Babyboom? - Prognosen und Realität der demografischen Entwicklung

/ 29
PDF herunterladen
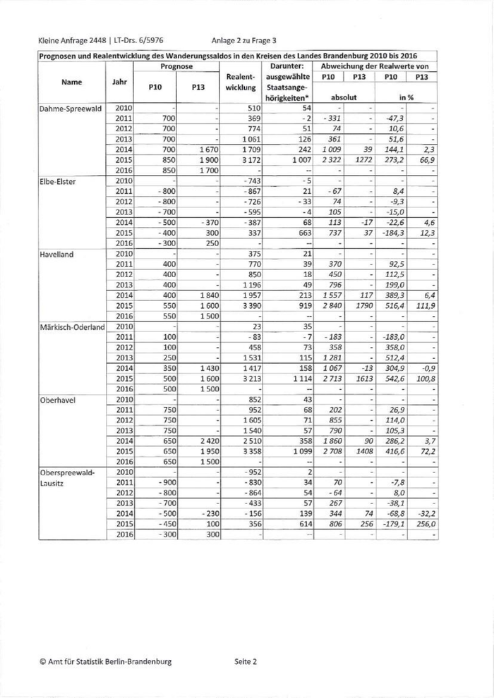
Kleine Anfrage 2448 1 LT-Drs. 6/5976              Anlage 2 zu Frage 3 Prognosen und Realentwicklung des Wanderungssaldos in den Kreisen des Landes Brandenburg 2010 bis 2016 Prognose                         Darunter:       Abweichung der Realwerte von Realent-      ausgewählte      P10       P13      P10        P13 Name           Jahr P10        P13       wicklung      Staatsange- hörigkeiten*         absolut              in % Dahme-Spreewald        2010            -           -          510               54                  -          -         - 2011          700           -          369               -2   - 331          -   -47,3            - 2012          700           -          774               51        74        -     10,6           - 2013          700           -       1 061              126       361         -     51,6           - 2014          700      1 670        1 709              242    1 009         39   144,1          2,3 2015          850      1 900        3 172            1 007    2 322      1272    273,2        66,9 2016          850      1 700              -                --       -        -          -          - Elbe-Elster            2010             -          -        - 743               -5         -        -          -          , 2011        - 800           -        - 867               21      - 67        -       8,4 2012        - 800           -        - 726             - 33        74        -      -9,3           - 2013        - 700           -        - 595               -4      105         -    -15,0            - 2014        - 500      - 370         - 387               68      113       -17    -22,6         4,6 2015        - 400         300          337             663       737        37 -184,3         12,3 2016        - 300         250              -               --                           -          - Havelland              2010                        -          375               21          -        -         -          - 2011          400           -          770               39      370          -    92,5            - 2012          400           -          850               18      450          -  112,5             - 2013          400            -      1 196                49      796          -  199,0             - 2014          400      1 840        1 957              213    1 557       117    389,3          6,4 2015          550      1 600        3 390              919    2 840      1790    516,4      111,9 2016          550      1 500               -               --        -        -         -          - Mä rkisch-Oderland     2010             -           -           23              35          -        -         -          - 2011          100            -         - 83              -7    - 183          - -183,0             - 2012          100            -         458               73      358          -  358,0             - 2013          250            -      1 531              115    1 281           -  512,4             - 2014          350      1 430        1 417              158    1 067        -13   304,9         -0,9 2015          500      1 600        3 213            1 114    2 713      1613    542,6      100,8 2016          500      1 500               -               --        -        -         -          - Oberhavel              2010             -                     852               43          -        -         -          - 2011          750            -         952                68     202          -    26,9            - 2012          750            -      1 605                71      855          -  114,0 2013          750            -      1 540                57       790         -  105,3             - 2014          650      2 420        2 510              358    1 860         90   286,2          3,7 2015          650      1 950        3 358            1 099    2 708      1408    416,6        72,2 2016          650      1 500               -               --        -        -         -          - Oberspreewald-         2010             -           -       - 952                  2                 -         -          - Lausitz                2011        -900             -       -830                 34       70         -     -7,8 2012        - 800            -       - 864                54     - 64         -      8,0           - 2013        - 700            -       - 433               57      267          -   -38,1            - 2014        - 500       - 230        -156               139      344        74    -68,8      -32,2 2015        -450          100          356             614       806      256 -179,1        256,0 2016        - 300         300                              --        -        -          -         - © Amt für Statistik Berlin-Brandenburg                  Seite 2
11

Kleine Anfrage 2448 1 LT-Drs. 6/5976                             Anlage 2 zu Frage 3 Prognosen und Realentwicklung des Wanderungssaldos in den Kreisen des Landes Brandenburg 2010 bis 2016 Prognose                                  Darunter:         Abweichung der Realwerte von Realent-       ausgewählte         P10       P13      P10       P13 Name              Jahr P10              P13          wicklung       Staatsange- hörigkeiten*            absolut             in % Oder-Spree                  2010                 -                          - 503                 215          -         -        -         - 2011           - 500                  -         - 341                  13       159          -  -31,8           - 2012           - 400                  -             19                193      419           - -104,8           - 2013            - 400                 -            724                460    1 124           - -281,0           - 2014           - 300            2 010           1 784              1 108     2 084       -226 -694,7      -11,2 2015            - 300           1 200           5 490              4 171     5 790      4290 -1930,0      357,5 2016            - 200             950                 -                 --         -                  _         - Ostprignitz-Ruppin          2010                 -                -         -362                   29          -         i        -         - 2011            - 400                 -         - 261                  11       139          -  -34,8           - 2012            - 400                 -         -155                     4      245          -  -61,3           - 2013            - 400                 -            381                 27       781          - -195,3           - 2014            - 300             510              494                198       794       -16 -264,7        -3,1 2015            - 300             450              795                500    1 095        345 -365,0        76,7 2016            -200              300                 -                            -         -        -         - Potsdam-                    2010                 -                -            962                 24          -         -        -         - Mittelmark                  2011              900                 -         1 139                  14       239          -    26,6          - 2012              900                 -         1 637                  66       737          -    81,9          - 2013              800                 -         1 753                 159       953          -  119,1           - 2014              800           2 590           2 575                 249    / 775        -15   221,9       -0,6 2015              800           1 900           3 971               1 206    3 171      2071    396,4     109,0 2016              800           1 950                 -                  ...       -         -        -         - Prignitz                    2010                  -               -         - 440                  20          -         -        -         - 2011            - 500                 -          - 493                 40          7              -1,4          - 2012            - 450                 -          - 245                 48       205          -   -45,6          - 2013            -450                  -          - 196                 78       254          -   -56,4          - 2014            - 450             220              174                 72       624        -46 -138,7      -20,9 2015            - 400             100              684                571    1 084        584 -271,0      584,0 2016            - 400             100                 -                  --        -         -        -         - Spree-Neiße                 2010                  -               -        -1 289                  16          -         -        -          - 2011          -1 150                  -          - 998                 18       152          -   -13,2           - 2012            - 950                 -          - 603                 66       347          -   -36,5           - 2013            - 850                 -          - 396                 43       454           -  -53,4           - 2014            - 850            -150            - 146                135       704          4   -82,8      -2, 7 2015            - 800               50             515                842    1315         465 -164,4      930,0 2016            - 750                 0               -                  --        -                   -         - Teltow-Fläming              2010                  -               -              6                 22          -         -         - 2011              350                 -            649                 63       299           -   85,4           - 2012              500                 -            654                 21       154           -   30,8           - 2013              500                 -         1 386                 144       886          -  177,2 2014              550           1 490           1 427                 165       877        -63  159,5       -4,2 2015              350           1 250           2 797                 991    2 447       1547   699,1     123,8 2016              350           2 000                 -                  -          -         -        -         - Uckermark                  2010                  -               -          - 623                 14           -         -        -         - 2011            - 650                 -          - 782                 41     - 132           -   20,3           - 2012            - 650                 -          - 484                 38       166              -25,5           - 2013            - 650                 -          - 356                 23       294           -  -45,2           - 2014            -650              180              150                184       800        -30 -123,1      -16,7 2015            - 650              100          1 015                 840    1 665        915 -256,2      915,0 2016            - 600              150                -                  --         -        -         -         - *Summe der vom Bundesamt für Migration und Flüchtlinge für 2015 ausgewiesenen zehn stärksten Herkunftsländer: afghanisch, eritreisch, irakisch, kosovarisch, mazedonisch, pakistanisch, serbisch, syrisch sowie ungeklärt; zusätzlich russisch © Amt für Statistik Berlin-Brandenburg                                  Seite 3
12

Kleine Anfrage 24481 LT-Drs. 6/5976               Anlage 3 zu Frage 3 Asylbewerber, Flüchtlinge, Personen, denen subsidiärer Schutz gewährt wird, Asylberechtigte und vollziehbar Ausreisepflichtige (darunter Geduldete) zum Stichtag 31.12. (Datengrundlage: Ausländerzentralregister des BAMF) Land Brandenburg insge-             Jahr                                                          Saldo samt                                2010       2011      2012      2013    2014  2015    2016     zwischen 2010 und 2016 Asylbewerber (Inhaber mit           1.548      1.630     1.798     3.205   5.568 12.434 13.338 +11.790 einer Aufenthaltsgestattung — in der Regel Asylsuchen- de mit laufendem Asylan- trag) Flüchtlinge (mit Anerken-           94         78        111       232     470   2.167   9.081    +8.987 nung nach Genfer Flücht- lingskonvention) Personen, denen subsidiä-           keine Angabe, da dieser        7       158   190     3.140    zwischen rer Schutz gewährt wird             Status erst seit dem                                           2013 und 01.12.2013 vergeben                                            2016: wird                                                           +3.133 vollziehbar Ausreisepflichti-       N/A        2.100 2.230         2.492   3.136 5.300   6.121     zwischen ge, darunter                                                                                       2011 und 2016: +4.021 -    Geduldete (Ausrei-        1.641      1.638     1.560      1.795  2.449 4.052   4.766     +3.125 sepflichtige, deren Abschiebung aus- gesetzt ist) Asylberechtigte                     103        83        93         84     93    363     233       +130 Barniet                                             Jahr                                       Saldo zwi- 2011     2012     2013  2014 2015  2016    schen 2011 und 2016 Asylbewerber (Inhaber mit einer Aufent-             40       66       199   298  840   767     +727 haltsgestattung — in der Regel Asylsu- chende mit laufendem Asylantrag) Flüchtlinge (mit Anerkennung nach Gen-             7        8        15    15   74    574     +567 fer Flüchtlingskonvention) Personen, denen subsidiärer Schutz ge-             keine An-         -     8     7    200     zwischen währt wird                                          gabe, da                                   2013 und dieser Sta-                                2016: tus erst seit                              +200 dem 01.12.2013 vergeben wird vollziehbar Ausreisepflichtige, darunter            162      167      188   277  495   526     +364 - Geduldete (Ausreisepflichtige, de-          148      144      171   255  435   453     +305 ren Abschiebung ausgesetzt ist) Asylberechtigte                                     6        4        4     4     18    17     +11 Seite 1 von 10
13

Kleine Anfrage 2448 1 LT-Drs. 6/5976      Anlage 3 zu Frage 3 Brandenburg an der Havel                    Jahr                                     Saldo zwi- 2011     2012     2013  2014  2015 2016  schen 2011 und 2016 Asylbewerber (Inhaber mit einer Aufent-     43       30       11    112   391  349   +306 haltsgestattung — in der Regel Asylsu- chende mit laufendem Asylantrag) Flüchtlinge (mit Anerkennung nach Gen-      -        3        13    15    44   355   +355 fer Flüchtlingskonvention) Personen, denen subsidiärer Schutz ge-      keine An-         -     1     6    98    zwischen währt wird                                  gabe, da                                 2013 und dieser Sta-                              2016: tus erst seit                            +98 dem 01.12.2013 vergeben wird vollziehbar Ausreisepflichtige, darunter    74       76       85    106   153  166   +92 - Geduldete (Ausreisepflichtige, de-   63       66       75    90    130  134   +71 ren Abschiebung ausgesetzt ist) Asylberechtigte                              1       2         1    1     5    2     +1 Cottbus und ab 2013 gemeinsam mit         Jahr                                        Saldo zwi- Spree-Neiße                                2011    2012     2013 1 2014  2015  2016   schen 2011 und 2016 Asylbewerber (Inhaber mit einer Aufent-    51      53       247    438   1.068 1.293  +1.242 haltsgestattung — in der Regel Asylsu- chende mit laufendem Asylantrag) Flüchtlinge (mit Anerkennung nach Gen-     6        3       23     34    205   1.165  +1.159 fer Flüchtlingskonvention) Personen, denen subsidiärer Schutz         keine An-        -      13    18    603    zwischen gewährt wird                               gabe, da                                   2013 und dieser Sta-                                2016: tus erst seit                              +603 dem 01.12.2013 vergeben wird vollziehbar Ausreisepflichtige, darunter   127      131     230    279   427   508    +381 - Geduldete (Ausreisepflichtige,      80       77       148   216   361   428    +348 deren Abschiebung ausgesetzt ist) Asylberechtigte                            7        9       6      8     41    27     +20 Seite 2 von 10
14

Kleine Anfrage 2448 1 LT-Drs. 615976      Anlage 3 zu Frage 3 iJahme-Spreewald                           Jahr                                       Saldo zwi- 2011     2012     2013    2014   2015 2016 schen 2011 und 2016 Asylbewerber (Inhaber mit einer Aufent-    80       106       197    396    764  683  +603 haltsgestattung — in der Regel Asylsu- chende mit laufendem Asylantrag) Flüchtlinge (mit Anerkennung nach Gen-     3        4        9       31     153  386  +383 fer Flüchtlingskonvention) Personen, denen subsidiärer Schutz ge-     keine An-         -       6      7    201  zwischen währt wird                                 gabe, da                                   2013 und dieser Sta-                                2016: tus erst seit                              +201 dem 01.12.2013 vergeben wird vollziehbar Ausreisepflichtige, darunter   159      162       150    173    296  306  +147 - Geduldete (Ausreisepflichtige, de-  111      113       92     126    202  220  +109 ren Abschiebung ausgesetzt ist) Asylberechtigte                            2        4         3      4      28   8    +6 Elbe-Elster                                Jahr                                       Saldo zwi- 2011     2012      2013 ' 2014 . 2015 2016 schen 2011 und 2016 Asylbewerber (Inhaber mit einer Aufent-    56       46        97     173    516  455  +399 haltsgestattung — in der Regel Asylsu- chende mit laufendem Asylantrag) Flüchtlinge (mit Anerkennung nach Gen-     5        5         5      22     57   277  +272 fer Flüchtlingskonvention) Personen, denen subsidiärer Schutz ge-     keine An-          6      5      6    254  zwischen währt wird                                 gabe, da                                   2013 und dieser Sta-                                2016: tus erst seit                              +248 dem 01.12.2013 vergeben wird vollziehbar Ausreisepflichtige, darunter   96        96       76     83      151 190  +94 - Geduldete (Ausreisepflichtige, de-  92        92       62     79      134 177  +85 ren Abschiebung ausgesetzt ist) Asylberechtigte                            -         1        -      -      8    4    +4 Seite 3 von 10
15

Kleine Anfrage 2448 1 LT-Drs. 615976      Anlage 3 zu Frage 3 Frankfurt (Oder)                           Jahr                                   Saldo zwi- 2011     2012     2013  2014 2015 2016 schen 2011 und 2016 Asylbewerber (Inhaber mit einer Aufent-    52       30       68    134  254  306  +254 haltsgestattung — in der Regel Asylsu- chende mit laufendem Asylantrag) Flüchtlinge (mit Anerkennung nach Gen-     2        7        19    10   51   336  +334 fer Flüchtlingskonvention) Personen, denen subsidiärer Schutz ge-     keine An-         -     -    13   130  zwischen währt wird                                 gabe, da                               2013 und dieser Sta-                            2016: tus erst seit                          +130 dem 01.12.2013 vergeben wird vollziehbar Ausreisepflichtige, darunter   75       65       57    66   115  92   +17 - Geduldete (Ausreisepflichtige, de-  65       56       47    55   94   76   +11 ren Abschiebung ausgesetzt ist) Asylberechtigte                            3        3         2    2    7    6    +3 Havelland                                  Jahr                                   Saldo zwi- 2011     2012      2013 2014 2015 2016 schen 2011 und 2016 Asylbewerber (Inhaber mit einer Aufent-    92       85        136  303  513  656  +564 haltsgestattung — in der Regel Asylsu- chende mit laufendem Asylantrag) Flüchtlinge (mit Anerkennung nach Gen-     6        7         6     10  138  545  +539 fer Flüchtlingskonvention) Personen, denen subsidiärer Schutz ge-     keine An-          -    7    10   146  zwischen währt wird                                 gabe, da                               2013 und dieser Sta-                            2016: tus erst seit                          +146 dem 01.12.2013 vergeben wird vollziehbar Ausreisepflichtige, darunter   53       76        99    152 229  296  +243 - Geduldete (Ausreisepflichtige, de-  44       38        73   81   110  171  +127 ren Abschiebung ausgesetzt ist) Asylberechtigte                            6        7         6    5    21   10   +4 Seite 4 von 10
16

Kleine Anfrage 2448 1 LT-Drs. 6/5976     Anlage 3 zu Frage 3 Märkisch-Oderland                         Jahr                                    Saldo zwi- 2011     2012    2013 2014  2015   2016 schen 2011 und 2016 Asylbewerber (Inhaber mit einer Aufent-   84       140     215   360  t012 707    +623 haltsgestattung — in der Regel Asylsu- chende mit laufendem Asylantrag) Flüchtlinge (mit Anerkennung nach Gen-    4        3        11   24   223    542  +538 fer Flüchtlingskonvention) Personen, denen subsidiärer Schutz ge-    keine An-        -     1    -      44   zwischen währt wird                                gabe, da                                2013 und dieser Sta-                             2016: tus erst seit                           +44 dem 01.12.2013 vergeben wird vollziehbar Ausreisepflichtige, darunter  122      114      158  234  374    342  +220 - Geduldete (Ausreisepflichtige,     102 44            98   163  276    215  +113 deren Abschiebung ausgesetzt ist) Asylberechtigte                           5        7        6    9    31     16   +11 Oberhavel                                 Jahr                                    Saldo zwi- 2011     2012     2013 2014 2015   2016 schen 2011 und 2016 Asylbewerber (Inhaber mit einer Aufent-   76       120      197  532   1.004 992  +916 haltsgestattung — in der Regel Asylsu- chende mit laufendem Asylantrag) Flüchtlinge (mit Anerkennung nach Gen-    17      11       25   44   245    713  +696 fer Flüchtlingskonvention) Personen, denen subsidiärer Schutz ge-    keine An-        -    25    26    171  zwischen währt wird                                gabe, da                                2013 und dieser Sta-                             2016: tus erst seit                           +171 dem 01.12.2013 vergeben wird vollziehbar Ausreisepflichtige, darunter   126     109      127  176   282   323  +197 - Geduldete (Ausreisepflichtige,      113 97           107  161   251   291  +178 deren Abschiebung ausgesetzt ist) Asylberechtigte                            5       4        4     14   22    17   +12 Seite 5 von 10
17

Kleine Anfrage 24481 LT-Drs. 6/5976       Anlage 3 zu Frage 3 Oberspreewald-Lausitz                      Jahr                                  Saldo zwi- 2011     2012 2013     2014 2015 2016 schen 2011 und 2016 Asylbewerber (Inhaber mit einer Aufent-    42       59       110  266  400  493  +451 haltsgestattung — in der Regel Asylsu- chende mit laufendem Asylantrag) Flüchtlinge (mit Anerkennung nach Gen-     1        3        -    15   84   367  +366 fer Flüchtlingskonvention) Personen, denen subsidiärer Schutz ge-     keine An-         -    10   12   206  zwischen währt wird                                 gabe, da                              2013 und dieser Sta-                           2016: tus erst seit                         +206 dem 01.12.2013 vergeben wird vollziehbar Ausreisepflichtige, darunter   100      100      111  105  181  214  +114 - Geduldete (Ausreisepflichtige, de-  91       95       97   96   154  153  +62 ren Abschiebung ausgesetzt ist) Asylberechtigte                            -        -        3    1    30   12   +12 Oder-Spree                                 Jahr                                  Saldo zwi- 2011     2012     2013 2014 2015 2016 schen 2011 und 2016 Asylbewerber (Inhaber mit einer Aufent-    92       105      255  488  803  881  +789 haltsgestattung — in der Regel Asylsu- chende mit laufendem Asylantrag) Flüchtlinge (mit Anerkennung nach Gen-     2        10       8    16   142  575  +573 fer Flüchtlingskonvention) Personen, denen subsidiärer Schutz ge-    keine An-         -    17   17   202  zwischen währt wird                                 gabe, da                              2013 und dieser Sta-                           2016: tus erst seit                         +202 dem 01.12.2013 vergeben wird vollziehbar Ausreisepflichtige, darunter    174     195       190 235  411  461  +287 - Geduldete (Ausreisepflichtige, de-   114     128       123 154  232  331  +217 ren Abschiebung ausgesetzt ist) Asylberechtigte                            4        2        5    2    9    7    +3 Seite 6 von 10
18

Kleine Anfrage 2448 1 LT-Drs. 6/5976      Anlage 3 zu Frage 3 Ostprignitz-Ruppin                         Jahr                                   Saldo zwi- 2011     2012     2013  2014 2015 2016 schen 2011 und 2016 Asylbewerber (Inhaber mit einer Aufent-    74       74       121   206  441  636  +562 haltsgestattung — in der Regel Asylsu- chende mit laufendem Asylantrag) Flüchtlinge (mit Anerkennung nach Gen-     3        5        16    23   91   327  +324 fer Flüchtlingskonvention) Personen, denen subsidiärer Schutz ge-     keine An-         -     8    13   165  zwischen währt wird                                 gabe, da                               2013 und dieser Sta-                            2016: tus erst seit                          +165 dem 01.12.2013 vergeben wird vollziehbar Ausreisepflichtige, darunter   142      148       172  252  344  296  +154 - Geduldete (Ausreisepflichtige, de-  82       83        109  189  269  270  +188 ren Abschiebung ausgesetzt ist) Asylberechtigte                            2        3         5    4    19   13   +11 Potsdam                                    Jahr                                   Saldo zwi- 2011     2012      2013 2014 2015 2016 schen 2011 und 2016 Asylbewerber (Inhaber mit einer Aufent-    60       67        144  285  515  818  +758 haltsgestattung — in der Regel Asylsu- chende mit laufendem Asylantrag) Flüchtlinge (mit Anerkennung nach Gen-     13      21        40   51    194 977  +964 fer Flüchtlingskonvention) Personen, denen subsidiärer Schutz ge-     keine An-              34   28   276  zwischen währt wird                                 gabe, da                                2013 und dieser Sta-                             2016: tus erst seit                           +276 dem 01.12.2013 vergeben wird vollziehbar Ausreisepflichtige, darunter   143      158      168   188 329  448   +305 - Geduldete (Ausreisepflichtige, de-   112      120      119   134 270  380   +268 ren Abschiebung ausgesetzt ist) Asylberechtigte                             27       29       24   25   43   42    +15 Seite 7 von 10
19

Kleine Anfrage 24481 LT-Drs. 6/5976       Anlage 3 zu Frage 3 Potsdam-Mittelmark                         Jahr                                   Saldo zwi- 2011     2012     2013  2014 2015 2016 schen 2011 und 2016 Asylbewerber (lnhaber mit einer Aufent-    86       102      252   458  512  525  +439 haltsgestattung — in der Regel Asylsu- chende mit laufendem Asylantrag) Flüchtlinge (mit Anerkennung nach Gen-     -        3         16   31   163  478  +478 fer Flüchtlingskonvention) Personen, denen subsidiärer Schutz ge-     keine An-         -     13   9    121  zwischen währt wird                                 gabe, da                               2013 und dieser Sta-                            2016: tus erst seit                          +121 dem 01.12.2013 vergeben wird vollziehbar Ausreisepflichtige, darunter   108      108       173  239  571  533  +425 - Geduldete (Ausreisepflichtige, de-  83       84        148  218  515  496  +413 ren Abschiebung ausgesetzt ist) Asylberechtigte                            9        10        9    8    21   12   +3 Prignitz                                   Jahr                                   Saldo zwi- 2011     2012      2013 2014 2015 2016 schen 2011 und 2016 Asylbewerber (Inhaber mit einer Aufent-    77       80        139  231  610  816  +739 haltsgestattung — in der Regel Asylsu- chende mit laufendem Asylantrag) Flüchtlinge (mit Anerkennung nach Gen-      1       3         8    27   92   474  473 fer Flüchtlingskonvention) Personen, denen subsidiärer Schutz ge-      keine An-         1    -    -    20   zwischen währt wird                                  gabe, da                               2013 und dieser Sta-                           2016: tus erst seit                           +19 dem 01.12.2013 vergeben wird vollziehbar Ausreisepflichtige, darunter    40      69        53   50    118 85    +45 - Geduldete (Ausreisepflichtige, de-   35      46        42   39   88   53    +18 ren Abschiebung ausgesetzt ist) Asylberechtigte                             -       -              -     17  6     +6 Seite 8 von 1D
20

Zur nächsten Seite