Rechtsextremismus und demokratische Gegenwehr

/ 29
PDF herunterladen
THÜRINGERLandtag Thüringer  LANDTAG- 4. Wahlperiode                                                                                          Drucksache 4/                 1404 4. Wahlperiode                                                                                                           zu Drucksache 4/1171 02.12.2005 Antwort des Thüringer Innenministeriums auf die Große Anfrage der Fraktion der Linkspartei.PDS - Drucksache 4/1171 - Rechtsextremismus und demokratische Gegenwehr Das Thüringer Innenministerium hat die Große Anfrage namens der Landesregierung mit Schreiben vom 2. Dezember 2005 wie folgt beantwortet: Vorbemerkung: Die nachfolgenden Angaben beziehen sich auf solche Erkenntnisse, die offen verwertbar sind. Für Auskünfte zu weitergehenden Erkenntnissen steht die Landesregierung gegebenenfalls der Parlamentarischen Kontrollkommission zur Verfügung. I. Rechtsextreme Parteien/Organisationen NPD 1. Welche Mitgliederzahl erreicht die NPD derzeit und wie bewertet die Landesregierung die Mitglieder- entwicklung in den letzten drei Jahren? Mitgliederentwicklung des N P D -L a n d e s v e r b a n d e s T h ü r in g e n 3 0 0 2 6 0     2 6 0 2 5 0 2 0 0                         2 0 0 2 0 0                                                                                                                           1 8 0 Mitglieder 1 5 0     1 5 0 1 5 0 1 0 0 9 0 6 0       6 0 5 0 5 0 4 0                                     4 0 0 1 9 9 2   1 9 9 3   1 9 9 4   1 9 9 5   1 9 9 6   1 9 9 7   1 9 9 8   1 9 9 9   2 0 0 0   2 0 0 1   2 0 0 2   2 0 0 3   2 0 0 4 Ja h r Dem Landesverband Thüringen der NPD gehören gegenwärtig etwa 200 Mitglieder an. Der Mitgliederzuwachs 2004 und im laufenden Jahr beruht vor allem auf der Integration von Perso- nen des neonazistischen Spektrums (siehe dazu auch die Antwort zu Frage 3 dieses Themenkomple- xes). Druck: Thüringer Landtag, 22. Dezember 2005 1
1

Drucksache 4/      1404                                      Thüringer Landtag - 4. Wahlperiode 2. Welche Gebietsverbände der NPD existieren in Thüringen? Der NPD-Landesverband Thüringen gliedert sich in die zehn Kreisverbände Altenburg, Erfurt-Gotha, Gera, Jena, Hildburghausen-Suhl, Nordhausen-Sondershausen, Saale-Orla-Kreis, Saalfeld-Rudol- stadt, Wartburgkreis und Weimar-Weimarer Land. Weiterhin bestehen die Ortsverbände Tannroda und Blankenhain, die jeweils einem Kreisverband regional zugeordnet sind. 3. Wie bewertet die Landesregierung die Vorstände des Landesverbandes bzw. der Gebietsverbände hinsichtlich der auf dem Bundesparteitag der NPD verkündeten "Volksfrontstrategie"? In einer am 19. September 2004 im Internet veröffentlichten Erklärung propagierte die NPD eine "Volksfront statt Gruppenegoismus" und sprach sich dafür aus, eine "Volksfront von Rechts" zu bil- den. Es bedürfe parteiunabhängiger Aktionsformen, um die globalen Gegenwartsprobleme zu meis- tern. Alle "volkstreuen" Deutschen seien daher aufgerufen, gemeinsam mit der NPD und führenden Vertretern freier Kräfte an einer wahren Volksbewegung für Deutschland zu arbeiten. In Thüringen ist das Verhältnis zwischen NPD und Neonazis traditionell eng und von Integration und Kooperation gekennzeichnet. Die Integration von Neonazis umfasst die Gewinnung von neuen Mitgliedern aus dem Neonazispek- trum sowie die Übertragung von Ämtern im Landesvorstand bzw. in den Kreisverbänden. NPD und Neonazis kooperieren eng miteinander, indem sie Veranstaltungen gemeinsam organisieren, für die- se mobilisieren und durchführen. Teilnehmer, Redner und Ordner treten oftmals auch auf Veranstal- tungen des jeweils anderen Spektrums auf. Die Einbindung von Neonazis in den Landesverband Thüringen der NPD wird insbesondere am Bei- spiel des bundesweit führenden Neonazis Thorsten HEISE deutlich. Auf dem Bundesparteitag der NPD im Oktober 2004 wurde er als Beisitzer in den Parteivorstand gewählt. Im April 2005 übernahm er zudem die Funktion eines Beisitzers im Vorstand des Landesverbandes Thüringen. Auch der Landesvorsitzende tritt seit Jahren offen für die Zusammenarbeit von NPD und Neonazis in Thüringen ein. Er entstammt selbst dem neonazistischen Lager und fungierte beispielsweise als Vor- sitzender des neonazistischen Vereins "Die Nationalen e.V.", bis dieser im November 1997 aufgelöst wurde. Darüber hinaus treten die meisten Kreisvorsitzenden der NPD in Thüringen offen für eine Zusam- menarbeit mit Neonazis ein bzw. entstammen häufig selbst diesem Spektrum. Im Übrigen wird auf die Antwort zu Frage 8 dieses Themenkomplexes verwiesen. 4. Welche Aktivitäten entfaltet der Landesverband der NPD Thüringen bezogen auf die "Volksfrontstra- tegie"? Die "Volksfrontstrategie" beinhaltet auch die Zusammenarbeit zwischen der NPD und der "Deutschen Volksunion" (DVU). Sie besteht insbesondere darin, Wahlbündnisse zu vereinbaren. Im Übrigen wird auf die Antwort zu den Fragen 3, 16 und 20 dieses Themenkomplexes verwiesen. 5. Inwieweit greift die NPD in Thüringen das Modell der kommunalen Verankerung der NPD Sachsen in Thüringen auf? Das vom Bundesvorsitzenden der Partei entwickelte "Drei-Säulen-Konzept" (Kampf um die Straße, Kampf um die Köpfe, Kampf um die Parlamente) bildet die Basis für die politische Agitation der NPD. Mit diesem Konzept verfolgt auch der Landesverband Thüringen das Ziel, parteipolitisch auf kommu- naler Ebene verankert zu sein. Das gelang in einem Fall. Bei den Thüringer Kommunalwahlen 2004 erhielt der Vorsitzende des Kreisverbandes Jena ein Mandat für den Ortschaftsrat in Lobeda/Altstadt. 2
2

Thüringer Landtag - 4. Wahlperiode                                           Drucksache 4/        1404 6. Wie viele Neumitglieder der NPD in den Jahren 2004 und 2005 entstammen so genannten Freien Kameradschaften? In den Jahren 2004 und 2005 konnte die NPD in Thüringen die Anzahl ihrer Mitglieder um ca. 50 Personen erhöhen. Überwiegend entstammen die neuen Mitglieder dem neonazistischen Spektrum. Der Partei traten sowohl Personen aus den "Freien Kameradschaften" als auch aus dem bislang unorganisierten Teil des neonazistischen Spektrums Thüringens bei. Eine konkrete zahlenmäßige Aufschlüsselung sowie regionale Zuordnung ist der Landesregierung nicht möglich. 7. In welchen Gebietsverbänden der NPD wurden diese aufgenommen? In den Jahren 2004 und 2005 erweiterte der Landesverband die Organisationsstruktur, die seit 2002 bestand. Im Juli 2004 wurde der Kreisverband Hildburghausen-Suhl, im Oktober 2004 der Ortsver- band Tannroda gegründet. Weiterhin wurde der Kreisverband Erfurt-Gotha-Nordhausen im Oktober 2004 in die beiden separaten Verbände Nordhausen-Sondershausen sowie Erfurt-Gotha geteilt. Im Mai 2005 wurde schließlich der Kreisverband Weimar-Weimarer Land gegründet. Eine konkretere regionale Zuordnung ist der Landesregierung nicht möglich. Im Übrigen wird auf die Antwort zu der Frage 8 dieses Themenkomplexes verwiesen. 8. Welche Angehörige so genannter Freier Kameradschaften begleiten eine Funktion im Landesver- band oder den Vorständen der Gebietsverbände der NPD? Thorsten HEISE wurde auf dem Bundesparteitag der NPD im September 2004 als Beisitzer in den Bundesvorstand gewählt; seit April 2005 gehört er auch als Beisitzer dem Vorstand des Landesver- bands Thüringen an. Der Thüringer Neonazi und ehemalige Funktionär der "Deutschen Partei", Mi- chael BURKERT, amtiert als Vorsitzender des im Oktober 2004 gebildeten Kreisverbands Erfurt- Gotha. Ralf WOHLLEBEN fungiert nicht nur als Vorsitzender des Kreisverbands Jena, sondern auch als stellvertretender Vorsitzender des Landesverbands. Zugleich zählt er zu den führenden Neonazis in Thüringen. Er verfügt über Kontakte, die weit in diese Szene hineinreichen; häufig tritt er als Initia- tor von Veranstaltungen auf. Den Vorsitz des im Mai 2005 gegründeten Kreisverbands Weimar-Wei- marer Land hat der Rechtsextremist und führende Neonazi Martin RÜHLEMANN inne. 9. Wie bewertet die Landesregierung die organisatorische wie inhaltliche Vernetzung der Thüringer NPD mit anderen Landesverbänden und dem Bundesvorstand der NPD? Innerhalb einer bundesweit agierenden Partei, wie sie auch die NPD darstellt, sind innerparteiliche Kontakte und Absprachen die Regel. In Thüringen sind für die Kontakte zwischen dem Bundesverband und dem Landesverband insbe- sondere Frank SCHWERDT und Thorsten HEISE verantwortlich. Frank SCHWERDT nimmt nicht nur die Funktion des Vorsitzenden des Landesverbands Thüringen wahr, sondern amtiert auch als Bun- desgeschäftsführer der Partei. Thorsten HEISE ist seit Oktober 2004 im Bundesvorstand vertreten. Darüber hinaus existieren auf Landesebene Kontakte zwischen Mitgliedern der Thüringer NPD und Mitgliedern anderer Landesverbände. Sie bestehen oft auch auf persönlicher Ebene; die Intensität dieser Kontakte ist daher Schwankungen ausgesetzt. 10.Welche Absprachen zwischen den verschiedenen rechtsextremen Parteien bzw. Organisationen ("Freie Kameradschaften") bestehen (bestanden) im Hinblick auf Bundestags- und Kommunalwahl? Wahlabsprachen zwischen rechtsextremistischen Parteien bzw. Organisationen Thüringens sind in Bezug auf die Kommunalwahlen im vergangenen Jahr nicht bekannt geworden. 11. Wird nach Kenntnis der Landesregierung die NPD eigene Bürgermeisterkandidaten in Thüringen aufstellen? Wenn ja, in welchen Kommunen ist damit zu rechnen? Der Landesverband Thüringen der NPD beabsichtigt, an den Wahlen der Bürgermeister und Landrä- te im Jahr 2006 mit zahlreichen Kandidaten teilzunehmen. Gegenwärtig liegen keine Erkenntnisse 3
3

Drucksache 4/     1404                                       Thüringer Landtag - 4. Wahlperiode vor, wo der Landesverband eigene Kandidaten für die Wahlen der Bürgermeister und Landräte nomi- nieren wird. 12.Wie bewältigt(e) die NPD Thüringen den Wahlkampf zur Bundestagswahl organisatorisch wie finan- ziell? Der Wahlkampf wurde vom Landesverband organisiert. Dabei wurde er von Personen aus dem neo- nazistischen Spektrum unterstützt. Nach dem gegenwärtigen Erkenntnisstand stellte der Landesverband keine eigenen Wahlkampfmit- tel her, sondern übernahm Propagandamaterial der Bundespartei. Diese leitete nach eigenen Anga- ben ihren Wahlkampf nicht von der Berliner Zentrale, sondern von der Geschäftsstelle der NPD in Sachsen aus. Der Landesverband dürfte von der Bundespartei finanziell unterstützt worden sein. Diese wollte eige- nen Angaben zufolge rund 1,2 Millionen Euro in den Wahlkampf investieren, um u.a. acht Millionen Flugblätter, sechs Millionen Plakate, eine Million Wahlzeitungen sowie eine "Schulhof-CD" mit rechts- extremistischer Rockmusik herzustellen. Da die NPD bei der Bundestagswahl im Ganzen 1,6 Pro- zent der Zweitstimmen auf sich vereinigte, erhält sie die Wahlkampfkosten in einem erheblichen Ausmaß erstattet. "Junge Nationaldemokraten" (JN) 13.Über welche organisatorischen Strukturen verfügt die Jugendorganisation der NPD in Thüringen? In Thüringen verfügen die "Jungen Nationaldemokraten" (JN) über die Stützpunkte Saale-Orla, Saal- feld-Rudolstadt und Jena. Ein Landesverband Thüringen besteht nach gegenwärtigem Erkenntnis- stand nicht. 14.Wer repräsentiert die JN in Thüringen personell? Nach Erkenntnissen der Landesregierung befinden sich die Strukturen der JN in Thüringen im Auf- bau. Im Übrigen wird auf die Vorbemerkung verwiesen. 15.Welche strategische Ausrichtung verfolgt die JN in Thüringen? Die im Jahr 1969 gegründete Jugendorganisation "Junge Nationaldemokraten" (JN) bildet einen "in- tegralen Bestandteil" der NPD. Der Vorsitzende der JN ist kraft Amtes zugleich Mitglied des Parteivor- standes der NPD. Die JN bezeichnen sich selbst als "Jugend für Deutschland". Sie verstehen sich als eine "weltanschaulich-geschlossene Jugendbewegung neuen Typs mit revolutionärer Ausrichtung und strenger innerorganisatorischer Disziplin, deren Aktivisten hohe Einsatz- und Opferbereitschaft abverlangt wird". Die JN bekennen sich zur "Volksgemeinschaft" und möchten diese in "einer neuen nationalistischen Ordnung verwirklichen". Den Schwerpunkt ihres politischen Kampfes sehen sie in der Basisarbeit in den Städten, Landkreisen und Gemeinden. Sie verfolgen das Ziel, ihre "politischen Vorstellungen in weite Kreise der deutschen Jugend" hineinzutragen. Der Jugend solle bewusst gemacht werden, dass es zum herrschenden System eine Alternative geben könne, die mit politischen Veränderungen einhergehe. Die Stützpunkte der JN in Thüringen sind in die parteipolitische Arbeit der Kreisverbände der NPD stark integriert. Ansätze einer eigenen Strategie sind nicht zu erkennen. 16.Wie bewertet die Landesregierung die Vernetzung der JN Thüringen mit so genannten Freien Kame- radschaften bzw. der Skinheadszene? Überwiegend rekrutieren sich die Mitglieder der JN aus Neonazis. Sie sind mit den regionalen NPD- Kreisverbandsstrukturen eng verbunden. Der Landesverband Thüringen der NPD tritt offen dafür ein, Angehörige des gesamten rechtsextremistischen Spektrums einzubinden. Es handelt sich dabei we- niger um eine Vernetzung als viel mehr um das konsequente Verfolgen der "Volksfrontstrategie". 4
4

Thüringer Landtag - 4. Wahlperiode                                            Drucksache 4/      1404 17.Wie bewertet die Landesregierung die Vernetzung der JN in Thüringen mit JN-Strukturen in anderen Bundesländern? Die JN stellen eine bundesweite Organisation dar, deren Landesverbände untereinander und mit dem Bundesverband in Kontakt stehen. Diese Kontakte kommen zum Beispiel in der gegenseitigen Teilnahme an Veranstaltungen der JN zum Ausdruck. 18.Welche weitere Entwicklung der JN in Thüringen erwartet die Landesregierung? Im Jahr 2004 konnten erste Ansätze einer Reorganisation der JN in Thüringen verzeichnet werden. Diese Entwicklung setzte sich im laufenden Jahr fort und fügt sich in den bundesweit zu beobachten- den Trend der Wiederbelebung von Strukturen sowie Aktivitäten der JN ein. Soweit diese Tendenz anhält, ist in Thüringen mit der Gründung von weiteren Stützpunkten bzw. der Neugründung eines Landesverbands zu rechnen. Eine solche Fortentwicklung hängt jedoch ent- scheidend davon ab, wie sich die NPD weiterentwickelt. "Deutsche Volksunion" (DVU), "Die Republikaner" (REP), "Deutsche Partei" (DP) 19.Wie bewertet die Landesregierung die Mitgliederentwicklung von DVU, Republikanern und DP? Die Mitgliederzahlen der DVU, der Republikaner und der DP gingen in den vergangenen Jahren in Thüringen zurück bzw. stagnierten auf geringem Niveau. Obwohl der Landesregierung die Zahlen für das laufende Jahr erst Anfang 2006 vorliegen, zeichnet sich bereits ab, dass sich dieser Trend teden- ziell fortsetzt. 20.Welche Rolle spielen diese rechtsextremen Parteien nach Auffassung der Landesregierung in Zu- kunft neben der NPD? Dies hängt von einer Reihe interner und externer Faktoren ab. Entscheidend dürfte sein, welche Position diese Parteien gegenüber der NPD einnehmen. "Freie Kameradschaften" Vorbemerkung: Über die nachfolgend genannten Gruppierungen hinaus tauchen weitere Bezeichnungen von Kamerad- schaften sowohl im Internet als auch auf Transparenten bzw. Flugblättern auf. Sie sind mitunter fiktiver Natur. Teilweise erfüllen entsprechende Cliquen nicht die Merkmale einer Kameradschaft, da es den Beteiligten entweder an der Bereitschaft zu gemeinsamer politischer Arbeit oder an einem abgegrenzten Aktivistenstamm mangelt. Viele Gruppierungen haben nur eine geringe Lebensdauer. Sie stehen und fallen mit dem Engagement und der Überzeugungskraft ihrer jeweiligen Wortführer. 21.Welche Gruppierungen, die sich selbst als "Freie Kameradschaften" bezeichnen, sind in Thüringen bekannt? Im Einzelnen traten insbesondere die folgenden neonazistischen Personenzusammenschlüsse in Thüringen unter der Bezeichnung "Freie Kameradschaften" in Erscheinung: a) "Kameradschaft Eisenach/Nationaler Widerstand Eisenach" Die Kameradschaft ist ein Relikt der früheren "Sektion Eisenach" des ehemaligen "Thüringer Hei- matschutzes" (THS). Die Sektion nannte sich auch "Nationales und Soziales Aktionsbündnis West- thüringen" (NSAW). Der Personenkreis tritt auch auf als •   "Zukunft-Perspektive-Heimat Bad Salzungen" (ZPH), •   "Freie Nationalisten aus Friedrichroda/Skinheadclub Friedrichroda" (F.N.F./S.C.F.), •   "Nationaler Widerstand Gotha", •   "Nationaler Widerstand Schmalkalden" und •   "Aktionsbüro Thüringen". 5
5

Drucksache 4/       1404                                    Thüringer Landtag - 4. Wahlperiode b) "Kameradschaft Northeim" c) "Nationaler Widerstand Weimar"/"Braune Aktionsfront Thüringen, Sektion Weimar" (NWW/B.A.F.) d) "Bürgerinitiative Schöner Wohnen - Altenburger Land" (Andere Bezeichnungen: "Nationale Sozialisten Altenburger Land" bzw. "Initiative-Meinungsfrei- heit auch für Deutsche") 22.Wie viele Mitglieder haben die jeweiligen Gruppierungen? Nach Erkenntnissen der Landesregierung hat die "Kameradschaft Eisenach/Nationaler Widerstand Eisenach" ca. 30 Mitglieder. Die weiteren unter 21 b) bis d) genannten Gruppierungen haben jeweils ca. 20 Mitglieder. 23.Verfügen die Gruppierungen über eine eigene Internetpräsenz oder Publikation, wenn ja, wie lautet der Titel und wie hoch ist der Verbreitungsgrad? Internetpräsenz a) "Kameradschaft Eisenach/Nationaler Widerstand Eisenach": • http://www.aktionsbuero-thueringen.de.vu • http://nsaw.de/kamesa.htm • http://www.stormpages.com/nsaw b) "Kameradschaft Northeim": • http://www.wbversand.com • http://www.wbversand.de c) "Nationaler Widerstand Weimar"/"Braune Aktionsfront Thüringen, Sektion Weimar": • http://web.digitronicweb.com:16080~weimaris/php/include.php?path=start.php • http://www.weimar-ist-braun.org/ d) Zur "Bürgerinitiative Schöner Wohnen - Altenburger Land" ist eine Internetpräsenz nicht bekannt. Eigene Publikationen der genannten Gruppierungen sind nicht bekannt. 24.Welche Aktivitäten entfalten die jeweiligen Gruppierungen? a) "Kameradschaft Eisenach/Nationaler Widerstand Eisenach" Dieser Personenkreis nimmt nicht nur an öffentlichkeitswirksamen Aktionen teil, sondern veran- staltet auch "Kameradschaftsabende". Auf der ständig aktualisierten Homepage des "Aktionsbü- ros Thüringen" finden sich Hinweise auf Veranstaltungen, Aufrufe, sich an ihnen zu beteiligen, Berichte über durchgeführte Aktionen, offene Briefe an Persönlichkeiten des öffentlichen Lebens, Diffamierungen des politischen Gegners oder staatlicher Institutionen. Häufig dienen die Seiten des "Aktionsbüros" der Selbstdarstellung. Thematisiert wurden in jüngerer Vergangenheit die Sozial- und Arbeitsmarktreformen der Bundes- regierung. Der Raum Eisenach bildet in dieser Hinsicht einen Schwerpunkt der Aktionen. Im lau- fenden Jahr wurden zahlreiche so genannte "Montagsdemonstrationen" veranstaltet und Flug- blätter, in denen gegen Ausländer agitiert wurde, verteilt. Anfang des Jahres 2005 konnten zwei Aktivitäten der "Kameradschaft Eisenach" im schulischen Umfeld festgestellt werden. So wurde am 11. Januar 2005 vor der Wartburgschule in Eisenach der Flyer "Hey ihr da, mitmachen!" verteilt, am 17. Februar 2005 kam es zur Verteilung des Flyers "Multi-Kulti an deutschen Schulen - Nein Danke!". 6
6

Thüringer Landtag - 4. Wahlperiode                                           Drucksache 4/    1404 b) "Kameradschaft Northeim" Die "Kameradschaft Northeim" wurde von einem Rechtsextremisten 1995 gegründet. Seit er im Oktober 2002 nach Thüringen umgezogen ist, finden auf seinem Anwesen "Kameradschaftsaben- de" statt, an denen sich in der Regel 15 bis 20 Personen beteiligen. Im Freistaat wurden bisher keine öffentlichkeitswirksamen Veranstaltungen des "Kameradenkreises" bekannt. c) "Nationaler Widerstand Weimar"/"Braune Aktionsfront Thüringen, Sektion Weimar" Organisiert wurden drei so genannte "Nationale Stadtrundgänge" in Weimar. Sie zogen je 50, 60 bzw. 30 Personen an. Die "Rundgänge" dienten eigener Darstellung nach der Besichtigung der "unzähligen deutschen Kulturgüter" in Weimar und der "Weiterbildung". In Wirklichkeit zielten sie jedoch darauf ab, die politischen Gegner und die Polizeibeamten - die von den Veranstaltern als "Systemknechte" diffamiert wurden - zu provozieren. Die "Stadtrundgänge" stellten ein Novum hinsichtlich der Aktivitäten Thüringer Rechtsextremisten dar. Bisher brachten sie ihre politischen Ansichten meist mittels Demonstrationen oder Mahnwachen zum Ausdruck. Weiterhin beteiligten sich Angehörige des NWW/B.A.F. nicht nur an zahlreichen Aktivitäten des rechtsextremistischen Spektrums in Thüringen und in angrenzenden Bundesländern. Sie veran- stalteten auch "Montagsdemonstrationen" in Weimar, die gegen die "Agenda 2010" und "Hartz IV" gerichtet waren, und organisierten am 11. September 2004 in Tröbsdorf bei Weimar ein Treffen von Angehörigen der rechtsextremistischen Szene Thüringens und benachbarter Bundesländer, an dem sich etwa 100 Personen beteiligten. d) "Bürgerinitiative Schöner Wohnen - Altenburger Land" Nach Erkenntnissen der Landesregierung führte die Gruppierung eine Versammlung unter freiem Himmel und eine Flugblattaktion in Altenburg durch. 25.Welche Kenntnis hat die Landesregierung zur länderübergreifenden Zusammenarbeit der "Freien Kameradschaften", insbesondere zur Region Sangerhausen (Sachsen/Anhalt), Coburg bzw. Nürn- berg (Bayern), Delitzsch (Sachsen), Northeim (Niedersachsen) und Kirtdorf (Hessen)? Über die Landesgrenzen hinaus bestehen persönliche Kontakte zwischen Rechtsextremisten. Eine länderübergreifende Zusammenarbeit der Thüringer "Freien Kameradschaften" mit den in der Frage genannten Regionen in Form von gemeinsamen Bündnissen oder Aktionen konnte jedoch bislang nicht festgestellt werden. Zwar finden sich meist auf den Internetseiten gegenseitige Mobilisierungs- aufrufe zu rechtsextremistischen Aktivitäten, dennoch erfolgte eine Anreise von Thüringer Neonazis meist nur zu bundesweit bedeutenden Aktionen. Auch umgekehrt konnte bislang nicht in nennens- werter Zahl die Teilnahme von Rechtsextremisten angrenzender Bundesländer bei demonstrativen Aktionen in Thüringen festgestellt werden. "Die Artgemeinschaft - Germanische Glaubens-Gemeinschaft wesensgemäßer Lebensgestaltung e.V." (Artgemeinschaft) 26.Welche Veranstaltungen der Artgemeinschaft verzeichnete die Landesregierung in Thüringen im Jahr 2004 und im ersten Halbjahr 2005 und wie werden diese bewertet? Die "Artgemeinschaft" führte 2004 und im ersten Halbjahr 2005 folgende sechs Gemeinschaftstagun- gen in Nordthüringen durch: •  19.-21.03.2004 •  17.-20.06.2004 •  24.-26.09.2004 •  03.-05.12.2004 •  18.-20.03.2005 •  17.-19.06.2005 Diese Gemeinschaftstagungen werden u.a. viermal jährlich um die Sonnenwenden bzw. Tag-und- Nacht-Gleichen veranstaltet. Nach außen wirken sie wie gesellige Familienfeiern. Nach Erkenntnis- 7
7

Drucksache 4/     1404                                       Thüringer Landtag - 4. Wahlperiode sen der Landesregierung werden sie nicht nur ausgerichtet, um das Brauchtum zu pflegen und Mit- gliederversammlungen abzuhalten. Vielmehr wurden während der geschlossenen Veranstaltungen auch Vorträge gehalten, die mitunter revisionistische, rassistische und antisemitische Äußerungen enthielten. Zum Teilnehmerkreis zählten auch Familien mit Kindern, so dass insbesondere bei den Sonnenwendfeiern die latente Gefahr besteht, dass über eine "Lagerfeuerromantik" auch rechtsex- tremistisches Gedankengut an die jungen Menschen herangetragen wird. 27.Über wie viele Mitglieder verfügt die Artgemeinschaft in Thüringen? Der "Artgemeinschaft" werden in Thüringen ca. zehn Mitglieder zugerechnet. "Deutsches Kolleg" (DK) 28.Welche Veranstaltungen des Deutschen Kollegs verzeichnete die Landesregierung in Thüringen im Jahr 2004 und im ersten Halbjahr 2005 und wie werden diese bewertet? Das "Deutsche Kolleg" (DK) führte in Thüringen im oben genannten Zeitraum folgende Veranstaltun- gen durch: •   27./28. März 2004      Thema: "System der Sozialwissenschaften" •   25.-27. Juni 2004      Thema: "Hegels Religionsphilosophie" •   08.-10. Oktober 2004   Thema: "Hegels System" •   08.-10. April 2005     Thema: "Reichsbürgerkunde" Das DK stellt einen rechtsextremistischen Theoriezirkel dar, der rassistische und antisemitische An- sichten vertritt. Es versteht sich als "Denkorgan des Deutschen Reiches". Seine zentrale Aufgabe sieht es darin, die "nationale Intelligenz" zu schulen, um zur "Wiederherstellung und vollen Hand- lungsfähigkeit des Deutschen Volkes als Deutsches Reich" beizutragen. Aufgrund seines zunehmend rechtsintellektuellen Anspruchs hat das Interesse von Rechtsextremis- ten an den theoretisch ausgerichteten Schulungen des Zirkels schon im Jahr 2004 stark abgenom- men. An den Veranstaltungen nehmen inzwischen nur noch jeweils etwa 30 Personen teil; im Jahr 2003 hatten sich noch je ca. 60 Personen an den Schulungen beteiligt. 29.Wie viele Teilnehmer an diesen Veranstaltungen kamen aus Thüringen? Die weitaus meisten Teilnehmer an den Schulungsveranstaltungen des "Deutschen Kollegs" stamm- ten aus anderen Bundesländern; aus Thüringen reisten nur vereinzelt Personen an. 30.Welche Verbindungen bestehen zwischen dem Deutschen Kolleg und dem Tagungsort in Thüringen? Der Tagungsort - ein Gasthof in Mosbach bei Eisenach - wird regelmäßig für die Veranstaltungen des DK genutzt. Der Landesregierung liegen keine Erkenntnisse vor, warum Mosbach als Veranstaltungsort gewählt wird. Bund Heimattreuer Jugend (BHJ) 31.Welche Veranstaltungen und Aktivitäten des Bundes Heimattreuer Jugend verzeichnete die Landes- regierung in Thüringen im Jahr 2004 und im ersten Halbjahr 2005 und wie werden diese bewertet? Über Aktivitäten und Veranstaltungen des Bundes Heimattreuer Jugend, der seit 2001 unter der Be- zeichnung HDJ - "Heimattreue Deutsche Jugend e.V." auftritt, liegen der Landesregierung keine Er- kenntnisse vor. 32.Über wie viele Mitglieder verfügt der Bund Heimattreuer Jugend in Thüringen? Der Landesregierung liegen dazu keine Erkenntnisse vor. 33.Wer sind die Regionalverantwortlichen und wie bewertet die Landesregierung diese Personen? Der Landesregierung liegen dazu keine Erkenntnisse vor. 8
8

Thüringer Landtag - 4. Wahlperiode                                           Drucksache 4/      1404 Institut für Staatspolitik 34.Welche Veranstaltungen des Institutes für Staatspolitik verzeichnete die Landesregierung in Thürin- gen im Jahr 2004 und im ersten Halbjahr 2005 und wie werden diese bewertet? Der Landesregierung liegen dazu keine Erkenntnisse vor. 35.Wie viele Teilnehmer an diesen Veranstaltungen kommen aus Thüringen? Der Landesregierung liegen dazu keine Erkenntnisse vor. Rechtsextremismus und Burschenschaften 36.Gibt es personelle Verbindungen Thüringer Burschenschaften zu rechtsextremen Organisationen bzw. Einzelpersonen? Wenn ja, wie sehen diese Verbindungen konkret aus? Bei der Burschenschaft "Normannia" aus Jena ergaben sich wiederholt Hinweise auf Kontakte zwi- schen Angehörigen der Burschenschaft und Personen der rechtsextremistischen Szene. Diese ge- stalteten sich so, dass Rechtsextremisten bei Veranstaltungen der Burschenschaft als Redner oder Teilnehmer auftraten bzw. Angehörige der Burschenschaft privat oder in ihrer Burschenschaftstracht an Veranstaltungen von Rechtsextremisten teilnahmen. Verbindungen der übrigen Burschenschaften zum rechtsextremistischen Spektrum sind der Landes- regierung nicht bekannt. 37.Gab es im Jahr 2004 bzw. im ersten Halbjahr 2005 Auftritte von Rechtsextremisten bei Thüringer Burschenschaften? Wenn ja, bei welchen Burschenschaften fanden diese statt und wer fungierte dort als Redner/Gast? Am 21. Februar 2004 fand in Jena das Stiftungsfest der Burschenschaft "Normannia" statt. An dieser Veranstaltung nahm der Publizist und Verleger Peter Dehoust teil. Peter Dehoust ist Mitherausgeber der rechtsextremistischen Monatszeitschrift "Nation & Europa" und Mitgesellschafter des "Nation Europa" Verlages. Erkenntnisse über Auftritte von Rechtsextremisten bei anderen Thüringer Burschenschaften liegen der Landesregierung nicht vor. 38.Wie bewertet die Landesregierung die Burschenschaft Normannia? Auf die Antwort zu Frage 36 dieses Themenkomplexes wird verwiesen. II. Rechtsextreme Kultur und Alltagswelt Nazirock 1. Wie viele Musikgruppen oder Einzelinterpreten mit rechtsextremem Hintergrund, etwa durch Perso- nen oder Art bzw. Inhalt der Musik sind in Thüringen bekannt? Der Landesregierung sind derzeit 14 aktive Musikgruppen einschließlich rechtsextremistischer Ein- zelinterpreten/Liedermacher bekannt. Darüber hinaus liegen bei weiteren Thüringer Bands Anhalts- punkte für eine rechtsextremistische Ausrichtung vor. 2. Wie lauten die Namen der Bands bzw. Einzelinterpreten? Bei den als rechtsextremistisch bewerteten Bands handelt es sich um: • "Blutstahl", Jena • "Brainwash", Altenburg • "D.N.A.", Gera • "Eugenik", Gera • "Garde 18", Westthüringen • "Isengard", Erfurt 9
9

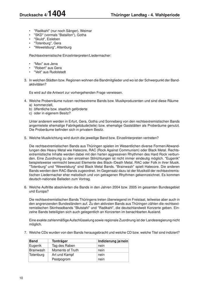
Drucksache 4/      1404                                    Thüringer Landtag - 4. Wahlperiode •   "Radikahl" (nur noch Sänger), Weimar •   "SKD" (vormals "Bataillon"), Gotha •   "Skuld", Eisleben •   "Totenburg", Gera •   "Wewelsburg", Altenburg Rechtsextremistische Einzelinterpreten/Liedermacher: •   "Max" aus Jena •   "Robert" aus Gera •   "Veit" aus Rudolstadt 3. In welchen Städten bzw. Regionen wohnen die Bandmitglieder und wo ist der Schwerpunkt der Band- aktivitäten? Es wird auf die Antwort zur vorhergehenden Frage verwiesen. 4. Welche Probenräume nutzen rechtsextreme Bands bzw. Musikproduzenten und sind diese Räume a) kommerziell, b) öffentliche bzw. staatlich geförderte c) oder in eigenem Besitz? Unter anderem werden in Erfurt, Gera, Gotha und Sonneberg von den rechtsextremistischen Bands angemietete ehemalige Fabrikgebäude(teile) bzw. ehemalige Gaststätten als Proberäume genutzt. Die Proberäume befinden sich in privatem Besitz. 5. Welche Musikrichtung wird durch die jeweilige Band bzw. Einzelinterpreten vertreten? Die rechtsextremistischen Bands aus Thüringen spielen im Wesentlichen diverse Formen/Abwand- lungen des Heavy Metal wie Hatecore, RAC (Rock Against Communism) oder Black Metal. Rechts- extremistische Inhalte werden dabei mit den harten aggressiven Rhythmen des Hard Rock verbun- den. Eine Zuordnung zu den einzelnen Stilrichtungen ist nicht immer eindeutig möglich. "Eugenik" beispielsweise vermischt bewusst Elemente des Black-/Death Metal, RAC oder Folk in ihrer Musik. "Totenburg" und "Wewelsburg" sind Black Metal Bands. "Brainwash" spielt Hatecore. Die anderen Bands werden dem RAC-Bands zugeordnet. Im Gegensatz dazu ist der Musikstil der rechtsextremis- tischen Liedermacher eher melodisch und von getragenen Rhythmen gekennzeichnet. Es kommen deutsch-nationale Balladen zum Vortrag. 6. Welche Auftritte absolvierten die Bands in den Jahren 2004 bzw. 2005 im gesamten Bundesgebiet und Europa? Die rechtsextremistischen Bands Thüringens treten überwiegend im Freistaat, teilweise aber auch in den angrenzenden Bundesländern auf. Zu den aktivsten Bands aus Thüringen zählen die rechtsext- remistischen Skinheadbands "Blutstahl" und "Radikahl", die deutschlandweit Konzerte geben. Ein- zelne Bands beteiligten sich auch gelegentlich an Konzerten im benachbarten Ausland. Eine exakte zahlenmäßige Aufschlüsselung sowie regionale Zuordnung ist der Landesregierung nicht möglich. 7. Welche CDs wurden von den Bands herausgebracht und welche CD bzw. welche Titel sind indiziert? Band            Tonträger                    Indizierung ja/nein Eugenik         Tag des Raben                nein Brainwash        Moments of Truth            nein Totenburg       Art und Kampf                nein Pestpogrom                   nein 10
10

Zur nächsten Seite