Akkreditierungsverfahren im Rahmen des Bologna-Prozesses

/ 69
PDF herunterladen
Bachelor- und Masterangebote an den Thüringer Hochschulen WS 2010/11                                                                                   Anlage 1 FH Jena Akkreditierung Auflagen grundständig (g) Anzahl                                                                                     ja (j)/ konsekutiv (k) Studiengang                Abschluss       Semes-   Beginn                      neu (n)                                          ja,wurden erfüllt postgradual (p) ter                                 oder                  Erst-        Dauer der          (j+)/ weiterbildend (w)             Agentur umgestellt         akkreditierung  Akkreditierung ja, wurden noch (u)                                            nicht erfüllt (j-)/ keine (n) durchgefallen (d) Pflegewissenschaft/                                            WS             k Master of Science          4                                    u      AHPGS     17.05.2006      30.09.2011           j+ Pflegemanegement                                             2007/08  Fernstudiengang Photovoltaik- und                                              WS Bachlor of Science         6                     g              n      ACQUIN   27.06.2008       30.09.2013            n Halbleitertechnologie                                        2008/09 Bachelor                                         21 Master                                           15 37 von 43                                                             Stand: 01.11.2010
41

Bachelor- und Masterangebote an den Thüringer Hochschulen WS 2010/11                                                                                         Anlage 1 FH Nordhausen Akkreditierung grundständig                                                         Auflagen (g)                                                              ja (j)/ konsekutiv (k)                                                      ja,wurden Anzahl                              neu  (n)                                            erfüllt (j+)/ Studiengang                   Abschluss                  Beginn     postgradual Semester                              oder                   Erst-         Dauer der     ja, wurden (p)                  Agentur weiterbildend  umgestellt          akkreditierung Akkreditierung noch nicht (w)         (u)                                               erfüllt (j-)/ keine (n) durchgefallen (d) Betriebswirtschaftslehre/                 Bachelor of Arts                  WS 6                        g           u      ACQUIN    19.09.2006       30.09.2011            j- Business Administration                                                  2006/07 Gesundheits- und Sozialwesen/             Bachelor of Arts                  WS 6                        g           u      ACQUIN    29.07.2006       30.09.2011           j+ Health and Social Services                                               2006/07 Innovations- und Changemanegement         Master of Arts           4      SS 2008          k, p       neu      ACQUIN     31.03.2008      01.10.2012           j+ International Buisness                    Bachelor of Arts                  WS 6      2009/10           g         neu      ACQUIN       21.06.2010    30.09.2015           n Öffentliche Betriebswirtschaft / Public   Bachelor of Arts                  WS reakkreditiert Management                                                         7     2003/200           g         neu      ACQUIN    26.03.2004                            n bis 30.09.2016 4 Public Management & Governance            Master of Arts 3      SS 2007          k,p        neu      ACQUIN    08.12.2006       30.09.2012           n Regenerative Energietechnik               Bachelor of                       WS 6                        g         neu      ACQUIN    29.06.2006       30.09.2011           n Engineering                    2006/07 Sozialmanagement                          Bachelor of Arts                  WS 6                        g           u      ACQUIN    29.06.2006       30.09.2011           j+ 2006/07 Systems Engineering                       Master of Engineering             WS 4                       k,p        neu      ACQUIN    29.06.2006       30.09.2011           j+ 2008/09 Technische Informatik                     Bachelor of                       WS 6                        g           u      ACQUIN    29.06.2006       30.09.2011           j+ Engineering                    2006/07 Seite 38 von 43                                                              Stand: 01.11.2010
42

Bachelor- und Masterangebote an den Thüringer Hochschulen WS 2010/11                                                                                    Anlage 1 FH Nordhausen Akkreditierung grundständig                                                     Auflagen (g)                                                          ja (j)/ konsekutiv (k)                                                  ja,wurden Anzahl                             neu  (n)                                        erfüllt (j+)/ Studiengang                    Abschluss                 Beginn     postgradual Semester                             oder                  Erst-         Dauer der  ja, wurden (p)                 Agentur weiterbildend  umgestellt         akkreditierung Akkreditierung noch nicht (w)         (u)                                           erfüllt (j-)/ keine (n) durchgefallen (d) Umwelt- und Recyclingtechnik              Bachelor of                      WS 6                       g           u      ACQUIN   30.06.2006       01.10.2011        j+ Engineering                    2006/07 Wirtschaftsingenieurwesen                 Master of Engineering            WS 4                      k,p        neu      ACQUIN   19.09.2006       30.09.2012        j+ 2007/08 Bachelor                                                      8 Master                                                        4 Seite 39 von 43                                                          Stand: 01.11.2010
43

Bachelor- und Masterangebote an den Thüringer Hochschulen WS 2010/11                                                                                       Anlage 1 FH Schmalkalden Akkreditierung Auflagen ja (j)/ grundständig (g)                                                    ja,wurden Anzahl                  konsekutiv (k)    neu (n)                                          erfüllt (j+)/ Studiengang              Abschluss                    Beginn Semester                 postgradual (p)    oder                  Erst-        Dauer der    ja, wurden weiterbildend (w) umgestellt Agentur akkreditierung Akkreditierung noch nicht (u)                                            erfüllt (j-)/ keine (n) durchgefallen (d) Angewandte Kunststofftechnik                                       WS 7                             g            n      ACQUIN    23.01.2008    Ende SS 2014         j+ Bachelor of Engineering            2008/09 WS 2010/11 7                             g            u       FIBAA   WS 2010/11      01.08.2015 BWL                          Bachelor of Arts                                                                                                            j- Elektrische Energie- und 7     WS 2006/07              g            n      ACQUIN   27.03.2007      30.09.2012          j+ Automatisierungstechnik      Bachelor of Science Elektrotechnik- und 3     WS 2008/09             k,p           u      ACQUIN   27.03.2007      30.09.2012          j+ Informationstechnik          Master of Engineering BISS (Duales Studium)        Bachelor of vergleiche Science oder Bachelor of 9     WS 2006/07                           u      ACQUIN beteiligte BA-                        j+ Engineering + Studiengänge Facharbeiter (IHK) Fahrzeugelektronik                                             WS 2010/11 7                             g            n      ACQUIN   26.02.2009      30.09.2011          j+ Bachelor of Science Master of Business 5     WS 2009/10              w            n       FIBAA    17.11.2009     01.08.2015 Administration j+ Informatik                   Bachelor of Science         6     WS 2006/07              g            u      ACQUIN   24.03.2006      30.03.2011          j+ Seite 40 von 43                                                          Stand: 01.11.2010
44

Bachelor- und Masterangebote an den Thüringer Hochschulen WS 2010/11                                                                                      Anlage 1 FH Schmalkalden Akkreditierung Auflagen ja (j)/ grundständig (g)                                                    ja,wurden Anzahl                  konsekutiv (k)    neu (n)                                          erfüllt (j+)/ Studiengang             Abschluss                    Beginn Semester                 postgradual (p)    oder                  Erst-        Dauer der    ja, wurden weiterbildend (w) umgestellt Agentur akkreditierung Akkreditierung noch nicht (u)                                            erfüllt (j-)/ keine (n) durchgefallen (d) Informationstechnik          Bachelor of Science        7     WS 2006/07              g            n      ACQUIN   27.03.2007      30.09.2012          j+ International Business                                        WS 2010/11 6                             g            n       FIBAA   WS 2010/11      01.08.2015 and Economics                Bachelor of Arts                                                                                                           j- International Business 4     WS 2006/07             k,p           n       FIBAA    WS 06/07       01.08.2017           j- and Economics                Master of Arts IT-Servicemanagement         Bachelor of Science        6     WS 2008/09              g            n      ACQUIN    23.01.2008    Ende SS 2014         j+ Maschinenbau 7     WS 2006/07              g            u      ACQUIN   27.03.2007      30.09.2012          j+ Bachelor of Engineering Master of Engineering      3      SS 2009               k,p           n      ACQUIN   27.03.2007      30.09.2012          j+ Media Processing and 4     WS 2009/10             k,p           n      ACQUIN    23.05.2005      31.03.2011         j+ Interactive Services         Master of Science Multimedia-Marketing         Bachelor of Science        6     WS 2008/09              g            n      ACQUIN    23.01.2008    Ende SS 2014         j+ Wirtschaftsinformatik        Bachelor of Science        6     WS 2006/07              g            u      ACQUIN   27.03.2007      30.09.2012          j+ Wirtschaftsingenieur-wesen 7     WS 2006/07              g            u      ACQUIN   27.03.2007      30.09.2012          j+ Bachelor of Engineering Wirtschafts- 6     WS 2006/07              g            n       FIBAA    WS 06/07       31.08.2017           j- wissenschaften               Bachelor of Arts Wirtschaftsrecht             Bachelor of Laws           7     WS 2006/07              g            u       FIBAA   20.07.2007      30.09.2012          j+ Wirtschaftsrecht             Master of Laws             3      SS 2008               k,p           n       FIBAA   20.07.2007      30.09.2012          j+ Seite 41 von 43                                                          Stand: 01.11.2010
45

Bachelor- und Masterangebote an den Thüringer Hochschulen WS 2010/11                                                                                    Anlage 1 FH Schmalkalden Akkreditierung Auflagen ja (j)/ grundständig (g)                                                    ja,wurden Anzahl                  konsekutiv (k)    neu (n)                                          erfüllt (j+)/ Studiengang               Abschluss                  Beginn Semester                 postgradual (p)    oder                  Erst-        Dauer der    ja, wurden weiterbildend (w) umgestellt Agentur akkreditierung Akkreditierung noch nicht (u)                                            erfüllt (j-)/ keine (n) durchgefallen (d) Sportmanagement              Master of Business 5    WS 2009/10             w             n       FIBAA    17.11.2009     01.08.2015 Administration j+ WS 2010/11 7                            g             u       FIBAA   WS 2010/11      01.08.2015 VWL                          Bachelor of Arts                                                                                                         j- Bachelor                                        15 Master                                           7 Seite 42 von 43                                                          Stand: 01.11.2010
46

Zum WS 2010/11 noch nicht in die gestufte Studienstruktur umgestellte Studiengänge                                                   Anlage 2 Universität Erfurt                  Magister (alt) Katholische Theologie Staatsexamen   Lehramt Gymnasium Katholische Theologie (mit FSU Jena) Friedrich-Schiller-Universität Jena Diplom         Evangelische Theologie Staatsexamen   Medizin Pharmazie Rechtswissenschaft Zahnmedizin Lehramt Gymnasium Lehramt Regelschule Bauhaus-Universität Weimar          Staatsexamen   Lehramt Gymnasium Doppelfach Kunst (mit FSU Jena) Diplom         Freie Kunst Hochschule für Musik Franz Liszt    Staatsexamen   Lehramt Gymnasium Musik Zweifach (mit FSU Jena) Weimar Diplom         Kirchenmusik A Kirchenmusik B Ergänzungsstudium Dirigieren Ergänzungsstudium Korrepetition Ergänzungsstudium zum Erwerb des Künstlerischen Diploms nach Pädagogischem Diplom in den Fachrichtungen Orchesterinstrumente, Blockflöte, Gitarre, Klavier, Akkordeon, Cembalo Ergänzungsstudium zum Erwerb des Künstlerischen Diploms nach Pädagogischem Diplom in der Studienrichtung Jazz instrumental bzw. vokal Ergänzungsstudium zum Erwerb des Künstlerischen Diploms in der Studienrichtung Alte Musik, Fachrichtungen Barockstreichinstrumente und Viola da gamba/Lirone Ergänzungsstudium zum Erwerb des Pädagogischen Diploms in den Fachrichtungen Orchester-instrumente, Blockflöte, Gitarre, Klavier, Akkordeon Ergänzungsstudium zum Erwerb des Pädagogischen Diploms in der Studienrichtung Jazz instrumental bzw. vokal
47

Anlage 3 Kosten für die Akkreditierungsverfahren der Thüringer Hochschulen Zahlung an Agenturen durchschn. Kosten/ Stichtag 31.11.2010 Studiengang lt. Angabe incl. laufender der Hochschule Verfahren Universität Erfurt                                          173.340 €                2.889,00 € Technische Universität Ilmenau*                              85.533 €                6.109,00 € Friedrich-Schiller-Universität Jena                         283.796 €                3.380,00 € Bauhaus-Universität Weimar                                  136.822 €                4.886,50 € Hochschule für Musik Franz Liszt Weimar                      44.215 €                8.843,00 € FH Erfurt                                                   232.000 €                8.923,08 € FH Jena                                                     145.064 €                4.029,56 € FH Nordhausen                                                82.480 €                6.873,33 € FH Schmalkalden                                             146.613 €                5.638,96 € Gesamtkosten Programmakkreditierung                        1.329.863 € * hinzu kommen für die TU Ilmenau Kosten für die Systemakkreditierung in 2010                                                               16.050 € in 2011 voraussichtlich                                               54.570 €
48

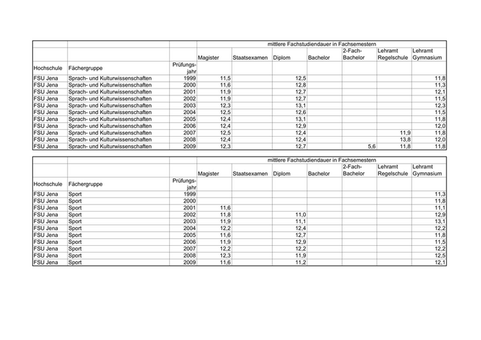
Anlage 4 Entwicklung der mittleren Fachstudiendauer an den Thüringer Hochschulen seit dem Jahr 1999 nach Fächergruppen Die Entwicklung der mittleren Fachstudiendauer an den einzelnen Thüringer Hochschulen nach Fächergruppen seit dem Jahr 1999 ist in den beigefügten Übersichten dargestellt. Die Regelstudienzeiten betragen gemäß § 46 ThürHG für: - Bachelor-Studiengänge mindestens 6 und höchstens 8 Fachsemester, - Master-Studiengänge mindestens 2 und höchstens 4 Fachsemester, - noch vorhandene Diplom- bzw. Magisterstudiengänge höchstens 9 Fachsemester sowie für die Staatsexamensstudiengänge gemäß den jeweils gültigen Regelungen: - 8 Fachsemester (Pharmazie), - 9 Fachsemester (Rechtswissenschaften, Lehramt an Regelschulen), - 10 Fachsemester (Lehramt an Gymnasien), - 11 Fachsemester (Zahnmedizin) bzw. 12,5 Fachsemester (Medizin). Der modularisierte Magister-Studiengang Katholische Religion hat eine Regelstudienzeit von 10 Fachsemestern.
49

mittlere Fachstudiendauer in Fachsemestern 2-Fach-      Lehramt      Lehramt Magister      Staatsexamen Diplom          Bachelor     Bachelor     Regelschule Gymnasium Prüfungs- Hochschule Fächergruppe jahr FSU Jena   Sprach- und Kulturwissenschaften     1999            11,5                         12,5                                                11,8 FSU Jena   Sprach- und Kulturwissenschaften     2000            11,6                         12,8                                                11,3 FSU Jena   Sprach- und Kulturwissenschaften     2001            11,9                         12,7                                                12,1 FSU Jena   Sprach- und Kulturwissenschaften     2002            11,9                         12,7                                                11,5 FSU Jena   Sprach- und Kulturwissenschaften     2003            12,3                         13,1                                                12,3 FSU Jena   Sprach- und Kulturwissenschaften     2004            12,5                         12,6                                                11,5 FSU Jena   Sprach- und Kulturwissenschaften     2005            12,4                         13,1                                                11,8 FSU Jena   Sprach- und Kulturwissenschaften     2006            12,4                         12,9                                                12,0 FSU Jena   Sprach- und Kulturwissenschaften     2007            12,5                         12,4                                   11,9         11,8 FSU Jena   Sprach- und Kulturwissenschaften     2008            12,4                         12,4                                   13,8         12,0 FSU Jena   Sprach- und Kulturwissenschaften     2009            12,3                         12,7                       5,6         11,8         11,8 mittlere Fachstudiendauer in Fachsemestern 2-Fach-      Lehramt      Lehramt Magister      Staatsexamen Diplom          Bachelor     Bachelor     Regelschule Gymnasium Prüfungs- Hochschule Fächergruppe jahr FSU Jena   Sport                                1999                                                                                             11,3 FSU Jena   Sport                                2000                                                                                             11,8 FSU Jena   Sport                                2001            11,6                                                                             11,1 FSU Jena   Sport                                2002            11,8                         11,0                                                12,9 FSU Jena   Sport                                2003            11,9                         11,1                                                13,1 FSU Jena   Sport                                2004            12,2                         12,4                                                12,2 FSU Jena   Sport                                2005            11,6                         12,7                                                11,8 FSU Jena   Sport                                2006            11,9                         12,9                                                11,5 FSU Jena   Sport                                2007            12,2                         12,2                                                12,2 FSU Jena   Sport                                2008            12,3                         11,9                                                12,5 FSU Jena   Sport                                2009            11,6                         11,2                                                12,1
50

Zur nächsten Seite