak                10.08.2007      § 86a StGB       37   -  -      - 1   0  0      0 Am Großen Bruch          14.04.2007       § 86a StGB      18   -  -      - 1   0  0      0 Annaburg                 24.01.2007      § 86a StGB       18   -  -      - 1   0  0      0 Annaburg                 27.02.2007      § 86a StGB       15   -  -      - 1   0  0      0 Annaburg                 26.08.2007      § 86a StGB       28   -  -      - 1   0  0      0 Annaburg                 09.11.2007      § 86a StGB        -   -  -      - 0   0  0      0 Annaburg                 16.11.2007      § 86a StGB        -   -  -      - 0   0  0      0 Annaburg                 19.11.2007      § 86a StGB       18   -  -      - 1
346

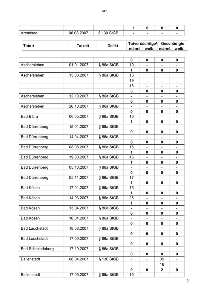
347 1 0  0 0 Arendsee         06.08.2007 § 130 StGB    - -  - - 0   0 0  0 Aschersleben     01.01.2007 § 86a StGB 19   -  - - 1   0 0  0 Aschersleben     15.08.2007 § 86a StGB 16   -  - - 19   -  - - 16   -  - - 3   0 0  0 Aschersleben     12.10.2007 § 86a StGB  -   -  - - 0   0 0  0 Aschersleben     26.10.2007 § 86a StGB  -   -  - - 0   0 0  0 Bad Bibra        06.05.2007 § 86a StGB 16   -  - - 1   0 0  0 Bad Dürrenberg   15.01.2007 § 86a StGB  -   -  - - 0   0 0  0 Bad Dürrenberg   14.04.2007 § 86a StGB  -   -  - - 0   0 0  0 Bad Dürrenberg   08.05.2007 § 86a StGB 15   -  - - 1   0 0  0 Bad Dürrenberg   19.08.2007 § 86a StGB 16   -  - - 1   0 0  0 Bad Dürrenberg   05.10.2007 § 86a StGB  -   -  - - 0   0 0  0 Bad Dürrenberg   05.11.2007 § 86a StGB 17   -  - - 1   0 0  0 Bad Kösen        17.01.2007 § 86a StGB 15   -  - - 1   0 0  0 Bad Kösen        14.03.2007 § 86a StGB 26   -  - - 1   0 0  0 Bad Kösen        13.04.2007 § 86a StGB  -   -  - - 0   0 0  0 Bad Kösen        18.04.2007 § 86a StGB  -   -  - - 0   0 0  0 Bad Lauchstädt   18.08.2007 § 86a StGB  -   -  - - 0   0 0  0 Bad Lauchstädt   17.09.2007 § 86a StGB  -   -  - - 0   0 0  0 Bad Schmiedeberg 17.10.2007 § 86a StGB  -   -  - - 0   0 0  0 Ballenstedt      08.04.2007 § 130 StGB  -   - 39 - -   - 16 - 0   0 2  0 Ballenstedt      17.05.2007 § 86a StGB 19   -  - - 2
347

348 1 0  0   0 Ballenstedt 17.05.2007 § 86a StGB 20 -   -   - 1 0  0   0 Ballenstedt 15.06.2007 § 86a StGB  - -   -   - 0 0  0   0 Ballenstedt 29.08.2007 § 130 StGB 47 -   -   - 1 0  0   0 Ballenstedt 13.11.2007 § 86a StGB  - -   -   - 0 0  0   0 Barby       07.01.2007 § 86a StGB  - -   -  51 0 0  0   1 Barby       03.07.2007 § 86a StGB  - -   -   - 0 0  0   0 Barleben    19.01.2007 § 86a StGB 15 -   -   - 1 0  0   0 Barleben    04.04.2007 § 86a StGB  - - unb.  - 0 0  1   0 Beendorf    07.03.2007 § 86a StGB  - -   -   - 0 0  0   0 Beesenstedt 17.02.2007 § 86a StGB 15 -   -   - 20 -   -   - - -  46   - 2 0  1   0 Beesenstedt 19.02.2007 § 86a StGB  - -   -   - 0 0  0   0 Beetzendorf 07.05.2007 § 86a StGB  - -   -   - 0 0  0   0 Beetzendorf 01.07.2007 § 130 StGB 29 -   -   - 1 0  0   0 Beetzendorf 17.08.2007 § 86a StGB  - -   -   - 0 0  0   0 Benndorf    17.01.2007 § 86a StGB 14 -   -   - 1 0  0   0 Benndorf    21.03.2007 § 86a StGB 18 -   -   - 1 0  0   0 Bennungen   01.07.2007 § 86a StGB  - -   -   - 0 0  0   0 Berga       08.02.2007 § 86a StGB  - -   -   - 0 0  0   0 Berga       28.09.2007 § 86a StGB 25 -   -   - 1 0  0   0 Berge       04.03.2007 § 86a StGB 17 -   -   - 1 0  0   0 Bernburg    11.01.2007 § 130 StGB 27 -   -   - 1 0  0   0 3
348

349 Bernburg  24.03.2007 § 86a StGB 17  - -  - 1 0  0 0 Bernburg  02.04.2007 § 86a StGB  -  - - 57 0 0  0 1 Bernburg  16.05.2007 § 86a StGB  -  - -  - 0 0  0 0 Bernburg  13.07.2007 § 86a StGB  -  - -  - 0 0  0 0 Bernburg  26.07.2007 § 86a StGB  -  - -  - 0 0  0 0 Bernburg  19.09.2007 § 86a StGB 32  - -  - 1 0  0 0 Bernburg  16.11.2007 § 86a StGB  -  - -  - 0 0  0 0 Bernburg  27.11.2007 § 86a StGB  -  - -  - 0 0  0 0 Bernburg  10.12.2007 § 130 StGB 44  - -  - 1 0  0 0 Bernburg  10.12.2007 § 86a StGB  -  - -  - 0 0  0 0 Bernburg  15.12.2007 § 130 StGB  - 18 -  - 15  - -  - 1 1  0 0 Bernburg  19.12.2007 § 130 StGB  - 18 -  - 17  - -  - 1 1  0 0 Biederitz 15.08.2007 § 130 StGB  -  - -  - 0 0  0 0 Biederitz 17.08.2007 § 130 StGB  -  - -  - 0 0  0 0 Biere     05.03.2007 § 86a StGB  -  - -  - 0 0  0 0 Biere     06.08.2007 § 86a StGB  -  - -  - 0 0  0 0 Biere     17.09.2007 § 86a StGB  -  - -  - 0 0  0 0 Bismark   15.02.2007 § 86a StGB  -  - -  - 0 0  0 0 Bismark   04.03.2007 § 86a StGB 20  - -  - 1 0  0 0 Bismark   06.04.2007 § 86a StGB  -  - -  - 0 0  0 0 Bismark   01.05.2007 § 86a StGB 29  - -  - 4
349

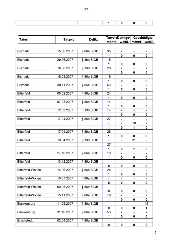
350 1 0 0  0 Bismark           15.06.2007 § 86a StGB 35 -  -  - 1 0 0  0 Bismark           29.06.2007 § 86a StGB 15 -  -  - 1 0 0  0 Bismark           16.08.2007 § 130 StGB 28 -  -  - 1 0 0  0 Bismark           18.08.2007 § 86a StGB 19 -  -  - 1 0 0  0 Bismark           30.11.2007 § 86a StGB 63 -  -  - 1 0 0  0 Bitterfeld        05.02.2007 § 86a StGB 24 -  -  - 1 0 0  0 Bitterfeld        07.03.2007 § 86a StGB 14 -  -  - 1 0 0  0 Bitterfeld        12.03.2007 § 130 StGB 14 -  -  - 1 0 0  0 Bitterfeld        17.04.2007 § 86a StGB 27 -  -  - - - 18  - 1 0 1  0 Bitterfeld        17.04.2007 § 86a StGB 28 -  -  - 1 0 0  0 Bitterfeld        18.04.2007 § 130 StGB  - - 31  - 27 -  -  - 1 0 1  0 Bitterfeld        27.10.2007 § 86a StGB 19 -  -  - 1 0 0  0 Bitterfeld        13.12.2007 § 86a StGB  - -  -  - 0 0 0  0 Bitterfeld-Wolfen 14.06.2007 § 86a StGB 28 -  -  - 1 0 0  0 Bitterfeld-Wolfen 10.07.2007 § 86a StGB  - -  -  - 0 0 0  0 Bitterfeld-Wolfen 09.08.2007 § 86a StGB  - -  -  - 0 0 0  0 Bitterfeld-Wolfen 15.11.2007 § 86a StGB 19 -  -  - 1 0 0  0 Blankenburg       11.05.2007 § 86a StGB  - -  - 45 0 0 0  1 Blankenburg       31.10.2007 § 86a StGB 53 -  -  - 1 0 0  0 Brachstedt        02.04.2007 § 86a StGB  - -  -  - 0 0 0  0 5
350

Zur nächsten Seite