Babyboom? - Prognosen und Realität der demografischen Entwicklung

/ 29
PDF herunterladen
Kleine Anfrage 2448 1 LT-Drs. 6/5976         Anlage 3 zu Frage 3 Schwedt/Oder                                   Jahr                                         Saldo zwi- 2011     2012    2013    2014   2015    2016 schen 2011 und 2016 Asylbewerber (Inhaber mit einer Aufent-        -        -       1        25    210     188  +188 haltsgestattung — in der Regel Asylsu- chende mit laufendem Asylantrag) Flüchtlinge (mit Anerkennung nach Gen-         -        -       -        2     3       137  +137 fer Flüchtlingskonvention) Personen, denen subsidiärer Schutz ge-         keine An-        -        -     -       48   zwischen währt wird                                     gabe, da                                     2013 und dieser Sta-                                  2016: tus erst seit                                +48 dem 01.12.2013 vergeben wird vollziehbar Ausreisepflichtige, darunter       4        8       9        16     37     68   +64 - Geduldete (Ausreisepflichtige, de-      -         1      2        12     33     63   +63 ren Abschiebung ausgesetzt ist) Asylberechtigte                                -        -       -         1     1      2    +2 Spree-Neiße                               Jahr                                               Saldo zwi- 2011     2012    2013       2014    2015     2016  schen 2011 und 2012 Asylbewerber (Inhaber mit einer Auf-      67       106     entfällt, da ab 2013 die Auslän-   +39 enthaltsgestattung — in der Regel                          derbehörde Cottbus zuständig Asylsuchende mit laufendem Asylan- trag) Flüchtlinge (mit Anerkennung nach         1        1                                          0 Genfer Flüchtlingskonvention) Personen, denen subsidiärer Schutz       keine An- gewährt wird                              gabe, da dieser Sta- tus erst seit dem 01.12.2013 vergeben wird vollziehbar Ausreisepflichtige, darun-    80       74                                         -6 ter - Geduldete (Ausreisepflichti-       79       71                                         -8 ge, deren Abschiebung aus- gesetzt ist) Asylberechtigte                           1        3                                          +2 Seite 9 von 10
21

Kleine Anfrage 24481 LT-Drs, 615976        Anlage 3 zu Frage 3 Teltow-Fläming                              Jahr                                  Saldo zwi- 2011     2012     2013 2014 2015 2016 schen 2011 und 2016 Asylbewerber (Inhaber mit einer Aufent-     79       80       164  227  882  691  +612 haltsgestattung — in der Regel Asylsu- chende mit laufendem Asylantrag) Flüchtlinge (mit Anerkennung nach Gen-      3        3        10   47   124  636  +633 fer Flüchtlingskonvention) Personen, denen subsidiärer Schutz ge-      keine An-         -    10   18   173  zwischen währt wird                                  gabe, da                              2013 und dieser Sta-                           2016: tus erst seit                         +173 dem 01,12.2013 vergeben wird vollziehbar Ausreisepflichtige, darunter    126      126       146 220  373  377  +251 - Geduldete (Ausreisepflichtige, de-  104      108       110 194  257  342  +238 ren Abschiebung ausgesetzt ist) Asylberechtigte                             5        5        5    4    28   21   +16 Uckermark                                   Jahr                                  Saldo zwi- 2011     2012 2013     2014 2015 2016 schen 2011 und 2016 Asylbewerber (Inhaber mit einer Aufent-     80       89        117 193  459 497 +417 haltsgestattung — in der Regel Asylsu- chende mit laufendem Asylantrag) Flüchtlinge (mit Anerkennung nach Gen-     4        11        8   53   84   216  +212 fer Flüchtlingskonvention) Personen, denen subsidiärer Schutz ge-      keine An-         -   -    -    82   zwischen währt wird                                  gabe, da                              2013 und dieser Sta-                           2016: tus erst seit                         +82 dem 01.12.2013 vergeben wird vollziehbar Ausreisepflichtige, darunter     101      111      146 162  249  270  +169 - Geduldete (Ausreisepflichtige, de-   86      51        117 154  219  242  +156 ren Abschiebung ausgesetzt ist) Asylberechtigte                             -        -         1   1    11   10   +10 Seite 10 von 10
22

Kleine Anfrage 2448 I LT-Drs. 6/5976         Anlage 4 zu Frage 4 Prognosen und Realentwicklung der Sterbefälle in den Kreisen des Landes Brandenburg 2010 bis 2016 Prognose                         Abweichung der Realwerte von Realent- Name              Jahr                                          P10         P13     P10      P13 P10          P13       wicklung absolut            in % Land Brandenburg            2010            -            -      27 894          -         ..      -        - 2011      27 905             -      27 851      - 54          -   -0,2         - 2012      28 316             -      28 403        87          -    0,3         - 2013      28 653             -       29 678  / 025            -    3,6 2014      28 889       29 661        28 990     101    -670,9      0,3     -2,3 2015      29 201       30 578        30 750  / 549       171,8     5,3       0,6 2016      29 521       31 197              -        -         -       -        - Brandenburg an der          2010            -             -         928         -         -       -         - Havel                       2011         825              -         887       62          -    7,6          - 2012         839              -         901       62          -    7,3          - 2013         852              -         904       52          -    6,0          - 2014         864           993          947       83     -46,3     9,6     -4,7 2015         874        1 019           984     110      -34,7    12,6     -3,4 2016         884        1 031              -        -         -       -         - Cottbus                     2010            -             -       1 139         -                 -         - 2011       1 170              -       1 065   - 105            -  -9,0          - 2012       1 191              -       1 254       63           -   5,3          - 2013       1 210                      1 209       -1           -  -0,1          - 2014       1 223        1 242         1 162     - 61      -79,7   -5,0     -6,4 2015       1 235        1 278         1 301       66       22,8    5,3       1,8 2016       1 245        1 302              -        -          -      -         - Frankfurt (Oder)            2010            -             -         678          -         -      -         - 2011         661              -         710       49           -   7,4          - 2012         678              -         731       53           -   7,8          - 2013         693              -         761       68           -   9,9          - 2014         704           710          693     - 11      -17,2   -1,5     -2,4 2015         716           733          750       34       16,7    4,7       2,3 2016         727           750             -         -         -      -         - Potsdam                     2010            -             -       1 353          -         -      -         - 2011       1 381              -       1 356     - 25           -  -1,8          - 2012       1 414              -       1 431       17           -   1,2          - 2013       1 441              -       1 475       34           -   2,3          - 2014       1 462         1 655        1 542       80    -113,4     5,4      -6,9 2015       1 486         1 700        1 618      132      -82,1    8,9      -4,8 2016       1 507         1 733             -         -         -       -        - Barnim                      2010            -             -       1 854          -         -       -        . 2011       1 776              -       1 837        61          -   3,5          - 2012       1 819              -       1 950      131           -   7,2          - 2013       1 854              -       1 991      137           -   7,4          - 2014       1 884         1 978        2 021      137       42,6    7,3       2,2 2015       1 918        2 049         2 110      192       61,0   10,0       3,0 2016       1 952        2 096              -         -         -       -        - © Amt für Statistik Berlin-Brandenburg             Seite 1
23

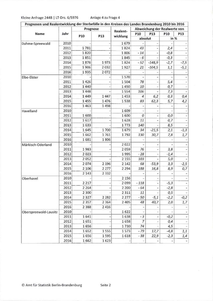
Kleine Anfrage 2448 1 LT-Drs. 6/5976         Anlage 4 zu Frage 4 Prognosen und Realentwicklung der Sterbefälle in den Kreisen des Landes Brandenburg 2010 bis 2016 Prognose                       Abweichung der Realwerte von Realent Name              Jahr                                         P10        P13      P10       P13 P10          P13       wicklung absolut             in % Dahme-Spreewald             2010            -            -       1 679         -         -        -        - 2011       1 781             -       1 824       43          -     2,4         - 2012       1 820             -       1 806     - 14          -   -0,8          - 2013       1 851             -       1 845       -6          -   -0,3          - 2014       1 876        1 973        1 824     - 52   -148,9     -2,7      -7,5 2015       1 906        2 032        1 927       21   -104,5       1,1     -5,1 2016       1 935        2 072             -        -         -        -        - Elbe-Elster                 2010            -            -       1 570         -         -        -        - 2011       1 426             -       1 504       78          -     5,4         - 2012       1 440             -       1 450       10          -     0,7          - 2013       1 448             -       1 554     106           -     7,3          - 2014       1 449        1 447        1 453         4       6,2     0,3       0,4 2015       1 455        1 476        1 538       83      62,3      5,7       4,2 2016       1 463        1 498             -         -        -        -         - Havelland                   2010            -            -       1 609          -         -       -         - 2011       1 600                     1 600         0          -    0,0 2012       1 617             -       1 628       11           -    0,7          - 2013       1 633              -      1 773     140            -    8,5          - 2014       1 645        1 700        1 679       34     -21,5      2,1     -1,3 2015       1 662         1 761       1 792     130       30,7      7,8       1,7 2016       1 681         1 806            -         -         -       -         - Märkisch-Oderla nd          2010            -             -      2 022          -         -       -         - 2011       1 983              -      2 059        76          -    3,8          - 2012       2 023              -      1 995     - 28           -  -1,4           - 2013       2 052              -      2 155     103            -    5,0          - 2014       2 074        2 196        2 142        68    -53,9      3,3      -2,5 2015       2 106         2 277       2 294     188       16,8      8,9       0,7 2016       2 143         2 332            -         -         -       -         - Oberhavel                   2010             -            -      2 156          -         -       -         - 2011       2 217              -      2 099   - 118            -   -5,3          - 2012       2 264              -      2 200     - 64           -   -2,8          - 2013       2 300              -      2 311       11           -    0,5          - 2014       2 327         2 282       2 277     - 50       -5,1    -2,2      -0,2 2015      2 357         2 364       2 405       48      40,7      2,0       1,7 2016      2 388         2 416            -         -         -       -         - Oberspreewald-Lausitz        2010            -            -      1 622          -                  -        - 2011      1 641              -      1 638       -3           -   -0,2          - 2012      1 651              -      1 658         7          -    0,4          - 2013      1 656              -      1 730        74          -    4,5          - 2014      1 652         1 555       1 573     - 79      17,7     -4,8       1,1 2015      1 656         1 595       1 618     - 38      22,9     -2,3       1,4 2016      1 662         1 623            -         -         -        -        - ü Amt für Statistik Berlin-Brandenburg             Seite 2
24

Kleine Anfrage 2448 1 LT-Drs. 6/5976         Anlage 4 zu Frage 4 Prognosen und Realentwicklung der Sterbefälle in den Kreisen des Landes Brandenburg 2010 bis 2016 Prognose                        Abweichung der Realwerte von Realent- Name              Jahr                                          P10        P13      P10        P13 P10          P13       wicklung absolut               in % Oder-Spree                  2010            -            -       2 016         -          -         -        - 2011       1 976             -       2 038        62          -      3,1         - 2012       2 008                     2 081        73          -      3,6         - 2013       2 036             -       2 241      205           -    10,1          - 2014       2 056        2 237        2 177      121     -60,4        5,9     -2,7 2015       2 083        2 320        2 260      177     -59,6        8,5     -2,6 2016       2 108        2 375             -         -         -         -         - Ostprignitz-Ru ppin         2010            -            -       1 267          -         -         -         - 2011       1 200             -       1 200         0          -      0,0          - 2012       1 214             -       1 211        -3          -    -0,2           - 2013       1 223             -       1 310        87          -      7,1 2014       1 229        1 249        1 317        88      68,0       7,2       5,4 2015       1 238        1 293        1 326        88      33,4       7,1       2,6 2016       1 248        1 320             -         -         -         -         - Potsdam-M ittelmark         2010            -             -      2 004          -         -         -         - 2011       2 152              -      2 047    - 105           -     -4,9          - 2012       2 185              -      2 128      - 57          -     -2,6          - 2013       2 213              -      2 102    - 111           -     -5,0          - 2014       2 233        2 305        2 186      - 47   -119,0       -2,1     -5,2 2015       2 263        2 381        2 208      - 55   -173,3       -2,4     -7,3 2016       2 295        2 432                       -          -        - Prignitz                    2010            -             -       1 156         -          -        -         - 2011       1 069              -       1 172     103            -     9,7          - 2012       1 074              -       1 071       -3           -    - „3          - 2013       1 078              -       1 164       86           -     8,0          - 2014       1 079         1 122        1 122       43       -0,3      4,0       0,0 2015       1 082        1 149         1 210     128       61,3     11,8        5,3 2016       1 087         1 163             -                   -         -        - Spree-Neiße                 2010            -             -       1 535         -          -         -        - 2011       1 633              -       1 519   - 114            -    -7,0          - 2012       1 637              -       1 582     - 55           -    -3,4          - 2013       1 643              -       1 643        0           -     0,0          - 2014       1 646         1 593        1 553     -93      -40,2      -5,6      -2,5 2015       1 650         1 630        1 687       37      56,6       2,2       3,5 2016       1 655         1 655             -        -          -         -        - Teltow-Fläming              2010            -             -       1 717         -          -         -        - 2011       1 907              -       1 689   - 218            -  -11,4           - 2012       1 918              -       1 739   -179             -    -9,3          - 2013       1 929              -       1 867     - 62           -    -3,2          - 2014       1 935         1 830        1 757   - 178      -73,0      -9,2      -4,0 2015       1 947         1 888        2 025       78    136,6        4,0       7,2 2016       1 959         1 932             -         -         -         -        - Uckermark                   2010             -            -       1 589         -          -         -        - 2011       1 506              -       1 607     101            -     6,7          - 2012       1 524              -       1 587       63           -     4,1          - 2013       1 541              -       1 643     102            -     6,6          - 2014       1 552         1 591        1 565       13     -26,5       0,9      -1,7 2015       1 567         1 633        1 697     130       64,4       8,3       3,9 2016       1 584         1 661             -         -         -         -        - © Amt für Statistik Berlin-Brandenburg             Seite 3
25

Kleine Anfrage 2448 1 LT-Drs. 6/5976        Anlage 5 zu Frage 5 Prognosen und Realentwicklung der Bevölkerung in den Kreisen des Landes Brandenburg 2010 bis 2016 Prognose*                       Abweichung der Realwerte von Realent Name             Jahr                                           P10       P13     P10       P13 P10          P13      wlcklung** absolut             in % Land Brandenburg          2010                             2 503 273          -        -        -        - 2011   2 495 344                 2 453 180 - 42 164          -   -1,7          - 2012   2 487 154                 2 449 511 - 37 643          -   -1,5          - 2013   2 478 262                 2 449 193 - 29 069          -   -1,2          - 2014   2 469 242    2 455 822    2 457 872 -11 370      2 050    -0,5       0,1 2015   2 460 082    2 460 339    2 484 826   24 744    24 487      1,0      1,0 2016   2 450 685    2 463 652                       -        -        -        - Brandenburg an der         2010                               71 778          -        -        -        - Havel                      2011     71 473                    71 381      - 92         -   -0,1          - 2012     71 151                    71 149        - 2        -     0,0 2013     70 863                    71 032       169         -     0,2         - 2014     70 559       70 912       71 032       473       120     0,7      0,2 2015     70 241       70 787       71 574     1 333       787     1,9      1,1 2016     69 906       70 648                       -        -        -        - Cottbus                    2010                              102 091           -       -        -        - 2011    102 184                    99 974   - 2 210          -  -2,2          - 2012    102 209                    99 913   - 2 296          -  -2,2          - 2013    102 019                    99 595   - 2 424          -   -2,4         - 2014    101 814       99 386       99 491   - 2 323       105    -2,3      0,1 2015    101 594       99 218       99 687   - 1907        469    -1,9      0,5 2016    101 360       99 121                        -        -        -       - Frankfurt (Oder)           2010                               60 330           -        -        -       - 2011      60 084                   59 063   -1 021           -   -1,7          - 2012      59 867                   58 537   -1330            -   -2,2          - 2013      59 633                   58 018   -1 615           -   -2,7          - 2014      59 385      57 639       57 649   -1 736         10    -2,9      0,0 2015      59 122      57 309       58 092   -1 030        783    -1,7      1,4 2016      58 846      57 055                        -        -        -        - Potsdam                    2010                              156 906           -        -        -        - 2011    159  144                  157 603   - 1 541          -   -1, 0         - 2012    161  349                  159 456   - 1 893          -   -1,2          - 2013    163  373                  161 468   -1 905           -   -1,2          - 2014    165  265     163 887      164 042   -1 223        155    -0,7      0,1 2015    167 166      166 222      167 745       579     1 523     0,3      0,9 2016    169 022      168 558                        -        -        -        - Barnim                     2010                              176 848           -        -        -        - 2011    176 953                   172 572   - 4 381          -   -2,5          - 2012    176 938                   173 193   - 3 745          -   -2,1          - 2013    176 856                   173 754   - 3 102          -   -1,8          - 2014    176 712      174 878      174 981   - 1 731       103    -1,0      0,1 2015    176 503      175 833      177 411       908     1 578     0,5      0,9 2016    176 217      176 421                        -        -        -        - © Amt für Statistik Berlin-Brandenburg             Seite 1
26

Kleine Anfrage 2448 1 LT-Drs. 6/5976       Anlage 5 zu Frage 5 Prognosen und Realentwicklung der Bevölkerung in den Kreisen des Landes Brandenburg 2010 bis 2016 Prognose*                     Abweichung der Realwerte von Realent Name              Jahr                                       P10        P13      P10       P13 P10         P13      wicklung** absolut              in % Dahme-Spreewald            2010                             161 805        -          -        -       - 2011    161 974                  160 108 -1 866                -1,2          - 2012    162 083                  160 314 -1 769            -   -1,1          - 2013    162 137                  160 793 -/ 344            -   -0,8          - 2014    162 141    161 677       161 952   - 189        275    -0,1       0,2 2015    162 243    162 725       164 528   2 285      1 803      1,4      1,1 2016    162 285    163 530                      -          -        -        - Elbe-Elster                2010                             111 975        -          -        -        - 2011    110 472                  109 087 -1 385       -        -1,3          - 2012    108 925                  107 649 -1 276       -        -1,2          - 2013    107 440                  106 157 -1 283            -   -1,2          - 2014    106 125    104 989       104 997 -1 128           8    -1,1       0,0 2015    104 878     104 444      104 673   - 205        229    -0,2       0,2 2016    103 694     103 817                      -         -        -        - Havelland                  2010                             154 891         -         -        -        - 2011    154 866                  152 915 -1 951            -   -1,3 201.2   154 804                  153 294 -1 510            -   -1,0          - 2013    154 703                  153 874   - 829           -   -0,5          - 2014    154 569     155 149      155 408      839       259      0,5      0,2 2015    154 551     156 119      158 236   3 685      2 117      2,4      1,4 2016    154 491     156 934                      -         -         -       - Märkisch-Oderland          2010                             190 502         -         -        -        - 2011    190 034                  187 085 - 2 949           -   -1,6          - 2012    189 484                  186 925 - 2 559           -   -1,4          - 2013    189 013                  187 668 -1 345       -         -0,7         - 2014    188 581     188 235      188 422   - 159        187     -0,1      0,1 2015    188 244     188 871      190 714   2 470      1 843      1,3      1,0 2016    187 857     189 328                      -         -         -       - Oberhavel                  2010                             203 124         -         -         -       - 2011    203 241                  201 199 - 2 042           -    -1,0 2012    203 279                  202 162 -1 117             -   -0,5         - 2013    203 245                  203 012   - 233            -   -0,1         - 2014    203 044     204 690      204 898    1 854       208      0,9      0,1 2015    202 779     205 805      207 524   4 745      1 719      2,3      0,8 2016    202 432     206 399                      -          -        -        - Oberspreewaid-             2010                             121 679         -          -        -        - Lausitz                    2011    119 949                  116 898 - 3 051            -   -2,5          - 2012    118 282                  115 212 - 3070        -        -2,6          - 2013    116 684                  113 842 - 2 842            -   -2,4          - 2014    115 262     112 825      112 896 - 2 366         71     -2,1      0,1 2015    113 863     112 087      112 450 - 1 413        363     -1,2      0,3 2016    112 581     111 507                      -          -        -        - 0 Amt für Statistik Berlin-Brandenburg            Seite 2
27

Kleine Anfrage 2448 1 LT-Drs. 6/5976        Anlage 5 zu Frage 5 Prognosen und Realentwicklung der Bevölkerung in den Kreisen des Landes Brandenburg 2010 bis 2016 Prognose*                      Abweichung der Realwerte von Realent Name             Jahr                                        P10        P13      P10       P13 P10          P13      wickIung** absolut              in % Oder-Spree                 2010                              183 859         -         -                 - 2011    182 733                   177 764 - 4 969          -    -2,7          - 2012    181 636                   177 047 - 4 589           -   -2,5          - 2013    180 471                   176 850 - 3 621           -   -2,0           - 2014    179 341     177 901       177 823 -1 518 - 78           -0,8        0,0 2015    178 150     178 064       182 397    4 247    4 333       2,4       2,4 2016    176 992     177 907                       -         -        -         - Ostprignitz-Ruppin         2010                              102 868         -         -        -         - 2011    102 016                    99 753 - 2 263           -   -2,2           - 2012    101 127                    99 125 - 2 002           -   -2,0           - 2013    100 201                    98 944 -1 257       -        -1,3           - 2014      99 343      98 911       98 886    - 457      - 25    -0,5        0,0 2015      98 450      98 769       99 110      660       341      0,7       0,3 2016      97 620      98 439                      -         -        -         - Potsdam-Mittelmark         2010                              205 070         -         -        -         - 2011    205 320                   203 391 - 1 929           -   -0,9           - 2012    205 505                   204 388 -1 117            -    -0,5          - 2013    205 524                   205 520       - 4               0,0          - 2014    205 486      207 253      207 498    2 012       245      1,0       0,1 2015    205 390      208 210      210 910    5 520     2 700      2,7       1,3 2016    205 225      209 143                       -        -        - Prignitz                   2010                               82 023          -        -        -         - 2011      80 963                   79 574  -1 389      -         -1,7          - 2012      79 933                   78 799 -1 134            -    -1,4          - 2013      78 887                   77 993    - 894          -    -1,1          - 2014      77 824      77 600       77 550    - 274      - 50     -0,4      -0,1 2015      76 793      77 061       77 573      780       512      1,0       0,7 2016      75 749      76 501                       -        -        -         - Spree-Neiße                2010                              126 400          -         -       -         - 2011    124 400                   121 571  - 2 829           -   -2,3          - 2012    122 564                   120 178  - 2 386          -    -1,9           - 2013    120 792                   118 899  - 1 893           -   -1,6           - 2014    118 988      117 876      118 030    - 958       154     -0,8       0,1 2015    117 201      116 990      117 635      434       645      0,4       0,6 2016    115 429      116 005                       -         -       -          - Teltow-Fläming             2010                              161 386          -         -        -         - 2011    161 092                   159 511  -1 581            -   -1,0           - 2012    160 912                   159 686  -1 226            -   -0,8           - 2013    160 698                   160 448    - 250           -   -0,2           - 2014    160 504      161 317      161 488      984       171      0,6       0,1 2015    160 074      161 885      163 553    3 479     1 668      2,2       1,0 2016    159 596      163 146                       -         -        -         - 0 Amt für Statistik Berlin-Brandenburg             Seite 3
28

Kleine Anfrage 2448 1 LT-Drs. 6/5976                  Anlage 5 zu Frage 5 Prognosen und Realentwicktung der Bevölkerung in den Kreisen des Landes Brandenburg 2010 bis 2016 Prognose*                          Abweichung der Realwerte von Realent- Name                Jahr                                                P10     P13       P10      P13 P10              P13      wicklung** absolut            in % Uckermark                     2010                                      129 738        -                -       - 2011        128 445                       123 731 - 4714      -       -3,7        - 2012        127 106                       122 484 - 4 622         -   -3,6        - 2013        125 723                       121 326 - 4 397         -   -3,5         - 2014        124 299         120 696       120 829 - 3 470       133   -2,8      0,1 2015        122 840         119 940       121 014 -1 826      1 074   -1,5      0,9 2016        121 383         119 193                      -         -      -        - *Prognose P10 beruht auf Basis 1990, P13 beruht auf Basis Zensus 2011 **Ab 2011 Ergebnisse auf Basis des Zensus vom 9. Mai 2011 © Amt für Statistik Berlin-Brandenburg                        Seite 4
29