Polizeistrukturreform - Polizeirevier Königs Wusterhausen

/ 809
PDF herunterladen
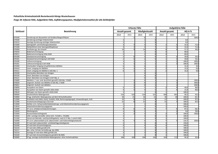
Polizeiliche Kriminalstatistik Revierbereich Königs Wusterhausen Frage 34: Erfasste Fälle, Aufgeklärte Fälle, Aufklärungsquoten, Häufigkeitskennzahlen für alle Deliktsfelder Erfasste Fälle                         Aufgeklärte Fälle Schlüssel                                                    Bezeichnung                                   Anzahl gesamt        Häufigkeitszahl     Anzahl gesamt            AQ in % 2014      2015       2014       2015     2014      2015      2014        2015 516500         Betrug bzw. Computerbetrug mittels rechtswidrig erlangter Daten von Zahlungskarten                   3        15          3         15        3        12     100,0        80,0 516900         Betrug bzw. Computerbetrug mittels rechtswidrig erlangter sonstiger unbarer Zahlungsmittel           3         1          3          1        3               100,0         0,0 517000         Sonstiger Betrug                                                                                   375       330        377        327      281       256       74,9       77,6 517100         Leistungsbetrug                                                                                     20        20         20         20       17        15       85,0       75,0 517200         Leistungskreditbetrug                                                                               25        33         25         33       22        29       88,0       87,9 517400         Betrug z.N.v. Versich. und Versich.missbrauch                                                        3         7          3          7        2         7       66,7      100,0 517410         Betrug zum Nachteil von Versicherungen                                                               2         7          2          7        1         7       50,0      100,0 517420         Versicherungsmissbrauch                                                                              1                    1          0        1               100,0 517500         Computerbetrug (sonstiger)                                                                           1        11          1         11        1        11     100,0       100,0 517600         Provisionsbetrug                                                                                     1                    1          0        1               100,0 517800         Sozialleistungsbetrug                                                                               68        43         68         43       69        43     101,5       100,0 517900         Missbräuchliche Nutzung von Telekommunikationsdiensten                                               2                    2          0                           0,0 518100         Abrechnungsbetrug                                                                                   19        14         19         14       20        11     105,3        78,6 518110         Abrechnungsbetrug im Gesundheitswesen                                                               11         6         11          6       12         6     109,1       100,0 518179         Sonstiger Abrechnungsbetrug                                                                          8         8          8          8        8         5     100,0        62,5 518200         Einmietbetrug                                                                                       13        11         13         11       12         7       92,3       63,6 518300         Überweisungsbetrug                                                                                   9        16          9         16        4         6       44,4       37,5 518310         Kontoeröffnungsbetrug                                                                                          2          0          2                  2                 100,0 518320         Überweisungsbetrug                                                                                   9        14          9         14        4         4       44,4       28,6 518400         Zechbetrug                                                                                           3         4          3          4        3         3     100,0        75,0 518900         Sonstige weitere Betrugsarten                                                                      211       171        212        170      130       124       61,6       72,5 520000         Veruntreuungen                                                                                      27        24         27         24       27        24     100,0       100,0 521000         Untreue                                                                                              7         8          7          8        7         8     100,0       100,0 521079         Sonstige Untreue                                                                                     7         8          7          8        7         8     100,0       100,0 522000         Vorenthalten und Veruntreuen von Arbeitsentgelt                                                     20        16         20         16       20        16     100,0       100,0 530000         Unterschlagung                                                                                     186       155        187        154      112        84       60,2       54,2 531000         Unterschlagung von Kfz                                                                              18         7         18          7       18         7     100,0       100,0 540000         Urkundenfälschung                                                                                   92        85         92         84       76        75       82,6       88,2 540001         Sonstige Urkundenfälschung                                                                          67        62         67         61       61        53       91,0       85,5 540002         Mittelbare Falschbeurkundung                                                                         5         5          5          5        5         5     100,0       100,0 540003         Verändern von amtl. Ausweisen                                                                                  1          0          1                  1                 100,0 540004         Urkundenunterdrückung; Veränderung einer Grenzbezeichnung § 274 StGB                                 1        11          1         11        1        11     100,0       100,0 540006         Verschaffen von falschen amtl. Ausweisen                                                             2         1          2          1        2         1     100,0       100,0 540008         Ausstellen unrichtiger Gesundheitszeugnisse                                                                    1          0          1                  1                 100,0 540010         Missbrauch von Ausweispapieren                                                                       4         2          4          2        2         2       50,0      100,0 541000         Fälschung technischer Aufzeichnungen                                                                 2                    2          0        2               100,0 541001         Manipulation von Fahrtenschreibern und EG-Kontrollgeräten gemäß § 268 StGB                           2                    2          0        2               100,0 542000         Fälschung zur Erlangung von Btm                                                                      1                    1          0        1               100,0 543000         Fälsch. beweiserhebl. Daten, Täusch. im Rechtsverkehr b. Datenverarb.                               10         2         10          2        2         1       20,0       50,0 543010         Fälschung beweiserheblicher Daten                                                                    9         2          9          2        1         1       11,1       50,0 543020         Täuschung im Rechtsverkehr bei Datenverarbeitung                                                     1                    1          0        1               100,0 550000         Geld- und Wertzeichenfälschung                                                                      13         7         13          7       12         7       92,3      100,0 551000         Geld- und Wertzeichenfälschung einschl. Vorbereitungshandlungen                                      3         1          3          1        3         1     100,0       100,0
181

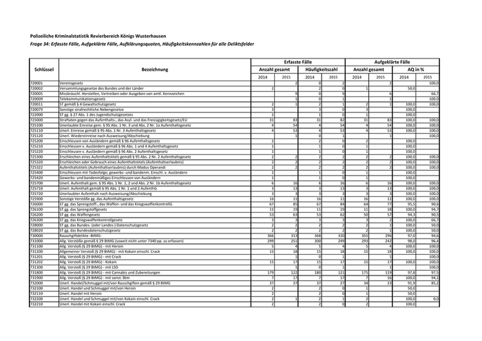
Polizeiliche Kriminalstatistik Revierbereich Königs Wusterhausen Frage 34: Erfasste Fälle, Aufgeklärte Fälle, Aufklärungsquoten, Häufigkeitskennzahlen für alle Deliktsfelder Erfasste Fälle                         Aufgeklärte Fälle Schlüssel                                                     Bezeichnung                                  Anzahl gesamt        Häufigkeitszahl     Anzahl gesamt            AQ in % 2014      2015       2014       2015     2014      2015      2014        2015 551010         Geldfälschung (einschl. Vorbereitungshandlung)                                                       2         1           2         1        3         1     150,0       100,0 551030         Vorbereitung der Fälschung von Geld und Wertzeichen                                                  1                     1         0                           0,0 552000         Inverkehrbringen von Falschgeld §§ 146 Abs. 1 Nr. 3, 147 StGB                                        9         6           9         6        9         6     100,0       100,0 552020         Inverkehrbringen von Falschgeld gemäß § 147 StGB (nach gutgläubigem Erwerb)                          9         6           9         6        9         6     100,0       100,0 553000         Fälsch. v. Zahlungskarten mit/ohne Garantiefunktion, Schecks u. Wechseln                             1                     1         0                           0,0 553200         Nachmachen, Verfälschen, Verschaffen, Feilhalten o. Überl. falscher Zahlungsk                        1                     1         0                           0,0 553210         Nachm., Verfälsch, Verschaff falscher Zahlungsk. o. Garantiefunktion                                 1                     1         0                           0,0 560000         Insolvenzstraftaten                                                                                  5         8           5         8        4         7       80,0       87,5 561000         Bankrott                                                                                             3         5           3         5        2         4       66,7       80,0 563000         Verletzung der Buchführungspflicht                                                                   2         1           2         1        2         1     100,0       100,0 565000         Schuldnerbegünstigung                                                                                          2           0         2                  2                 100,0 600000         Sonstige Straftatbestände (StGB)                                                                 1.714     1.618       1.722     1.604    1.040       960       60,7       59,3 610000         Erpressung                                                                                           8         5           8         5        8         3     100,0        60,0 610079         Sonstige Erpressung                                                                                  7         4           7         4        7         3     100,0        75,0 611000         Erpressung auf sex. Grundlage                                                                        1         1           1         1        1               100,0         0,0 620000         Widerstand gg. die Staatsgewalt und ST gg. die öff. Ordnung                                        194       234         195       232      161       194       83,0       82,9 620001         Störung des öffentl. Friedens durch Androhung von ST                                                 6         6           6         6        4         4       66,7       66,7 620003         Bildung krimineller Vereinigungen                                                                              2           0         2                  2                 100,0 620005         Amtsanmaßung                                                                                         4                     4         0        2                 50,0 620006         Missbr. von Titeln, Berufsbezeichnungen, Abzeichen                                                   2         2           2         2        2         1     100,0        50,0 620007         Verwahrungsbruch                                                                                     1                     1         0                           0,0 620009         Verstrickungsbruch, Siegelbruch                                                                      1         2           1         2        1               100,0         0,0 620013         Missbr. von Notrufen und Beeintr. v. Unfallverhütungs- und Nothilfemitteln                          16        18          16        18       10        13       62,5       72,2 620014         Verstoß gg. Weisung während Führungsaufsicht                                                         2         2           2         2        2         2     100,0       100,0 621000         Widerstand gg. die Staatsgewalt                                                                     36        54          36        54       36        53     100,0        98,1 621010         Öffentliche Aufforderung zu Straftaten                                                               1         2           1         2        1         1     100,0        50,0 621020         Widerstand gg. Vollstreckungsbeamte                                                                 35        50          35        50       35        50     100,0       100,0 621021         Widerstand gegen Polizeivollzugsbeamte                                                              35        50          35        50       35        50     100,0       100,0 621030         Widerstand gegen gleichgestellte Personen                                                                      2           0         2                  2                 100,0 622000         Hausfriedensbruch                                                                                  108       112         108       111       87        84       80,6       75,0 622100         Hausfriedensbruch gemäß § 123 StGB                                                                 108       112         108       111       87        84       80,6       75,0 623000         Landfriedensbruch                                                                                              2           0         2                  2                 100,0 623010         Landfriedensbruch gemäß § 125 StGB                                                                             1           0         1                  1                 100,0 623020         Besonders schwerer Landfriedensbruch                                                                           1           0         1                  1                 100,0 624000         Vortäuschen einer Straftat                                                                          10        19          10        19       10        19     100,0       100,0 624079         Vortäuschen einer sonstigen Straftat                                                                 6         9           6         9        6         9     100,0       100,0 624100         Vortäuschen eines Raubes                                                                                       5           0         5                  5                 100,0 624200         Vortäuschen eines Diebstahls                                                                         4         5           4         5        4         5     100,0       100,0 624201         Vortäuschen eines Kfz-Diebstahls                                                                     1         5           1         5        1         5     100,0       100,0 624279         Vortäuschen eines sonstigen Diebstahls                                                               3                     3         0        3               100,0 627000         Volksverhetzung                                                                                      8        15           8        15        7        14       87,5       93,3 630000         Begünstigung, Strafvereitelung, Hehlerei u. Geldwäsche                                              39        31          39        31       39        31     100,0       100,0 630010         Begünstigung                                                                                         1                     1         0        1               100,0
182

Polizeiliche Kriminalstatistik Revierbereich Königs Wusterhausen Frage 34: Erfasste Fälle, Aufgeklärte Fälle, Aufklärungsquoten, Häufigkeitskennzahlen für alle Deliktsfelder Erfasste Fälle                         Aufgeklärte Fälle Schlüssel                                                    Bezeichnung                                   Anzahl gesamt        Häufigkeitszahl     Anzahl gesamt            AQ in % 2014      2015       2014       2015     2014      2015      2014        2015 630020         Strafvereitelung                                                                                     3         2           3         2        3         2     100,0       100,0 631000         Hehlerei von Kfz                                                                                     5         6           5         6        5         6     100,0       100,0 631079         Hehlerei von Kfz gemäß § 259 StGB                                                                    5         6           5         6        5         6     100,0       100,0 632000         Sonstige Hehlerei                                                                                   20        15          20        15       20        15     100,0       100,0 632079         Sonstige Hehlerei                                                                                   20        14          20        14       20        14     100,0       100,0 632100         Gewerbsmäßige Hehlerei                                                                                         1           0         1                  1                 100,0 633000         Geldwäsche, Verschleierung unrechtmäßig erl. Vermögenswerte                                         10         8          10         8       10         8     100,0       100,0 640000         Brandstiftung und Herbeiführen einer Brandgefahr                                                    43        65          43        64       19        25       44,2       38,5 640010         Fahrlässige Brandstiftung                                                                           20        28          20        28       12        16       60,0       57,1 640020         Fahrlässiges Herbeiführen einer Brandgefahr                                                                    1           0         1                  1                 100,0 641000         (Vorsätzliche) Brandstiftung und Herbeiführen einer Brandgefahr                                     23        36          23        36        7         8       30,4       22,2 641010         Vorsätzliche Brandstiftung                                                                          20        34          20        34        5         7       25,0       20,6 641020         Schwere Brandstiftung                                                                                3         2           3         2        2         1       66,7       50,0 650000         Wettbewerbs-, Korruptions- und Amtsdelikte                                                          15         8          15         8        4         4       26,7       50,0 651000         Vorteilsannahme, Bestechlichkeit                                                                     6         3           6         3        2         2       33,3       66,7 651100         Vorteilsannahme § 331 StGB                                                                           3                     3         0        1                 33,3 651200         Bestechlichkeit § 332 StGB                                                                           3         3           3         3        1         2       33,3       66,7 652000         Vorteilsgewährung, Bestechung                                                                        2         1           2         1                           0,0        0,0 652100         Vorteilsgewährung                                                                                    2                     2         0                           0,0 652200         Bestechung                                                                                                     1           0         1                                      0,0 655000         Sonstige Straftaten im Amt                                                                           6         4           6         4        1         2       16,7       50,0 655001         Strafvereitelung im Amt                                                                              1                     1         0                           0,0 655008         Abgabenüberhebung; Leistungskürzung                                                                            1           0         1                                      0,0 655012         Verleitung eines Untergebenen zu ST                                                                            1           0         1                  1                 100,0 655100         Körperverletzung im Amt                                                                              2         1           2         1        1         1       50,0      100,0 655200         Verletzung des Dienstgeheimnisses                                                                    3         1           3         1                           0,0        0,0 656000         Wettbewerbsbeschränk. Absprachen bei Ausschreibungen                                                 1                     1         0        1               100,0 660000         Strafbarer Eigennutz                                                                                52        47          52        47       50        46       96,2       97,9 660020         Pfandkehr                                                                                            1         1           1         1        1         1     100,0       100,0 660040         Gefährdung von Schiffen/Kraft- und Luftfahrzeugen durch Bannware                                               1           0         1                                      0,0 662000         Wilderei                                                                                            51        44          51        44       49        44       96,1      100,0 662001         Fischwilderei                                                                                       49        42          49        42       48        43       98,0      102,4 662100         Jagdwilderei                                                                                         2         2           2         2        1         1       50,0       50,0 663000         Wucher                                                                                                         1           0         1                  1                 100,0 670000         Alle sonstigen ST gemäß StGB - ohne Verkehrsdelikte                                              1.363     1.228       1.369     1.218      759       657       55,7       53,5 670001         Falsche uneidliche Aussage (Falschaussage)                                                           5         3           5         3        5         2     100,0        66,7 670003         Falsche Versicherung an Eides statt                                                                 11         6          11         6       11         6     100,0       100,0 670007         Falsche Verdächtigung                                                                               29        32          29        32       28        32       96,6      100,0 670011         Störung der Totenruhe                                                                                6         4           6         4                  4        0,0      100,0 670016         Verletzung der Vertraulichkeit des Wortes                                                            1                     1         0        1               100,0 670017         Verletzung des Briefgeheimnisses                                                                     8         5           8         5        5         4       62,5       80,0 670018         Verletzung von Privatgeheimnissen                                                                              2           0         2                  2                 100,0 670020         Verletzung des Post- u. Fernmeldegeheimnisses                                                        3         3           3         3        2                 66,7        0,0
183

Polizeiliche Kriminalstatistik Revierbereich Königs Wusterhausen Frage 34: Erfasste Fälle, Aufgeklärte Fälle, Aufklärungsquoten, Häufigkeitskennzahlen für alle Deliktsfelder Erfasste Fälle                         Aufgeklärte Fälle Schlüssel                                                       Bezeichnung                                Anzahl gesamt        Häufigkeitszahl     Anzahl gesamt            AQ in % 2014      2015       2014       2015     2014      2015      2014        2015 670024         Gefährl. Eingriffe in den Bahn-, Schiffs- und Luftverkehr                                           10         4         10          4        4         2       40,0       50,0 670025         Gefährliche Eingriffe in den Straßenverkehr                                                         32        30         32         30       16        15       50,0       50,0 670026         Störung öffentlicher Betriebe                                                                        2         1          2          1                           0,0        0,0 670027         Störung von Telekommunikationsanlagen                                                               11         4         11          4        6         3       54,5       75,0 670029         Baugefährdung                                                                                                  1          0          1                  1                 100,0 670032         Unterlassene Hilfeleistung                                                                           5         3          5          3        5         1     100,0        33,3 670034         Verl. des höchstpersönl. Lebensbereiches durch Bildaufnahmen                                         8        13          8         13        7        12       87,5       92,3 670079         Sonstige weitere Straftaten gemäß StGB                                                                         1          0          1                  1                 100,0 671000         Verletzung der Unterhaltspflicht                                                                    16        16         16         16       17        16     106,3       100,0 672000         Verletzung der Fürsorge- oder Erziehungspflicht                                                     11         4         11          4       10         4       90,9      100,0 673000         Beleidigung                                                                                        340       322        341        319      317       290       93,2       90,1 673010         Beleidigung ohne sex. Grundlage                                                                    234       224        235        222      221       202       94,4       90,2 673020         Üble Nachrede ohne sex. Grundlage                                                                   15        20         15         20       14        19       93,3       95,0 673030         Verleumdung ohne sex. Grundlage                                                                     64        53         64         53       59        44       92,2       83,0 673100         Beleidigung auf sex. Grundlage                                                                      27        25         27         25       23        25       85,2      100,0 673110         Beleidigung auf sex. Grundlage                                                                      24        20         24         20       20        20       83,3      100,0 673120         Üble Nachrede auf sex. Grundlage                                                                     3         3          3          3        3         3     100,0       100,0 673130         Verleumdung auf sex. Grundlage                                                                                 2          0          2                  2                 100,0 674000         Sachbeschädigung                                                                                   843       753        847        747      314       249       37,2       33,1 674010         Sachbeschädigung (ohne 674100, 674300)                                                             514       465        516        461      227       187       44,2       40,2 674011         Sachbeschädigung durch Graffiti (ohne 674111, 674311)                                              133        91        134         90       47        27       35,3       29,7 674012         Sachbeschädigung durch Feuer (ohne 674312)                                                          29        43         29         43       10        17       34,5       39,5 674019         Sonstige Sachbeschäd. (ohne 674119, 674319)                                                        352       331        354        328      170       143       48,3       43,2 674020         Gemeinschädl. Sachb. (ohne 674320)                                                                   4         6          4          6        1         4       25,0       66,7 674021         Gemeinschädl. Sachb. durch Graffiti (ohne 674321)                                                    2         5          2          5        1         3       50,0       60,0 674022         Gemeinschädl. Sachb. durch Feuer (ohne 674322)                                                                 1          0          1                  1                 100,0 674029         Sonstige gemeinschädl. Sachb. (ohne 674329)                                                          2                    2          0                           0,0 674030         Zerstörung von Bauwerken (ohne 674330)                                                               2                    2          0        2               100,0 674100         Sachbeschädigung an Kfz                                                                            184       145        185        144       54        30       29,3       20,7 674111         Sachbeschädigung durch Graffiti an Kfz                                                               7         3          7          3        2                 28,6        0,0 674119         Sonstige Sachbeschädigung an Kfz                                                                   177       142        178        141       52        30       29,4       21,1 674200         Datenveränderung, Computersabotage                                                                   2         2          2          2                  1        0,0       50,0 674210         Datenveränderung                                                                                     1         2          1          2                  1        0,0       50,0 674220         Computersabotage                                                                                     1                    1          0                           0,0 674300         Sonstige Sachb. auf Straßen, Wegen oder Plätzen                                                    136       135        137        134       30        27       22,1       20,0 674310         Sonst. Sachb. auf Straßen/Wegen/Plätzen gemäß § 303 StGB                                           130       127        131        126       28        24       21,5       18,9 674311         Sonst. Sachb. durch Graffiti auf Straßen/Wegen/Plätzen                                              45        62         45         61        5        12       11,1       19,4 674312         Sonst. Sachb. durch Feuer auf Straßen/Wegen/Plätzen                                                  6         4          6          4        7         1     116,7        25,0 674319         Sonstige Sachb. auf Straßen/Wegen/Plätzen                                                           79        61         79         60       16        11       20,3       18,0 674320         Gemeinschädl. Sachb. auf Straßen/Wegen/Plätzen                                                       6         7          6          7        2         2       33,3       28,6 674321         Gemeinschädl. Sachb. durch Graffiti auf Straßen/Wegen/Plätzen                                        1         2          1          2                           0,0        0,0 674322         Gemeinschädl. Sachb. durch Feuer auf Straßen/Wegen/Plätzen                                           1                    1          0                           0,0 674329         Sonstige gemeinschädl. Sachb. auf Straßen/Wegen/Plätzen                                              4         5          4          5        2         2       50,0       40,0
184

Polizeiliche Kriminalstatistik Revierbereich Königs Wusterhausen Frage 34: Erfasste Fälle, Aufgeklärte Fälle, Aufklärungsquoten, Häufigkeitskennzahlen für alle Deliktsfelder Erfasste Fälle                         Aufgeklärte Fälle Schlüssel                                                     Bezeichnung                                  Anzahl gesamt        Häufigkeitszahl     Anzahl gesamt            AQ in % 2014      2015       2014       2015     2014      2015      2014        2015 674330         Zerstörung von Bauwerken auf Straßen/Wegen/Plätzen                                                             1          0          1                  1                 100,0 674500         Zerstörung wichtiger Arbeitsmittel                                                                   1                    1          0                           0,0 674519         Sonstige Zerstörung wichtiger Arbeitsmittel                                                          1                    1          0                           0,0 675000         Sprengstoff- und Strahlungsverbrechen                                                                3         7          3          7        1         5       33,3       71,4 675200         Herbeiführen einer Sprengstoffexplosion                                                              3         7          3          7        1         5       33,3       71,4 676000         Straftaten gg. die Umwelt                                                                           14         9         14          9        8         4       57,1       44,4 676010         Bodenverunreinigung                                                                                  5                    5          0        4                 80,0 676011         Bodenverunreinigung 324a StGB                                                                        5                    5          0        4                 80,0 676100         Gewässerverunreinigung                                                                               2         6          2          6        1         2       50,0       33,3 676101         Gewässerverunreinigung § 324 StGB                                                                    2         6          2          6        1         2       50,0       33,3 676200         Luftverunreinigung                                                                                   1         1          1          1        1         1     100,0       100,0 676201         Luftverunreinigung § 325 StGB                                                                        1         1          1          1        1         1     100,0       100,0 676400         Unerlaubter Umgang mit gefährlichen Abfällen                                                         6         1          6          1        2                 33,3        0,0 676410         Unerl. Umgang mit Abfällen                                                                           6         1          6          1        2                 33,3        0,0 676411         Unerl. Umgang mit Abfällen § 326 Abs. 1                                                              6         1          6          1        2                 33,3        0,0 676500         Unerlaubtes Betreiben von Anlagen                                                                                         0          0 676520         Unerl. Betreiben von Anlagen                                                                                              0          0 676521         Unerl. Betreiben von Anlagen § 327 Abs. 2                                                                                 0          0 676800         Abfallein- / -aus- und -durchfuhr gemäß § 326 Abs. 2 StGB                                                      1          0          1                  1                 100,0 676820         Ungeneh. Ausfuhr von Abfällen § 326 Abs. 2 StGB                                                                1          0          1                  1                 100,0 676821         Ungeneh. Ausfuhr von Abfällen                                                                                  1          0          1                  1                 100,0 678000         Ausspähen von Daten                                                                                  5         5          5          5        2         4       40,0       80,0 678010         Ausspähen von Daten gemäß § 202a StGB                                                                4         5          4          5        1         4       25,0       80,0 678020         Abfangen von Daten gemäß § 202b StGB                                                                 1                    1          0        1               100,0 700000         Strafrechtliche Nebengesetze                                                                       516       525        518        521      498       491       96,5       93,5 710000         ST gg. strafrechtl. Nebengesetze auf dem Wirtschaftssektor                                          36        21         36         21       36        18     100,0        85,7 712000         Straftaten nach AktG, GenG, GmbHG, HGB, RechnungslegungsG, UmwandlungsG, InsO                       21         8         21          8       21         7     100,0        87,5 712200         Insolvenzverschleppung § 15a InsO                                                                   21         8         21          8       21         7     100,0        87,5 713000         Delikte i.Z.m. Schwarzarbeitsbekämpfungs- und Arbeitnehmerüberlassungsgesetz                         1                    1          0        1               100,0 713010         Arbeitnehmerüberlassungsgesetz                                                                       1                    1          0        1               100,0 715000         ST i.Z.m. Urheberrechtsbestimmungen                                                                  8         6          8          6        7         4       87,5       66,7 715010         Markengesetz                                                                                         1         4          1          4                  2        0,0       50,0 715040         Kunsturheberrechtsgesetz                                                                             3         2          3          2        3         2     100,0       100,0 715050         UHG -sonstige Verstöße- (ohne Schl. 715100 u. 725200)                                                3                    3          0        3               100,0 715300         Verrat von Betriebs- und Geschäftsgeheim. nach § 17 Abs. 1 und 4 UWG                                 1                    1          0        1               100,0 716000         ST i.Z.m. Lebensmitteln (z.B. Lebensmittel- und Futtermittelgesetzbuch)                              6         7          6          7        7         7     116,7       100,0 716100         ST nach dem Lebensmittel- und Bedarfsgg.ständegesetz                                                 2                    2          0        3               150,0 716200         ST nach dem Arzneimittelgesetz                                                                       4                    4          0        4               100,0 716210         ST nach dem AMG gemäß § 95                                                                           3                    3          0        3               100,0 716217         Bes. schw. Fall des Verstoßes gg. das AMG                                                            1                    1          0        1               100,0 716219         Sonstige ST nach dem AMG gemäß § 95                                                                  2                    2          0        2               100,0 716220         ST nach dem Arzneimittelgesetz gemäß § 96 AMG                                                        1                    1          0        1               100,0 720000         ST gg. sonstige strafrechtliche Nebengesetze -ohne Verkehrsdelikte-                                108       183        108        181      104       171       96,3       93,4
185

Polizeiliche Kriminalstatistik Revierbereich Königs Wusterhausen Frage 34: Erfasste Fälle, Aufgeklärte Fälle, Aufklärungsquoten, Häufigkeitskennzahlen für alle Deliktsfelder Erfasste Fälle                         Aufgeklärte Fälle Schlüssel                                                     Bezeichnung                                  Anzahl gesamt        Häufigkeitszahl     Anzahl gesamt            AQ in % 2014      2015       2014       2015     2014      2015      2014        2015 720001         Vereinsgesetz                                                                                                  2          0          2                  2                 100,0 720002         Versammlungsgesetze des Bundes und der Länder                                                        2                    2          0        1                 50,0 720005         Missbräuchl. Herstellen, Vertreiben oder Ausgeben von amtl. Kennzeichen                                        9          0          9                  6                  66,7 720009         Telekommunikationsgesetz                                                                                       1          0          1                  1                 100,0 720011         ST gemäß § 4 Gewaltschutzgesetz                                                                      2         1          2          1        2         1     100,0       100,0 720079         Sonstige strafrechtliche Nebengesetze                                                                3                    3          0        3               100,0 722000         ST gg. § 27 Abs. 1 des Jugendschutzgesetzes                                                          1                    1          0        1               100,0 725000         Straftaten gegen das Aufenthalts-, das Asyl- und das Freizügigkeitsgesetz/EU                        31        83         31         82       31        83     100,0       100,0 725100         Unerlaubte Einreise gem. § 95 Abs. 1 Nr. 3 und Abs. 2 Nr. 1a Aufenthaltsgesetz                       4        54          4         54        4        54     100,0       100,0 725110         Unerl. Einreise gemäß § 95 Abs. 1 Nr. 3 Aufenthaltsgesetz                                            4        53          4         53        4        53     100,0       100,0 725120         Unerl. Wiedereinreise nach Ausweisung/Abschiebung                                                              1          0          1                  1                 100,0 725200         Einschleusen von Ausländern gemäß § 96 Aufenthaltsgesetz                                             2                    2          0        2               100,0 725210         Einschleusen v. Ausländern gemäß § 96 Abs. 1 und 4 Aufenthaltsgesetz                                 1                    1          0        1               100,0 725220         Einschleusen v. Ausländern gemäß § 96 Abs. 2 Aufenthaltsgesetz                                       1                    1          0        1               100,0 725300         Erschleichen eines Aufenthaltstitels gemäß § 95 Abs. 2 Nr. 2 Aufenthaltsgesetz                       2         2          2          2        2         2     100,0       100,0 725320         Erschleichen oder Gebrauch eines Aufenthaltstitels (Aufenthaltserlaubnis)                            2         2          2          2        2         2     100,0       100,0 725322         Aufenthaltstitels (Aufenthaltserlaubnis) durch Modus Operandi                                        2         2          2          2        2         2     100,0       100,0 725400         Einschleusen mit Todesfolge; gewerbs- und bandenm. Einschl. v. Ausländern                            1                    1          0        1               100,0 725420         Gewerbs- und bandenmäßiges Einschleusen von Ausländern                                               1                    1          0        1               100,0 725700         Unerl. Aufenthalt gem. § 95 Abs. 1 Nr. 1, 2 und Abs. 2 Nr. 1b Aufenthaltsgesetz                      6        16          6         16        6        16     100,0       100,0 725710         Unerl. Aufenthalt gemäß § 95 Abs. 1 Nr. 1 und 2 AufenthG                                             3        13          3         13        3        13     100,0       100,0 725720         Unerlaubter Aufenthalt nach Ausweisung/Abschiebung                                                   3         3          3          3        3         3     100,0       100,0 725900         Sonstige Verstöße gg. das Aufenthaltsgesetz                                                         16        11         16         11       16        11     100,0       100,0 726000         ST gg. das Sprengstoff-, das Waffen- und das KriegswaffenkontrollG                                  67        85         67         84       64        77       95,5       90,6 726100         ST gg. das Sprengstoffgesetz                                                                        11        19         11         19       11        18     100,0        94,7 726200         ST gg. das Waffengesetz                                                                             53        63         53         62       50        57       94,3       90,5 726300         ST gg. das Kriegswaffenkontrollgesetz                                                                3         3          3          3        3         2     100,0        66,7 728000         ST gg. das Bundes- (oder Landes-) Datenschutzgesetz                                                  2         2          2          2        2         1     100,0        50,0 728020         ST gg. das Bundesdatenschutzgesetz                                                                   2         2          2          2        2         1     100,0        50,0 730000         Rauschgiftdelikte -BtMG-                                                                           366       313        368        310      355       296       97,0       94,6 731000         Allg. Verstöße gemäß § 29 BtMG (soweit nicht unter 7340 pp. zu erfassen)                           299       251        300        249      293       242       98,0       96,4 731100         Allg. Verstoß (§ 29 BtMG) - mit Heroin                                                               5         4          5          4        5         4     100,0       100,0 731200         Allgemeiner Verstoß (§ 29 BtMG) - mit Kokain einschl. Crack                                         15        18         15         18       15        18     100,0       100,0 731201         Allg. Verstoß (§ 29 BtMG) - mit Crack                                                                          1          0          1                  1                 100,0 731202         Allg. Verstoß (§ 29 BtMG) - Kokain                                                                  15        17         15         17       15        17     100,0       100,0 731300         Allg. Verstoß (§ 29 BtMG) - mit LSD                                                                            1          0          1                  1                 100,0 731800         Allg. Verstoß (§ 29 BtMG) - mit Cannabis und Zubereitungen                                         179       122        180        121      175       119       97,8       97,5 731900         Allg. Verstoß (§ 29 BtMG) - mit sonst. Btm                                                           7        17          7         17        7        16     100,0        94,1 732000         Unerl. Handel/Schmuggel mit/von Rauschgiften gemäß § 29 BtMG                                        37        27         37         27       34        23       91,9       85,2 732100         Unerl. Handel und Schmuggel mit/von Heroin                                                           2                    2          0        1                 50,0 732110         Unerl. Handel mit Heroin                                                                             2                    2          0        1                 50,0 732200         Unerl. Handel und Schmuggel mit/von Kokain einschl. Crack                                            2         1          2          1        2               100,0         0,0 732210         Unerl. Handel mit Kokain einschl. Crack                                                              2                    2          0        2               100,0
186

Polizeiliche Kriminalstatistik Revierbereich Königs Wusterhausen Frage 34: Erfasste Fälle, Aufgeklärte Fälle, Aufklärungsquoten, Häufigkeitskennzahlen für alle Deliktsfelder Erfasste Fälle                         Aufgeklärte Fälle Schlüssel                                                        Bezeichnung                               Anzahl gesamt        Häufigkeitszahl     Anzahl gesamt            AQ in % 2014      2015       2014       2015     2014      2015      2014        2015 732212         Unerl. Handel mit Kokain                                                                             2                     2         0        2               100,0 732220         Schmuggel (§ 29 BtMG) - von Kokain einschl. Crack                                                              1           0         1                                      0,0 732222         Schmuggel (§ 29 BtMG) - von Kokain                                                                             1           0         1                                      0,0 732800         Unerl. Handel und Schmuggel (§ 29 BtMG) mit/von Cannabis und Zubereitungen                          24        15          24        15       23        15       95,8      100,0 732810         Unerl. Handel (§ 29 BtMG) mit Cannabis und Zubereitungen                                            24        15          24        15       23        15       95,8      100,0 732900         Unerl. Handel und Schmuggel (§ 29 BtMG) mit/von sonstigen Btm                                        2         2           2         2        2         1     100,0        50,0 732910         Unerl. Handel (§ 29 BtMG) mit sonstigen Btm                                                          2         2           2         2        2         1     100,0        50,0 733000         Unerl. Einfuhr von Btm gemäß § 30 Abs. 1 Nr. 4 BtMG (in ngM)                                         1         1           1         1        1               100,0         0,0 733900         Unerl. Einfuhr in ngM von sonstigen Btm                                                                        1           0         1                                      0,0 734000         Sonstige Verstöße gg. das BtMG                                                                      29        34          29        34       27        31       93,1       91,2 734100         Unerl. Anbau von Betäubungsmitteln                                                                   5         9           5         9        3         6       60,0       66,7 734200         Betäubungsmittelanbau, -herstellung und -handel als Mitglied einer Bande                             1                     1         0        1               100,0 734210         Verstöße gemäß § 30 Abs. 1 Nr. 1 BtMG                                                                1                     1         0        1               100,0 734500         Abgabe, Verabr. o. Überl. v. Btm an Minderjährige                                                    8         5           8         5        8         5     100,0       100,0 734510         Abgabe, Verabreichung o. Überl. v. Btm an Minderj. § 29a Abs. 1 Nr. 1 BtMG                           8         5           8         5        8         5     100,0       100,0 734800         Unerl. Handel, Herstellung, Abgabe und Besitz in ngM von Btm                                        15        20          15        20       15        20     100,0       100,0 734810         Unerl. Abgabe und Besitz in ngM gemäß § 29a Abs. 1 Nr. 2 BtMG                                       11         6          11         6       11         6     100,0       100,0 734812         Unerl. Abgabe und Besitz in ngM gemäß BtMG von Kokain einschl. Crack                                 1                     1         0        1               100,0 734818         Unerl. Abgabe und Besitz in ngM von Cannabis und Zubereitungen                                       5         5           5         5        5         5     100,0       100,0 734820         Unerl. Handel in ngM gemäß § 29a Abs. 1 Nr. 2 BtMG                                                   4        14           4        14        4        14     100,0       100,0 734828         Unerl. Handel in ngM von Cannabis und Zubereitungen                                                  4         7           4         7        4         7     100,0       100,0 740000         Straft. gg. strafrechtl. Nebenges. auf dem Umwelt- und Verbraucherschutzsektor                       6         8           6         8        3         6       50,0       75,0 741000         ST nach dem ChemikalienG                                                                             2                     2         0        1                 50,0 741001         ST nach § 27 ChemikalienG i.V.m. der Gefahrstoffverordnung                                           2                     2         0        1                 50,0 743000         ST nach dem Bundesnaturschutz-, Tierschutz-, Bundesjagd- und PflanzenschutzG                         4         8           4         8        2         6       50,0       75,0 743020         Tierschutzgesetz                                                                                     4         8           4         8        2         6       50,0       75,0 890000         ST insgesamt, o. Verst. g. Aufenth.-, Asyl- u. FreizügigkeitsG/EU                                8.018     7.136       8.053     7.076    4.082     3.788       50,9       53,1 891000         Rauschgiftkriminalität                                                                             372       314         374       311      358       297       96,2       94,6 891100         direkte Beschaffungskriminalität                                                                     6         1           6         1        3         1       50,0      100,0 892000         Gewaltkriminalität                                                                                 119       149         120       148       94       110       79,0       73,8 892500         Mord und Totschlag                                                                                   2         6           2         6        2         6     100,0       100,0 893000         Wirtschaftskriminalität und zwar:                                                                   75       112          75       111       74       104       98,7       92,9 893100         Wikri bei Betrug                                                                                    18        69          18        68       18        68     100,0        98,6 893200         Wikri - Insolvenzstraftaten gemäß StGB und Nebenstrafrecht                                          26        16          26        16       25        14       96,2       87,5 893300         Wikri - im Anlage- und Finanzierungsbereich pp.                                                      1        28           1        28        1        27     100,0        96,4 893400         Wikri - Wettbewerbsdelikte                                                                           5         4           5         4        4         2       80,0       50,0 893500         Wikri - i.Z.m. Arbeitsverhältnissen                                                                 21        14          21        14       21        14     100,0       100,0 893600         Wikri - Betrug und Untreue i.Z.m. Beteiligungen und Kapitalanlagen                                   1         2           1         2        1         2     100,0       100,0 894000         KFZ-Kriminalität                                                                                 1.131       775       1.136       768      172       134       15,2       17,3 896000         ST gegen Bestimmungen zum Schutze der Jugend                                                         2         1           2         1        2         1     100,0       100,0 897000         Computerkriminalität                                                                                34        39          34        39       10        25       29,4       64,1 898000         Straftaten insgesamt auf dem Umwelt- und Verbraucherschutzsektor                                    80        75          80        74       68        66       85,0       88,0 898100         Umweltstraftaten gemäß 29. Abschnitt des StGB                                                       14         9          14         9        8         4       57,1       44,4
187

Polizeiliche Kriminalstatistik Revierbereich Königs Wusterhausen Frage 34: Erfasste Fälle, Aufgeklärte Fälle, Aufklärungsquoten, Häufigkeitskennzahlen für alle Deliktsfelder Erfasste Fälle                         Aufgeklärte Fälle Schlüssel                                                  Bezeichnung                                     Anzahl gesamt        Häufigkeitszahl     Anzahl gesamt            AQ in % 2014      2015       2014       2015     2014      2015      2014        2015 898200         Sonstige Straftaten nach dem StGB mit Umweltrelevanz                                                54        51          54        51       50        49       92,6       96,1 898300         Straftaten auf dem Umwelt- und Verbraucherschutzsektor gem. strafr. Nebengesetze                    12        15          12        15       10        13       83,3       86,7 899000         Straßenkriminalität                                                                              1.855     1.416       1.863     1.404      263       213       14,2       15,0 899100         Straßenraub                                                                                         13        19          13        19        4         6       30,8       31,6 899200         Straßendiebstahl                                                                                 1.481     1.072       1.488     1.063      141       118        9,5       11,0 899500         Sachbeschädigung durch Graffiti insgesamt                                                          188       163         189       162       55        42       29,3       25,8
188

Seite 1 von 301 Polizeirevier Königs Wusterhausen Frage 36: Übersicht zur Alters- und Geschlechtsstruktur der ermittelten TV 2010                                               2011 Schlüssel                                        Kurzbezeichnung Heran-   Er-                                       Heran-    Er- Schlüssel                              gesamt männl. weibl. Kinder Jugdl.                 gesamt männl. weibl. Kinder Jugdl. wachs.  wachs.                                     wachs.  wachs. ------          Straftaten insgesamt                                                               3.174 2.435   739      91   223     288    2.572   3.024 2.310   714      72   195     204    2.553 200000          Rohheitsdelikte und ST gg. die persönliche Freiheit                                  598   491   107      13    43      48      494     660   541   119      15    46      46      553 222000          Gefährliche und schwere Körperverletzung                                             106    92    14       6      9     22       69     107    94    13              8     14        85 224000          Vorsätzliche einfache Körperverletzung § 223 StGB                                    246   199    47       7    21      17      201     278   228    50      12    22      15      229 435*00          Wohnungseinbruchdiebstahl                                                             38    35      3             2       6      30      26    23      3      1      4               21 436*00          Tageswohnungseinbruchdiebstahl                                                        20    20                            3      17      16    14      2             1               15 ****00          Diebstahl insgesamt                                                                  850   655   195      52    99      97      602     710   554   156      25    74      45      566 ***100          Diebstahl insg. von Kraftwagen einschl. unbefugter Gebrauch                           12    11      1                     4       8      28    27      1             3       5       20 ***200          Diebstahl insg. von Moped/Krad einschl. unbefugte Gebrauch                            13    12      1             5               8       3     3                    1       1        1 ***300          Diebstahl insg. von Fahrrad einschl. unbefugter Gebrauch                              35    32      3             8       9      18      32    29      3             7       7       18 *10*00          Diebstahl insg. in/aus Dienst-, Büro-, Fabrikations-,Werkstatt- u. Lagerräumen        54    44    10       2      6       7      39      55    50      5      4      7       7       37 *25*00          Diebstahl insg. in/aus Kiosken, Warenhäusern, Verkaufsräumen                         488   353   135      41    60      45      342     396   293   103      17    40      22      317 *35*00          Diebstahl insg. in/aus Wohnungen                                                      86    67    19       3    13      16       54      45    34    11       1      6       1       37 *40*00          Diebstahl insg. in/aus Boden-, Kellerräumen und Waschküchen                           20    16      4             3       9       8       9     8      1                              9 *50*00          Diebstahl insg. an/aus Kfz                                                            31    30      1             1       3      27      35    33      2             2               33 500000          Vermögens- und Fälschungsdelikte                                                   1.033   756   277       4    24      82      923     909   616   293       3    11      50      845 510000          Betrug                                                                               790   569   221       2    16      66      706     694   467   227            10      38      646 511000          Waren- und Warenkreditbetrug                                                         339   243    96              4     29      306     288   193    95              5     18      265 512000          Grundstücks- und Baubetrug                                                             9     9                                    9 513000          Kapitalanlage- und Anlagebetrug                                                        2     2                                    2 514000          Geldkreditbetrug                                                                       5     4      1                     1       4       6     4      2                              6 515000          Erschleichen von Leistungen                                                           67    55    12              8     16       43      29    23      6             3       6       20 516000          Betrug bzw. Computerbetrug mittels rechtswidrig erlangter unbarer Zahlungsmittel      29    17    12       1      2       2      24      20    13      7             1       4       15 517000          Sonstiger Betrug                                                                     365   255   110       1      4     21      339     374   253   121              2     11      361 520000          Veruntreuungen                                                                        42    36      6                            42      45    31    14                              45 521000          Untreue                                                                                6     4      2                             6      12     8      4                             12 522000          Vorenthalten und Veruntreuen von Arbeitsentgelt                                       36    32      4                            36      34    23    11                              34 523000          Missbrauch von Scheck- und Kreditkarten 530000          Unterschlagung                                                                       145   107    38       2      6     13      124     117    76    41       3      1       6     107 531000          Unterschlagung von Kfz                                                                16    13      3                            16      14    11      3                             14 540000          Urkundenfälschung                                                                     88    69    19              4       9      75      65    49    16                      6       59
189

Seite 2 von 301 Polizeirevier Königs Wusterhausen Frage 36: Übersicht zur Alters- und Geschlechtsstruktur der ermittelten TV 2010                                               2011 Schlüssel                                      Kurzbezeichnung Heran-   Er-                                       Heran-    Er- Schlüssel                        gesamt männl. weibl. Kinder Jugdl.                 gesamt männl. weibl. Kinder Jugdl. wachs.  wachs.                                     wachs.  wachs. 541000         Fälschung technischer Aufzeichnungen                                          6      6                                    6      2      2                                     2 542000         Fälschung zur Erlangung von Btm                                                                                                  1             1                              1 543000         Fälsch. beweiserhebl. Daten, Täusch. im Rechtsverkehr b. Datenverarb.        12    10       2             1       1      10      6      4      2                              6 550000         Geld- und Wertzeichenfälschung                                               18    13       5                     1      17     20    16       4                     1       19 551000         Geld- und Wertzeichenfälschung einschl. Vorbereitungshandlungen               2      2                                    2      1             1                              1 552000         Inverkehrbringen von Falschgeld §§ 146 Abs. 1 Nr. 3, 147 StGB                16    11       5                     1      15     17    14       3                             17 553000         Fälsch. v. Zahlungskarten mit/ohne Garantiefunktion, Schecks u. Wechseln                                                         2      2                            1        1 560000         Insolvenzstraftaten                                                          11      9      2                            11     11      8      3                             11 561000         Bankrott                                                                      6      5      1                             6      6      4      2                              6 562000         Besonders schwerer Fall des Bankrotts 563000         Verletzung der Buchführungspflicht                                            6      5      1                             6      7      5      2                              7 564000         Gläubigerbegünstigung                                                         1      1                                    1      1      1                                     1 565000         Schuldnerbegünstigung 621020         Widerstand gg. Vollstreckungsbeamte                                          26    25       1             1       1      24     25    23       2             2       5       18 674000         Sachbeschädigung                                                            237   203     34      21    44      31     141     232   196     36      21    43      24      144 726200         ST gg. das Waffengesetz                                                      59    58       1             5       9      45     45    40       5      1      2       8       34 731000         Allg. Verstöße gemäß § 29 BtMG (soweit nicht unter 7340 pp. zu erfassen)    166   147     19       1    24      28     113     188   159     29       1    30      31      126 732000         Unerl. Handel/Schmuggel mit/von Rauschgiften gemäß § 29 BtMG                 33    29       4             4       2      27     33    30       3             5       7       21 733000         Unerl. Einfuhr von Btm gemäß § 30 Abs. 1 Nr. 4 BtMG (in ngM) 734800         Unerl. Handel, Herstellung, Abgabe und Besitz in ngM von Btm                 16    14       2             1       4      11     29    27       2                     5       24 899500         Sachbeschädigung durch Graffiti insgesamt                                    43    40       3      4    20        8      11     22    20       2           11        7        4
190

Zur nächsten Seite