Stellenentwicklung im Leitungsbereich des Thüringer Ministeriums für Landwirtschaft, Forsten, Umwelt und Naturschutz

/ 2
PDF herunterladen
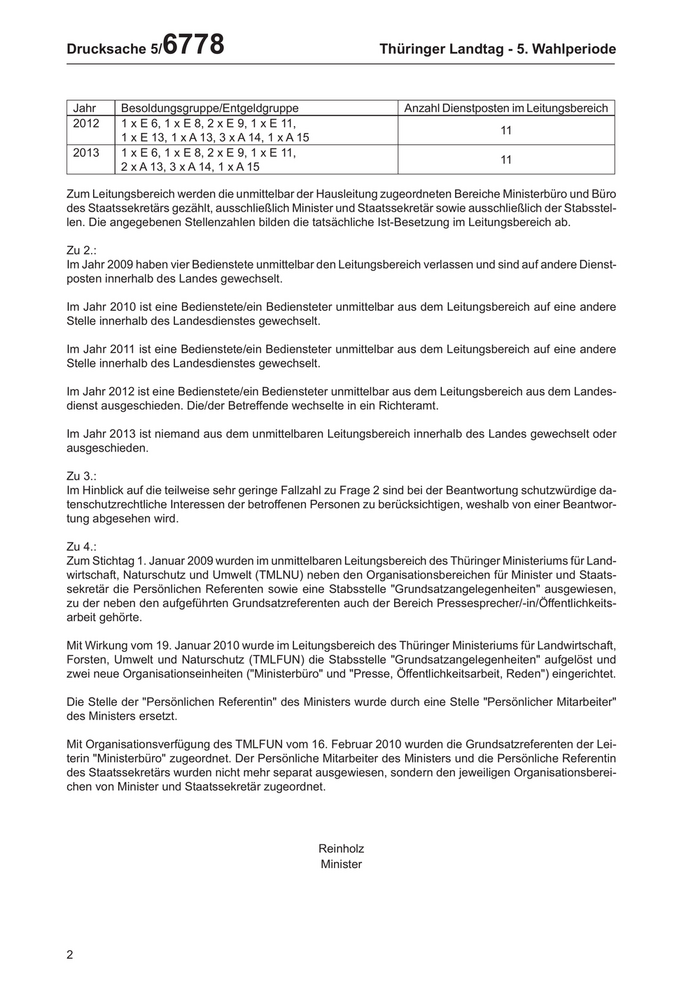
Thüringer Landtag 5. Wahlperiode Drucksache 5/     6778 16.10.2013 Kleine Anfrage der Abgeordneten Hitzing (FDP) und Antwort des Thüringer Ministeriums für Landwirtschaft, Forsten, Umwelt und Naturschutz Stellenentwicklung im Leitungsbereich des Thüringer Ministeriums für Landwirt- schaft, Forsten, Umwelt und Naturschutz Die Kleine Anfrage 3349 vom 23. August 2013 hat folgenden Wortlaut: Nach den Landtagswahlen 2009 wurde das Thüringer Ministerium für Landwirtschaft, Naturschutz und Um- welt, unter der Leitung von Minister Jürgen Reinholz, in Thüringer Ministerium für Landwirtschaft, Forsten, Umwelt und Naturschutz umbenannt. Ich frage die Landesregierung: 1. Wie entwickelten sich die Stellenzahlen und die jeweiligen Besoldungsgruppen im Leitungsbereich des Thüringer Ministeriums für Landwirtschaft, Forsten, Umwelt und Naturschutz seit dem 1. Januar 2009 (bitte in Jahresscheiben angeben)? 2. Wie viele Stelleninhaber im Leitungsbereich des Thüringer Ministeriums für Landwirtschaft, Forsten, Umwelt und Naturschutz sind seit dem 1. Januar 2009 auf andere Stellen innerhalb des Landes gewech- selt beziehungsweise aus dem Landesdienst mit welchem Ziel ausgeschieden (bitte in Jahresscheiben angeben)? 3. Welche der unter der Frage 2 genannten Stelleninhaber sind auf eigenen Wunsch beziehungsweise aus dienstlicher Veranlassung gewechselt? 4. Welche organisatorischen Veränderungen fanden seit dem 1. Januar 2009 im Leitungsbereich des Thü- ringer Ministeriums für Landwirtschaft, Forsten, Umwelt und Naturschutz statt? Das Thüringer Ministerium für Landwirtschaft, Forsten, Umwelt und Naturschutz hat die Kleine Anfrage namens der Lan­desre­gierung mit Schreiben vom 15. Oktober 2013 wie folgt beantwortet: Zu 1.: Zum 1. Januar 2009 waren zwölf Dienstposten im unmittelbaren Leitungsbereich besetzt. Seit 2010 sind konstant elf Dienstposten im Leitungsbereich eingerichtet und besetzt: Jahr       Besoldungsgruppe/Entgeldgruppe                        Anzahl Dienstposten im Leitungsbereich 2009       2 x E 6, 1 x E 8, 1 x E 9, 1 x E 13, 1 x E 13Ü, 1 x A 12 9m, 2 x A 13, 2 x A 14, 1 x A 15 2010       1 x E 6, 1 x E 8, 2 x E 9, 1 x E 11, 11 1 x A 12, 1 x A 13, 3 x A 14, 1 x A 15 2011       1 x E 6, 1 x E 8, 2 x E 9, 1 x E 11, 11 1 x A 12, 1 x A 13, 3 x A 14, 1 x A 15 Druck: Thüringer Landtag, 28. Oktober 2013
1

Drucksache 5/      6778                                       Thüringer Landtag - 5. Wahlperiode Jahr     Besoldungsgruppe/Entgeldgruppe                          Anzahl Dienstposten im Leitungsbereich 2012     1 x E 6, 1 x E 8, 2 x E 9, 1 x E 11, 11 1 x E 13, 1 x A 13, 3 x A 14, 1 x A 15 2013     1 x E 6, 1 x E 8, 2 x E 9, 1 x E 11, 11 2 x A 13, 3 x A 14, 1 x A 15 Zum Leitungsbereich werden die unmittelbar der Hausleitung zugeordneten Bereiche Ministerbüro und Büro des Staatssekretärs gezählt, ausschließlich Minister und Staatssekretär sowie ausschließlich der Stabsstel- len. Die angegebenen Stellenzahlen bilden die tatsächliche Ist-Besetzung im Leitungsbereich ab. Zu 2.: Im Jahr 2009 haben vier Bedienstete unmittelbar den Leitungsbereich verlassen und sind auf andere Dienst- posten innerhalb des Landes gewechselt. Im Jahr 2010 ist eine Bedienstete/ein Bediensteter unmittelbar aus dem Leitungsbereich auf eine andere Stelle innerhalb des Landesdienstes gewechselt. Im Jahr 2011 ist eine Bedienstete/ein Bediensteter unmittelbar aus dem Leitungsbereich auf eine andere Stelle innerhalb des Landesdienstes gewechselt. Im Jahr 2012 ist eine Bedienstete/ein Bediensteter unmittelbar aus dem Leitungsbereich aus dem Landes- dienst ausgeschieden. Die/der Betreffende wechselte in ein Richteramt. Im Jahr 2013 ist niemand aus dem unmittelbaren Leitungsbereich innerhalb des Landes gewechselt oder ausgeschieden. Zu 3.: Im Hinblick auf die teilweise sehr geringe Fallzahl zu Frage 2 sind bei der Beantwortung schutzwürdige da- tenschutzrechtliche Interessen der betroffenen Personen zu berücksichtigen, weshalb von einer Beantwor- tung abgesehen wird. Zu 4.: Zum Stichtag 1. Januar 2009 wurden im unmittelbaren Leitungsbereich des Thüringer Ministeriums für Land- wirtschaft, Naturschutz und Umwelt (TMLNU) neben den Organisationsbereichen für Minister und Staats- sekretär die Persönlichen Referenten sowie eine Stabsstelle "Grundsatzangelegenheiten" ausgewiesen, zu der neben den aufgeführten Grundsatzreferenten auch der Bereich Pressesprecher/-in/Öffentlichkeits- arbeit gehörte. Mit Wirkung vom 19. Januar 2010 wurde im Leitungsbereich des Thüringer Ministeriums für Landwirtschaft, Forsten, Umwelt und Naturschutz (TMLFUN) die Stabsstelle "Grundsatzangelegenheiten" aufgelöst und zwei neue Organisationseinheiten ("Ministerbüro" und "Presse, Öffentlichkeitsarbeit, Reden") eingerichtet. Die Stelle der "Persönlichen Referentin" des Ministers wurde durch eine Stelle "Persönlicher Mitarbeiter" des Ministers ersetzt. Mit Organisationsverfügung des TMLFUN vom 16. Februar 2010 wurden die Grundsatzreferenten der Lei- terin "Ministerbüro" zugeordnet. Der Persönliche Mitarbeiter des Ministers und die Persönliche Referentin des Staatssekretärs wurden nicht mehr separat ausgewiesen, sondern den jeweiligen Organisationsberei- chen von Minister und Staatssekretär zugeordnet. Reinholz Minister 2
2