Finanzhilfen aus dem Landesausgleichsstock an die Gemeinde Wolkramshausen

/ 3
PDF herunterladen
Thüringer Landtag 5. Wahlperiode Drucksache 5/     7081 20.12.2013 Kleine Anfrage des Abgeordneten Kuschel (DIE LINKE) und Antwort des Thüringer Innenministeriums Finanzhilfen aus dem Landesausgleichsstock an die Gemeinde Wolkramshausen Die Kleine Anfrage 3392 vom 18. September 2013 hat folgenden Wortlaut: Nach Information der Landesregierung (Drucksache 5/6590) erhielt die Gemeinde Wolkramshausen im Jahr 2013 eine Finanzhilfe aus dem Landesausgleichsstock in Höhe von 396.200 Euro. Die Mittel dienen der Haushaltskonsolidierung. Ich frage die Landesregierung: 1. Wie gestaltet sich derzeit die Haushaltslage der Gemeinde und welche Wirkungen werden durch die nachgefragte gewährte Finanzhilfe erreicht? 2. Welche Ursachen führten zur Haushaltslage der Gemeinde, die die Beantragung und Genehmigung von Finanzhilfen aus dem Landesausgleichsstock für 2013 begründeten? 3. Welche weiteren Finanzhilfen aus dem Landesausgleichsstock in welcher Höhe hat die Gemeinde wann erhalten und welche fiskalischen Wirkungen entstanden für die Gemeinde durch diese Finanzhilfen (bitte Einzelaufstellung)? 4. Welche eigenen Konsolidierungsmaßnahmen mit welchen fiskalischen Wirkungen hat die Gemeinde wann veranlasst (bitte Einzelaufstellung)? 5. Wann soll die Gemeinde die dauernde Leistungsfähigkeit wieder erlangen? Das Thüringer Innenministerium hat die Kleine Anfrage namens der Lan­desre­gierung mit Schreiben vom 18. Dezember 2013 wie folgt beantwortet: Zu 1.: Der Haushaltsausgleich ist gewährleistet. Kennziffern zur Haushaltslage sind der als Anlage beigefügten Tabelle zu entnehmen. Die bewilligte Bedarfszuweisung wurde gewährt, um die Gemeinde beim Prozess der Haushaltskonsolidierung zu unterstützen. Damit wird es der Gemeinde ermöglicht, einen ausgegliche- nen Haushalt aufzustellen. Von Bedeutung ist ferner, dass der Sollfehlbetrag im Konsolidierungszeitraum abgebaut werden kann. Druck: Thüringer Landtag, 14. Januar 2014
1

Drucksache 5/        7081                                         Thüringer Landtag - 5. Wahlperiode Zu 2.: Wesentlicher Grund für die defizitäre Haushaltsentwicklung ist das stark zunehmend negative Verhältnis zwischen kommunalen Einnahmen und Ausgaben. Der Einwohnerschwund und die allgemeinen Kosten- steigerungen trugen ebenfalls zur Fehlentwicklung bei. Eine weitere Ursache sind die ansteigenden Kos- ten der Gemeinde für die Kindertagesstätten. Zu 3.: Die Gemeinde Wolkramshausen hat in den Jahren 2011 und 2012 keine weiteren Finanzhilfen aus dem Landesausgleichsstock erhalten. Zu 4.: Die fiskalischen Wirkungen der einzelnen Konsolidierungsmaßnahmen sind die Erhöhung der Einnahmen und die Reduzierung der Ausgaben. Im Wesentlichen handelt es sich um die Reduzierung der Ausgaben des sächlichen Verwaltungsaufwandes und Mehreinnahmen bei Steuern und Gebühren. Zu 5.: Im Jahr 2023 soll die Gemeinde die dauernde Leistungsfähigkeit wieder erlangen. Geibert Minister Anlage*) *) Hinweis: Auf den Abdruck der Anlage wurde verzichtet. Ein Exemplar mit Anlage erhielten jeweils die Fraktionen und die Land- tagsbibliothek. Des Weiteren kann sie im Abgeordneteninformationssystem unter der oben genannten Drucksachen- nummer sowie im Internet unter der Adresse: www.parldok.thueringen.de eingesehen werden. 2
2

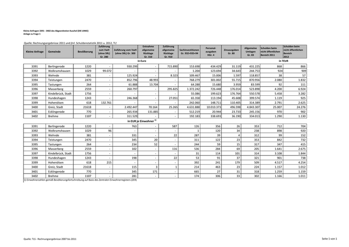
Kleine Anfragen 3391 ‐ 3402 des Abgeordneten Kuschel (DIE LINKE) Anlage zu Frage 1 Quelle: Rechnungsergebnisse 2011 und jhrl. Schuldenstatistik 2011 u. 2012, TLS Zuführung                              Entnahme       Zuführung                                                                                       Schulden beim Personal‐                   Allgemeine    Schulden beim zum VwH      Zuführung vom VwH        allgemeine     allgemeine     Sachinvestitionen              Zinsausgaben                                      nicht öffentlichen Kleine Anfrage        Gemeinde                    Bevölkerung                                                                                         ausgaben                     Umlagen      nicht öffentlichen (ohne SRL)     (ohne SRL) Gr. 300       Rücklage       Rücklage       Gr. 932+935+94                    Gr. 80                                        Bereich HGr. 4                        Gr. 83     Bereich 2011 Gr. 280                                Gr. 310        Gr. 910                                                                                       2012 in Euro                                                                                                        in TEUR 3391             Berlingerode                        1220            ‐             930.299                   ‐       715.890            153.698      434.429          31.119      431.225                  868                   866 3392             Wolkramshausen                      1029     99.072                      ‐                  ‐              ‐              1.204     123.694          34.643      244.753                  924                   909 3393             Wehnde                               381            ‐             125.924                   ‐          8.323           109.467       15.006           1.597      118.857                   38                    57 3394             Teistungen                          2470            ‐             852.796              48.993              ‐           768.279      301.002          55.715      870.956                2.080                 1.832 3395             Tastungen                            264            ‐               61.888             13.704              ‐            64.288       15.680           3.959        83.599                  92                   111 3396             Masserberg                          2559            ‐             260.797                   ‐       295.825          1.372.242      726.448        176.014       523.898                4.200                 6.924 3397             Kindelbrück, Stadt                  1756            ‐                    ‐                  ‐              ‐            55.086      199.623        176.764       550.578                5.458                 3.282 3398             Hundeshagen                         1243            ‐             246.368                   ‐        27.051             65.358      113.194          45.608      399.574                1.119                   925 3399             Hohenölsen                           618    132.761                      ‐                  ‐              ‐           242.060      148.711        110.405       314.389                2.791                 2.625 3400             Greiz, Stadt                      21618             ‐           2.492.447             70.164         25.265          4.631.888   10.010.373        496.598    4.843.307               25.007                24.276 3401             Ecklingerode                         770            ‐             265.934            131.885               ‐           512.219       20.944          23.733      245.156                  970                   902 3402             Brehme                              1107            ‐             311.529                   ‐              ‐           192.183      338.693          36.190      334.013                1.290                 1.130 in EUR je Einwohner 1) 3391             Berlingerode                        1220            ‐                  763                  ‐           587                 126         356              26           353                 712                   704 3392             Wolkramshausen                      1029           96                    ‐                  ‐              ‐                  1         120              34           238                 898                   920 3393             Wehnde                               381            ‐                  331                  ‐             22                287           39              4           312                  99                   152 3394             Teistungen                          2470            ‐                  345                 20              ‐                311         122              23           353                 842                   732 3395             Tastungen                            264            ‐                  234                 52              ‐                244           59             15           317                 347                   415 3396             Masserberg                          2559            ‐                  102                  ‐           116                 536         284              69           205               1.641                 2.675 3397             Kindelbrück, Stadt                  1756            ‐                    ‐                  ‐              ‐                 31         114             101           314               3.108                 1.844 3398             Hundeshagen                         1243            ‐                  198                  ‐             22                 53           91             37           321                 901                   738 3399             Hohenölsen                           618         215                     ‐                  ‐              ‐                392         241             179           509               4.517                 4.254 3400             Greiz, Stadt                      21618             ‐                  115                   3              1               214         463              23           224               1.157                 1.012 3401             Ecklingerode                         770            ‐                  345                171              ‐                665           27             31           318               1.259                 1.159 3402             Brehme                              1107            ‐                  281                  ‐              ‐                174         306              33           302               1.166                 1.011 1) Einwohnerzahlen gemäß Bevölkerungsfortschreibung auf Basis des Zentralen Einwohnerregisters (ZER) Quelle: TLS ‐ Rechnungsergebnisse 2007 bis 2011                                                                                                                                                                                              Seite 1 von 1
3