Polizeistrukturreform - Polizeirevier Guben

/ 363
PDF herunterladen
Seite 82 von 93 Polizeirevier Guben Frage 34: Erfasste Fälle, Aufgeklärte Fälle, Aufklärungsquoten, Häufigkeitskennzahlen für alle Deliktsfelder Erfasste Fälle                       Aufgeklärte Fälle Schlüssel                                                 Bezeichnung                              Anzahl gesamt        Häufigkeitszahl    Anzahl gesamt         AQ in % 2015                2015              2015                 2015 216010        Handtaschenraub gemäß § 249 StGB                                                                       4                    12                3               75,0 216020        Handtaschenraub gemäß § 250 StGB                                                                       1                     3                1              100,0 217000        Sonstige Raubüberfälle auf Straßen, Wegen oder Plätzen                                                 5                    16                2               40,0 217010        Sonst. Raub auf Straßen/Wegen/Plätzen                                                                  3                     9                                 0,0 217020        Sonst. schw. Raub auf Straßen/Wegen/Plätzen                                                            1                     3                1              100,0 217050        Sonst. räub. Erpressung auf Straßen/Wegen/Plätzen                                                      1                     3                1              100,0 219000        Raubüberfälle in Wohnungen                                                                             4                    12                1               25,0 219010        Raub in Wohnungen                                                                                      2                     6                1               50,0 219020        Schwerer Raub in Wohnungen                                                                             1                     3                                 0,0 219050        Räub. Erpressung in Wohnungen                                                                          1                     3                                 0,0 220000        Körperverletzung                                                                                     181                   565             164                90,6 222000        Gefährliche und schwere Körperverletzung                                                              43                   134               38               88,4 222010        Sonst. Tatörtlichkeit bei gefährl. Körperverletzung                                                   28                    87               27               96,4 222100        Gefährliche und schwere Körperverletzung auf Straßen, Wegen oder Plätzen                              15                    47               11               73,3 222110        Gefährl. Körperverletzung gemäß § 224 StGB                                                            15                    47               11               73,3 223000        Misshandlung von Schutzbefohlenen                                                                      6                    19                6              100,0 223100        Misshandlung von Kindern                                                                               6                    19                6              100,0 224000        Vorsätzliche einfache Körperverletzung § 223 StGB                                                    127                   396             117                92,1 225000        Fahrlässige Körperverletzung                                                                           5                    16                3               60,0 230000        ST gg. die persönliche Freiheit                                                                       77                   240               73               94,8 231000        Menschenraub, Entziehung Minderjähriger, Kinderhandel                                                  1                     3                1              100,0 231200        Entziehung Minderjähriger                                                                              1                     3                1              100,0 232000        Freiheitsber., Nötigung, Bedrohung, Zwangsheirat, Nachstellung (Stalking)                             76                   237               72               94,7 232100        Freiheitsberaubung                                                                                     1                     3                                 0,0 232200        Nötigung                                                                                              24                    75               23               95,8 232201        Nötigung im Straßenverkehr                                                                             4                    12                3               75,0 232279        Sonstige Nötigung                                                                                     20                    62               20              100,0 232300        Bedrohung                                                                                             35                   109               34               97,1 232400        Nachstellung                                                                                          16                    50               15               93,8 232410        Nachstellung - z.B. räumliche Nähe -                                                                  15                    47               14               93,3 232420        Nachstellung - z.B. Gesundheitsbeeinträchtigung -                                                      1                     3                1              100,0 3*****        Diebstahl ohne erschwerende Umstände                                                                 386                 1.205             208                53,9 3**100        EDS insg. von Kraftwagen einschl. unbefugter Gebrauch                                                  4                    12                3               75,0 3**200        EDS insg. von Moped/Krad einschl. unbefugter Gebrauch                                                                        0 3**300        EDS insg. von Fahrrad einschl. unbefugter Gebrauch                                                    29                    91               10               34,5 3**500        EDS insg. von unbaren Zahlungsmitteln                                                                  1                     3                1              100,0
101

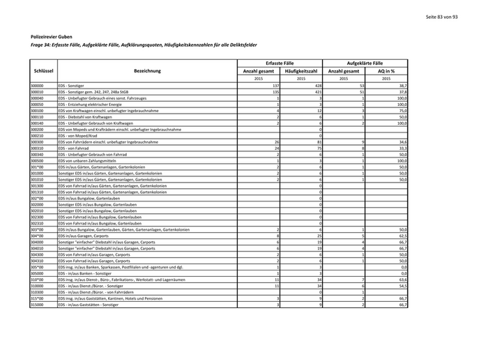
Seite 83 von 93 Polizeirevier Guben Frage 34: Erfasste Fälle, Aufgeklärte Fälle, Aufklärungsquoten, Häufigkeitskennzahlen für alle Deliktsfelder Erfasste Fälle                       Aufgeklärte Fälle Schlüssel                                                 Bezeichnung                              Anzahl gesamt        Häufigkeitszahl    Anzahl gesamt         AQ in % 2015                2015              2015                 2015 300000        EDS - Sonstiger                                                                                      137                  428                53               38,7 300010        EDS - Sonstiger gem. 242, 247, 248a StGB                                                             135                  421                51               37,8 300040        EDS - Unbefugter Gebrauch eines sonst. Fahrzeuges                                                      1                     3                1              100,0 300050        EDS - Entziehung elektrischer Energie                                                                  1                     3                1              100,0 300100        EDS von Kraftwagen einschl. unbefugter Ingebrauchnahme                                                 4                    12                3               75,0 300110        EDS - Diebstahl von Kraftwagen                                                                         2                     6                1               50,0 300140        EDS - Unbefugter Gebrauch von Kraftwagen                                                               2                     6                2              100,0 300200        EDS von Mopeds und Krafträdern einschl. unbefugter Ingebrauchnahme                                                           0 300210        EDS - von Moped/Krad                                                                                                         0 300300        EDS von Fahrrädern einschl. unbefugter Ingebrauchnahme                                                26                    81                9               34,6 300310        EDS - von Fahrrad                                                                                     24                    75                8               33,3 300340        EDS - Unbefugter Gebrauch von Fahrrad                                                                  2                     6                1               50,0 300500        EDS von unbaren Zahlungsmitteln                                                                        1                     3                1              100,0 301*00        EDS in/aus Gärten, Gartenanlagen, Gartenkolonien                                                       2                     6                1               50,0 301000        Sonstiger EDS in/aus Gärten, Gartenanlagen, Gartenkolonien                                             2                     6                1               50,0 301010        Sonstiger EDS in/aus Gärten, Gartenanlagen, Gartenkolonien                                             2                     6                1               50,0 301300        EDS von Fahrrad in/aus Gärten, Gartenanlagen, Gartenkolonien                                                                 0 301310        EDS von Fahrrad in/aus Gärten, Gartenanlagen, Gartenkolonien                                                                 0 302*00        EDS in/aus Bungalow, Gartenlauben                                                                                            0 302000        Sonstiger EDS in/aus Bungalow, Gartenlauben                                                                                  0 302010        Sonstiger EDS in/aus Bungalow, Gartenlauben                                                                                  0 302300        EDS von Fahrrad in/aus Bungalow, Gartenlauben                                                                                0 302310        EDS von Fahrrad in/aus Bungalow, Gartenlauben                                                                                0 303*00        EDS in/aus Bungalow, Gartenlauben, Gärten, Gartenanlagen, Gartenkolonien                               2                     6                1               50,0 304*00        EDS in/aus Garagen, Carports                                                                           8                    25                5               62,5 304000        Sonstiger "einfacher" Diebstahl in/aus Garagen, Carports                                               6                    19                4               66,7 304010        Sonstiger "einfacher" Diebstahl in/aus Garagen, Carports                                               6                    19                4               66,7 304300        EDS von Fahrrad in/aus Garagen, Carports                                                               2                     6                1               50,0 304310        EDS von Fahrrad in/aus Garagen, Carports                                                               2                     6                1               50,0 305*00        EDS insg. in/aus Banken, Sparkassen, Postfilialen und -agenturen und dgl.                              1                     3                                 0,0 305000        EDS - in/aus Banken - Sonstiger                                                                        1                     3                                 0,0 310*00        EDS insg. in/aus Dienst-, Büro-, Fabrikations-, Werkstatt- und Lagerräumen                            11                    34                7               63,6 310000        EDS - in/aus Dienst-/Büror. - Sonstiger                                                               11                    34                6               54,5 310300        EDS - in/aus Dienst-/Büror. - von Fahrrädern                                                                                 0                1 315*00        EDS insg. in/aus Gaststätten, Kantinen, Hotels und Pensionen                                           3                     9                2               66,7 315000        EDS - in/aus Gaststätten - Sonstiger                                                                   3                     9                2               66,7
102

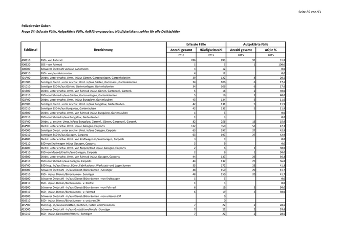
Seite 84 von 93 Polizeirevier Guben Frage 34: Erfasste Fälle, Aufgeklärte Fälle, Aufklärungsquoten, Häufigkeitskennzahlen für alle Deliktsfelder Erfasste Fälle                       Aufgeklärte Fälle Schlüssel                                               Bezeichnung                                Anzahl gesamt        Häufigkeitszahl    Anzahl gesamt         AQ in % 2015                2015              2015                 2015 315500        EDS - in/aus Gaststätten - von unb. Zahlungsmitteln                                                                          0 325*00        EDS insg. in/aus Kiosken, Warenhäusern, Verkaufsräumen                                               139                   434             125                89,9 325000        EDS - in/aus Warenhäusern - Sonstiger                                                                  7                    22                2               28,6 326*00        EDS insg. - Ladendiebstahl                                                                           132                   412             123                93,2 326000        EDS - Ladendiebstahl - Sonstiger                                                                     132                   412             123                93,2 335*00        EDS insg. in/aus Wohnungen                                                                             7                    22                4               57,1 335000        EDS - in/aus Wohnungen - Sonstiger                                                                     7                    22                4               57,1 335500        EDS - in/aus Wohnungen - von unbaren Zahlungsmitteln                                                                         0 340*00        EDS insg. in/aus Boden-/Kellerräumen, Waschküchen                                                      4                    12                1               25,0 340000        EDS - in/aus Boden-/Kellerräumen - Sonstiger                                                           1                     3                1              100,0 340300        EDS - in/aus Boden-/Kellerräumen - von Fahrrad                                                         3                     9                                 0,0 345*00        EDS insg. in/aus Baubuden und Baustellen                                                               2                     6                                 0,0 345000        EDS - in/aus Baubuden/Baustellen - Sonstiger                                                           2                     6                                 0,0 350*00        EDS insg. an/aus Kfz                                                                                  45                   140                2                4,4 350000        EDS an/aus Kfz von sonstigem Gut                                                                      45                   140                2                4,4 356000        EDS an Fahrrad - Sonstiger                                                                             5                    16                                 0,0 386*00        EDS auf Campingplätzen- und Raststätten                                                                1                     3                                 0,0 386000        EDS auf Campingplätzen- und Raststätten - Sonstiger                                                    1                     3                                 0,0 390*00        EDS insg. - Taschendiebstahl                                                                           6                    19                1               16,7 390000        EDS - Taschendiebstahl - Sonstiger                                                                     6                    19                1               16,7 4*****        Diebstahl unter erschwerenden Umständen                                                              890                 2.778             251                28,2 4**100        BSD insg. von Kraftwagen                                                                              56                   175                9               16,1 4**200        BSD insg. von Moped/Krad                                                                               8                    25                1               12,5 4**300        BSD insg. von Fahrrad                                                                                362                 1.130             107                29,6 4**500        BSD insg. von unbaren Zahlungsmitteln                                                                                        0 4**700        BSD insg. von/aus Automaten                                                                            4                    12                                 0,0 400000        Schwerer Diebstahl - Sonstiger                                                                       241                   752               70               29,0 400010        BSD - Sonstiger                                                                                      239                   746               69               28,9 400020        Sonstiger schwerer Diebstahl (ohne WED)                                                                2                     6                1               50,0 400100        Schwerer Diebstahl von Kraftwagen                                                                     55                   172                9               16,4 400110        BSD - von Kraftwagen                                                                                  54                   169                7               13,0 400120        SDS - von Kraftwagen                                                                                   1                     3                2              200,0 400200        Schwerer Diebstahl von Mopeds und Krafträdern                                                          8                    25                1               12,5 400210        BSD - von Moped/Krad                                                                                   8                    25                1               12,5 400220        SDS - von Moped/Krad                                                                                                         0 400300        Schwerer Diebstahl von Fahrrädern                                                                    287                   896               92               32,1
103

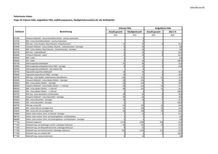
Seite 85 von 93 Polizeirevier Guben Frage 34: Erfasste Fälle, Aufgeklärte Fälle, Aufklärungsquoten, Häufigkeitskennzahlen für alle Deliktsfelder Erfasste Fälle                       Aufgeklärte Fälle Schlüssel                                                Bezeichnung                               Anzahl gesamt        Häufigkeitszahl    Anzahl gesamt         AQ in % 2015                2015              2015                 2015 400310        BSD - von Fahrrad                                                                                    286                  893                91               31,8 400320        SDS - von Fahrrad                                                                                      1                     3                1              100,0 400700        Schwerer Diebstahl von/aus Automaten                                                                   4                    12                                 0,0 400710        BSD - von/aus Automaten                                                                                4                    12                                 0,0 401*00        Diebst. unter erschw. Umst. in/aus Gärten, Gartenanlagen, Gartenkolonien                              39                  122                 8               20,5 401000        Sonstiger Diebst. unter erschw. Umst. in/aus Gärten, Gartenanl., Gartenkolonien                       34                  106                 6               17,6 401010        Sonstiger BSD in/aus Gärten, Gartenanlagen, Gartenkolonien                                            34                  106                 6               17,6 401300        Diebst. unter erschw. Umst. von Fahrrad in/aus Gärten, Gartenanl., Gartenk.                            5                    16                2               40,0 401310        BSD von Fahrrad in/aus Gärten, Gartenanlagen, Gartenkolonien                                           5                    16                2               40,0 402*00        Diebst. unter erschw. Umst. in/aus Bungalow, Gartenlauben                                             43                  134                 5               11,6 402000        Sonstiger Diebst. unter erschw. Umst. in/aus Bungalow, Gartenlauben                                   42                  131                 5               11,9 402010        Sonstiger BSD in/aus Bungalow, Gartenlauben                                                           42                  131                 5               11,9 402300        Diebst. unter erschw. Umst. von Fahrrad in/aus Bungalow, Gartenlauben                                  1                     3                                 0,0 402310        BSD von Fahrrad in/aus Bungalow, Gartenlauben                                                          1                     3                                 0,0 403*00        Diebst. u. erschw. Umst. in/aus Bungalow, Gartenl., Gärten, Gartenanl., Gartenk.                      82                  256                13               15,9 404*00        Diebst. unter erschw. Umst. in/aus Garagen, Carports                                                 112                  350                53               47,3 404000        Sonstiger Diebst. unter erschw. Umst. in/aus Garagen, Carports                                        63                  197                27               42,9 404010        Sonstiger BSD in/aus Garagen, Carports                                                                63                  197                27               42,9 404100        Diebst. unter erschw. Umst. von Kraftwagen in/aus Garagen, Carports                                    3                     9                                 0,0 404110        BSD von Kraftwagen in/aus Garagen, Carports                                                            3                     9                                 0,0 404200        Diebst. unter erschw. Umst. von Moped/Krad in/aus Garagen, Carports                                    2                     6                1               50,0 404210        BSD von Moped/Krad in/aus Garagen, Carports                                                            2                     6                1               50,0 404300        Diebst. unter erschw. Umst. von Fahrrad in/aus Garagen, Carports                                      44                  137                25               56,8 404310        BSD von Fahrrad in/aus Garagen, Carports                                                              44                  137                25               56,8 410*00        BSD insg. in/aus Dienst-, Büro-, Fabrikations-, Werkstatt- und Lagerräumen                            55                  172                23               41,8 410000        Schwerer Diebstahl - in/aus Dienst-/Büroräumen - Sonstiger                                            48                  150                20               41,7 410010        BSD - in/aus Dienst-/Büroräumen - Sonstiger                                                           48                  150                20               41,7 410100        Schwerer Diebstahl - in/aus Dienst-/Büroräumen - von Kraftwagen                                        1                     3                                 0,0 410110        BSD - in/aus Dienst-/Büroräumen - v. Kraftw.                                                           1                     3                                 0,0 410300        Schwerer Diebstahl - in/aus Dienst-/Büroräumen - von Fahrrad                                           6                    19                3               50,0 410310        BSD - in/aus Dienst-/Büroräumen - v. Fahrrad                                                           6                    19                3               50,0 410500        Schwerer Diebstahl - in/aus Dienst-/Büroräumen - von unbaren ZM                                                              0 410510        BSD - in/aus Dienst-/Büroräumen - v. unbaren ZM                                                                              0 415*00        BSD insg. in/aus Gaststätten, Kantinen, Hotels und Pensionen                                           7                    22                2               28,6 415000        Schwerer Diebstahl - in/aus Gaststätten/Hotels - Sonstiger                                             7                    22                2               28,6 415010        BSD - in/aus Gaststätten/Hotels - Sonstiger                                                            7                    22                2               28,6
104

Seite 86 von 93 Polizeirevier Guben Frage 34: Erfasste Fälle, Aufgeklärte Fälle, Aufklärungsquoten, Häufigkeitskennzahlen für alle Deliktsfelder Erfasste Fälle                       Aufgeklärte Fälle Schlüssel                                                Bezeichnung                               Anzahl gesamt        Häufigkeitszahl    Anzahl gesamt         AQ in % 2015                2015              2015                 2015 415700        Schwerer Diebstahl - in/aus Gaststätten/Hotels - von/aus Automaten                                                           0 415710        BSD - in/aus Gaststätten/Hotels - von/aus Automaten                                                                          0 425*00        BSD insg. in/aus Kiosken, Warenhäusern, Verkaufsräumen                                                 12                   37                5               41,7 425000        Schwerer Diebstahl - in/aus Kiosken, Warenh. , Verkaufsräumen - Sonstiger                               6                   19                                 0,0 425010        BSD - in/aus Kiosken, Warenhäusern , Verkaufsräumen - Sonstiger                                         6                   19                                 0,0 426*00        BSD insg. - Ladendiebstahl                                                                              6                   19                5               83,3 426000        Schwerer Diebstahl - Laden                                                                              6                   19                5               83,3 426010        BSD - Laden                                                                                             1                    3                                 0,0 426020        SDS - Laden                                                                                             5                   16                5              100,0 435*00        Wohnungseinbruchdiebstahl                                                                              21                   66                7               33,3 435000        Wohnungseinbruchdiebstahl (ohne TWE) - sonstiger                                                        8                   25                2               25,0 435500        Wohnungseinbruchdiebstahl - von unbaren ZM                                                                                   0 436*00        Tageswohnungseinbruchdiebstahl                                                                         13                   41                5               38,5 436000        Tageswohnungseinbruch (TWE) - sonstiger                                                                13                   41                5               38,5 440*00        BSD insg. in/aus Boden-, Kellerräumen, Waschküchen                                                    119                  371               21               17,6 440000        Schwerer Diebstahl - in/aus Boden-/Kellerr. - Sonstiger                                                50                  156                9               18,0 440010        BSD - in/aus Boden-/Kellerr. - Sonstiger                                                               50                  156                9               18,0 440300        Schwerer Diebstahl - in/aus Boden-/Kellerr. - v. Fahrrad                                               69                  215               12               17,4 440310        BSD - in/aus Boden-/Kellerr. - v. Fahrrad                                                              68                  212               11               16,2 440320        SDS - in/aus Boden-/Kellerr. - v. Fahrrad                                                               1                    3                1              100,0 445*00        BSD insg. in/aus Baubuden und Baustellen                                                               20                   62                6               30,0 445000        Schwerer Diebstahl - in/aus Baustellen - Sonstiger                                                     20                   62                6               30,0 445010        BSD - in/aus Baustellen - Sonstiger                                                                    19                   59                5               26,3 445020        SDS - in/aus Baustellen - Sonstiger                                                                     1                    3                1              100,0 450*00        SDS insg. an/aus Kfz                                                                                   61                  190               15               24,6 450000        SDS - an/aus Kfz von sonstigem Gut                                                                     61                  190               15               24,6 450010        BSD - an/aus Kfz von sonstigem Gut                                                                     61                  190               15               24,6 456000        Diebst. unter erschw. Umst. an Fahrrad - Sonstiger                                                      7                   22                4               57,1 486*00        Diebst. unter erschw. Umst. auf Campingplätzen- und Raststätten                                         1                    3                                 0,0 486000        Diebst. unter erschw. Umst. auf Campingplätzen- und Raststätten - Sonstiger                             1                    3                                 0,0 ****00        Diebstahl insgesamt                                                                                 1.276                3.983             459                36,0 ***100        Diebstahl insg. von Kraftwagen einschl. unbefugter Gebrauch                                            60                  187               12               20,0 ***200        Diebstahl insg. von Moped/Krad einschl. unbefugte Gebrauch                                              8                   25                1               12,5 ***300        Diebstahl insg. von Fahrrad einschl. unbefugter Gebrauch                                              391                1.220             117                29,9 ***500        Diebstahl insg. von unbaren ZM                                                                          1                    3                1              100,0 ***700        Diebstahl insg. von/aus Automaten                                                                       4                   12                                 0,0
105

Seite 87 von 93 Polizeirevier Guben Frage 34: Erfasste Fälle, Aufgeklärte Fälle, Aufklärungsquoten, Häufigkeitskennzahlen für alle Deliktsfelder Erfasste Fälle                       Aufgeklärte Fälle Schlüssel                                                 Bezeichnung                              Anzahl gesamt        Häufigkeitszahl    Anzahl gesamt         AQ in % 2015                2015              2015                 2015 *00000        Diebstahl insg. - Sonstiger                                                                          378                 1.180             123                32,5 *01*00        Diebstahl insg. in/aus Gärten, Gartenanlagen, Gartenkolonien                                          41                   128                9               22,0 *02*00        Diebstahl insg. in/aus Bungalow, Gartenlauben                                                         43                   134                5               11,6 *03*00        Diebstahl insg. in/aus Bungalow, Gartenl., Gärten, Gartenanl., Gartenk.                               84                   262               14               16,7 *04*00        Diebstahl insg. in/aus Garagen, Carports                                                             120                   375               58               48,3 *05*00        Diebstahl insg. in/aus Banken, Sparkassen, Postfilialen und -agenturen u. dgl.                         1                     3                                 0,0 *10*00        Diebstahl insg. in/aus Dienst-, Büro-, Fabrikations-,Werkstatt- u. Lagerräumen                        66                   206               30               45,5 *15*00        Diebstahl insg. in/aus Gaststätten, Kantinen, Hotels und Pensionen                                    10                    31                4               40,0 *25*00        Diebstahl insg. in/aus Kiosken, Warenhäusern, Verkaufsräumen                                         151                   471             130                86,1 *26*00        Diebstahl insg. Ladendiebstahl                                                                       138                   431             128                92,8 *35*00        Diebstahl insg. in/aus Wohnungen                                                                      28                    87               11               39,3 *36*00        Tageswohnungseinbruch                                                                                 13                    41                5               38,5 *40*00        Diebstahl insg. in/aus Boden-, Kellerräumen und Waschküchen                                          123                   384               22               17,9 *45*00        Diebstahl insg. in/aus Baubuden und Baustellen                                                        22                    69                6               27,3 *50*00        Diebstahl insg. an/aus Kfz                                                                           106                   331               17               16,0 *56000        Diebstahl insg. an Fahrrad                                                                            12                    37                4               33,3 *86*00        Diebstahl insg. auf Campingplätzen- und Raststätten                                                    2                     6                                 0,0 *90*00        Diebstahl insg. Taschendiebstahl                                                                       6                    19                1               16,7 500000        Vermögens- und Fälschungsdelikte                                                                     270                   843             201                74,4 510000        Betrug                                                                                               166                   518             124                74,7 511000        Waren- und Warenkreditbetrug                                                                          50                   156               46               92,0 511100        Betrügerisches Erlangen von Kfz                                                                        1                     3                1              100,0 511200        Sonstiger Warenkreditbetrug                                                                           28                    87               25               89,3 511201        Tankbetrug                                                                                             8                    25                6               75,0 511279        Weitere Arten des Warenkreditbetruges                                                                 20                    62               19               95,0 511300        Warenbetrug                                                                                           21                    66               20               95,2 512000        Grundstücks- und Baubetrug                                                                             1                     3                1              100,0 514000        Geldkreditbetrug                                                                                       1                     3                1              100,0 514100        Kreditbetrug (im geschäftlichen Verkehr)                                                                                     0 514300        Krediterlangungsbetrug                                                                                 1                     3                1              100,0 515000        Erschleichen von Leistungen                                                                           14                    44               14              100,0 515001        Beförderungserschleichung                                                                             14                    44               14              100,0 516000        Betrug bzw. Computerbetrug mittels rechtswidrig erlangter unbarer Zahlungsmittel                      12                    37                6               50,0 516200        Betrug mittels rechtswidrig erlangter Zahlungskarten ohne PIN (Lastschriftverfahren)                  11                    34                6               54,5 516300        Computerbetrug mittels rechtswidrig erlanger Zahlungskarten mit PIN                                    1                     3                                 0,0 516500        Betrug bzw. Computerbetrug mittels rechtswidrig erlangter Daten von Zahlungskarten                                           0
106

Seite 88 von 93 Polizeirevier Guben Frage 34: Erfasste Fälle, Aufgeklärte Fälle, Aufklärungsquoten, Häufigkeitskennzahlen für alle Deliktsfelder Erfasste Fälle                       Aufgeklärte Fälle Schlüssel                                               Bezeichnung                                Anzahl gesamt        Häufigkeitszahl    Anzahl gesamt         AQ in % 2015                2015              2015                 2015 517000        Sonstiger Betrug                                                                                      88                   275               56               63,6 517100        Leistungsbetrug                                                                                        1                     3                1              100,0 517200        Leistungskreditbetrug                                                                                  3                     9                2               66,7 517400        Betrug z.N.v. Versich. und Versich.missbrauch                                                          1                     3                1              100,0 517420        Versicherungsmissbrauch                                                                                1                     3                1              100,0 517700        Betrug z.N.v. Sozialversich. und SV-trägern                                                            1                     3                1              100,0 517800        Sozialleistungsbetrug                                                                                  5                    16                5              100,0 517900        Missbräuchliche Nutzung von Telekommunikationsdiensten                                                 1                     3                                 0,0 518100        Abrechnungsbetrug                                                                                      2                     6                                 0,0 518179        Sonstiger Abrechnungsbetrug                                                                            2                     6                                 0,0 518200        Einmietbetrug                                                                                          3                     9                3              100,0 518300        Überweisungsbetrug                                                                                    24                    75               23               95,8 518320        Überweisungsbetrug                                                                                    24                    75               23               95,8 518900        Sonstige weitere Betrugsarten                                                                         47                   147               20               42,6 520000        Veruntreuungen                                                                                        36                   112               36              100,0 521000        Untreue                                                                                                7                    22                6               85,7 521079        Sonstige Untreue                                                                                       7                    22                6               85,7 522000        Vorenthalten und Veruntreuen von Arbeitsentgelt                                                       29                    91               30              103,4 530000        Unterschlagung                                                                                        43                   134               23               53,5 531000        Unterschlagung von Kfz                                                                                 1                     3                1              100,0 540000        Urkundenfälschung                                                                                     22                    69               15               68,2 540001        Sonstige Urkundenfälschung                                                                            22                    69               15               68,2 540002        Mittelbare Falschbeurkundung                                                                                                 0 550000        Geld- und Wertzeichenfälschung                                                                         1                     3                1              100,0 552000        Inverkehrbringen von Falschgeld §§ 146 Abs. 1 Nr. 3, 147 StGB                                          1                     3                1              100,0 552020        Inverkehrbringen von Falschgeld gemäß § 147 StGB (nach gutgläubigem Erwerb)                            1                     3                1              100,0 560000        Insolvenzstraftaten                                                                                    2                     6                2              100,0 561000        Bankrott                                                                                                                     0 563000        Verletzung der Buchführungspflicht                                                                     2                     6                2              100,0 600000        Sonstige Straftatbestände (StGB)                                                                     474                 1.479             222                46,8 610000        Erpressung                                                                                             3                     9                1               33,3 610079        Sonstige Erpressung                                                                                    3                     9                1               33,3 620000        Widerstand gg. die Staatsgewalt und ST gg. die öff. Ordnung                                           46                   144               37               80,4 620001        Störung des öffentl. Friedens durch Androhung von ST                                                   2                     6                1               50,0 620003        Bildung krimineller Vereinigungen                                                                      1                     3                1              100,0 620005        Amtsanmaßung                                                                                                                 0
107

Seite 89 von 93 Polizeirevier Guben Frage 34: Erfasste Fälle, Aufgeklärte Fälle, Aufklärungsquoten, Häufigkeitskennzahlen für alle Deliktsfelder Erfasste Fälle                       Aufgeklärte Fälle Schlüssel                                                 Bezeichnung                              Anzahl gesamt        Häufigkeitszahl    Anzahl gesamt         AQ in % 2015                2015              2015                 2015 620006        Missbr. von Titeln, Berufsbezeichnungen, Abzeichen                                                                           0 620013        Missbr. von Notrufen und Beeintr. v. Unfallverhütungs- und Nothilfemitteln                             3                     9                1               33,3 620014        Verstoß gg. Weisung während Führungsaufsicht                                                           1                     3                1              100,0 621000        Widerstand gg. die Staatsgewalt                                                                        8                    25                8              100,0 621020        Widerstand gg. Vollstreckungsbeamte                                                                    8                    25                8              100,0 621021        Widerstand gegen Polizeivollzugsbeamte                                                                 8                    25                8              100,0 622000        Hausfriedensbruch                                                                                     30                    94               24               80,0 622100        Hausfriedensbruch gemäß § 123 StGB                                                                    30                    94               24               80,0 624000        Vortäuschen einer Straftat                                                                             1                     3                1              100,0 624010        Vortäuschen einer Straftat gg. die sex. Selbstbestimmung                                                                     0 624079        Vortäuschen einer sonstigen Straftat                                                                   1                     3                1              100,0 624200        Vortäuschen eines Diebstahls                                                                                                 0 624279        Vortäuschen eines sonstigen Diebstahls                                                                                       0 630000        Begünstigung, Strafvereitelung, Hehlerei u. Geldwäsche                                                11                    34               11              100,0 631000        Hehlerei von Kfz                                                                                       4                    12                4              100,0 631079        Hehlerei von Kfz gemäß § 259 StGB                                                                      3                     9                3              100,0 631100        Gewerbsmäßige Hehlerei von Kfz                                                                         1                     3                1              100,0 632000        Sonstige Hehlerei                                                                                      5                    16                5              100,0 632079        Sonstige Hehlerei                                                                                      5                    16                5              100,0 633000        Geldwäsche, Verschleierung unrechtmäßig erl. Vermögenswerte                                            2                     6                2              100,0 640000        Brandstiftung und Herbeiführen einer Brandgefahr                                                      23                    72                5               21,7 640010        Fahrlässige Brandstiftung                                                                              1                     3                1              100,0 641000        (Vorsätzliche) Brandstiftung und Herbeiführen einer Brandgefahr                                       22                    69                4               18,2 641010        Vorsätzliche Brandstiftung                                                                            22                    69                4               18,2 641020        Schwere Brandstiftung                                                                                                        0 650000        Wettbewerbs-, Korruptions- und Amtsdelikte                                                             1                     3                1              100,0 652000        Vorteilsgewährung, Bestechung                                                                                                0 652100        Vorteilsgewährung                                                                                                            0 655000        Sonstige Straftaten im Amt                                                                             1                     3                1              100,0 655100        Körperverletzung im Amt                                                                                1                     3                1              100,0 660000        Strafbarer Eigennutz                                                                                   5                    16                3               60,0 660010        Vereiteln der Zwangsvollstreckung                                                                                            0 660020        Pfandkehr                                                                                                                    0 662000        Wilderei                                                                                               5                    16                3               60,0 662001        Fischwilderei                                                                                          4                    12                3               75,0 662100        Jagdwilderei                                                                                           1                     3                                 0,0
108

Seite 90 von 93 Polizeirevier Guben Frage 34: Erfasste Fälle, Aufgeklärte Fälle, Aufklärungsquoten, Häufigkeitskennzahlen für alle Deliktsfelder Erfasste Fälle                       Aufgeklärte Fälle Schlüssel                                                  Bezeichnung                             Anzahl gesamt        Häufigkeitszahl    Anzahl gesamt         AQ in % 2015                2015              2015                 2015 663000        Wucher                                                                                                                       0 670000        Alle sonstigen ST gemäß StGB - ohne Verkehrsdelikte                                                  385                 1.202             164                42,6 670001        Falsche uneidliche Aussage (Falschaussage)                                                             1                     3                1              100,0 670003        Falsche Versicherung an Eides statt                                                                                          0 670007        Falsche Verdächtigung                                                                                  3                     9                2               66,7 670011        Störung der Totenruhe                                                                                  1                     3                                 0,0 670017        Verletzung des Briefgeheimnisses                                                                       2                     6                1               50,0 670018        Verletzung von Privatgeheimnissen                                                                                            0 670024        Gefährl. Eingriffe in den Bahn-, Schiffs- und Luftverkehr                                              1                     3                1              100,0 670025        Gefährliche Eingriffe in den Straßenverkehr                                                            8                    25                2               25,0 670026        Störung öffentlicher Betriebe                                                                          3                     9                                 0,0 670027        Störung von Telekommunikationsanlagen                                                                  2                     6                                 0,0 670034        Verl. des höchstpersönl. Lebensbereiches durch Bildaufnahmen                                           2                     6                2              100,0 671000        Verletzung der Unterhaltspflicht                                                                                             0 672000        Verletzung der Fürsorge- oder Erziehungspflicht                                                        4                    12                4              100,0 673000        Beleidigung                                                                                           91                   284               87               95,6 673010        Beleidigung ohne sex. Grundlage                                                                       55                   172               53               96,4 673020        Üble Nachrede ohne sex. Grundlage                                                                     10                    31               11              110,0 673030        Verleumdung ohne sex. Grundlage                                                                       24                    75               21               87,5 673100        Beleidigung auf sex. Grundlage                                                                         2                     6                2              100,0 673110        Beleidigung auf sex. Grundlage                                                                         2                     6                2              100,0 673130        Verleumdung auf sex. Grundlage                                                                                               0 674000        Sachbeschädigung                                                                                     259                   808               61               23,6 674010        Sachbeschädigung (ohne 674100, 674300)                                                               166                   518               48               28,9 674011        Sachbeschädigung durch Graffiti (ohne 674111, 674311)                                                 35                   109                1                2,9 674012        Sachbeschädigung durch Feuer (ohne 674312)                                                             6                    19                3               50,0 674019        Sonstige Sachbeschäd. (ohne 674119, 674319)                                                          125                   390               44               35,2 674020        Gemeinschädl. Sachb. (ohne 674320)                                                                     4                    12                2               50,0 674022        Gemeinschädl. Sachb. durch Feuer (ohne 674322)                                                         1                     3                1              100,0 674029        Sonstige gemeinschädl. Sachb. (ohne 674329)                                                            3                     9                1               33,3 674100        Sachbeschädigung an Kfz                                                                               40                   125                7               17,5 674111        Sachbeschädigung durch Graffiti an Kfz                                                                 1                     3                                 0,0 674119        Sonstige Sachbeschädigung an Kfz                                                                      39                   122                7               17,9 674200        Datenveränderung, Computersabotage                                                                     1                     3                                 0,0 674220        Computersabotage                                                                                       1                     3                                 0,0 674300        Sonstige Sachb. auf Straßen, Wegen oder Plätzen                                                       48                   150                4                8,3
109

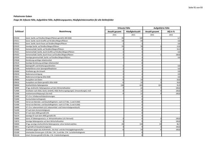
Seite 91 von 93 Polizeirevier Guben Frage 34: Erfasste Fälle, Aufgeklärte Fälle, Aufklärungsquoten, Häufigkeitskennzahlen für alle Deliktsfelder Erfasste Fälle                       Aufgeklärte Fälle Schlüssel                                                Bezeichnung                               Anzahl gesamt        Häufigkeitszahl    Anzahl gesamt         AQ in % 2015                2015              2015                 2015 674310        Sonst. Sachb. auf Straßen/Wegen/Plätzen gemäß § 303 StGB                                              45                  140                 3                6,7 674311        Sonst. Sachb. durch Graffiti auf Straßen/Wegen/Plätzen                                                19                    59                                 0,0 674312        Sonst. Sachb. durch Feuer auf Straßen/Wegen/Plätzen                                                    1                     3                                 0,0 674319        Sonstige Sachb. auf Straßen/Wegen/Plätzen                                                             25                    78                3               12,0 674320        Gemeinschädl. Sachb. auf Straßen/Wegen/Plätzen                                                         3                     9                1               33,3 674321        Gemeinschädl. Sachb. durch Graffiti auf Straßen/Wegen/Plätzen                                          1                     3                                 0,0 674322        Gemeinschädl. Sachb. durch Feuer auf Straßen/Wegen/Plätzen                                             1                     3                1              100,0 674329        Sonstige gemeinschädl. Sachb. auf Straßen/Wegen/Plätzen                                                1                     3                                 0,0 674500        Zerstörung wichtiger Arbeitsmittel                                                                                           0 674519        Sonstige Zerstörung wichtiger Arbeitsmittel                                                                                  0 675000        Sprengstoff- und Strahlungsverbrechen                                                                  1                     3                                 0,0 675200        Herbeiführen einer Sprengstoffexplosion                                                                1                     3                                 0,0 676000        Straftaten gg. die Umwelt                                                                              1                     3                                 0,0 676010        Bodenverunreinigung                                                                                    1                     3                                 0,0 676011        Bodenverunreinigung 324a StGB                                                                          1                     3                                 0,0 678000        Ausspähen von Daten                                                                                    6                    19                3               50,0 678010        Ausspähen von Daten gemäß § 202a StGB                                                                  6                    19                3               50,0 700000        Strafrechtliche Nebengesetze                                                                         136                  424              125                91,9 710000        ST gg. strafrechtl. Nebengesetze auf dem Wirtschaftssektor                                             7                    22                7              100,0 712000        Straftaten nach AktG, GenG, GmbHG, HGB, RechnungslegungsG, UmwandlungsG, InsO                          4                    12                4              100,0 712200        Insolvenzverschleppung § 15a InsO                                                                      4                    12                4              100,0 715000        ST i.Z.m. Urheberrechtsbestimmungen                                                                                          0 715040        Kunsturheberrechtsgesetz                                                                                                     0 715300        Verrat von Betriebs- und Geschäftsgeheim. nach § 17 Abs. 1 und 4 UWG                                                         0 715400        Verrat von Betriebs- und Geschäftsgeheim. nach § 17 Abs. 2 und 4 UWG                                                         0 716000        ST i.Z.m. Lebensmitteln (z.B. Lebensmittel- und Futtermittelgesetzbuch)                                                      0 716200        ST nach dem Arzneimittelgesetz                                                                                               0 716210        ST nach dem AMG gemäß § 95                                                                                                   0 716219        Sonstige ST nach dem AMG gemäß § 95                                                                                          0 719000        Sonst. ST (Nebengesetze) a. d. Wirtschaftssektor (z.B. RennwG)                                         3                     9                3              100,0 719079        Sonstige Nebengesetze auf dem Wirtschaftssektor                                                        3                     9                3              100,0 720000        ST gg. sonstige strafrechtliche Nebengesetze -ohne Verkehrsdelikte-                                   45                  140                39               86,7 720011        ST gemäß § 4 Gewaltschutzgesetz                                                                        3                     9                3              100,0 725000        Straftaten gegen das Aufenthalts-, das Asyl- und das Freizügigkeitsgesetz/EU                           6                    19                6              100,0 725100        Unerlaubte Einreise gem. § 95 Abs. 1 Nr. 3 und Abs. 2 Nr. 1a Aufenthaltsgesetz                                               0 725110        Unerl. Einreise gemäß § 95 Abs. 1 Nr. 3 Aufenthaltsgesetz                                                                    0
110

Zur nächsten Seite