Auftragsvergaben an die Firma VST GmbH, Saalfeld

/ 5
PDF herunterladen
Thüringer Landtag 5. Wahlperiode Drucksache 5/     3445 26.10.2011 Kleine Anfrage der Abgeordneten Renner (DIE LINKE) und Antwort des Thüringer Innenministeriums Auftragsvergaben an die Firma VST GmbH, Saalfeld Die Kleine Anfrage 1772 vom 6. September 2011 hat folgenden Wortlaut: Das Thüringer Innenministerium kaufte in der Vergangenheit Videotechnik, u. a. für das Berufsfortbildungs- zentrum der Thüringer Polizei, an. Ich frage die Landesregierung: 1. In welchem Umfang erhielt die VST GmbH seit dem Jahr 2006 Aufträge durch das Thüringer Innenmi- nisterium und nachgeordneter Behörden (bitte um Einzelaufstellung nach Datum, Gegenstand und In- halt der Ausschreibung, Wertumfang, angebotener Wertrahmen)? 2. Welche Art der öffentlichen Ausschreibung lag diesen Aufträgen jeweils zugrunde? 3. Wie viele Bieter hat es jeweils gegeben und wie viele Mitbewerber wurden jeweils aus welchen Grün- den ausgeschlossen? 4. Welches waren die konkreten Gründe, die jeweils zur Auftragsvergabe an die Firma VST GmbH führte? 5. Traten bei Lieferungen der Firma VST GmbH nachträglich Mängel auf? Wenn ja, welcher Art und zu wel- chen Konsequenzen führten diese Mängel? 6. In wie vielen Fällen profitierte die Firma VST GmbH von im Haushalt des Thüringer Innenministeriums veranschlagten, aber schließlich nicht verausgabten Haushaltsmitteln für Beschaffungen, die schließlich für andere Beschaffungen eingesetzt wurden (bitte um Einzelaufstellung nach Haushaltsjahr, geplanter Beschaffung, Grund für die Nichtinanspruchnahme, tatsächlich getätigte Beschaffung)? Das Thüringer Innenministerium hat die Kleine Anfrage namens der Lan­desre­gierung mit Schreiben vom 25. Oktober 2011 wie folgt beantwortet: Zu 1.: Auf die Anlage wird verwiesen. Zu 2.: Auf die Anlage wird verwiesen. Zu 3.: Auf die Anlage wird verwiesen. Druck: Thüringer Landtag, 7. November 2011
1

Drucksache 5/        3445                                         Thüringer Landtag - 5. Wahlperiode Zu 4.: Auf die Anlage wird verwiesen. Zu 5.: In geringen Umfang traten Mängel an den gelieferten Gegenständen (u. a. Wackelkontakt an Spannungs- einspeisungen) auf. Die Mängel wurden seitens der Firma VST GmbH behoben. Zu 6.: Benötigte Ausgabemittel werden im jeweiligen Titel in den Landeshaushaltsplan aufgenommen. Gemäß § 17 Abs. 1 Thüringer Landeshaushaltsordnung sollen dabei in Form von Erläuterungen die Zielsetzug des Mitteleinsatzes dargelegt werden. Die Erläuterungen tragen keinen verbindlichen Charakter, sofern diese nicht ausdrücklich für verbindlich erklärt werden. Soweit Erläuterungen im Haushaltsplan als verbindlich er- klärt sind, muss die Änderung der Erläuterung beantragt werden. Der Landesregierung steht es grundsätzlich frei zu entscheiden, welche Beschaffungen im Vollzug des Haus- haltes tatsächlich umgesetzt werden. Zudem besteht gemäß § 20 Thüringer Landeshaushaltsordnung die Möglichkeit, im Rahmen der Deckungsfähigkeit in einem Titel über dessen Ansatz hinaus Ausgaben zu leis- ten, die in einem anderen Titel nicht verausgabt werden. Es werden keine Statistiken darüber geführt, wie viele Beschaffungen haushalterisch geplant, aber nicht oder in anderer Form realisiert wurden. In Vertretung Rieder Staatssekretär Anlage  *) *) Hinweis: Auf den Abdruck der Anlage wurde verzichtet. Ein Exemplar mit Anlage erhielten jeweils die Fraktionen und die Land- tagsbibliothek. Des Weiteren kann sie im Landtagsinformationssystem unter der oben genannten Drucksachennum- mer sowie im Internet unter der Adresse: www.parldok.thueringen.de eingesehen werden. 2
2

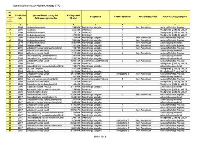
Gesamtübersicht zur Kleinen Anfrage 1772 lfd. Nr.      Haushalts-        genaue Bezeichnung des         Auftragswert (automatis                                                                          Vergabeart        Anzahl der Bieter   Ausschlussgründe     Grund Auftragsvergabe jahr             Auftragsgegenstandes           [Brutto] che Ausfüllg.) 1           2     3                                           4                     5                   6                     7                        8 1        2006     Verbrauchsmaterial                         754,00 €  Freihändige Vergabe              3          kein Ausschluss    wirtschaftlichstes Angebot 2        2006     Reparatur                                  246,38 €  Direktkauf                       1                             Wertgrenze § 3 Nr.4p VOL/A 3        2006     Verbrauchsmaterial                           76,17 € Direktkauf                       1                             Wertgrenze § 3 Nr.4p VOL/A 4        2006     Verbrauchsmaterial                         429,20 €  Direktkauf                       1                             Wertgrenze § 3 Nr.4p VOL/A 5        2006     Verbrauchsmaterial                         758,03 €  Freihändige Vergabe              4          kein Ausschluss    wirtschaftlichstes Angebot 6        2009     Verbrauchsmaterial                         768,53 €  Freihändige Vergabe              3          kein Ausschluss    wirtschaftlichstes Angebot 7        2010     Verbrauchsmaterial                       1.025,09 €  Freihändige Vergabe              3          kein Ausschluss    Alleinstellungsmerkmal 8        2006     Notebook-Akku                              141,53 €  Freihändige Vergabe              3          kein Ausschluss    wirtschaftlichstes Angebot 9        2006     videotechnisches Verbrauchsmaterial        163,70 €  Freihändige Vergabe              3          kein Ausschluss    wirtschaftlichstes Angebot 10         2006     videotechnisches Gerät                   1.887,09 €  Freihändige Vergabe                                            Alleinstellungsmerkmal 11         2006     videotechnisches Gerät                     710,50 €  Freihändige Vergabe              4          kein Ausschluss    wirtschaftlichstes Angebot 12         2006     Instandsetzung Verkehrstechnik             301,04 €  Freihändige Vergabe                                            Alleinstellungsmerkmal 13         2006     Instandsetzung Verkehrstechnik             290,29 €  Freihändige Vergabe                                            Alleinstellungsmerkmal 14         2006     videotechnisches Gerät                   4.206,16 €  Beschränkte Ausschreibung        3          kein Ausschluss    wirtschaftlichstes Angebot 15         2006     Netzteil                                   165,40 €  Direktkauf                                                     Wertgrenze § 3 Nr.4p VOL/A 16         2006     Instandsetzung videotechnisches Gerät      193,37 €  Freihändige Vergabe                                            Alleinstellungsmerkmal 17         2006     LCD/TFT-Monitor                            487,20 €  Direktkauf                                                     Wertgrenze § 3 Nr.4p VOL/A 18         2006     videotechnisches Gerät                   1.828,83 €  Freihändige Vergabe                                            Dringlichkeit § 3 Nr.4f VOL/A 19         2006     videotechnisches Gerät                   3.615,02 €  Freihändige Vergabe         mindestens 2    kein Ausschluss    wirtschaftlichstes Angebot 20         2006     Digitalkassette                            101,50 €  Freihändige Vergabe                                            Alleinstellungsmerkmal 21         2006     foto- und videotechnisches Gerät         1.450,00 €  Beschränkte Ausschreibung        4          kein Ausschluss    wirtschaftlichstes Angebot 22         2006     videotechnisches Gerät                     173,36 €  Direktkauf                                                     Wertgrenze § 3 Nr.4p VOL/A 23         2006     fototechnische Verbrauchsmittel              43,40 € Direktkauf                                                     Wertgrenze § 3 Nr.4p VOL/A 24         2006     Videoarbeitsplatz ProViDa               12.412,00 €  Freihändige Vergabe              1                             Alleinstellungsmerkmal 25         2006     kriminaltechnische Verbrauchsmittel        254,83 €  Direktkauf                                                     Wertgrenze § 3 Nr.4p VOL/A 26         2006     fototechnisches Gerät                      526,34 €  Direktkauf                                                     Wertgrenze § 3 Nr.4p VOL/A 27         2006     fototechnisches Gerät                    4.269,99 €  Freihändige Vergabe              2          kein Ausschluss    wirtschaftlichstes Angebot 28         2007     Instandsetzung Verkehrstechnik           1.056,24 €  Freihändige Vergabe                                            Alleinstellungsmerkmal 29         2007     videotechnisches Verbrauchsmaterial        257,04 €  Freihändige Vergabe                                            Alleinstellungsmerkmal 30         2007     videotechnisches Verbrauchsmaterial        856,80 €  Freihändige Vergabe                                            Alleinstellungsmerkmal 31         2007     videotechnisches Gerät                   4.736,20 €  Freihändige Vergabe              1                             wirtschaftlichstes Angebot 32         2007     videotechnisches Gerät                   2.532,99 €  Freihändige Vergabe              1                             wirtschaftlichstes Angebot 33         2007     videotechnisches Gerät                   2.026,57 €  Freihändige Vergabe              3          kein Ausschluss    wirtschaftlichstes Angebot 34         2007     Instandsetzung videotechnisches Gerät      238,00 €  Freihändige Vergabe                                            Alleinstellungsmerkmal 35         2007     Instandsetzung videotechnisches Gerät        71,40 € Freihändige Vergabe                                            Alleinstellungsmerkmal 36         2007     Instandsetzung videotechnisches Gerät      209,44 €  Direktkauf                                                     Wertgrenze § 3 Nr.4p VOL/A 37         2007     fototechnisches Gerät                      874,65 €  Freihändige Vergabe         mindestens 2    kein Ausschluss    wirtschaftlichstes Angebot 38         2007     videotechnisches Gerät                   2.356,20 €  Freihändige Vergabe         mindestens 2    kein Ausschluss    wirtschaftlichstes Angebot 39         2007     videotechnisches Verbrauchsmaterial        750,00 €  Freihändige Vergabe         mindestens 2    kein Ausschluss    wirtschaftlichstes Angebot 40         2007     videotechnisches Gerät                   1.801,36 €  Freihändige Vergabe         mindestens 2    kein Ausschluss    wirtschaftlichstes Angebot 41         2007     videotechnisches Gerät                   2.154,00 €  Freihändige Vergabe         mindestens 2    kein Ausschluss    wirtschaftlichstes Angebot Seite 1 von 3
3

Gesamtübersicht zur Kleinen Anfrage 1772 lfd. Nr.      Haushalts-         genaue Bezeichnung des        Auftragswert (automatis                                                                          Vergabeart             Anzahl der Bieter         Ausschlussgründe     Grund Auftragsvergabe jahr             Auftragsgegenstandes           [Brutto] che Ausfüllg.) 1           2     3                                           4                     5                          6                         7                        8 42         2007     videotechnisches Gerät                   1.884,66 €  Freihändige Vergabe              mindestens 2          kein Ausschluss    wirtschaftlichstes Angebot 43         2007     mobile Lautsprecheranlage                2.165,80 €  Freihändige Vergabe                     3              kein Ausschluss    wirtschaftlichstes Angebot 44         2007     foto- und videotechnisches Gerät         3.712,80 €  Beschränkte Ausschreibung               5              kein Ausschluss    wirtschaftlichstes Angebot 45         2007     videotechnisches Gerät                   4.306,61 €  Freihändige Vergabe       4 Bieter zur Abgabe          kein Ausschluss    wirtschaftlichstes Angebot aufgefordert, 3 Bieter haben ein Angebot abgegeben. 46         2007     kriminaltechnische Verbrauchsmittel        967,95 €  Freihändige Vergabe                     4              kein Ausschluss    wirtschaftlichstes Angebot 47         2007     Instandsetzung videotechnisches Gerät      219,39 €  Freihändige Vergabe                                                       Alleinstellungsmerkmal 48         2007     fototechnische Verbrauchsmittel            161,81 €  Direktkauf                                                                Wertgrenze § 3 Nr.4p VOL/A 49         2007     Instandsetzung videotechnisches Gerät      148,75 €  Freihändige Vergabe                                                       Alleinstellungsmerkmal 50         2007     fototechnische Verbrauchsmittel            559,78 €  Direktkauf                                                                Wertgrenze § 3 Nr.4p VOL/A 51         2007     Instandsetzung videotechnisches Gerät      821,10 €  Freihändige Vergabe                                                       Alleinstellungsmerkmal 52         2008     Instandsetzung Verkehrstechnik           1.420,86 €  Freihändige Vergabe                                                       Alleinstellungsmerkmal 53         2008     videotechnisches Gerät                       62,65 € Freihändige Vergabe                                                       geringfügige Nachbestellung 54         2008     videotechnisches Gerät                     727,09 €  Freihändige Vergabe              mindestens 2          kein Ausschluss    wirtschaftlichstes Angebot 55         2008     videotechnisches Gerät                   3.157,07 €  Freihändige Vergabe              mindestens 2          kein Ausschluss    wirtschaftlichstes Angebot 56         2008     videotechnisches Gerät                     727,09 €  Freihändige Vergabe              mindestens 2          kein Ausschluss    wirtschaftlichstes Angebot 57         2008     videotechnisches Gerät                     727,09 €  Freihändige Vergabe              mindestens 2          kein Ausschluss    wirtschaftlichstes Angebot 58         2008     Software                                   350,00 €  Direktkauf                                                                Wertgrenze § 3 Nr.4p VOL/A 59         2008     fototechnisches Gerät                      157,00 €  Direktkauf                                                                Wertgrenze § 3 Nr.4p VOL/A 60         2008     Instandsetzung videotechnisches Gerät      467,67 €  Freihändige Vergabe                                                       Alleinstellungsmerkmal 61         2008     kriminaltechnische Verbrauchsmittel      1.209,94 €  Freihändige Vergabe                     3              kein Ausschluss    wirtschaftlichstes Angebot 62         2008     kriminaltechnische Verbrauchsmittel        502,63 €  Direktkauf                                                                Wertgrenze § 3 Nr.4p VOL/A 63         2008     foto- und videotechnisches Gerät         8.370,46 €  Freihändige Vergabe                    10              kein Ausschluss    wirtschaftlichstes Angebot 64         2008     kriminal-/videotechnisches Gerät         1.533,55 €  Freihändige Vergabe                                                       Alleinstellungsmerkmal 65         2008     kriminaltechnische Verbrauchsmittel      6.909,73 €  Freihändige Vergabe                     4              kein Ausschluss    wirtschaftlichstes Angebot 66         2008     Instandsetzung videotechnisches Gerät    2.307,91 €  Freihändige Vergabe                                                       Alleinstellungsmerkmal 67         2009     Instandsetzung Verkehrstechnik             704,84 €  Freihändige Vergabe                                                       Alleinstellungsmerkmal 68         2009     videotechnisches Gerät                   1.913,16 €  Freihändige Vergabe                     3              kein Ausschluss    wirtschaftlichstes Angebot 69         2009     Instandsetzung videotechnisches Gerät        71,40 € Freihändige Vergabe                                                       Alleinstellungsmerkmal 70         2009     Instandsetzung Verkehrstechnik             169,58 €  Freihändige Vergabe                                                       Alleinstellungsmerkmal 71         2009     digitale Aufzeichnungsanlage            14.564,81 €  Freihändige Vergabe                                                       Alleinstellungsmerkmal 72         2009     Batteriewechsel                            607,17 €  Freihändige Vergabe                                                       Alleinstellungsmerkmal 73         2009     videotechnisches Gerät                   1.928,30 €  Freihändige Vergabe                                                       Alleinstellungsmerkmal 74         2010     Instandsetzung videotechnisches Gerät      112,46 €  Freihändige Vergabe                                                       Alleinstellungsmerkmal 75         2010     Instandsetzung videotechnisches Gerät      463,62 €  Freihändige Vergabe                                                       Alleinstellungsmerkmal 76         2010     Instandsetzung videotechnisches Gerät      112,46 €  Freihändige Vergabe                                                       Alleinstellungsmerkmal 77         2010     videotechnisches Gerät                   2.333,59 €  Freihändige Vergabe                                                       Dringlichkeit §3 Abs. 5g VOL/A Seite 2 von 3
4

Gesamtübersicht zur Kleinen Anfrage 1772 lfd. Nr.      Haushalts-        genaue Bezeichnung des         Auftragswert (automatis                                                                           Vergabeart             Anzahl der Bieter         Ausschlussgründe         Grund Auftragsvergabe jahr             Auftragsgegenstandes           [Brutto] che Ausfüllg.) 1           2     3                                           4                      5                          6                          7                           8 78         2010     videotechnisches Gerät                   2.836,97 €  Freihändige Vergabe                                                            Dringlichkeit §3 Abs. 5g VOL/A 79         2010     videotechnisches Gerät                     699,72 €  Freihändige Vergabe               mindestens 2         kein Ausschluss         wirtschaftlichstes Angebot 80         2010     videotechnisches Gerät                     189,51 €  Direktkauf                                                                     Wertgrenze § 3 Abs. 6 VOL/A 81         2010     LCD/TFT-Monitor                            196,71 €  Direktkauf                                                                     Wertgrenze § 3 Abs. 6 VOL/A 82         2010     UMT-Router mit Einbau                    1.782,62 €  Freihändige Vergabe                                                            Alleinstellungsmerkmal 83         2010     Instandsetzung Videoanlage                 973,60 €  Freihändige Vergabe                                                            Alleinstellungsmerkmal 84         2010     Auswerteanlage ProViDa                  14.408,04 €  Freihändige Vergabe                     4              kein Ausschluss         wirtschaftlichstes Angebot 85         2010     Medientechnik                           86.421,43 €  Öffentliche Ausschreibung  15 Bieter haben die         kein Ausschluss         wirtschaftlichstes Angebot Verdingungsunterlagen abgefordert, 6 Bieter haben ein Angebot abgegeben. 86         2010     Auswerteanlage ProViDa                  15.239,85 € Freihändige Vergabe                      3              kein Ausschluss         wirtschaftlichstes Angebot 87         2010     Ausstattung Hörsaalgebäude             115.383,95 € Freihändige Vergabe                      1              Die vorangegangene      wirtschaftlichstes Angebot öffentliche Aus- schreibung wurde nach §17 Abs. 1 lit. a VOL/A aufgehoben, da kein Angebot eingegangen ist. 88         2010     kriminaltechnische Verbrauchsmittel      1.015,76 €  Freihändige Vergabe                      3             kein Ausschluss         Alleinstellungsmerkmal 89         2010     videotechnisches Gerät                     411,32 €  Direktkauf                                                                     Wertgrenze §3 Abs. 6 VOL/A 90         2010     videotechnisches Gerät                     175,42 €  Direktkauf                                                                     Wertgrenze §3 Abs. 6 VOL/A 91         2010     Videokoffer für Tauchroborter            4.571,50 €  Freihändige Vergabe                     1                                      Alleinstellungsmerkmal 92         2010     videotechnisches Gerät                     267,84 €  Direktkauf                                                                     Wertgrenze § 3 Abs. 6 VOL/A 93         2011     Instandsetzung videotechnisches Gerät      426,42 €  Freihändige Vergabe                                                            Alleinstellungsmerkmal 94         2011     Instandsetzung videotechnisches Gerät      416,50 €  Freihändige Vergabe                                                            Alleinstellungsmerkmal 95         2011     Instandsetzung videotechnisches Gerät      619,99 €  Freihändige Vergabe                                                            Alleinstellungsmerkmal 96         2011     videotechnisches Gerät                   1.203,05 €  Freihändige Vergabe                     4              kein Ausschluss         wirtschaftlichstes Angebot 97         2011     Instandhaltung BeDo-KW Videotechnik      1.929,59 €  Freihändige Vergabe                     1                                      Alleinstellungsmerkmal 98         2011     Instandhaltung BeDo-KW Videotechnik      3.576,26 €  Freihändige Vergabe                     1                                      Alleinstellungsmerkmal 99         2011     Instandhaltung BeDo-KW Videotechnik      3.861,24 €  Freihändige Vergabe                     1                                      Alleinstellungsmerkmal 100         2011     Software                                     93,41 € Direktkauf                                                                     Wertgrenze § 3 Abs. 6 VOL/A Seite 3 von 3
5