Straßenstatistik der Thüringer Landkreise

/ 6
PDF herunterladen
Thüringer Landtag 5. Wahlperiode Drucksache 5/    3044 06.07.2011 Kleine Anfrage der Abgeordneten Schubert (BÜNDNIS 90/DIE GRÜNEN) und Antwort des Thüringer Ministeriums für Bau, Landesentwicklung und Verkehr Straßenstatistik der Thüringer Landkreise Die Kleine Anfrage 1507 vom 19. Mai 2011 hat folgenden Wortlaut: Laut dem Landesentwicklungsbericht 2009 verfügt Thüringen über ein ausreichend dichtes Straßennetz. Dennoch werden trotz sinkender Verkehrszahlen neue Straßen gebaut, die es zukünftig zu erhalten gilt. Statt weiter auf umwelt- und klimaschädlichen Verkehr zu setzen, brauchen wir eine nachhaltige und vor allem realistische Verkehrspolitik, denn mehr Straßen sind nicht gleichbedeutend mit mehr Lebensqualität. Ich frage die Landesregierung: 1. Wie viele Kilometer Bundesstraßen, Landesstraßen, Kreisstraßen und Gemeindestraßen gibt es in Thü- ringen (bitte aufgeschlüsselt nach Landkreisen sowie in freie Strecke und Ortsdurchfahrten)? 2. Wie viele Streckenkilometer davon befinden sich in gutem bis sehr gutem, schlechtem und sehr schlech- tem Zustand (bitte aufgeschlüsselt nach Landkreisen)? 3. Inwiefern ist der Aus- und Neubau von Straßen im Zeitraum von 2011 bis 2015 vorgesehen und welche finanziellen Mittel stehen dafür zur Verfügung (bitte aufgeschlüsselt nach Landkreisen sowie in freie Stre- cke und Ortsdurchfahrten)? 4. Wie viele Kilometer Radwege gibt es in Thüringen (bitte aufgeschlüsselt nach Landkreisen sowie in freie Strecke und Ortsdurchfahrten) a) an Bundesstraßen; b) an Landesstraßen; c) eingebunden in das touristische Landesradwegenetz? 5. Inwiefern ist der Aus- und Neubau von Radwegen im Zeitraum von 2011 bis 2015 vorgesehen und wel- che finanziellen Mittel stehen dafür zur Verfügung (bitte aufgeschlüsselt nach Landkreisen sowie in freie Strecke und Ortsdurchfahrten)? 6. Welche Bundes-, Landes- und Kreisstraßen wurden seit dem Jahr 2000 in Thüringen abgestuft? 7. Welche Bundes-, Landes- und Kreisstraßen sollen im Zeitraum 2011 bis 2015 abgestuft werden? a) In welchem Zustand sollen die Straßen übergeben werden? b) Wie wird die Übernahme der Kosten geregelt? c) Welche Mittel stehen für die Förderung der Sanierung für die Landkreise und Städte, an die Landes- straßen übertragen werden, zur Verfügung? d) Nach welchen Kriterien soll die Förderung erfolgen? Druck: Thüringer Landtag, 18. Juli 2011
1

Drucksache 5/      3044                                      Thüringer Landtag - 5. Wahlperiode Das Thüringer Ministerium für Bau, Landesentwicklung und Verkehr hat die Kleine Anfrage namens der Lan­desre­gierung mit Schreiben vom 4. Juli 2011 wie folgt beantwortet: Zu 1.: In der folgenden Tabelle wurden die Straßenlängen von Bundes-, Landes- und Kreisstraßen nach Landkrei- sen geordnet zusammengestellt. Landkreis (LK)                  freie Strecke             Ortsdurchfahrt                 Summe (in Kilometer)            (in Kilometer)             (in Kilometer) Bund      Land     Kreis   Bund     Land     Kreis   Bund      Land     Kreis LK Weimarer Land               66       135      141     16        56       45      82       191      186 LK Altenburg                   58        98      142     27        44       83      85       142      225 Eichsfeldkreis                 35       329      101       7      104       29      42       433      130 LK Gotha                       76       185       64     29        83       26     105       268       90 LK Greiz                       81       150      155     33        74       64     114       224      219 LK Hildburghausen              35       213      140     16        73       31      51       286      171 Ilm-Kreis                      29       213      105     21        73       30      50       286      135 LK Kyffhäuser                  83       227       70     21        70       20     104       297       90 LK Nordhausen                  42       184       73     17        75       16      59       259       89 Saale-Holzland-Kreis           38       197      198     18        66       52      56       263      250 LK Saalfeld-Rudolstadt         86       193      177     49        73       55     135       266      232 LK Schmalkalden-Mei-           47       237      152     17       121       20      64       358      172 ningen LK Sonneberg                   31        73       71     17        44       31      48       117      102 Saale-Orla-Kreis               90       262      206     19        65       63     109       327      269 LK Sömmerda                    80       128       75     22        38       30     102       166      105 Unstrut-Hainich-Kreis          79       254       63     24        77       16     103       331       79 Wartburgkreis                 129       229      135     47        95       48     176       324      183 Stadt Eisenach                 20        22       15     10         1         3     30        23       18 Stadt Erfurt                     8       37         0      1       10      195        9       47      195 Stadt Gera                     16        13       30     16        13       14      32        26       44 Stadt Jena                     11         7       28     18         8         0     29        15       28 Stadt Weimar                   18         3         1    10         6         1     28         9         2 Stadt Suhl                       0        9         6      0       17         8       0       26       14 Summe                       1 158     3 398    2 148    455     1 286      880   1 613     4 684    3 028 Thüringen verfügt zudem über insgesamt 498 Kilometer Bundesautobahnen. Zur Länge der Gemeindestra- ßen liegen der Landesregierung keine Angaben vor. Zu 2.: Das Ergebnis der zuletzt im Jahr 2008 durchgeführten Zustandserfassung und -bewertung (ZEB) der Bun- des- und Landesstraßen kann der nachstehenden Tabellen entnommen werden. Als Zustandswert dient dabei der sogenannte "Substanzwert Oberfläche", der den Straßenzustand anhand der Faktoren Flickstel- len/Risse (Flächenanteile), Spurrinnentiefe und allgemeine Unebenheiten, die mittels Messfahrzeugen er- mittelt werden, beschreibt. 2
2

Thüringer Landtag - 5. Wahlperiode                                        Drucksache 5/      3044 Straßenzustand Bundesstraßen (Zustandserfassung 2008) Landkreis (LK)                                               Zustandswert 1,00 bis 3,5            3,5 bis 4,5             4,5 bis 5,0 Gesamt      sehr gut bis gut           schlecht             sehr schlecht in        in           in        in           in         in           in Kilometer  Prozent Kilometer      Prozent Kilometer       Prozent Kilometer LK Weimarer Land             82        67          55        18           15         15           12 LK Altenburg                 85        68          58        19           16         13            11 Eichsfeldkreis               42        70          29        17             7        13             6 LK Gotha                   105         67          70        18           19         15           16 LK Greiz                    114        68          77        19           22         13           15 LK Hildburghausen            51        47          24        16             8        37           19 Ilm-Kreis                    50        67          33        18             9        15             8 Kyffhäuserkreis            104         70          73        17           18         13           13 LK Nordhausen                59        70          41        17           10         13             8 Saale-Holzland-Kreis         56        68          38        19            11        13             7 LK Saalfeld-Rudolstadt     135         67          91        18           24         15           20 LK Schmalkalden-Mei- 64        47          30        16           10         37           24 ningen LK Sonneberg                 48        47          22        16             8        37           18 Saale-Orla-Kreis           109         68          74        19           21         13           14 LK Sömmerda                102         67          68        18           19         15           15 Unstrut-Hainich-Kreis      103         70          72        17           18         13           13 Wartburgkreis              176         47          83        16           28         37           65 Straßenzustand Landesstraßen (Zustandserfassung 2008) Landkreis (LK)                                               Zustandswert 1,00 bis 3,5            3,5 bis 4,5             4,5 bis 5,0 Gesamt      sehr gut bis gut           schlecht             sehr schlecht in        in           in        in           in         in           in Kilometer  Prozent Kilometer      Prozent Kilometer       Prozent Kilometer LK Weimarer Land           191         48          92        26           49         26           50 LK Altenburg               142         49          69        16           23         35           50 Eichsfeldkreis             433         51         221        16           69         33          143 LK Gotha                   268         45         121        22           59         33           88 LK Greiz                   224         63         141        21           47         16           36 LK Hildburghausen          286         68         194        16           46         16           46 Ilm-Kreis                  286         48         137        26           75         26           74 Kyffhäuserkreis            297         54         161        22           65         24           71 LK Nordhausen              259         44         114        20           52         36           93 Saale-Holzland-Kreis       263         47         124        24           63         29           76 LK Saalfeld-Rudolstadt     266         51         136        22           58         27           72 LK Schmalkalden-Mei-       358         42         151        23           82         35          125 ningen LK Sonneberg                117        49          57        22           26         29           34 Saale-Orla-Kreis           327         65         213        20           65         15           49 LK Sömmerda                166         48          80        22           36         30           50 Unstrut-Hainich-Kreis      331         55         182        23           76         22           73 Wartburgkreis              324         39         126        23           75         38          123 Eine Zustandserfassung und -bewertung der Kreis- und Gemeindestraßen liegt der Landesregierung nicht vor. 3
3

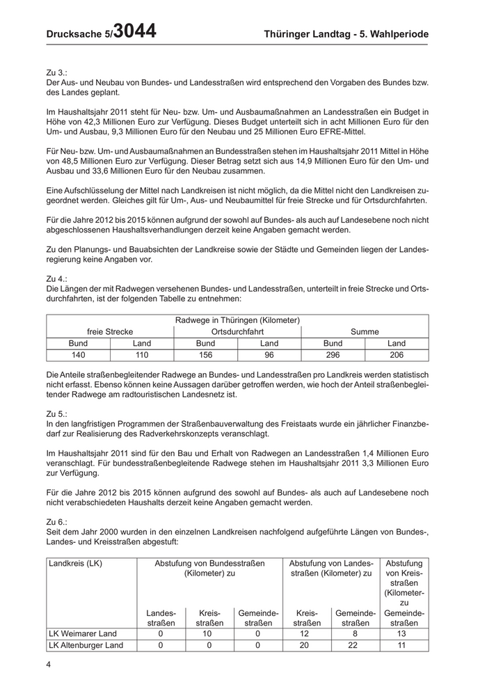
Drucksache 5/       3044                                       Thüringer Landtag - 5. Wahlperiode Zu 3.: Der Aus- und Neubau von Bundes- und Landesstraßen wird entsprechend den Vorgaben des Bundes bzw. des Landes geplant. Im Haushaltsjahr 2011 steht für Neu- bzw. Um- und Ausbaumaßnahmen an Landesstraßen ein Budget in Höhe von 42,3 Millionen Euro zur Verfügung. Dieses Budget unterteilt sich in acht Millionen Euro für den Um- und Ausbau, 9,3 Millionen Euro für den Neubau und 25 Millionen Euro EFRE-Mittel. Für Neu- bzw. Um- und Ausbaumaßnahmen an Bundesstraßen stehen im Haushaltsjahr 2011 Mittel in Höhe von 48,5 Millionen Euro zur Verfügung. Dieser Betrag setzt sich aus 14,9 Millionen Euro für den Um- und Ausbau und 33,6 Millionen Euro für den Neubau zusammen. Eine Aufschlüsselung der Mittel nach Landkreisen ist nicht möglich, da die Mittel nicht den Landkreisen zu- geordnet werden. Gleiches gilt für Um-, Aus- und Neubaumittel für freie Strecke und für Ortsdurchfahrten. Für die Jahre 2012 bis 2015 können aufgrund der sowohl auf Bundes- als auch auf Landesebene noch nicht abgeschlossenen Haushaltsverhandlungen derzeit keine Angaben gemacht werden. Zu den Planungs- und Bauabsichten der Landkreise sowie der Städte und Gemeinden liegen der Landes- regierung keine Angaben vor. Zu 4.: Die Längen der mit Radwegen versehenen Bundes- und Landesstraßen, unterteilt in freie Strecke und Orts- durchfahrten, ist der folgenden Tabelle zu entnehmen: Radwege in Thüringen (Kilometer) freie Strecke                       Ortsdurchfahrt                         Summe Bund               Land              Bund             Land            Bund               Land 140                110               156               96              296               206 Die Anteile straßenbegleitender Radwege an Bundes- und Landesstraßen pro Landkreis werden statistisch nicht erfasst. Ebenso können keine Aussagen darüber getroffen werden, wie hoch der Anteil straßenbeglei- tender Radwege am radtouristischen Landesnetz ist. Zu 5.: In den langfristigen Programmen der Straßenbauverwaltung des Freistaats wurde ein jährlicher Finanzbe- darf zur Realisierung des Radverkehrskonzepts veranschlagt. Im Haushaltsjahr 2011 sind für den Bau und Erhalt von Radwegen an Landesstraßen 1,4 Millionen Euro veranschlagt. Für bundesstraßenbegleitende Radwege stehen im Haushaltsjahr 2011 3,3 Millionen Euro zur Verfügung. Für die Jahre 2012 bis 2015 können aufgrund des sowohl auf Bundes- als auch auf Landesebene noch nicht verabschiedeten Haushalts derzeit keine Angaben gemacht werden. Zu 6.: Seit dem Jahr 2000 wurden in den einzelnen Landkreisen nachfolgend aufgeführte Längen von Bundes-, Landes- und Kreisstraßen abgestuft: Landkreis (LK)                 Abstufung von Bundesstraßen         Abstufung von Landes-       Abstufung (Kilometer) zu              straßen (Kilometer) zu      von Kreis- straßen (Kilometer- zu Landes-        Kreis-    Gemeinde-      Kreis-      Gemeinde- Gemeinde- straßen       straßen     straßen      straßen        straßen      straßen LK Weimarer Land                0            10           0           12              8           13 LK Altenburger Land             0             0           0           20             22           11 4
4

Thüringer Landtag - 5. Wahlperiode                                           Drucksache 5/   3044 Landkreis (LK)                Abstufung von Bundesstraßen          Abstufung von Landes-     Abstufung (Kilometer) zu               straßen (Kilometer) zu    von Kreis- straßen (Kilometer- zu Landes-         Kreis-     Gemeinde-      Kreis-     Gemeinde- Gemeinde- straßen       straßen      straßen      straßen      straßen      straßen Eichsfeldkreis                34              0            0          68           30           53 LK Gotha                       11             0            0           38            5           13 LK Greiz                        0             0            4           17           23           23 LK Hildburghausen              37             7            8           93           45           30 Ilm-Kreis                      48             0            0           50           16            9 Kyffhäuserkreis                 0             0            0           27           19            0 LK Nordhausen                  40             0            0           40           10            1 Saale-Holzland-Kreis            0             0            0           30            8           12 LK Saalfeld-Rudolstadt          0             0            0           44           20           12 LK Schmalkalden-Mei-           43            14            0         113            21           16 ningen LK Sonneberg                    0             0            0           53           30           22 Saale-Orla-Kreis               13             0            0           25           45           17 LK Sömmerda                     0             0            0           35           17            0 Unstrut-Hainich-Kreis           0             0            0           57           23            7 Wartburgkreis                  25             2            2           22            9           27 Stadt Eisenach                  2             0            6            3            2            0 Stadt Erfurt                    5             5            0           11            0            0 Stadt Gera                      4             0            3            5            4            2 Stadt Jena                      0             0            0            0            0            0 Stadt Weimar                    0             0            0            0            1            0 Stadt Suhl                      8             0            0            4            0            0 Summe                        270             38           23         767          358          268 Zu 7.: Zur Abstufung von Bundesstraßen finden derzeit noch Abstimmungen mit dem Bund und den Ländern statt. Diese sind noch nicht abgeschlossen. Insofern können hierzu noch keine Aussage gemacht werden. Nachdem mit dem Inkrafttreten des Thüringer Straßengesetzes alle bisherigen Bezirksstraßen, d. h. alle Landstraßen I. Ordnung und Landstraßen II. Ordnung, vorläufig als Landesstraßen galten, wurde in den Jah- ren 2000/2001 ein Konzept des zukünftigen Landesstraßennetzes entwickelt, aus dem das "Umstufungs- konzept Landesstraßen 2020" abgeleitet wurde. Von den dort ursprünglich vorgesehenen rund 1 800 Kilometer an abzustufenden Landesstraßen wurden bisher rund 1 230 Kilometer zu Kreis- oder Gemeindestraßen abgestuft. Zusammen mit Anpassungen an ak- tuelle Verkehrsentwicklungen wird derzeit eingeschätzt, dass in den Landkreisen noch folgende Abschnitts- längen von Landesstraßen zur Abstufung anstehen: Landkreis (LK)                                  Umstufung Landesstraßen (in Kilometer) zu Kreisstraßen           Gemeindestraßen              Summe LK Weimarer Land                            0                       0                       0 LK Altenburger Land                        11                      12                      23 Eichsfeldkreis                             31                      40                      71 LK Gotha                                   34                      22                      56 LK Greiz                                   10                       3                      13 LK Hildburghausen                          10                      11                      21 Ilm-Kreis                                  63                       8                      71 5
5

Drucksache 5/      3044                                      Thüringer Landtag - 5. Wahlperiode Landkreis (LK)                                 Umstufung Landesstraßen (in Kilometer) zu Kreisstraßen           Gemeindestraßen              Summe Kyffhäuserkreis                            27                      44                      71 LK Nordhausen                              51                      22                      73 Saale-Holzland-Kreis                       22                       2                      24 LK Saalfeld-Rudolstadt                     40                       0                      40 LK Schmalkalden-Meiningen                  10                      11                      21 LK Sonneberg                                0                       2                        2 Saale-Orla-Kreis                           30                      32                      62 LK Sömmerda                                 3                      10                      13 Unstrut-Hainich-Kreis                      55                      53                     108 Wartburgkreis                              12                      19                      31 Stadt Eisenach                              3                       0                        3 Stadt Erfurt                                0                       0                        0 Stadt Gotha                                 0                       0                        0 Stadt Jena                                  0                       0                        0 Stadt Weimar                                0                       0                        0 Stadt Suhl                                  0                       0                        0 Summe                                    412                     285                      703 Informationen zu Abstufungsabsichten von Kreisstraßen in Baulast der Landkreise und kreisfreien Städte liegen der Landesregierung derzeit nicht vor. Zu 7. a: Die Straßen werden in dem gesetzlich geforderten, der Verkehrsbedeutung entsprechenden ordnungsge- mäß unterhaltenen Zustand übergeben. Zu 7. b: Vor der Umstufung hat der bisherige Baulastträger alle mit der Baulast verbundenen Verpflichtungen zu er- füllen. Mit der Umstufung gehen diese Verpflichtungen auf den neuen Baulastträger über. Wurde eine Straße vor der Umstufung nicht ordnungsgemäß entsprechend der bisherigen Verkehrsbedeu- tung unterhalten, sollten die ausstehenden Maßnahmen möglichst noch vor dem Baulastwechsel erfolgen; sie können aber grundsätzlich auch danach noch ausgeführt werden. Andernfalls kann der neue Baulast- träger die notwendigen rückständigen Unterhaltungsmaßnahmen auf Kosten des bisherigen Baulastträgers durchführen. Alternativ hat er einen Anspruch auf Kostenerstattung, der bei Durchführung einer Baumaß- nahme des neuen Baulastträgers in Ansatz gebracht werden kann. Hier sind für jeden einzelnen Fall spe- zielle Vereinbarungen möglich. Über den zukünftigen Ausbaustandard einer Straße kann nur der überneh- mende Baulastträger entscheiden, nicht der bisherige. Zu 7. c: Nach den aktuellen Planungen der Landesregierung sollen vorbehaltlich der Verabschiedung des Haus- halts 2012 im Haushaltsjahr 2012 ca. zehn bis 15 Millionen Euro Fördermittel gemäß der Richtlinie des Frei- staats Thüringen zur Förderung des kommunalen Straßenbaus (RL-KSB) zur Verfügung stehen. Im Jahr 2011 erfolgt noch keine Umstufung im Sinne der Fragestellung, da die geänderte RL-KSB erst zum 1. Ja- nuar 2012 in Kraft tritt. Für das Haushaltsjahr 2013 sind außerdem Verpflichtungsermächtigungen (VE) in Höhe von insgesamt neun Millionen Euro vorgesehen. Zu 7. d: Die Förderung von abgestuften Landesstraßen erfolgt auf der Grundlage der Richtlinie des Freistaats Thü- ringen zur Förderung des kommunalen Straßenbaus (RL-KSB). Carius Minister 6
6