Aktueller Stand des Sanierungsprojekts "Tor zur Stadt" in Eisenach

/ 4
PDF herunterladen
Thüringer Landtag 5. Wahlperiode Drucksache 5/    6900 13.11.2013 Kleine Anfrage des Abgeordneten Meyer (BÜNDNIS 90/DIE GRÜNEN) und Antwort des Thüringer Ministeriums für Landwirtschaft, Forsten, Umwelt und Naturschutz Aktueller Stand des Sanierungsprojekts "Tor zur Stadt" in Eisenach Die Kleine Anfrage 3449 vom 30. September 2013 hat folgenden Wortlaut: Das Sanierungsprojekt "Tor zur Stadt" in Eisenach war bereits mehrmals Gegenstand von Anfragen an die Landesregierung. Nunmehr hat sich auf Grund des in den vergangenen Jahren durchgeführten Grundwas- sermonitorings ein neuer Sachstand ergeben. Ich frage die Landesregierung: 1. Seit wann ist dem Thüringer Ministerium für Landwirtschaft, Forsten, Umwelt und Naturschutz bekannt, dass eine Sanierung des Grundwassers, für die Kosten in Höhe von drei Millionen Euro veranschlagt waren, nicht mehr notwendig ist? 2. Wurde zu diesem Zeitpunkt der Freistellungsbescheid über 8,5 Millionen Euro entsprechend geändert? Wenn nein, warum nicht? Wenn ja, erfolgte bereits eine Rückforderung von überzahlten Beträgen? 3. Warum erhöhten sich im Gegenzug die Kosten für den Bodenaushub bzw. -entsorgung um drei Millionen Euro? 4. Welche Art von Entsorgung wurde angewandt? 5. Wurden Maßnahmen ergriffen, den Gutachter zur Haftung heranzuziehen, nachdem dieser die Sanie- rungskosten einschließlich der Wassersanierung zu gering angesetzt hatte? 6. Wann wurden jeweils Teilbeträge für den Sanierungsfortschritt an den Altinvestor ausgereicht (bitte Einzelaufstellung)? Das Thüringer Ministerium für Landwirtschaft, Forsten, Umwelt und Naturschutz hat die Kleine Anfrage namens der Lan­desre­gierung mit Schreiben vom 12. November 2013 wie folgt beantwortet: Zu 1.: Im Ergebnis einer Grundwasseruntersuchung der Fa. Consulting-Büro Frieg aus dem Jahr 2006 hat sich herausgestellt, dass die Sanierung des festgestellten Grundwasserschadens nicht erforderlich ist. Der lo- kale Schaden wird jedoch im Rahmen eines zunächst bis zum 2016 laufenden Grundwasser-Monitorings überwacht. Druck: Thüringer Landtag, 4. Dezember 2013
1

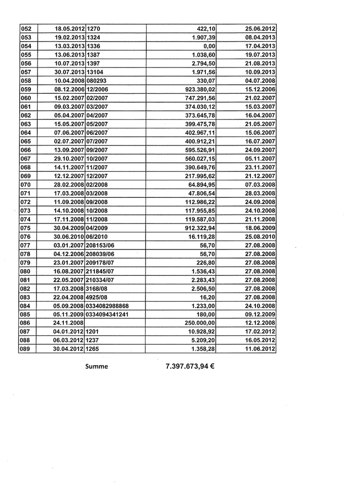
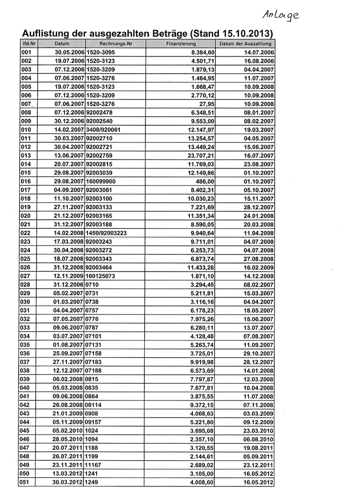
Drucksache 5/        6900                                         Thüringer Landtag - 5. Wahlperiode Zu 2.: Die Freistellung vom 18. August 2005 erfolgte in Höhe von insgesamt 7,65 Millionen Euro bei damals ge- schätzten Sanierungskosten in Höhe von insgesamt 8,5 Millionen Euro. Der Bescheid begründet nur eine Freistellung dem Grunde nach. Keinesfalls besteht ein Rechtsanspruch, Finanzmittel in der Höhe des ge- nannten Bescheides zu erhalten. Geld erhält der Finanzierungsempfänger nicht mit der Bestandskraft des Freistellungsbescheides, sondern erst nach Durchführung der Maßnahmen und nach Prüfung und Anerken- nung der eingereichten Rechnungen seitens des Projektmanagers des Thüringer Ministeriums für Landwirt- schaft, Forsten, Umwelt und Naturschutz. Aus diesem Grund wurde keine Reduzierung der Freistellungs- summe vorgenommen. Weitere Erläuterungen dazu sind in der Antwort zu Frage 5 enthalten. Zu 3.: Die Kosten der Bodensanierung sind unabhängig von den Kosten der eventuellen Grundwassersanierung. Bei der Bodensanierung wurden tatsächlich höhere Bodenkontaminationen festgestellt, was zu einem ver- mehrten Bodenaushub und somit zu den erhöhten Entsorgungskosten führte. Bisher sind Kosten in Höhe von 8,42 Millionen Euro angefallen. Davon hat der Freistaat 7,39 Millionen Euro erstattet. Die restlichen 1,03 Millionen Euro wurden von der Freigestellten finanziert. Zu 4.: Der kontaminierte Bodenaushub wurde auf einer dafür geeigneten Sonderabfalldeponie entsorgt bzw. bei geringeren Kontaminationen mittels einer Bodenwäsche gereinigt und wiedereingebaut. Zu 5.: Für eine Freistellung nach Umweltrahmengesetz ist die Glaubhaftmachung eines Schadens ausreichend. Die Benennung der Höhe einer Freistellungssumme wird aus haushalterischen Gründen auf Grundlage der Erstuntersuchungen vorgenommen. Erst im Rahmen der weiteren Untersuchungsstufen werden der Sanie- rungsbedarf und die entsprechenden Sanierungskosten konkretisiert. Die tatsächlichen Sanierungskosten werden jedoch in den meisten Fällen erst im Rahmen der Sanierung durch maßgebliches Schadstoffinventar, Menge und Ausbreitung der Schadstoffe, geologische und hydro- geologische Verhältnisse vor Ort und Preiserhöhungen im Laufe der Sanierungsmaßnahmen begründet. Dementsprechend ist es möglich, bei Bedarf die ursprüngliche Freistellungssumme zu erhöhen. Aufgrund eines fehlenden Schadens für den Freistaat ist es nicht erforderlich, den betreffenden Gutachter in Haftung zu nehmen. Zu 6.: Die Einzelaufstellung der ausgezahlten Beträge kann der Anlage entnommen werden. Reinholz Minister Anlage  *) *) Hinweis: Auf den Abdruck der Anlage wurde verzichtet. Ein Exemplar mit Anlage erhielten jeweils die Fraktionen und die Land- tagsbibliothek. Des Weiteren kann sie im Abgeordneteninformationssystem unter der oben genannten Drucksachen- nummer sowie im Internet unter der Adresse: www.parldok.thueringen.de eingesehen werden. 2
2

Anlage
Auflistung der ausgezahlten Beträge (Stand 15.10.2013)

           
 

    
 

    
  

   
  
  
 
  
   
  
 

[001 | 30.05.2006
002 | 19.07.2006
004 | 07.06.2007 115202076707 | 100 11.07.2007]
[005 | 19.07. 2000120312802 | 16H] 10.09.2008
006 | _07.12.2006j1520.2090 OU | 2.770,12
1520-3276 27,95
008 07.12.2006 6.348,51
[009 | __30.12.2006192002540 9553000 0 08.02.2007
010 14.02.2007|3408/920061
012 | _30.04207[|2027227O Dj 13402 15.06.2007]
[013 | _13.06.2007|920000759507D DJ 2370721] 16.07.2007]
015 | __29.08.2007|92003039
016 | 20.08.2007 |1000900—7D[2L| 48600] 01.10.2007]
017
018 | _11.10.2007192003100
019 27.11.2007/92003133
[020 | 21.122007jo00265 0232| 113513] 24.01.2008]
021 | _31,122007|22002188 273 | 850005] 20.03.2008
022 | 14.02.2008j14500200228DO | 990641 11.04.2008
[024 | __30.04.2008|92003272
025 | 18.07.2008j9003135723|2| 68737] 27.08.2008]
026 | _31.12.2008|92003464 0 118328 16.02.2009]
12.11.2009
[028 | _31.12.2006/0710 3.294,45
02 | os0220UoE1 | 5218| 15.03.2007
030 | 01.2070 273 — ) 311616] 04.04.2007]
031 | oa0a20Tlors7L27D3 3 | 61823] 18.05.2007
039 | os 00T OT 35353 | 4128 07.08.2007
035 01.08.2007|07131 5.263,74
037 27.11.2007 9.919,98
07188 573.00| 14.01.2008]
039 06.02.2008
00 | 0502005 D—D—3—3—3 | DD 7er7Bil 10.04.2008
0a | 0os0620BloaD353535—D—3 | 387555 11.07.2008
042 | 2608200 93 — | 937215 07.11.2008
09157 0 522180) 0 09.12.2009]
05 | 0502202735355 3.6956| 23.03.2010)
[046 | __28.05.2010|1094 2.357,10
048
050 | 1308201201121070939— | 3105000 16.05.2012]
30.03.2012 4.008,60
3

052 | 1805200270073 © DD 22210] 25.06.2012
[054 | 130320113360 53 | 00 17.04.2013]
055 | 12002017 3 3 | 10380 19.07.2013]
1056 | _10.07.2013|1397
058 | 10.04.2008loso2es 320.07| 04.07.2008
[059 | 08.12200172006 0232| 123300022) 2 15.12.2006
[060 | _15.02.2007/02/2007
[061 | 09.03.20070802070°0°7°DDDV | 3740012] 15.03.2007
062 | 05.0420700207793 | 3736657 16.04.2007
063 15.05.2007|05/2007
07.06.20070sr20o7
[065 | 02.0r2007lorm0or29393<|„ÜT snm221] 16.07.2007
[066 | _13.09.2007|09/2007
067 29.10.2007 11012000°0°DDV | 560.027,15)] 05.11.2007
14.11.2000 112000°0°D | 390607 23.11.2007
069 | 12.12207j1202070727D 217.995,62| 2 21.12.2007
28.022008l0202086 232648905 07.03.2008
17.03.200803720085057DV| a7s065 28.03.2008
072 11.09.2008|09/2008
[73 14.1020001012086 20202 | _ 11795585] 24.10.2008
074 17.11.200811200807DODVV| 11958703] | 21.11.2008
05 | 3002000200 DD — | 19123220] 18.06.2009
56,70 27.08.2008]
[080 | 16.08.2007] 211850772707OD | 15364] 27.08.2008
081 |  22.05.2007]21033007°07OD | 228343] 27.08.2008
022 | 1703200881608 73 | 250650] 27.08.2008]
os | 220200020 — | 16200 27.08.2008]
084 | _05.09.2008j0334082086 862 | 1.233000 2 __ 24.10.2008]
[085 | _05.11.2009103340943412414° | 18000) 09.12.2009)
086 | 220 D—D—D— 3) 250.000] 12.12.2008
087 0012012120 0709393©— — — |J so9s2l 17.02.2012
0602011277073 | 520920] 16.05.2012]
089 02011265 079DD—D—D—3—3 | 1352| 11.06.2012

      

Summe 7.397.673,94 €
4