Gewährung von Zinsbeihilfen zur Stundung von einmaligen Beiträgen nach dem Thüringer Kommunalabgabengesetz auf Grundlage der sogenannten Zinsbeihilferichtlinie

/ 21
PDF herunterladen
Thüringer LandTag 5. Wahlperiode Drucksache 5/       3091 20.07.2011 Kleine Anfrage des Abgeordneten Kuschel (DIE LINKE) und Antwort des Thüringer Innenministeriums Gewährung von Zinsbeihilfen zur Stundung von einmaligen Beiträgen nach dem Thüringer Kommunalabgabengesetz auf Grundlage der sogenannten Zinsbeihilfe- richtlinie Die Kleine Anfrage 1552 vom 1. Juni 2011 hat folgenden Wortlaut: Nach der Richtlinie über die Gewährung von Zinsbeihilfen zur Finanzierung von Beiträgen nach § 7 des Thüringer Kommunalabgabengesetzes (ThürKAG) und von Erschließungsbeiträgen nach dem Baugesetz- buch (BauGB) - veröffentlicht im Thüringer Staatsanzeiger Nr. 49/2010, S. 1635 ff. - gewährt der Freistaat Thüringen Zinsbeihilfen zur Erleichterung der Erhebung von Beiträgen, so dass deren Stundung zinsfrei möglich ist. Zuwendungsempfänger können Gemeinden oder Zweckverbände als Beitragsgläubiger sein. Ich frage die Landesregierung: 1. Wie viele Anträge auf Gewährung von Zinsbeihilfen wurden im Rahmen der Stundung von Straßenaus- baubeiträgen in welcher Höhe im Jahr 2010 sowie im Jahr 2011 bis dato gestellt (bitte Einzelaufstellung nach Gemeinden)? 2. Wie viele der in Frage 1 nachgefragten Anträge wurden in welcher Höhe bewilligt und wie viele mit wel- cher Begründung abgelehnt (bitte Einzelaufstellung nach Gemeinden)? 3. Wie viele Anträge auf Gewährung von Zinsbeihilfen wurden im Rahmen der Stundung von Wasser- bzw. Abwasserbeiträgen in welcher Höhe im Jahr 2010 sowie im Jahr 2011 bis dato gestellt (bitte Einzelauf- stellung nach Aufgabenträgern der Abwasserentsorgung)? 4. Wie viele der in Frage 3 nachgefragten Anträge wurden in welcher Höhe bewilligt und wie viele mit wel- cher Begründung abgelehnt (bitte Einzelaufstellung nach Aufgabenträgern der Abwasserentsorgung)? 5. Sind der Landesregierung Fälle bekannt, in denen Gemeinden oder Zweckverbände als Beitragsgläubi- ger den beitragspflichtigen Bürgern die Zinslosigkeit der Stundung verwehrten, wenn ja, worin liegen die Ursachen und wie wird dies von Seiten der nachgefragten Gemeinden oder Zweckverbände begründet und wie wirkt die Landsregierung darauf hin, dass die oben genannte Zinsbeihilferichtlinie im Sinne der Bürger und damit zweckentsprechend angewandt wird? Das Thüringer Innenministerium hat die Kleine Anfrage namens der Landesregierung mit Schreiben vom 18. Juli 2011 wie folgt beantwortet: Zu 1.: Die geforderten Einzelaufstellungen wurden durch die Bewilligungsbehörde zusammengestellt. Für das Jahr 2010 wird auf die Anlage 1 verwiesen. Für das Jahr 2011 wird zum Stichtag 8. Juni 2011 auf die An- lage 2 verwiesen. Druck: Thüringer Landtag, 4. August 2011
1

Drucksache 5/       3091                                        Thüringer Landtag - 5. Wahlperiode Zu 2.: Für das Jahr 2010 wird auf die Angaben in Anlage 1 verwiesen. Für das Jahr 2011 wird zum Stichtag 8. Juni 2011 auf die Angaben in Anlage 2 verwiesen. Zu 3.: Nach § 7 Abs. 2 Thüringer Kommunalabgabengesetz erheben die Aufgabenträger der Wasserversorgung seit 1. Januar 2005 für Einrichtungen der Wasserversorgung keine Beiträge mehr. Für den Bereich der Abwasserentsorgung wird für das Jahr 2010 auf die Anlage 3 und für das Jahr 2011 zum Stichtag 8. Juni 2011 auf die Anlage 4 verwiesen. Zu 4.: Für das Jahr 2010 wird auf die Angaben in der Anlage 3 und für das Jahr 2011 zum Stichtag 8. Juni 2011 auf die Angaben in der Anlage 4 verwiesen. Zu 5.: Die Entscheidung über die Stundung der Beiträge nach § 7 b Thüringer Kommunalabgabengesetz obliegt allein den Gemeinden und Aufgabenträgern der Abwasserentsorgung im Rahmen ihrer kommunalen Selbst- verwaltung. Die Zinsbeihilfen des Landes nach der "Richtlinie über die Gewährung von Zinsbeihilfen zur Finanzierung von Beiträgen nach § 7 Thüringer Kommunalabgabengesetz (ThürKAG) und von Erschließungsbeiträgen nach dem Baugesetzbuch (BauGB)", die den Aufgabenträgern der Abwasserentsorgung oder den Gemein- den gewährt werden, bewirken, dass die Stundungszinsen ersetzt werden. Das Landesverwaltungsamt als zuständige Bewilligungsbehörde beschäftigt sich nach den Bestimmungen der o. g. Zinsbeihilferichtlinie le- diglich mit den Fällen, in denen Beiträge gestundet werden und Zinsbeihilfen in Anspruch genommen wer- den sollen und prüft im Rahmen der Antragstellung durch die Gemeinden und Aufgabenträger der Abwas- serentsorgung, ob die Voraussetzungen für die Gewährung der Zinsbeihilfen in den Einzelfällen vorliegen. Im Übrigen belegen die Antragszahlen aus den Anlagen 1 bis 4, dass die Aufgabenträger der Abwasserent- sorgung und Gemeinden das Zinsbeihilfeprogramm im Sinne der Beitragspflichtigen nutzen. Geibert Minister Anlagen  *) *) Hinweis: Auf den Abdruck der Anlagen wurde verzichtet. Ein Exemplar mit Anlagen erhielten jeweils die Fraktionen und die Landtagsbibliothek. Des Weiteren können sie im Landtagsinformationssystem unter der oben genannten Drucksa- chennummer sowie im Internet unter der Adresse: www.parldok.thueringen.de eingesehen werden. 2
2

Kleine Anfrage 1552 des Abgeordneten Kuschel (DIE LINKE)                                                                                      Anlage 1 Zinsbeihilfeanträge für Straßenausbaubeiträge 2010 beantragte Summe       bewilligte Summe       abgelehnte Summe Antragsteller                                                                                  Gründe für die Ablehnung / Bemerkungen (Angaben in € inklusive Verpflichtungsermächtigungen) Altenburg                      867,50                 867,50 Andisleben                   1.028,75               1.028,75 Arnstadt                     2.480,00                    0,00               2.480,00 Zuwendungsvoraussetzung nicht erfüllt Auleben                      1.560,00               1.560,00 Auleben                      1.009,00               1.009,00 Bad Colberg-Heldburg           517,00                 517,00 Bad Colberg-Heldburg         2.109,00               2.109,00 Bad Liebenstein                 57,00                  57,00 Bad Salzungen                3.936,00               3.936,00 Berka v. d. Hainich            780,75                 780,75 Birx                           299,00                 316,25                         Berechnungsfehler (Erhöhung) Blankenburg                    120,00                 117,00                    3,00 Berechnungsfehler Blankenburg                    924,00                 924,00 Bleicherode                    648,00                 244,75                  403,25 Zeiträume vor Stundung beantragt Böhlen                         138,93                 128,25                   10,68 Berechnungsfehler Breitungen                     530,25                 530,25 Breitungen                      77,75                  77,75 Bürgel                         973,00                 701,50                  271,50 Zuwendungsvoraussetzung nicht erfüllt Bürgel                       1.034,25                 708,25                  326,00 Zuwendungsvoraussetzung nicht erfüllt Crossen                        131,00                 131,00 Dornfeld                     3.913,00               3.879,50                   33,50 Berechnungsfehler Dünwald                        451,94                 449,25                    2,69 Berechnungsfehler Eichenberg                     212,50                 212,50 Eisenach                       331,00                 331,00 Eisenberg                      143,00                 143,00 Eisenberg                      540,50                 540,50 Eisenberg                      415,25                 415,25 Erfurt                       1.200,00                                                Antrag zurückgezogen Erfurt                       8.416,50               8.416,50 Erfurt                       3.472,05               3.414,25                   57,80 Berechnungsfehler Erfurt                       4.788,25               4.776,75                   11,50 Berechnungsfehler Erfurt                       6.978,75               6.978,75 Erfurt                       2.265,00               2.265,00 Erfurt                       7.282,50               7.282,50 Erfurt                      15.832,50              15.832,50 Erfurt                      17.893,25              17.893,25 1/6
3

Kleine Anfrage 1552 des Abgeordneten Kuschel (DIE LINKE)                                                                                                Anlage 1 Zinsbeihilfeanträge für Straßenausbaubeiträge 2010 beantragte Summe       bewilligte Summe       abgelehnte Summe Antragsteller                                                                                  Gründe für die Ablehnung / Bemerkungen (Angaben in € inklusive Verpflichtungsermächtigungen) Erfurt                       4.255,00               4.255,00 Erfurt                       5.281,00               5.281,00 Fambach                      2.562,75               2.562,75 Fischbach                       41,00                  41,00 Fischbach                      245,00                 245,00 Fischbach                      414,00                 414,00 Gebesee                        319,75                 319,75 Gebesee                         57,75                  57,75 Gehren                         333,00                 333,00 Georgenthal                    900,00                 900,00 Gera                         1.314,00               1.314,00 Gera                           317,33                 317,33 Gera                           447,25                 447,25 Gerstenberg                  3.585,50                    0,00               3.585,50 Zuwendungsvoraussetzung nicht gegeben Gerstungen                   1.142,00               1.072,50                   69,50 Berechnungsfehler Gotha                          132,00                 132,00 Grabfeld                       465,00                 451,50                   13,50 Berechnungsfehler Greiz                          190,00                                                Antrag zurückgezogen Haina                          215,00                 215,00 Haina                        2.111,25               1.825,25                  286,00 Berechnungszeitraum größer 5 Jahre Heldrungen                   5.654,94               5.665,75                         Berechnungsfehler (Erhöhung) Hellingen                      138,00                 138,00 Hermsdorf                    2.864,00                 377,25                2.486,75 Mindestzeitraum nicht gegeben bzw. Zuwendungsvoraussetzung nicht erfüllt Hermsdorf                      555,25                 555,25 Hermsdorf                    1.212,75                 633,00                  579,75 Zeiträume vor Stundung beantragt Hermsdorf                    1.500,25               1.452,50                   47,75 Zeiträume vor Stundung beantragt Hermsdorf                      290,25                 255,50                   34,75 Zeiträume vor Stundung beantragt Hildburghausen                 618,25                 618,25 Holungen                       909,00                 909,00 Holungen                     1.289,15               1.289,15 Holungen                     1.224,70               1.224,70 Hörselberg-Hainich          31.054,25              31.148,00                         Berechnungsfehler (Erhöhung) Hörselberg-Hainich           2.734,75               2.734,75 Hörselberg-Hainich           1.378,50               1.378,50 Hörselberg-Hainich           1.309,75               1.309,75 Ichstedt                       158,00                 158,00 2/6
4

Kleine Anfrage 1552 des Abgeordneten Kuschel (DIE LINKE)                                                                                      Anlage 1 Zinsbeihilfeanträge für Straßenausbaubeiträge 2010 beantragte Summe       bewilligte Summe       abgelehnte Summe Antragsteller                                                                                 Gründe für die Ablehnung / Bemerkungen (Angaben in € inklusive Verpflichtungsermächtigungen) Ilfeld                         184,12                  63,00                  121,12 Änderungsantrag Ilmenau                        895,50                 895,50 Ilmenau                      1.947,25               1.947,25 Jena                         3.507,00               3.514,75                         Berechnungsfehler (Erhöhung) Kaltenlengsfeld                 41,00                  41,00 Kaltenlengsfeld                 18,00                  18,00 Kaltenlengsfeld                 42,00                  42,00 Kamsdorf                       140,00                 140,00 Kamsdorf                       121,00                 121,00 Kamsdorf                       884,00                 884,00 Kamsdorf                       269,00                 269,00 Kamsdorf                       316,00                 316,00 Kamsdorf                       506,00                 506,00 Kehmstedt                      158,00                 158,00 Kehmstedt                      356,00                 356,00 Kehmstedt                      191,00                 191,00 Kehmstedt                    1.705,00               1.705,00 Kehmstedt                      409,00                 409,00 Kehmstedt                      248,00                 248,00 Kleinfurra                   2.096,27               2.101,25                         Berechnungsfehler (Erhöhung) Königsee                       599,00                 599,00 Kraja                          466,00                 306,25                  159,75 Zeiträume vor Stundung beantragt Langewiesen                  1.099,75                  63,25                1.036,50 Berechnungsfehler Lauscha                      1.518,00               1.518,00 Lauscha                        584,00                 584,00 Lauscha                     16.884,25              16.884,25 Lauscha                      1.799,50               1.748,00                   51,50 Zeiträume vor Stundung beantragt Lehesten                       928,50                 928,50 Lehesten                       175,50                 175,50 Leinefelde                     843,75                 843,75 Leinefelde                     823,00                    0,00                 823,00 Zuwendungsvoraussetzung nicht gegeben Leinefelde                   1.805,25               1.805,25 Leinefelde                   1.968,00               1.968,00 Leinefelde                     203,50                 203,50 Leinefelde                     111,25                 111,25 Leinefelde                     659,25                 659,25 3/6
5

Kleine Anfrage 1552 des Abgeordneten Kuschel (DIE LINKE)                                                                                                 Anlage 1 Zinsbeihilfeanträge für Straßenausbaubeiträge 2010 beantragte Summe       bewilligte Summe       abgelehnte Summe Antragsteller                                                                                   Gründe für die Ablehnung / Bemerkungen (Angaben in € inklusive Verpflichtungsermächtigungen) Leinefelde                     413,25                 413,25 Leinefelde                     248,00                 248,00 Marksuhl                        82,50                  82,50 Meiningen                       43,50                  27,50                   16,00 Zuwendungsvoraussetzung nicht erfüllt Meiningen                      212,25                 187,25                   25,00 Zuwendungsvoraussetzung nicht erfüllt Meiningen                      663,75                 559,00                  104,75 Zeiträume vor Stundung beantragt Mühlhausen                     395,25                 392,25                    3,00 Berechnungsfehler Mühlhausen                     499,25                 499,25 Neubrunn                     2.097,50               2.097,50 Neubrunn                     1.528,00               1.528,00 Neustadt an der Orla           206,50                 206,50 Neustadt an der Orla            85,00                  85,00 Neustadt an der Orla           504,00                 504,00 Neustadt an der Orla           152,00                 152,00 Nohra                          485,87                 483,25                    2,62 Berechnungsfehler Nordhausen                     119,00                 119,00 Ohrdruf                      3.454,00               2.646,50                  807,50 Berechnungsfehler Zuwendungsvoraussetzung nicht erfüllt bzw. Berechnungszeitraum größer 5 Ohrdruf                     14.092,25              10.954,75                3.137,50 Jahre Rosa                         2.987,25               2.987,25 Rosa                           248,00                 248,00 Rudolstadt                   1.219,00                 768,50                  450,50 Zeiträume vor Stundung beantragt Rudolstadt                     120,00                 120,00 Rudolstadt                     540,50                 540,50 Rudolstadt                      33,00                  33,00 Rudolstadt                      87,00                  87,00 Ruhla                        7.847,34               7.842,25                    5,09 Berechnungsfehler Saalfeld                        79,00                  79,00 Saalfeld                       108,00                 108,00 Saalfeld                        13,00                  13,00 Saalfeld                       108,00                 118,00                         Berechnungsfehler (Erhöhung) Saalfeld                       356,00                 356,00 Saalfeld                        91,00                  91,00 Saalfeld                        99,50                  99,50 Saalfeld                        57,00                  73,75                         Berechnungsfehler (Erhöhung) Saalfeld                        50,00                  29,25                   20,75 Zeiträume vor Stundung beantragt 4/6
6

Kleine Anfrage 1552 des Abgeordneten Kuschel (DIE LINKE)                                                                                    Anlage 1 Zinsbeihilfeanträge für Straßenausbaubeiträge 2010 beantragte Summe       bewilligte Summe       abgelehnte Summe Antragsteller                                                                                 Gründe für die Ablehnung / Bemerkungen (Angaben in € inklusive Verpflichtungsermächtigungen) Saalfeld                       726,00                 726,00 Saalfeld                        98,00                  98,00 Saalfeld                        52,00                  57,50                        Berechnungsfehler (Erhöhung) Saalfeld                       336,00                 336,00 Saalfeld                        20,00                  20,00 Saalfeld                        24,00                    0,00                 24,00 Zuwendungsvoraussetzung nicht erfüllt Saalfeld                        28,00                  28,00 Saalfeld                       150,00                 150,00 Saalfeld                     3.656,00               3.588,75                  67,25 Berechnungsfehler Saalfeld                       470,00                 470,00 Saalfeld                       134,00                 134,00 Saalfeld                        98,00                  98,00 Saalfeld                        85,50                  85,50 Saalfeld                        59,00                  59,00 Saalfeld                       427,75                 427,75 Saalfeld                       702,00                 702,00 Saalfeld                        44,00                  44,00 Saalfeld                       137,00                 137,00 Saalfeld                        22,00                  22,00 Saalfeld                       101,00                 101,00 Schmalkalden                 5.387,25               5.229,00                 158,25 Dopplung bzw. Zeiträume vor Stundung beantragt Schmalkalden                 6.672,00               6.814,00                        Berechnungsfehler (Erhöhung) Sonneberg                    1.000,25               1.000,25 Sonneberg                    1.179,00               1.179,00 Sonneberg                    1.196,00               1.196,00 Sonneberg                    1.005,00               1.005,00 Springstille                 1.628,50               1.541,75                  86,75 Berechnungszeitraum größer 5 Jahre Springstille                   163,00                 163,00 Stadtilm                     5.789,55              11.744,75                        Berechnungsfehler (Erhöhung) Stadtroda                      612,00                 612,00 Stadtroda                      150,00                 150,00 Stadtroda                      240,00                 240,00 Stadtroda                      840,00                 840,00 Stadtroda                      297,00                 297,00 Stadtroda                      137,00                 137,00 Stadtroda                      392,00                 387,50                   4,50 Berechnungsfehler 5/6
7

Kleine Anfrage 1552 des Abgeordneten Kuschel (DIE LINKE)                                                                                     Anlage 1 Zinsbeihilfeanträge für Straßenausbaubeiträge 2010 beantragte Summe       bewilligte Summe       abgelehnte Summe Antragsteller                                                                                 Gründe für die Ablehnung / Bemerkungen (Angaben in € inklusive Verpflichtungsermächtigungen) Stadtroda                      383,00                 381,25                   1,75 Berechnungsfehler Stadtroda                      191,00                 186,00                   5,00 Berechnungsfehler Stadtroda                      215,00                 215,00 Steinach                        30,00                  30,00 Steinbach Hallenberg         4.160,25               3.749,25                 411,00 Berechnungszeitraum größer 5 Jahre Steinbach Hallenberg           275,75                 275,75 Steinbach Hallenberg            94,50                  94,50 Steinheid                       94,00                  94,00 Straufhain                     186,00                 186,00 Suhl                         1.935,00               1.935,00 Suhl                           187,00                 187,00 Unterbreizbach                 938,00                 915,00                  23,00 Berechnungsfehler Vachdorf                       385,00                 385,00 Viernau                         72,25                  72,25 Viernau                      5.735,75               5.566,50                 169,25 Zuwendungsvoraussetzung nicht erfüllt Viernau                      4.755,75               4.650,00                 105,75 Mindestzeitraum nicht gegeben Viernau                      5.762,25               5.387,00                 375,25 keine begründenden Unterlagen Walpernhain                    752,32                 560,50                 191,82 Zeiträume vor Stundung beantragt bzw. größer 5 Jahre Walschleben                     83,50                  83,50 Werther                        555,00                 555,00 Wiehe                          454,00                 456,00                        Berechnungsfehler (Erhöhung) Wipperdorf                   5.317,30               5.332,50                        Berechnungsfehler (Erhöhung) Wipperdorf                   2.055,85               2.048,00                   7,85 Berechnungsfehler Wipperdorf                   1.642,77               1.654,00                        Berechnungsfehler (Erhöhung) Wolfsburg-Unkeroda             533,75                 533,75 Wolfsburg-Unkeroda             473,00                 473,00 Wutha-Farnroda              13.106,00              12.854,75                 251,25 Berechnungszeitraum größer 5 Jahre Zadelsdorf                     202,00                                               Antrag zurückgezogen Zella-Mehlis                   110,25                 110,25 6/6
8

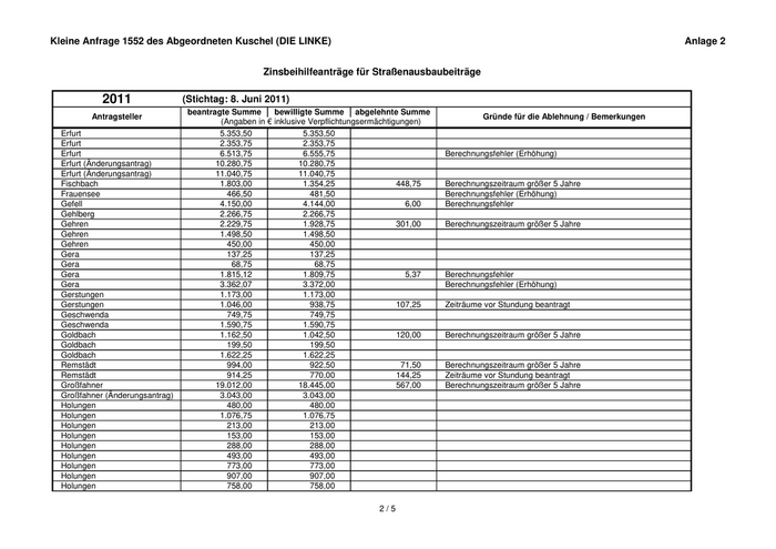
Kleine Anfrage 1552 des Abgeordneten Kuschel (DIE LINKE)                                                                                  Anlage 2 Zinsbeihilfeanträge für Straßenausbaubeiträge 2011          (Stichtag: 8. Juni 2011) beantragte Summe      bewilligte Summe abgelehnte Summe Antragsteller                                                                            Gründe für die Ablehnung / Bemerkungen (Angaben in € inklusive Verpflichtungsermächtigungen) Altenberga                           27,75                 27,50                   0,25 Berechnungsfehler Altenburg                           895,00                895,00 Altenburg                           888,00                888,00 Andisleben                        3.419,00              3.419,00 Blankenhain                         663,00                540,50                 122,50 Säumniszuschläge sind nicht förderfähig Bad Liebenstein                      61,00                 61,00 Bad Liebenstein                       9,25                  0,00                   9,25 Stundungszinsen unter 10 € Bad Tennstedt                       806,62                806,62 Berka v.d. Hainich                  254,25                254,25 Blankenhain                         368,50                368,50 Blankenhain                         294,00                294,00 Blankenhain                         135,25                135,25 Blankenhain                         669,00                669,00 Blankenhain                         151,25                 66,50                  84,75 Säumniszuschläge sind nicht förderfähig Blankenhain                         292,50                292,50 Blankenhain                          79,25                 79,25 Blankenhain                         380,25                370,50                   9,75 Säumniszuschläge sind nicht förderfähig Blankenhain                       1.282,50                922,50                 360,00 Säumniszuschläge sind nicht förderfähig Blankenhain                         582,00                582,00 Blankenhain                         271,50                139,50                 132,00 Säumniszuschläge sind nicht förderfähig Blankenhain                         802,50                802,50 Blankenhain                       1.027,50              1.027,50 Blankenhain                         855,50                855,50 Blankenhain                         132,00                132,00 Blankenhain                       1.567,50              1.567,00                   0,50 Berechnungsfehler Blankenhain                         422,50                422,50 Blankenhain                       1.215,00              1.215,00 Blankenhain                       2.040,00              2.040,00 Blankenhain                         110,50                 68,25                  42,25 Säumniszuschläge sind nicht förderfähig Bleicherode                       1.498,00                416,25               1.081,75 Zeiträume vor Stundung beantragt Bretleben                           991,92                976,75                  15,17 Berechnungsfehler Bürgel                              692,75                691,75                   1,00 Berechnungsfehler Dünwald                              53,27                 51,25                   2,02 Berechnungsfehler Eisenberg                            62,00                 62,00 Ellrich                          13.418,50             13.418,50 Ellrich                             285,50                285,50 1/5
9

Kleine Anfrage 1552 des Abgeordneten Kuschel (DIE LINKE)                                                                                      Anlage 2 Zinsbeihilfeanträge für Straßenausbaubeiträge 2011              (Stichtag: 8. Juni 2011) beantragte Summe      bewilligte Summe abgelehnte Summe Antragsteller                                                                               Gründe für die Ablehnung / Bemerkungen (Angaben in € inklusive Verpflichtungsermächtigungen) Erfurt                                5.353,50              5.353,50 Erfurt                                2.353,75              2.353,75 Erfurt                                6.513,75              6.555,75                        Berechnungsfehler (Erhöhung) Erfurt (Änderungsantrag)             10.280,75             10.280,75 Erfurt (Änderungsantrag)             11.040,75             11.040,75 Fischbach                             1.803,00              1.354,25                 448,75 Berechnungszeitraum größer 5 Jahre Frauensee                               466,50                481,50                        Berechnungsfehler (Erhöhung) Gefell                                4.150,00              4.144,00                   6,00 Berechnungsfehler Gehlberg                              2.266,75              2.266,75 Gehren                                2.229,75              1.928,75                 301,00 Berechnungszeitraum größer 5 Jahre Gehren                                1.498,50              1.498,50 Gehren                                  450,00                450,00 Gera                                    137,25                137,25 Gera                                     68,75                 68,75 Gera                                  1.815,12              1.809,75                   5,37 Berechnungsfehler Gera                                  3.362,07              3.372,00                        Berechnungsfehler (Erhöhung) Gerstungen                            1.173,00              1.173,00 Gerstungen                            1.046,00                938,75                 107,25 Zeiträume vor Stundung beantragt Geschwenda                              749,75                749,75 Geschwenda                            1.590,75              1.590,75 Goldbach                              1.162,50              1.042,50                 120,00 Berechnungszeitraum größer 5 Jahre Goldbach                                199,50                199,50 Goldbach                              1.622,25              1.622,25 Remstädt                                994,00                922,50                  71,50 Berechnungszeitraum größer 5 Jahre Remstädt                                914,25                770,00                 144,25 Zeiträume vor Stundung beantragt Großfahner                           19.012,00             18.445,00                 567,00 Berechnungszeitraum größer 5 Jahre Großfahner (Änderungsantrag)          3.043,00              3.043,00 Holungen                                480,00                480,00 Holungen                              1.076,75              1.076,75 Holungen                                213,00                213,00 Holungen                                153,00                153,00 Holungen                                288,00                288,00 Holungen                                493,00                493,00 Holungen                                773,00                773,00 Holungen                                907,00                907,00 Holungen                                758,00                758,00 2/5
10

Zur nächsten Seite