Verwendung der GVFG-Mittel

/ 23
PDF herunterladen
Thüringer LandTag 5. Wahlperiode Drucksache 5/      4341 20.04.2012 Kleine Anfrage der Abgeordneten Schubert (BÜNDNIS 90/DIE GRÜNEN) und Antwort des Thüringer Ministeriums für Bau, Landesentwicklung und Verkehr Verwendung der GVFG-Mittel Die Kleine Anfrage 2194 vom 1. März 2012 hat folgenden Wortlaut: Ehemalige Mittel des Gesetzes über Finanzhilfe des Bundes zur Verbesserung der Verkehrsverhältnisse der Gemeinden (Gemeindeverkehrsfinanzierungsgesetz - GVFG) werden vom Bund nach dem Gesetz zur Ent- flechtung von Gemeinschaftsaufgaben und Finanzhilfen (Entflechtungsgesetz - EntflechtG) weiterhin an die Länder ausgegeben. Thüringen erhält derzeit ca. 50 Millionen Euro pro Jahr über das Landesprogramm. Wei- tere Mittel erhalten die Länder für Großprojekte aus den Mitteln des ehemaligen GVFG-Bundesprogramms. Für den Bereich des öffentlichen Personennahverkehrs (ÖPNV) wurden in den letzten Jahren jeweils 25 Mil- lionen Euro investiert. Unter anderem auch in Busse. Laut Investitionsrichtlinie dürfen diese bis zu 25 Pro- zent außerhalb des Linienverkehrs genutzt werden. Ich frage die Landesregierung: 1. Für jeweils welche Vorhaben und in welcher Höhe wurden die Mittel des GVFG-Landesprogramms in den letzten zehn Jahren eingesetzt (bitte in Jahresscheiben und nach Landkreis/kreisfreier Stadt/Ge- meinde aufführen)? 2. Wie hoch war jeweils der Finanzierungsanteil von Land bzw. Kommune? 3. Wie hoch war das Volumen der insgesamt gestellten Anträge im Vergleich zu den Bewilligungen? 4. Nach welchem Prozedere verläuft das Verfahren vom Antrag bis zur Bewilligung der Mittel? 5. Welche Mittel des GVFG-Bundesprogramms wurden in den letzten zehn Jahren in Thüringen für welche Vorhaben eingesetzt? 6. Wie rechtfertigt die Landesregierung die Wettbewerbsverzerrung durch den erlaubten Anteil an Fahrten außerhalb des Linienverkehrs in Höhe von 25 Prozent, die mit geförderten Bussen durchgeführt werden können gegenüber nicht geförderten Bussen? 7. Gab es bezüglich der Busförderung in den letzten zehn Jahren Beschwerden oder Rechtsstreitigkeiten? Falls ja, welche Gründe hatten diese und wie wurden diese beigelegt? Druck: Thüringer Landtag, 30. April 2012
1

Drucksache 5/        4341                                        Thüringer Landtag - 5. Wahlperiode Das Thüringer Ministerium für Bau, Landesentwicklung und Verkehr hat die Kleine Anfrage namens der Landesregierung mit Schreiben vom 20. April 2012 wie folgt beantwortet: Zu 1.: Die entsprechenden Angaben hierzu sind in den als Anlage beigefügten Tabellen jahresweise ausgewiesen. Zu 2.: Der Finanzierungsanteil des Landes ergibt sich aus der jeweils gültigen ÖPNV-Investitionsrichtlinie. Nach aktueller Förderrichtlinie beträgt der Fördersatz bis zu 75 Prozent der zuwendungsfähigen Kosten. Im Aus- nahmefall kann die Förderung für kommunale Vorhaben, z. B. für den Bau von Verknüpfungspunkten und ÖPNV-Zugangsstellen bis zu 80 Prozent betragen. Für die Beschaffung neuer Straßenbahnen beträgt der Höchstfördersatz 70 Prozent; für die Beschaffung technischer Anlagen beträgt dieser 50 Prozent. Für Om- nibusse erfolgt die Förderung im Rahmen einer Festbetragsfinanzierung abhängig von der Fahrzeuggröße. Der Zuwendungsempfänger trägt die Differenz zu den zuwendungsfähigen Ausgaben als Eigenanteil so- wie die nicht zuwendungsfähigen Kosten. Finanzierungsanteile für Kommunen ergeben sich danach nur, sofern der Vorhabensträger eine Kommune ist. In der Mehrzahl der Fälle sind die Vorhabensträger Ver- kehrsunternehmen. Zu 3.: Die jährlich eingehenden Bedarfsanmeldungen übersteigen die verfügbaren Mittel erheblich. Nachfolgende Übersicht zeigt das Finanzvolumen der Anmeldungen im Vergleich zum Mittelabfluss: Jahr                  Bedarfsanmeldung              Abfluss Entflechtungsmittel in Millionen Euro                  in Millionen Euro 2012                            51,6                        16,9 Planung 2011                            48,0                        29,0 Ist 2010                            45,8                        26,7 Ist 2009                            46,0                        24,1 Ist Zu 4.: Gemäß den Bestimmungen des Thüringer Gesetzes über den öffentlichen Personennahverkehr (§ 6 Abs. 3 und § 7 ThürÖPNVG) erstellt das Thüringer Ministerium für Bau, Landesentwicklung und Verkehr auf Grund- lage der Nahverkehrsplanung der Aufgabenträger und unter Beachtung der verfügbaren Haushaltsmittel ein ÖPNV-Investitionsförderprogramm für das jeweilige Haushaltsjahr. Dazu ist entsprechend der Richtlinie zur Förderung von Investitionen im öffentlichen Personennahverkehr in Thüringen (ÖPNV-Investitionsrichtlinie) das geplante Investitionsvorhaben durch den Vorhabensträger frühzeitig zur Aufnahme in den Investitions- plan des zuständigen Aufgabenträgers anzumelden. Vorhaben, die den Schienenpersonennahverkehr be- treffen, sind zur Aufnahme in den Investitionsplan des Landes frühzeitig bei der Nahverkehrsservicegesell- schaft Thüringen mbH (NVS) anzumelden. Die Förderanmeldung muss bis spätestens zum 30. September des dem Vorhabensbeginn vorhergehenden Jahres auf einem entsprechenden Formular bei der zustän- digen Bewilligungsbehörde, dem Landesamt für Bau und Verkehr (TLBV), erfolgen. Der Anmeldung sind die im Formular genannten Anlagen und Erklärungen beizufügen. In der Anmeldung sind auch die konkre- te Zielstellung des Vorhabens und die beabsichtigte Wirkung für den ÖPNV zu erläutern. Nach bestätig- tem Investitionsprogramm und entsprechender Antragsprüfung werden die Mittel durch die Bewilligungs- behörde bereitgestellt. Zu 5.: Die Mittel des GVFG-Bundesprogramms in Höhe von 94,8 Millionen Euro wurden zweckgebunden für den Ausbau der Stadtbahnen in Erfurt, Jena und Gera verwendet. Zu 6.: In Ziffer 3, Anlage 1.2 der ÖPNV-Investitionsrichtlinie ist festgelegt, dass die geförderten Busse für die Dauer von acht Jahren mit einem Anteil von mindestens 75 Prozent an der Gesamtlaufzeit im Linienverkehr einge- setzt werden oder eine Laufleistung von mindestens 400 000 Kilometer im Linienverkehr erbringen müssen. Für Klein- und Midibusse reduzieren sich die Vorgaben auf mindestens sechs Jahre oder 300 000 Kilome- ter. Die Landesregierung hält die Regelung, wonach der anteilmäßige Einsatz der geförderten Fahrzeuge 2
2

Thüringer Landtag - 5. Wahlperiode                                                  Drucksache 5/        4341 außerhalb des Linienverkehrs unter Beachtung der o. g. Festlegung in der Förderrichtlinie zulässig ist, für gerechtfertigt. Sie dient dazu, insbesondere kleineren Verkehrsunternehmen die Möglichkeit zu eröffnen, die Fahrzeuge außerhalb der Einsatzzeit im Linienverkehr, d. h. vor allem am Wochenende, in geringem Umfang für andere Zwecke zu nutzen und somit zusätzliche Einnahmen zur Verbesserung der Wirtschaft- lichkeit des Unternehmens zu erwirtschaften. Die Zweckbindungsfrist von mindestens acht Jahren bzw. die geforderte Mindestlaufleistung von 400 000 Kilometer im Linienverkehr werden hierdurch nicht berührt. Im Übrigen weist die Landesregierung darauf hin, dass es sich bei den geförderten Bussen um Linienomnibus- se handelt, die in Bauart und Ausstattung nicht mit Reisebussen vergleichbar sind. Zu 7.: Rechtsstreitigkeiten gab es in den letzten zehn Jahren keine. Gelegentlich gab es Beschwerden von Ver- kehrsunternehmen, dass sie nicht ausreichend berücksichtigt worden seien. In diesen Fällen wurde auf die begrenzt zur Verfügung stehenden Haushaltsmittel hingewiesen, deren Ausreichung nach pflichtgemäßem Ermessen erfolgt. Ein Rechtsanspruch auf Förderung besteht nicht. Im Rahmen der Förderprogrammerstel- lung wurde stets auf eine ausgewogene Berücksichtigung der Aufgabenträgerbereiche geachtet. Carius Minister Anlage*) *) Hinweis: Auf den Abdruck der Anlage wurde verzichtet. Ein Exemplar mit Anlage erhielten jeweils die Fraktionen und die Land- tagsbibliothek. Des Weiteren kann sie im Landtagsinformationssystem unter der oben genannten Drucksachennum- mer sowie im Internet unter der Adresse: www.parldok.thueringen.de eingesehen werden. 3
3

Jahresabschluss 2002                                                                                        1 StPNV                                                                SPNV Kapitel gesamt       Zugangsstellen   Rechnergestütztes       Betriebshöfe Fahrzeugbeschaffung   Straßenbahntrassen Zugangstellen Betriebshöfe Fahrzeuge Bahntrassen Betriebs-,Leit- u.                                             Neu- und                                             Neu- u. Servicesystem,                                                 Ausbau                                              Ausbau Fahrgastinfo/-sicherheit                Bus         Strab Land Thüringen                                GVFG     1.695.380 €            0€                        0€           0€        0€           0€                 0€           0€    760.000 €   697.000 €  238.380 € Landkreis Altenburger Land                    GVFG             0€             0€                        0€           0€        0€           0€                 0€           0€           0€         0€          0€ Landkreis Weimarer Land                       GVFG             0€             0€                        0€           0€        0€           0€                 0€           0€           0€         0€          0€ Ilmkreis                                      GVFG             0€             0€                        0€           0€        0€           0€                 0€           0€           0€         0€          0€ Saale-Holzland-Kreis                          GVFG       400.000 €            0€                        0€    400.000 €        0€           0€                 0€           0€           0€         0€          0€ Wartburgkreis                                 GVFG       450.000 €            0€                        0€    450.000 €        0€           0€                 0€           0€           0€         0€          0€ Landkreis Greiz                               GVFG       300.000 €            0€                        0€    300.000 €        0€           0€                 0€           0€           0€         0€          0€ Landkreis Gotha                               GVFG       575.000 €            0€                        0€    575.000 €        0€           0€                 0€           0€           0€         0€          0€ Landkreis Hildburghausen                      GVFG             0€             0€                        0€           0€        0€           0€                 0€           0€           0€         0€          0€ Landkreis Eichsfeld                           GVFG             0€             0€                        0€           0€        0€           0€                 0€           0€           0€         0€          0€ Landkreis Schmalkalden-Meiningen              GVFG             0€             0€                        0€           0€        0€           0€                 0€           0€           0€         0€          0€ Unstrut-Hainich-Kreis                         GVFG       600.000 €            0€                        0€    600.000 €        0€           0€                 0€           0€           0€         0€          0€ Landkreis Nordhausen                          GVFG       125.300 €            0€                        0€           0€  125.300 €          0€                 0€           0€           0€         0€          0€ Landkreis Sömmerda                            GVFG             0€             0€                        0€           0€        0€           0€                 0€           0€           0€         0€          0€ Saale-Orla-Kreis                              GVFG             0€             0€                        0€           0€        0€           0€                 0€           0€           0€         0€          0€ Kyffhäuserkreis                               GVFG             0€             0€                        0€           0€        0€           0€                 0€           0€           0€         0€          0€ Landkreis Saalfeld-Rudolstadt                 GVFG       373.400 €            0€                        0€           0€  373.400 €          0€                 0€           0€           0€         0€          0€ Landkreis Sonneberg                           GVFG       339.000 €            0€                        0€    339.000 €        0€           0€                 0€           0€           0€         0€          0€ Zweckverband Personennahverkehr Saale-Orla (LK Saale-Orla-Kreis und Saalfeld Rudolstadt) GVFG             0€             0€                        0€           0€        0€           0€                 0€           0€           0€         0€          0€ Summe Landkreise:                                      3.162.700 €            0€                        0 € 2.664.000 €  498.700 €          0€                 0€
4

Jahresabschluss 2002                                                                                          2 StPNV                                                                  SPNV Kapitel gesamt        Zugangsstellen   Rechnergestütztes       Betriebshöfe Fahrzeugbeschaffung    Straßenbahntrassen  Zugangstellen Betriebshöfe Fahrzeuge Bahntrassen Betriebs-,Leit- u.                                              Neu- und                                              Neu- u. Servicesystem,                                                  Ausbau                                               Ausbau Fahrgastinfo/-sicherheit                Bus         Strab Stadt Erfurt     GVFG 11.895.200 €                0€                        0€    180.000 €        0 € 11.715.200 €                 0€            0€           0€         0€          0€ Stadt Gera       GVFG              0€             0€                        0€           0€        0€           0€                  0€            0€           0€         0€          0€ Stadt Jena       GVFG        995.000 €            0€                        0€    800.000 €        0€           0€            195.000 €           0€           0€         0€          0€ Stadt Suhl       GVFG              0€             0€                        0€           0€        0€           0€                  0€            0€           0€         0€          0€ Stadt Weimar     GVFG              0€             0€                        0€           0€        0€           0€                  0€            0€           0€         0€          0€ Stadt Nordhausen GVFG      3.916.600 €            0€                        0€           0€        0€   3.916.600 €                 0€            0€           0€         0€          0€ Stadt Eisenach   GVFG              0€             0€                        0€           0€        0€           0€                  0€            0€           0€         0€          0€ Summe Städte:             16.806.800 €            0€                        0€    980.000 €        0 € 15.631.800 €           195.000 € Summe:                    21.664.880 €            0€                        0 € 3.644.000 €  498.700 € 15.631.800 €           195.000 €           0€    760.000 €   697.000 €  238.380 €
5

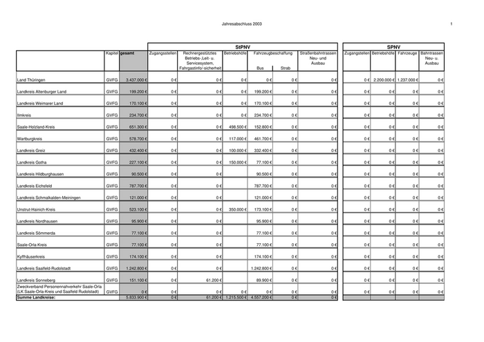
Jahresabschluss 2003                                                                                      1 StPNV                                                                   SPNV Kapitel gesamt         Zugangsstellen   Rechnergestütztes       Betriebshöfe   Fahrzeugbeschaffung   Straßenbahntrassen Zugangstellen Betriebshöfe Fahrzeuge Bahntrassen Betriebs-,Leit- u.                                               Neu- und                                             Neu- u. Servicesystem,                                                   Ausbau                                              Ausbau Fahrgastinfo/-sicherheit                   Bus        Strab Land Thüringen                                GVFG       3.437.000 €            0€                        0€           0€           0€          0€                 0€           0 € 2.200.000 € 1.237.000 €         0€ Landkreis Altenburger Land                    GVFG         199.200 €            0€                        0€           0€     199.200 €         0€                 0€           0€           0€         0€          0€ Landkreis Weimarer Land                       GVFG         170.100 €            0€                        0€           0€     170.100 €         0€                 0€           0€           0€         0€          0€ Ilmkreis                                      GVFG         234.700 €            0€                        0€           0€     234.700 €         0€                 0€           0€           0€         0€          0€ Saale-Holzland-Kreis                          GVFG         651.300 €            0€                        0€    498.500 €     152.800 €         0€                 0€           0€           0€         0€          0€ Wartburgkreis                                 GVFG         578.700 €            0€                        0€    117.000 €     461.700 €         0€                 0€           0€           0€         0€          0€ Landkreis Greiz                               GVFG         432.400 €            0€                        0€    100.000 €     332.400 €         0€                 0€           0€           0€         0€          0€ Landkreis Gotha                               GVFG         227.100 €            0€                        0€    150.000 €      77.100 €         0€                 0€           0€           0€         0€          0€ Landkreis Hildburghausen                      GVFG          90.500 €            0€                        0€                   90.500 €         0€                 0€           0€           0€         0€          0€ Landkreis Eichsfeld                           GVFG         787.700 €            0€                        0€                  787.700 €         0€                 0€           0€           0€         0€          0€ Landkreis Schmalkalden-Meiningen              GVFG         121.000 €            0€                        0€                  121.000 €         0€                 0€           0€           0€         0€          0€ Unstrut-Hainich-Kreis                         GVFG         523.100 €            0€                        0€    350.000 €     173.100 €         0€                 0€           0€           0€         0€          0€ Landkreis Nordhausen                          GVFG          95.900 €            0€                        0€                   95.900 €         0€                 0€           0€           0€         0€          0€ Landkreis Sömmerda                            GVFG          77.100 €            0€                        0€                   77.100 €         0€                 0€           0€           0€         0€          0€ Saale-Orla-Kreis                              GVFG          77.100 €            0€                        0€                   77.100 €         0€                 0€           0€           0€         0€          0€ Kyffhäuserkreis                               GVFG         174.100 €            0€                        0€                  174.100 €         0€                 0€           0€           0€         0€          0€ Landkreis Saalfeld-Rudolstadt                 GVFG       1.242.800 €            0€                        0€                1.242.800 €         0€                 0€           0€           0€         0€          0€ Landkreis Sonneberg                           GVFG         151.100 €            0€                 61.200 €                    89.900 €         0€                 0€           0€           0€         0€          0€ Zweckverband Personennahverkehr Saale-Orla (LK Saale-Orla-Kreis und Saalfeld Rudolstadt) GVFG               0€             0€                        0€           0€           0€          0€                 0€           0€           0€         0€          0€ Summe Landkreise:                                        5.833.900 €            0€                 61.200 € 1.215.500 €     4.557.200 €         0€                 0€
6

Jahresabschluss 2003                                                                                        2 StPNV                                                                     SPNV Kapitel gesamt         Zugangsstellen   Rechnergestütztes       Betriebshöfe   Fahrzeugbeschaffung    Straßenbahntrassen  Zugangstellen Betriebshöfe Fahrzeuge Bahntrassen Betriebs-,Leit- u.                                                Neu- und                                              Neu- u. Servicesystem,                                                    Ausbau                                               Ausbau Fahrgastinfo/-sicherheit                   Bus         Strab Stadt Erfurt     GVFG       4.873.100 €            0€                        0€    120.000 €           0€  4.753.100 €                 0€            0€           0€         0€          0€ Stadt Gera       GVFG         242.000 €            0€                        0€           0€     242.000 €          0€                 0€            0€           0€         0€          0€ Stadt Jena       GVFG       1.230.800 €            0€                        0€    875.000 €     242.000 €          0€           113.800 €           0€           0€         0€          0€ Stadt Suhl       GVFG         244.800 €            0€                        0€           0€     244.800 €          0€                 0€            0€           0€         0€          0€ Stadt Weimar     GVFG          80.800 €            0€                        0€           0€      80.800 €          0€                 0€            0€           0€         0€          0€ Stadt Nordhausen GVFG               0€             0€                        0€           0€           0€           0€                 0€            0€           0€         0€          0€ Stadt Eisenach   GVFG         192.200 €            0€                        0€           0€     192.200 €          0€                 0€            0€           0€         0€          0€ Summe Städte:               6.863.700 €            0€                        0€     995.000 €  1.001.800 € 4.753.100 €           113.800 € Summe:                     16.134.600 €            0€                 61.200 € 2.210.500 €     5.559.000 € 4.753.100 €           113.800 €           0 € 2.200.000 € 1.237.000 €         0€
7

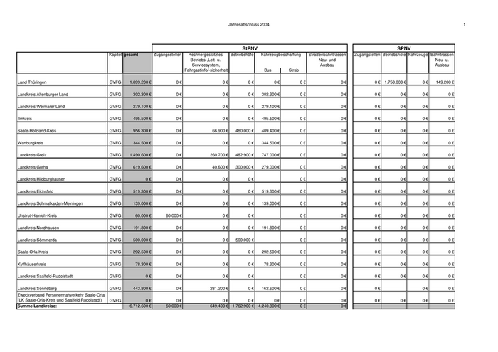
Jahresabschluss 2004                                                                                      1 StPNV                                                                   SPNV Kapitel gesamt         Zugangsstellen   Rechnergestütztes       Betriebshöfe   Fahrzeugbeschaffung   Straßenbahntrassen Zugangstellen Betriebshöfe Fahrzeuge Bahntrassen Betriebs-,Leit- u.                                               Neu- und                                             Neu- u. Servicesystem,                                                   Ausbau                                              Ausbau Fahrgastinfo/-sicherheit                   Bus        Strab Land Thüringen                                GVFG       1.899.200 €            0€                        0€           0€           0€          0€                 0€           0 € 1.750.000 €         0€   149.200 € Landkreis Altenburger Land                    GVFG         302.300 €            0€                        0€           0€     302.300 €         0€                 0€           0€           0€         0€          0€ Landkreis Weimarer Land                       GVFG         279.100 €            0€                        0€           0€     279.100 €         0€                 0€           0€           0€         0€          0€ Ilmkreis                                      GVFG         495.500 €            0€                        0€           0€     495.500 €         0€                 0€           0€           0€         0€          0€ Saale-Holzland-Kreis                          GVFG         956.300 €            0€                 66.900 €     480.000 €     409.400 €         0€                 0€           0€           0€         0€          0€ Wartburgkreis                                 GVFG         344.500 €            0€                        0€           0€     344.500 €         0€                 0€           0€           0€         0€          0€ Landkreis Greiz                               GVFG       1.490.600 €            0€                260.700 €     482.900 €     747.000 €         0€                 0€           0€           0€         0€          0€ Landkreis Gotha                               GVFG         619.600 €            0€                 40.600 €     300.000 €     279.000 €         0€                 0€           0€           0€         0€          0€ Landkreis Hildburghausen                      GVFG               0€             0€                        0€           0€                       0€                 0€           0€           0€         0€          0€ Landkreis Eichsfeld                           GVFG         519.300 €            0€                        0€           0€     519.300 €         0€                 0€           0€           0€         0€          0€ Landkreis Schmalkalden-Meiningen              GVFG         139.000 €            0€                        0€           0€     139.000 €         0€                 0€           0€           0€         0€          0€ Unstrut-Hainich-Kreis                         GVFG          60.000 €      60.000 €                        0€           0€                       0€                 0€           0€           0€         0€          0€ Landkreis Nordhausen                          GVFG         191.800 €            0€                        0€           0€     191.800 €         0€                 0€           0€           0€         0€          0€ Landkreis Sömmerda                            GVFG         500.000 €            0€                        0€    500.000 €                       0€                 0€           0€           0€         0€          0€ Saale-Orla-Kreis                              GVFG         292.500 €            0€                        0€           0€     292.500 €         0€                 0€           0€           0€         0€          0€ Kyffhäuserkreis                               GVFG          78.300 €            0€                        0€           0€      78.300 €         0€                 0€           0€           0€         0€          0€ Landkreis Saalfeld-Rudolstadt                 GVFG               0€             0€                        0€           0€                       0€                 0€           0€           0€         0€          0€ Landkreis Sonneberg                           GVFG         443.800 €            0€                281.200 €            0€     162.600 €         0€                 0€           0€                      0€          0€ Zweckverband Personennahverkehr Saale-Orla (LK Saale-Orla-Kreis und Saalfeld Rudolstadt) GVFG               0€             0€                        0€           0€           0€          0€                 0€           0€           0€         0€          0€ Summe Landkreise:                                        6.712.600 €      60.000 €                649.400 € 1.762.900 €     4.240.300 €         0€                 0€
8

Jahresabschluss 2004                                                                                        2 StPNV                                                                     SPNV Kapitel gesamt         Zugangsstellen   Rechnergestütztes       Betriebshöfe   Fahrzeugbeschaffung    Straßenbahntrassen  Zugangstellen Betriebshöfe Fahrzeuge Bahntrassen Betriebs-,Leit- u.                                                Neu- und                                              Neu- u. Servicesystem,                                                    Ausbau                                               Ausbau Fahrgastinfo/-sicherheit                   Bus         Strab Stadt Erfurt     GVFG       9.285.300 €            0€                        0€    315.300 €     173.100 € 6.884.400 €         1.912.500 €           0€           0€         0€          0€ Stadt Gera       GVFG       4.419.200 €    1.000.000 €               137.400 €            0€     191.800 €          0€         3.090.000 €           0€           0€         0€          0€ Stadt Jena       GVFG         100.000 €            0€                        0€    100.000 €           0€           0€                 0€            0€           0€         0€          0€ Stadt Suhl       GVFG         251.100 €            0€                        0€           0€     251.100 €          0€                 0€            0€           0€         0€          0€ Stadt Weimar     GVFG         161.400 €            0€                        0€           0€     161.400 €          0€                 0€            0€           0€         0€          0€ Stadt Nordhausen GVFG       1.954.600 €            0€                        0€           0€           0€  1.954.600 €                 0€            0€           0€         0€          0€ Stadt Eisenach   GVFG         121.000 €            0€                        0€           0€     121.000 €          0€                 0€            0€           0€         0€          0€ Summe Städte:              16.292.600 €    1.000.000 €               137.400 €     415.300 €     898.400 € 8.839.000 €         5.002.500 € Summe:                     24.904.400 €    1.060.000 €               786.800 € 2.178.200 €     5.138.700 € 8.839.000 €         5.002.500 €           0 € 1.750.000 €         0€   149.200 €
9

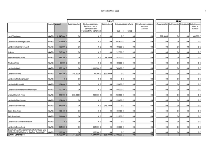
Jahresabschluss 2005                                                                                      1 StPNV                                                                   SPNV Kapitel gesamt         Zugangsstellen   Rechnergestütztes       Betriebshöfe   Fahrzeugbeschaffung   Straßenbahntrassen Zugangstellen Betriebshöfe Fahrzeuge Bahntrassen Betriebs-,Leit- u.                                               Neu- und                                             Neu- u. Servicesystem,                                                   Ausbau                                              Ausbau Fahrgastinfo/-sicherheit                   Bus        Strab Land Thüringen                                GVFG       2.945.800 €            0€                        0€           0€           0€          0€                 0€   1.962.500 €          0€         0€   983.300 € Landkreis Altenburger Land                    GVFG         201.600 €            0€                        0€           0€     201.600 €         0€                 0€           0€           0€         0€          0€ Landkreis Weimarer Land                       GVFG         100.800 €            0€                        0€           0€     100.800 €         0€                 0€           0€           0€         0€          0€ Ilmkreis                                      GVFG         212.500 €            0€                        0€           0€     212.500 €         0€                 0€           0€           0€         0€          0€ Saale-Holzland-Kreis                          GVFG         234.200 €            0€                        0€      46.500 €    187.700 €         0€                 0€           0€           0€         0€          0€ Wartburgkreis                                 GVFG          82.600 €            0€                        0€           0€      82.600 €         0€                 0€           0€           0€         0€          0€ Landkreis Greiz                               GVFG       1.858.100 €            0€              1.111.700 €            0€     746.400 €         0€                 0€           0€           0€         0€          0€ Landkreis Gotha                               GVFG         887.100 €     345.900 €                 41.200 €     500.000 €           0€          0€                 0€           0€           0€         0€          0€ Landkreis Hildburghausen                      GVFG               0€             0€                        0€           0€           0€          0€                 0€           0€           0€         0€          0€ Landkreis Eichsfeld                           GVFG         124.400 €            0€                        0€           0€     124.400 €         0€                 0€           0€           0€         0€          0€ Landkreis Schmalkalden-Meiningen              GVFG         160.200 €            0€                        0€           0€     160.200 €         0€                 0€           0€           0€         0€          0€ Unstrut-Hainich-Kreis                         GVFG         826.700 €     368.300 €                209.600 €            0€     248.800 €         0€                 0€           0€           0€         0€          0€ Landkreis Nordhausen                          GVFG         124.400 €            0€                        0€           0€     124.400 €         0€                 0€           0€           0€         0€          0€ Landkreis Sömmerda                            GVFG         349.500 €            0€                        0€    349.500 €           0€          0€                 0€           0€           0€         0€          0€ Saale-Orla-Kreis                              GVFG         100.400 €            0€                        0€           0€     100.400 €         0€                 0€           0€           0€         0€          0€ Kyffhäuserkreis                               GVFG         211.600 €            0€                        0€           0€     211.600 €         0€                 0€           0€           0€         0€          0€ Landkreis Saalfeld-Rudolstadt                 GVFG               0€             0€                        0€           0€           0€          0€                 0€           0€           0€         0€          0€ Landkreis Sonneberg                           GVFG         494.600 €            0€                394.000 €            0€     100.600 €         0€                 0€           0€           0€         0€          0€ Zweckverband Personennahverkehr Saale-Orla (LK Saale-Orla-Kreis und Saalfeld Rudolstadt) GVFG         187.500 €            0€                187.500 €            0€           0€          0€                 0€           0€           0€         0€          0€ Summe Landkreise:                                        6.156.200 €     714.200 €              1.944.000 €     896.000 €   2.602.000 €         0€                 0€
10

Zur nächsten Seite