Verwendung der GVFG-Mittel

/ 23
PDF herunterladen
Jahresabschluss 2010                                                                                          2 StPNV                                                                     SPNV Kapitel gesamt         Zugangsstellen   Rechnergestütztes       Betriebshöfe    Fahrzeugbeschaffung    Straßenbahntrassen  Zugangstellen Betriebshöfe Fahrzeuge Bahntrassen Betriebs-,Leit- u.                                                 Neu- und                                              Neu- u. Servicesystem,                                                     Ausbau                                               Ausbau Fahrgastinfo/-sicherheit                   Bus         Strab Stadt Erfurt     GVFG      10.293.750 €       68.400 €             1.134.300 €     212.200 €     470.000 €  6.851.200 €         1.557.650 €           0€           0€         0€          0€ Stadt Gera       GVFG       1.875.300 €            0€              1.008.600 €       51.700 €    140.000 €          0€            675.000 €           0€           0€         0€          0€ Stadt Jena       GVFG       2.418.600 €    1.321.000 €               123.200 €     174.700 €     210.000 €          0€            589.700 €           0€           0€         0€          0€ Stadt Suhl       GVFG         182.300 €            0€                        0€      12.300 €    170.000 €          0€                  0€            0€           0€         0€          0€ Stadt Weimar     GVFG         300.000 €       30.000 €                       0€                  270.000 €          0€                  0€            0€           0€         0€          0€ Stadt Nordhausen GVFG       1.191.300 €            0€                 31.600 €       80.700 €    280.000 €          0€            799.000 €           0€           0€         0€          0€ Stadt Eisenach   GVFG          70.000 €            0€                        0€                   70.000 €          0€                  0€            0€           0€         0€          0€ Summe Städte:              16.331.250 €    1.419.400 €             2.297.700 €      531.600 €  1.610.000 €  6.851.200 €         3.621.350 € Summe:                     27.101.880 €    3.540.200 €             3.450.700 € 1.288.200 €     5.400.000 €  6.851.200 €         4.495.880 €     70.300 €      60.100 €        0€  1.945.300 €
21

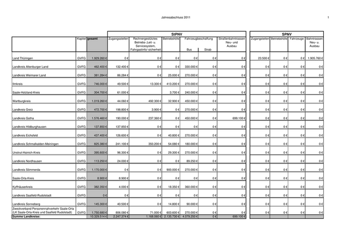
Jahresabschluss 2011                                                                                         1 StPNV                                                                    SPNV Kapitel gesamt         Zugangsstellen   Rechnergestütztes       Betriebshöfe    Fahrzeugbeschaffung   Straßenbahntrassen  Zugangstellen Betriebshöfe Fahrzeuge Bahntrassen Betriebs-,Leit- u.                                                Neu- und                                              Neu- u. Servicesystem,                                                    Ausbau                                               Ausbau Fahrgastinfo/-sicherheit                   Bus         Strab Land Thüringen                                GVFG       1.929.260 €            0€                        0€            0€          0€           0€                 0€      23.500 €           0€         0€  1.905.760 € Landkreis Altenburger Land                    GVFG         462.400 €      132.400 €                       0€            0€    330.000 €          0€                 0€            0€           0€         0€          0€ Landkreis Weimarer Land                       GVFG         381.284 €       86.284 €                       0€      25.000 €    270.000 €          0€                 0€            0€           0€         0€          0€ Ilmkreis                                      GVFG         746.000 €       49.500 €                13.300 €     413.200 €     270.000 €          0€                 0€            0€           0€         0€          0€ Saale-Holzland-Kreis                          GVFG         304.700 €       61.000 €                                 3.700 €   240.000 €          0€                 0€            0€           0€         0€          0€ Wartburgkreis                                 GVFG       1.019.260 €       44.060 €               492.300 €       32.900 €    450.000 €          0€                 0€            0€           0€         0€          0€ Landkreis Greiz                               GVFG         472.700 €      198.800 €                  3.900 €            0€    270.000 €          0€                 0€            0€           0€         0€          0€ Landkreis Gotha                               GVFG       1.576.460 €      190.000 €               237.360 €             0€    450.000 €          0€           699.100 €           0€           0€         0€          0€ Landkreis Hildburghausen                      GVFG         137.850 €      137.850 €                       0€            0€          0€           0€                 0€            0€           0€         0€          0€ Landkreis Eichsfeld                           GVFG         437.400 €      126.600 €                       0€      40.800 €    270.000 €          0€                 0€            0€           0€         0€          0€ Landkreis Schmalkalden-Meiningen              GVFG         825.380 €      241.100 €               350.200 €       54.080 €    180.000 €          0€                 0€            0€           0€         0€          0€ Unstrut-Hainich-Kreis                         GVFG         395.600 €       96.300 €                       0€      29.300 €    270.000 €          0€                 0€            0€           0€         0€          0€ Landkreis Nordhausen                          GVFG         113.250 €       24.000 €                       0€            0€     89.250 €          0€                 0€            0€           0€         0€          0€ Landkreis Sömmerda                            GVFG       1.170.000 €            0€                        0€    900.000 €     270.000 €          0€                 0€            0€           0€         0€          0€ Saale-Orla-Kreis                              GVFG           8.900 €        8.900 €                       0€            0€          0€           0€                 0€            0€           0€         0€          0€ Kyffhäuserkreis                               GVFG         382.350 €        4.000 €                       0€      18.350 €    360.000 €          0€                 0€            0€           0€         0€          0€ Landkreis Saalfeld-Rudolstadt                 GVFG               0€             0€                        0€            0€          0€           0€                 0€            0€           0€         0€          0€ Landkreis Sonneberg                           GVFG         145.300 €       40.500 €                       0€      14.800 €     90.000 €          0€                 0€            0€           0€         0€          0€ Zweckverband Personennahverkehr Saale-Orla (LK Saale-Orla-Kreis und Saalfeld Rudolstadt) GVFG       1.750.680 €      806.080 €                71.000 €     603.600 €     270.000 €          0€                 0€            0€           0€         0€          0€ Summe Landkreise:                                       10.329.514 €    2.247.374 €             1.168.060 € 2.135.730 €     4.079.250 €          0€           699.100 €
22

Jahresabschluss 2011                                                                                          2 StPNV                                                                     SPNV Kapitel gesamt         Zugangsstellen   Rechnergestütztes       Betriebshöfe    Fahrzeugbeschaffung    Straßenbahntrassen  Zugangstellen Betriebshöfe Fahrzeuge Bahntrassen Betriebs-,Leit- u.                                                 Neu- und                                              Neu- u. Servicesystem,                                                     Ausbau                                               Ausbau Fahrgastinfo/-sicherheit                   Bus         Strab Stadt Erfurt     GVFG      10.968.300 €       44.300 €               804.700 €     169.400 €     180.000 €  8.538.500 €         1.231.400 €           0€           0€         0€          0€ Stadt Gera       GVFG         982.600 €            0€                669.500 €       21.600 €    200.000 €          0€             91.500 €           0€           0€         0€          0€ Stadt Jena       GVFG       3.774.300 €      700.000 €               271.600 €            0€     180.000 €  2.600.000 €            22.700 €           0€           0€         0€          0€ Stadt Suhl       GVFG         136.900 €       34.500 €                       0€      12.400 €     90.000 €          0€                  0€            0€           0€         0€          0€ Stadt Weimar     GVFG         256.760 €       41.500 €                15.260 €            0€     200.000 €          0€                  0€            0€           0€         0€          0€ Stadt Nordhausen GVFG         359.160 €            0€                 48.200 €     130.960 €     180.000 €          0€                  0€            0€           0€         0€          0€ Stadt Eisenach   GVFG         503.800 €      413.800 €                       0€           0€      90.000 €          0€                  0€            0€           0€         0€          0€ Summe Städte:              16.981.820 €    1.234.100 €             1.809.260 €     334.360 €   1.120.000 € 11.138.500 €         1.345.600 € Summe:                     29.240.594 €    3.481.474 €             2.977.320 € 2.470.090 €     5.199.250 € 11.138.500 €         2.044.700 €     23.500 €           0€         0€  1.905.760 €
23