Verwendung der GVFG-Mittel

/ 23
PDF herunterladen
Jahresabschluss 2005                                                                                        2 StPNV                                                                     SPNV Kapitel gesamt         Zugangsstellen   Rechnergestütztes       Betriebshöfe   Fahrzeugbeschaffung    Straßenbahntrassen  Zugangstellen Betriebshöfe Fahrzeuge Bahntrassen Betriebs-,Leit- u.                                                Neu- und                                              Neu- u. Servicesystem,                                                    Ausbau                                               Ausbau Fahrgastinfo/-sicherheit                   Bus         Strab Stadt Erfurt     GVFG       8.146.600 €            0€                        0€    245.100 €     124.400 € 6.527.100 €         1.250.000 €           0€           0€         0€          0€ Stadt Gera       GVFG       6.633.300 €    1.500.000 €                37.700 €            0€           0€  2.595.600 €         2.500.000 €           0€           0€         0€          0€ Stadt Jena       GVFG         584.100 €            0€                        0€    500.000 €      84.100 €          0€                 0€            0€           0€         0€          0€ Stadt Suhl       GVFG          85.800 €            0€                        0€           0€      85.800 €          0€                 0€            0€           0€         0€          0€ Stadt Weimar     GVFG         189.200 €            0€                        0€           0€     189.200 €          0€                 0€            0€           0€         0€          0€ Stadt Nordhausen GVFG         116.800 €            0€                116.800 €            0€           0€           0€                 0€            0€           0€         0€          0€ Stadt Eisenach   GVFG          82.600 €            0€                        0€           0€      82.600 €          0€                 0€            0€           0€         0€          0€ Summe Städte:              15.838.400 €    1.500.000 €               154.500 €     745.100 €     566.100 € 9.122.700 €         3.750.000 € Summe:                     24.940.400 €    2.214.200 €             2.098.500 € 1.641.100 €     3.168.100 € 9.122.700 €         3.750.000 €   1.962.500 €          0€         0€   983.300 €
11

Jahresabschluss 2006                                                                                      1 StPNV                                                                   SPNV Kapitel gesamt         Zugangsstellen   Rechnergestütztes       Betriebshöfe   Fahrzeugbeschaffung   Straßenbahntrassen Zugangstellen Betriebshöfe Fahrzeuge Bahntrassen Betriebs-,Leit- u.                                               Neu- und                                             Neu- u. Servicesystem,                                                   Ausbau                                              Ausbau Fahrgastinfo/-sicherheit                   Bus        Strab Land Thüringen                                GVFG         819.600 €            0€                        0€           0€           0€          0€                 0€    352.900 €           0€         0€   466.700 € Landkreis Altenburger Land                    GVFG          69.400 €            0€                        0€           0€      69.400 €         0€                 0€           0€           0€         0€          0€ Landkreis Weimarer Land                       GVFG          63.000 €            0€                        0€           0€      63.000 €         0€                 0€           0€           0€         0€          0€ Ilmkreis                                      GVFG         448.600 €      157.300 €                       0€    109.100 €     182.200 €         0€                 0€           0€           0€         0€          0€ Saale-Holzland-Kreis                          GVFG         238.300 €      170.800 €                       0€                   67.500 €         0€                 0€           0€           0€         0€          0€ Wartburgkreis                                 GVFG         491.400 €      425.700 €                       0€           0€      65.700 €         0€                 0€           0€           0€         0€          0€ Landkreis Greiz                               GVFG       1.081.100 €       53.500 €               618.600 €            0€     409.000 €         0€                 0€           0€           0€         0€          0€ Landkreis Gotha                               GVFG       2.825.500 €    1.421.100 €               649.000 €     522.500 €     232.900 €         0€                 0€           0€           0€         0€          0€ Landkreis Hildburghausen                      GVFG         126.900 €      126.900 €                       0€           0€           0€          0€                 0€           0€           0€         0€          0€ Landkreis Eichsfeld                           GVFG         184.200 €      141.600 €                       0€           0€      42.600 €         0€                 0€           0€           0€         0€          0€ Landkreis Schmalkalden-Meiningen              GVFG         150.800 €       16.600 €                       0€           0€     134.200 €         0€                 0€           0€           0€         0€          0€ Unstrut-Hainich-Kreis                         GVFG         634.800 €      122.000 €               129.600 €       59.800 €    323.400 €         0€                 0€           0€           0€         0€          0€ Landkreis Nordhausen                          GVFG          75.400 €       75.400 €                       0€           0€           0€          0€                 0€           0€           0€         0€          0€ Landkreis Sömmerda                            GVFG         170.200 €      170.200 €                       0€           0€           0€          0€                 0€           0€           0€         0€          0€ Saale-Orla-Kreis                              GVFG               0€             0€                        0€           0€           0€          0€                 0€           0€           0€         0€          0€ Kyffhäuserkreis                               GVFG         144.600 €       74.600 €                       0€           0€      70.000 €         0€                 0€           0€           0€         0€          0€ Landkreis Saalfeld-Rudolstadt                 GVFG               0€             0€                        0€           0€           0€          0€                 0€           0€           0€         0€          0€ Landkreis Sonneberg                           GVFG         147.900 €       47.900 €                       0€           0€     100.000 €         0€                 0€           0€           0€         0€          0€ Zweckverband Personennahverkehr Saale-Orla (LK Saale-Orla-Kreis und Saalfeld Rudolstadt) GVFG         483.300 €       11.100 €               278.700 €                   193.500 €         0€                 0€           0€           0€         0€          0€ Summe Landkreise:                                        7.335.400 €    3.014.700 €             1.675.900 €     691.400 €   1.953.400 €         0€                 0€
12

Jahresabschluss 2006                                                                                        2 StPNV                                                                     SPNV Kapitel gesamt         Zugangsstellen   Rechnergestütztes       Betriebshöfe   Fahrzeugbeschaffung    Straßenbahntrassen  Zugangstellen Betriebshöfe Fahrzeuge Bahntrassen Betriebs-,Leit- u.                                                Neu- und                                              Neu- u. Servicesystem,                                                    Ausbau                                               Ausbau Fahrgastinfo/-sicherheit                   Bus         Strab Stadt Erfurt     GVFG       3.351.100 €       67.100 €                       0€    208.500 €     587.200 €   918.300 €         1.570.000 €           0€           0€         0€          0€ Stadt Gera       GVFG       8.573.100 €      958.300 €               238.500 €            0€     663.600 € 6.056.400 €           656.300 €           0€           0€         0€          0€ Stadt Jena       GVFG       3.185.200 €            0€                        0 € 1.911.000 €     386.400 €   887.800 €                 0€            0€           0€         0€          0€ Stadt Suhl       GVFG         141.600 €            0€                        0€           0€     141.600 €          0€                 0€            0€           0€         0€          0€ Stadt Weimar     GVFG         849.900 €       57.900 €                       0€    792.000 €           0€           0€                 0€            0€           0€         0€          0€ Stadt Nordhausen GVFG         223.100 €            0€                153.100 €            0€      70.000 €          0€                 0€            0€           0€         0€          0€ Stadt Eisenach   GVFG         220.000 €            0€                 97.000 €            0€     123.000 €          0€                 0€            0€           0€         0€          0€ Summe Städte:              16.544.000 €    1.083.300 €               488.600 € 2.911.500 €     1.971.800 € 7.862.500 €         2.226.300 € Summe:                     24.699.000 €    4.098.000 €             2.164.500 € 3.602.900 €     3.925.200 € 7.862.500 €         2.226.300 €    352.900 €           0€         0€   466.700 €
13

Jahresabschluss 2007                                                                                      1 StPNV                                                                  SPNV Kapitel gesamt         Zugangsstellen   Rechnergestütztes       Betriebshöfe   Fahrzeugbeschaffung   Straßenbahntrassen Zugangstellen Betriebshöfe Fahrzeuge Bahntrassen Betriebs-,Leit- u.                                               Neu- und                                             Neu- u. Servicesystem,                                                   Ausbau                                              Ausbau Fahrgastinfo/-sicherheit                   Bus        Strab Land Thüringen                                GVFG         993.200 €            0€                        0€            0€          0€          0€                 0€    117.500 €    444.200 €         0€   431.500 € Landkreis Altenburger Land                    GVFG         180.300 €       38.400 €                  7.600 €      64.300 €     70.000 €         0€                 0€           0€           0€         0€          0€ Landkreis Weimarer Land                       GVFG         146.000 €            0€                 76.000 €             0€     70.000 €         0€                 0€           0€           0€         0€          0€ Ilmkreis                                      GVFG         769.000 €      112.200 €               300.200 €       76.600 €    280.000 €         0€                 0€           0€           0€         0€          0€ Saale-Holzland-Kreis                          GVFG         261.200 €       57.300 €               203.900 €             0€          0€          0€                 0€           0€           0€         0€          0€ Wartburgkreis                                 GVFG         324.800 €      226.200 €                       0€      28.600 €     70.000 €         0€                 0€           0€           0€         0€          0€ Landkreis Greiz                               GVFG          80.200 €        5.600 €                       0€        4.600 €    70.000 €         0€                 0€           0€           0€         0€          0€ Landkreis Gotha                               GVFG       1.740.100 €      418.700 €               240.100 €     786.300 €     140.000 €  155.000 €                 0€           0€           0€         0€          0€ Landkreis Hildburghausen                      GVFG               0€             0€                        0€            0€          0€          0€                 0€           0€           0€         0€          0€ Landkreis Eichsfeld                           GVFG         542.500 €            0€                412.500 €             0€    130.000 €         0€                 0€           0€           0€         0€          0€ Landkreis Schmalkalden-Meiningen              GVFG         204.600 €       14.600 €                       0€            0€    190.000 €         0€                 0€           0€           0€         0€          0€ Unstrut-Hainich-Kreis                         GVFG         340.800 €      104.800 €                       0€      16.000 €    220.000 €         0€                 0€           0€           0€         0€          0€ Landkreis Nordhausen                          GVFG          18.400 €       10.700 €                       0€        7.700 €         0€          0€                 0€           0€           0€         0€          0€ Landkreis Sömmerda                            GVFG         307.400 €       58.800 €               248.600 €             0€          0€          0€                 0€           0€           0€         0€          0€ Saale-Orla-Kreis                              GVFG               0€             0€                        0€            0€          0€          0€                 0€           0€           0€         0€          0€ Kyffhäuserkreis                               GVFG          96.300 €       16.300 €                       0€            0€     80.000 €         0€                 0€           0€           0€         0€          0€ Landkreis Saalfeld-Rudolstadt                 GVFG               0€             0€                        0€            0€          0€          0€                 0€           0€           0€         0€          0€ Landkreis Sonneberg                           GVFG         189.100 €            0€                        0€      19.100 €    170.000 €         0€                 0€           0€           0€         0€          0€ Zweckverband Personennahverkehr Saale-Orla (LK Saale-Orla-Kreis und Saalfeld Rudolstadt) GVFG         287.400 €       27.400 €                       0€            0€    260.000 €         0€                 0€           0€           0€         0€          0€ Summe Landkreise:                                        5.488.100 €    1.091.000 €             1.488.900 € 1.003.200 €     1.750.000 €  155.000 €                 0€
14

Jahresabschluss 2007                                                                                        2 StPNV                                                                     SPNV Kapitel gesamt         Zugangsstellen   Rechnergestütztes       Betriebshöfe   Fahrzeugbeschaffung    Straßenbahntrassen  Zugangstellen Betriebshöfe Fahrzeuge Bahntrassen Betriebs-,Leit- u.                                                Neu- und                                              Neu- u. Servicesystem,                                                    Ausbau                                               Ausbau Fahrgastinfo/-sicherheit                   Bus         Strab Stadt Erfurt     GVFG       1.915.600 €            0€                325.900 €     107.600 €     420.000 €          0€         1.062.100 €           0€           0€         0€          0€ Stadt Gera       GVFG       9.924.400 €      651.000 €                       0€           0€           0€  7.660.900 €         1.612.500 €           0€           0€         0€          0€ Stadt Jena       GVFG       2.779.300 €      178.700 €               237.500 € 2.014.500 €             0€           0€           348.600 €           0€           0€         0€          0€ Stadt Suhl       GVFG         248.500 €            0€                 43.500 €       25.000 €    180.000 €          0€                 0€            0€           0€         0€          0€ Stadt Weimar     GVFG         270.900 €       18.500 €                68.000 €       16.000 €    168.400 €          0€                 0€            0€           0€         0€          0€ Stadt Nordhausen GVFG         160.000 €            0€                        0€           0€     160.000 €          0€                 0€            0€           0€         0€          0€ Stadt Eisenach   GVFG         210.000 €            0€                        0€           0€     210.000 €          0€                 0€            0€           0€         0€          0€ Summe Städte:              15.508.700 €      848.200 €               674.900 € 2.163.100 €     1.138.400 € 7.660.900 €         3.023.200 € Summe:                     21.990.000 €    1.939.200 €             2.163.800 € 3.166.300 €     2.888.400 € 7.815.900 €         3.023.200 €    117.500 €    444.200 €         0€   431.500 €
15

Jahresabschluss 2008                                                                                        1 StPNV                                                                   SPNV Kapitel gesamt         Zugangsstellen   Rechnergestütztes       Betriebshöfe   Fahrzeugbeschaffung   Straßenbahntrassen  Zugangstellen Betriebshöfe Fahrzeuge Bahntrassen Betriebs-,Leit- u.                                               Neu- und                                              Neu- u. Servicesystem,                                                   Ausbau                                               Ausbau Fahrgastinfo/-sicherheit                   Bus        Strab Land Thüringen                                GVFG       3.831.600 €            0€                        0€            0€          0€          0€                 0€      29.900 € 2.097.500 € 215.700 €    1.488.500 € Landkreis Altenburger Land                    GVFG         273.000 €       63.000 €                       0€            0€    210.000 €         0€                 0€            0€           0€         0€          0€ Landkreis Weimarer Land                       GVFG         419.000 €      299.000 €                       0€            0€    120.000 €         0€                 0€            0€           0€         0€          0€ Ilmkreis                                      GVFG         715.300 €      196.200 €               143.900 €         5.200 €   370.000 €         0€                 0€            0€           0€         0€          0€ Saale-Holzland-Kreis                          GVFG         332.500 €      262.500 €                       0€            0€     70.000 €         0€                 0€            0€           0€         0€          0€ Wartburgkreis                                 GVFG         414.400 €      394.700 €                       0€      19.700 €          0€          0€                 0€            0€           0€         0€          0€ Landkreis Greiz                               GVFG         351.400 €      157.600 €                31.400 €       92.400 €     70.000 €         0€                 0€            0€           0€         0€          0€ Landkreis Gotha                               GVFG       1.984.200 €       81.500 €                47.100 €     826.100 €     140.000 €  255.000 €           634.500 €           0€           0€         0€          0€ Landkreis Hildburghausen                      GVFG          18.600 €       18.600 €                       0€            0€          0€          0€                 0€            0€           0€         0€          0€ Landkreis Eichsfeld                           GVFG         774.000 €      123.800 €               276.800 €       43.400 €    330.000 €         0€                 0€            0€           0€         0€          0€ Landkreis Schmalkalden-Meiningen              GVFG         515.900 €      103.300 €                92.200 €       40.400 €    280.000 €         0€                 0€            0€           0€         0€          0€ Unstrut-Hainich-Kreis                         GVFG       1.061.500 €      358.600 €                  8.500 €      14.400 €    680.000 €         0€                 0€            0€           0€         0€          0€ Landkreis Nordhausen                          GVFG         205.600 €       65.600 €                       0€            0€    140.000 €         0€                 0€            0€           0€         0€          0€ Landkreis Sömmerda                            GVFG          88.900 €       31.800 €                57.100 €             0€          0€          0€                 0€            0€           0€         0€          0€ Saale-Orla-Kreis                              GVFG               0€             0€                        0€            0€          0€          0€                 0€            0€           0€         0€          0€ Kyffhäuserkreis                               GVFG         196.400 €       36.200 €                       0€      20.200 €    140.000 €         0€                 0€            0€           0€         0€          0€ Landkreis Saalfeld-Rudolstadt                 GVFG               0€             0€                        0€            0€          0€          0€                 0€            0€           0€         0€          0€ Landkreis Sonneberg                           GVFG         279.900 €       59.800 €                       0€      10.100 €    210.000 €         0€                 0€            0€           0€         0€          0€ Zweckverband Personennahverkehr Saale-Orla (LK Saale-Orla-Kreis und Saalfeld Rudolstadt) GVFG       1.362.700 €      427.900 €               489.600 €       95.200 €    350.000 €         0€                 0€            0€           0€         0€          0€ Summe Landkreise:                                        8.993.300 €    2.680.100 €             1.146.600 € 1.167.100 €     3.110.000 €  255.000 €           634.500 €                                               0€
16

Jahresabschluss 2008                                                                                         2 StPNV                                                                     SPNV Kapitel gesamt         Zugangsstellen   Rechnergestütztes       Betriebshöfe   Fahrzeugbeschaffung    Straßenbahntrassen  Zugangstellen Betriebshöfe Fahrzeuge Bahntrassen Betriebs-,Leit- u.                                                Neu- und                                              Neu- u. Servicesystem,                                                    Ausbau                                               Ausbau Fahrgastinfo/-sicherheit                   Bus         Strab Stadt Erfurt     GVFG       4.554.800 €      517.300 €               226.200 €     230.400 €     678.600 €          0€         2.902.300 €           0€           0€         0€          0€ Stadt Gera       GVFG       2.633.000 €       36.200 €                35.100 €            0€     140.000 € 1.768.700 €           653.000 €           0€           0€         0€          0€ Stadt Jena       GVFG       2.978.800 €      654.100 €               177.500 € 1.286.300 €       210.000 €          0€           650.900 €           0€           0€         0€          0€ Stadt Suhl       GVFG         195.300 €       20.900 €                       0€      14.400 €    160.000 €          0€                 0€            0€           0€         0€          0€ Stadt Weimar     GVFG         367.700 €       45.100 €                       0€           0€     322.600 €          0€                 0€            0€           0€         0€          0€ Stadt Nordhausen GVFG          61.800 €            0€                 61.800 €            0€           0€           0€                 0€            0€           0€         0€          0€ Stadt Eisenach   GVFG         210.000 €            0€                        0€           0€     210.000 €          0€                 0€            0€           0€         0€          0€ Summe Städte:              11.001.400 €    1.273.600 €               500.600 € 1.531.100 €     1.721.200 € 1.768.700 €         4.206.200 €                                               0€ Summe:                     23.826.300 €    3.953.700 €             1.647.200 € 2.698.200 €     4.831.200 € 2.023.700 €         4.840.700 €     29.900 € 2.097.500 € 215.700 €    1.488.500 €
17

Jahresabschluss 2009                                                                                        1 StPNV                                                                   SPNV Kapitel gesamt         Zugangsstellen   Rechnergestütztes       Betriebshöfe   Fahrzeugbeschaffung   Straßenbahntrassen  Zugangstellen Betriebshöfe Fahrzeuge Bahntrassen Betriebs-,Leit- u.                                               Neu- und                                              Neu- u. Servicesystem,                                                   Ausbau                                               Ausbau Fahrgastinfo/-sicherheit                   Bus        Strab Land Thüringen                                GVFG       4.529.900 €            0€                        0€            0€          0€          0€                 0€    1.219.800 € 1.295.300 €    91.400 € 1.923.400 € Landkreis Altenburger Land                    GVFG         252.800 €            0€                 42.800 €             0€    210.000 €         0€                 0€            0€           0€         0€          0€ Landkreis Weimarer Land                       GVFG         276.700 €      156.700 €                       0€            0€    120.000 €         0€                 0€            0€           0€         0€          0€ Ilmkreis                                      GVFG         637.400 €      128.100 €               119.200 €     110.100 €     280.000 €         0€                 0€            0€           0€         0€          0€ Saale-Holzland-Kreis                          GVFG         522.900 €      332.900 €                       0€            0€    190.000 €         0€                 0€            0€           0€         0€          0€ Wartburgkreis                                 GVFG         155.800 €       30.700 €                       0€      55.100 €     70.000 €         0€                 0€            0€           0€         0€          0€ Landkreis Greiz                               GVFG         230.220 €      105.000 €                30.600 €       24.620 €     70.000 €         0€                 0€            0€           0€         0€          0€ Landkreis Gotha                               GVFG       1.745.250 €      141.500 €                80.900 €         8.150 €    70.000 €  140.000 €         1.304.700 €           0€           0€         0€          0€ Landkreis Hildburghausen                      GVFG          25.000 €       25.000 €                       0€            0€          0€          0€                 0€            0€           0€         0€          0€ Landkreis Eichsfeld                           GVFG         280.600 €      120.600 €                       0€            0€    160.000 €         0€                 0€            0€           0€         0€          0€ Landkreis Schmalkalden-Meiningen              GVFG         681.500 €      401.700 €                14.900 €       54.900 €    210.000 €         0€                 0€            0€           0€         0€          0€ Unstrut-Hainich-Kreis                         GVFG         507.000 €      269.200 €                       0€        7.800 €   230.000 €         0€                 0€            0€           0€         0€          0€ Landkreis Nordhausen                          GVFG          89.600 €       89.600 €                       0€            0€          0€          0€                 0€            0€           0€         0€          0€ Landkreis Sömmerda                            GVFG         273.800 €       90.000 €               183.800 €             0€          0€          0€                 0€            0€           0€         0€          0€ Saale-Orla-Kreis                              GVFG               0€             0€                        0€            0€          0€          0€                 0€            0€           0€         0€          0€ Kyffhäuserkreis                               GVFG         509.400 €       53.700 €               155.900 €       19.800 €    280.000 €         0€                 0€            0€           0€         0€          0€ Landkreis Saalfeld-Rudolstadt                 GVFG         157.500 €      157.500 €                       0€            0€          0€          0€                 0€            0€           0€         0€          0€ Landkreis Sonneberg                           GVFG         445.900 €      162.400 €                36.900 €         6.600 €   240.000 €         0€                 0€            0€           0€         0€          0€ Zweckverband Personennahverkehr Saale-Orla (LK Saale-Orla-Kreis und Saalfeld Rudolstadt) GVFG       1.651.800 €    1.119.100 €                97.700 €     225.000 €     210.000 €         0€                 0€            0€           0€         0€          0€ Summe Landkreise:                                        8.443.170 €    3.383.700 €               762.700 €     512.070 €   2.340.000 €  140.000 €         1.304.700 €                                               0€
18

Jahresabschluss 2009                                                                                         2 StPNV                                                                     SPNV Kapitel gesamt         Zugangsstellen   Rechnergestütztes       Betriebshöfe   Fahrzeugbeschaffung    Straßenbahntrassen  Zugangstellen Betriebshöfe Fahrzeuge Bahntrassen Betriebs-,Leit- u.                                                Neu- und                                              Neu- u. Servicesystem,                                                    Ausbau                                               Ausbau Fahrgastinfo/-sicherheit                   Bus         Strab Stadt Erfurt     GVFG       4.631.800 €      823.500 €                57.900 €     263.000 €     400.000 € 2.548.500 €           538.900 €           0€           0€         0€          0€ Stadt Gera       GVFG         155.100 €            0€                 15.100 €            0€     140.000 €          0€                 0€            0€           0€         0€          0€ Stadt Jena       GVFG       3.478.100 €    1.537.100 €               111.400 €            0€     270.000 €          0€         1.559.600 €           0€           0€         0€          0€ Stadt Suhl       GVFG         236.300 €            0€                 37.400 €       38.900 €    160.000 €          0€                 0€            0€           0€         0€          0€ Stadt Weimar     GVFG         259.000 €       59.000 €                       0€           0€     200.000 €          0€                 0€            0€           0€         0€          0€ Stadt Nordhausen GVFG       2.405.000 €            0€                126.500 €       19.800 €    159.000 €          0€         2.099.700 €           0€           0€         0€          0€ Stadt Eisenach   GVFG         206.700 €       17.400 €                49.300 €            0€     140.000 €          0€                 0€            0€           0€         0€          0€ Summe Städte:              11.372.000 €    2.437.000 €               397.600 €     321.700 €   1.469.000 € 2.548.500 €         4.198.200 €                                               0€ Summe:                     24.345.070 €    5.820.700 €             1.160.300 €      833.770 €  3.809.000 € 2.688.500 €         5.502.900 €   1.219.800 € 1.295.300 €    91.400 € 1.923.400 €
19

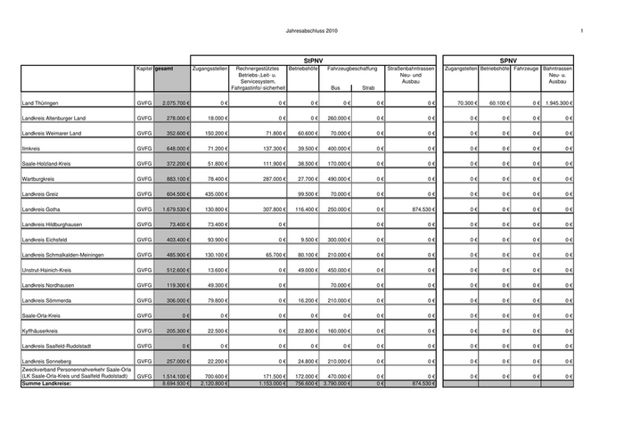
Jahresabschluss 2010                                                                                         1 StPNV                                                                    SPNV Kapitel gesamt         Zugangsstellen   Rechnergestütztes       Betriebshöfe    Fahrzeugbeschaffung   Straßenbahntrassen  Zugangstellen Betriebshöfe Fahrzeuge Bahntrassen Betriebs-,Leit- u.                                                Neu- und                                              Neu- u. Servicesystem,                                                    Ausbau                                               Ausbau Fahrgastinfo/-sicherheit                   Bus         Strab Land Thüringen                                GVFG       2.075.700 €            0€                        0€            0€          0€           0€                 0€      70.300 €      60.100 €        0€  1.945.300 € Landkreis Altenburger Land                    GVFG         278.000 €       18.000 €                       0€            0€    260.000 €          0€                 0€            0€           0€         0€          0€ Landkreis Weimarer Land                       GVFG         352.600 €      150.200 €                71.800 €       60.600 €     70.000 €          0€                 0€            0€           0€         0€          0€ Ilmkreis                                      GVFG         648.000 €       71.200 €               137.300 €       39.500 €    400.000 €          0€                 0€            0€           0€         0€          0€ Saale-Holzland-Kreis                          GVFG         372.200 €       51.800 €               111.900 €       38.500 €    170.000 €          0€                 0€            0€           0€         0€          0€ Wartburgkreis                                 GVFG         883.100 €       78.400 €               287.000 €       27.700 €    490.000 €          0€                 0€            0€           0€         0€          0€ Landkreis Greiz                               GVFG         604.500 €      435.000 €                               99.500 €     70.000 €          0€                 0€            0€           0€         0€          0€ Landkreis Gotha                               GVFG       1.679.530 €      130.800 €               307.800 €     116.400 €     250.000 €          0€           874.530 €           0€           0€         0€          0€ Landkreis Hildburghausen                      GVFG          73.400 €       73.400 €                       0€                                     0€                 0€            0€           0€         0€          0€ Landkreis Eichsfeld                           GVFG         403.400 €       93.900 €                       0€        9.500 €   300.000 €          0€                 0€            0€           0€         0€          0€ Landkreis Schmalkalden-Meiningen              GVFG         485.900 €      130.100 €                65.700 €       80.100 €    210.000 €          0€                 0€            0€           0€         0€          0€ Unstrut-Hainich-Kreis                         GVFG         512.600 €       13.600 €                       0€      49.000 €    450.000 €          0€                 0€            0€           0€         0€          0€ Landkreis Nordhausen                          GVFG         119.300 €       49.300 €                       0€                   70.000 €          0€                 0€            0€           0€         0€          0€ Landkreis Sömmerda                            GVFG         306.000 €       79.800 €                       0€      16.200 €    210.000 €          0€                 0€            0€           0€         0€          0€ Saale-Orla-Kreis                              GVFG               0€             0€                        0€            0€          0€           0€                 0€            0€           0€         0€          0€ Kyffhäuserkreis                               GVFG         205.300 €       22.500 €                       0€      22.800 €    160.000 €          0€                 0€            0€           0€         0€          0€ Landkreis Saalfeld-Rudolstadt                 GVFG               0€             0€                        0€            0€          0€           0€                 0€            0€           0€         0€          0€ Landkreis Sonneberg                           GVFG         257.000 €       22.200 €                       0€      24.800 €    210.000 €          0€                 0€            0€           0€         0€          0€ Zweckverband Personennahverkehr Saale-Orla (LK Saale-Orla-Kreis und Saalfeld Rudolstadt) GVFG       1.514.100 €      700.600 €               171.500 €     172.000 €     470.000 €          0€                 0€            0€           0€         0€          0€ Summe Landkreise:                                        8.694.930 €    2.120.800 €             1.153.000 €     756.600 €   3.790.000 €          0€           874.530 €
20

Zur nächsten Seite