Polizeistrukturreform - Polizeirevier Guben

/ 363
PDF herunterladen
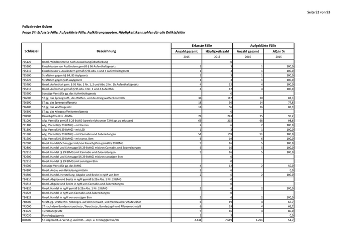
Seite 92 von 93 Polizeirevier Guben Frage 34: Erfasste Fälle, Aufgeklärte Fälle, Aufklärungsquoten, Häufigkeitskennzahlen für alle Deliktsfelder Erfasste Fälle                       Aufgeklärte Fälle Schlüssel                                                   Bezeichnung                            Anzahl gesamt        Häufigkeitszahl    Anzahl gesamt         AQ in % 2015                2015              2015                 2015 725120        Unerl. Wiedereinreise nach Ausweisung/Abschiebung                                                                            0 725200        Einschleusen von Ausländern gemäß § 96 Aufenthaltsgesetz                                                1                    3                1              100,0 725210        Einschleusen v. Ausländern gemäß § 96 Abs. 1 und 4 Aufenthaltsgesetz                                    1                    3                1              100,0 725500        Straftaten gegen §§ 84, 85 Asylgesetz                                                                   1                    3                1              100,0 725520        Straftaten gegen § 85 Asylgesetz                                                                        1                    3                1              100,0 725700        Unerl. Aufenthalt gem. § 95 Abs. 1 Nr. 1, 2 und Abs. 2 Nr. 1b Aufenthaltsgesetz                         4                   12                4              100,0 725710        Unerl. Aufenthalt gemäß § 95 Abs. 1 Nr. 1 und 2 AufenthG                                                4                   12                4              100,0 725900        Sonstige Verstöße gg. das Aufenthaltsgesetz                                                                                  0 726000        ST gg. das Sprengstoff-, das Waffen- und das KriegswaffenkontrollG                                     36                  112               30               83,3 726100        ST gg. das Sprengstoffgesetz                                                                           18                   56               14               77,8 726200        ST gg. das Waffengesetz                                                                                18                   56               16               88,9 726300        ST gg. das Kriegswaffenkontrollgesetz                                                                                        0 730000        Rauschgiftdelikte -BtMG-                                                                               78                  243               75               96,2 731000        Allg. Verstöße gemäß § 29 BtMG (soweit nicht unter 7340 pp. zu erfassen)                               69                  215               68               98,6 731100        Allg. Verstoß (§ 29 BtMG) - mit Heroin                                                                  2                    6                2              100,0 731300        Allg. Verstoß (§ 29 BtMG) - mit LSD                                                                     1                    3                1              100,0 731800        Allg. Verstoß (§ 29 BtMG) - mit Cannabis und Zubereitungen                                             51                  159               51              100,0 731900        Allg. Verstoß (§ 29 BtMG) - mit sonst. Btm                                                              6                   19                6              100,0 732000        Unerl. Handel/Schmuggel mit/von Rauschgiften gemäß § 29 BtMG                                            5                   16                5              100,0 732800        Unerl. Handel und Schmuggel (§ 29 BtMG) mit/von Cannabis und Zubereitungen                              5                   16                5              100,0 732810        Unerl. Handel (§ 29 BtMG) mit Cannabis und Zubereitungen                                                5                   16                5              100,0 732900        Unerl. Handel und Schmuggel (§ 29 BtMG) mit/von sonstigen Btm                                                                0 732910        Unerl. Handel (§ 29 BtMG) mit sonstigen Btm                                                                                  0 734000        Sonstige Verstöße gg. das BtMG                                                                          4                   12                2               50,0 734100        Unerl. Anbau von Betäubungsmitteln                                                                      2                    6                                 0,0 734800        Unerl. Handel, Herstellung, Abgabe und Besitz in ngM von Btm                                            2                    6                2              100,0 734810        Unerl. Abgabe und Besitz in ngM gemäß § 29a Abs. 1 Nr. 2 BtMG                                                                0 734818        Unerl. Abgabe und Besitz in ngM von Cannabis und Zubereitungen                                                               0 734820        Unerl. Handel in ngM gemäß § 29a Abs. 1 Nr. 2 BtMG                                                      2                    6                2              100,0 734828        Unerl. Handel in ngM von Cannabis und Zubereitungen                                                                          0 734829        Unerl. Handel in ngM von sonstigen Btm                                                                  2                    6                2              100,0 740000        Straft. gg. strafrechtl. Nebenges. auf dem Umwelt- und Verbraucherschutzsektor                          6                   19                4               66,7 743000        ST nach dem Bundesnaturschutz-, Tierschutz-, Bundesjagd- und PflanzenschutzG                            6                   19                4               66,7 743020        Tierschutzgesetz                                                                                        5                   16                4               80,0 743030        Bundesjagdgesetz                                                                                        1                    3                                 0,0 890000        ST insgesamt, o. Verst. g. Aufenth.-, Asyl- u. FreizügigkeitsG/EU                                   2.441                7.619            1.261               51,7
111

Seite 93 von 93 Polizeirevier Guben Frage 34: Erfasste Fälle, Aufgeklärte Fälle, Aufklärungsquoten, Häufigkeitskennzahlen für alle Deliktsfelder Erfasste Fälle                       Aufgeklärte Fälle Schlüssel                                               Bezeichnung                                Anzahl gesamt        Häufigkeitszahl    Anzahl gesamt         AQ in % 2015                2015              2015                 2015 891000        Rauschgiftkriminalität                                                                                78                   243               75               96,2 892000        Gewaltkriminalität                                                                                    67                   209               53               79,1 893000        Wirtschaftskriminalität und zwar:                                                                     37                   115               37              100,0 893100        Wikri bei Betrug                                                                                       1                     3                                 0,0 893200        Wikri - Insolvenzstraftaten gemäß StGB und Nebenstrafrecht                                             6                    19                6              100,0 893300        Wikri - im Anlage- und Finanzierungsbereich pp.                                                                              0 893400        Wikri - Wettbewerbsdelikte                                                                                                   0 893500        Wikri - i.Z.m. Arbeitsverhältnissen                                                                   28                    87               29              103,6 894000        KFZ-Kriminalität                                                                                     220                   687               43               19,5 897000        Computerkriminalität                                                                                   9                    28                3               33,3 898000        Straftaten insgesamt auf dem Umwelt- und Verbraucherschutzsektor                                      13                    41                7               53,8 898100        Umweltstraftaten gemäß 29. Abschnitt des StGB                                                          1                     3                                 0,0 898200        Sonstige Straftaten nach dem StGB mit Umweltrelevanz                                                   6                    19                3               50,0 898300        Straftaten auf dem Umwelt- und Verbraucherschutzsektor gem. strafr. Nebengesetze                       6                    19                4               66,7 899000        Straßenkriminalität                                                                                  609                 1.901             160                26,3 899100        Straßenraub                                                                                           10                    31                6               60,0 899200        Straßendiebstahl                                                                                     496                 1.548             132                26,6 899500        Sachbeschädigung durch Graffiti insgesamt                                                             56                   175                1                1,8
112

Polizeirevier Guben Frage 36: Übersicht zur Alters- und Geschlechtsstruktur der ermittelten TV 2010                                               2011 Schlüssel                                         Kurzbezeichnung Heran-   Er-                                       Heran-   Er- Schlüssel                              gesamt männl. weibl. Kinder Jugdl.                 gesamt männl. weibl. Kinder Jugdl. wachs.  wachs.                                     wachs.  wachs. ------      Straftaten insgesamt                                                                1.042    810  232      26   100     133     783     852   684    168      35   101      76     640 200000      Rohheitsdelikte und ST gg. die persönliche Freiheit                                   253    205   48      12    32      26     183     211   177     34      14    34      16     147 222000      Gefährliche und schwere Körperverletzung                                               63     54     9      5      7       8      43     61    56       5      6    12        7      36 224000      Vorsätzliche einfache Körperverletzung § 223 StGB                                     106     90   16       9      7       8      82     91    77     14       7    13        6      65 435*00      Wohnungseinbruchdiebstahl                                                               6      5     1             1               5     10    10                     1       2       7 436*00      Tageswohnungseinbruchdiebstahl                                                          3      3                   1               2      4      4                                    4 ****00      Diebstahl insgesamt                                                                   281    227   54       9    32      49     191     316   249     67      14    46      42     214 ***100      Diebstahl insg. von Kraftwagen einschl. unbefugter Gebrauch                            22     22                   6       3      13     14    13       1             3              11 ***200      Diebstahl insg. von Moped/Krad einschl. unbefugte Gebrauch                              8      8                   3       3       2     15    13       2             5       3       7 ***300      Diebstahl insg. von Fahrrad einschl. unbefugter Gebrauch                               28     26     2             4       9      15     32    32                     8       9      15 *10*00      Diebstahl insg. in/aus Dienst-, Büro-, Fabrikations-,Werkstatt- u. Lagerräumen         17     17                   3       6       8     45    39       6      7      4       6      28 *25*00      Diebstahl insg. in/aus Kiosken, Warenhäusern, Verkaufsräumen                          139     97   42       8    16      27       88    106    67     39      10    28      10       58 *35*00      Diebstahl insg. in/aus Wohnungen                                                       19     15     4             3       2      14     25    19       6             4       3      18 *40*00      Diebstahl insg. in/aus Boden-, Kellerräumen und Waschküchen                             4      2     2                     1       3     18    17       1             3       4      11 *50*00      Diebstahl insg. an/aus Kfz                                                             11     11                           3       8     24    21       3             4       4      16 500000      Vermögens- und Fälschungsdelikte                                                      211    153   58              7     17     187     139   101     38       1      1       5    132 510000      Betrug                                                                                156    111   45              4     15     137     101    72     29              1       4      96 511000      Waren- und Warenkreditbetrug                                                           44     27   17                      7      37     36    21     15                      2      34 512000      Grundstücks- und Baubetrug                                                                                                                1      1                                    1 513000      Kapitalanlage- und Anlagebetrug                                                                                                           1             1                             1 514000      Geldkreditbetrug                                                                        4      4                                   4      4      3      1                             4 515000      Erschleichen von Leistungen                                                            18     18                           3      15     14    12       2                     2      12 516000      Betrug bzw. Computerbetrug mittels rechtswidrig erlangter unbarer Zahlungsmittel        2      1     1             1               1      1      1                                    1 517000      Sonstiger Betrug                                                                       91     63   28              3       6      82     48    38     10              1       1      46 520000      Veruntreuungen                                                                         11     10     1                            11     15    11       4                            15 521000      Untreue                                                                                 6      5     1                             6      5      4      1                             5 522000      Vorenthalten und Veruntreuen von Arbeitsentgelt                                         5      5                                   5     10      7      3                            10 523000      Missbrauch von Scheck- und Kreditkarten 530000      Unterschlagung                                                                         22     17     5             3       1      18     16    12       4                     1      15 531000      Unterschlagung von Kfz                                                                  1      1                                   1      5      4      1                             5 Seite 1 von 251
113

Polizeirevier Guben Frage 36: Übersicht zur Alters- und Geschlechtsstruktur der ermittelten TV 2010                                               2011 Schlüssel                                      Kurzbezeichnung Heran-   Er-                                       Heran-   Er- Schlüssel                         gesamt männl. weibl. Kinder Jugdl.                 gesamt männl. weibl. Kinder Jugdl. wachs.  wachs.                                     wachs.  wachs. 540000     Urkundenfälschung                                                              23     18     5                     1      22      9      8      1      1                      8 541000     Fälschung technischer Aufzeichnungen 542000     Fälschung zur Erlangung von Btm 543000     Fälsch. beweiserhebl. Daten, Täusch. im Rechtsverkehr b. Datenverarb.           2      1     1                             2      1      1             1 550000     Geld- und Wertzeichenfälschung                                                  1            1                             1 551000     Geld- und Wertzeichenfälschung einschl. Vorbereitungshandlungen 552000     Inverkehrbringen von Falschgeld §§ 146 Abs. 1 Nr. 3, 147 StGB                   1            1                             1 553000     Fälsch. v. Zahlungskarten mit/ohne Garantiefunktion, Schecks u. Wechseln 560000     Insolvenzstraftaten                                                             4      3     1                             4      6      6                                    6 561000     Bankrott                                                                        4      3     1                             4      2      2                                    2 562000     Besonders schwerer Fall des Bankrotts 563000     Verletzung der Buchführungspflicht                                                                                                4      4                                    4 564000     Gläubigerbegünstigung 565000     Schuldnerbegünstigung 621020     Widerstand gg. Vollstreckungsbeamte                                            13     13                           2      11     12    11       1             1       1      10 674000     Sachbeschädigung                                                               86     77     9           25      24       37     97    85     12      12    28      12       45 726200     ST gg. das Waffengesetz                                                        25     25                   4       5      16     26    26                     7       2      17 731000     Allg. Verstöße gemäß § 29 BtMG (soweit nicht unter 7340 pp. zu erfassen)       39     32     7      3      3       7      26     16    15       1             3              13 732000     Unerl. Handel/Schmuggel mit/von Rauschgiften gemäß § 29 BtMG                    3      3                           3              4      4                                    4 733000     Unerl. Einfuhr von Btm gemäß § 30 Abs. 1 Nr. 4 BtMG (in ngM) 734800     Unerl. Handel, Herstellung, Abgabe und Besitz in ngM von Btm                    1      1                                   1 899500     Sachbeschädigung durch Graffiti insgesamt                                       3      3                   3                     12    10       2      4      7       1 Seite 2 von 251
114

Polizeirevier Guben Frage 36: Übersicht zur Alters- und Geschlechtsstruktur der ermittelten TV 2012                                               2013 Schlüssel                                         Kurzbezeichnung Heran-   Er-                                       Heran-   Er- Schlüssel                              gesamt männl. weibl. Kinder Jugdl.                 gesamt männl. weibl. Kinder Jugdl. wachs.  wachs.                                     wachs.  wachs. ------      Straftaten insgesamt                                                                  837    669  168      45    78      71     643     828   649    179      29    91      50     658 200000      Rohheitsdelikte und ST gg. die persönliche Freiheit                                   187    159   28      16    17      11     143     247   205     42      14    34      21     178 222000      Gefährliche und schwere Körperverletzung                                               44     41     3     10      5       4      25     54    48       6      7    17        7      23 224000      Vorsätzliche einfache Körperverletzung § 223 StGB                                      86     72   14       8      9       4      65    112    95     17       6    11      11       84 435*00      Wohnungseinbruchdiebstahl                                                               4      2     2                             4      2      2                    1               1 436*00      Tageswohnungseinbruchdiebstahl                                                          4      2     2                             4      2      2                    1               1 ****00      Diebstahl insgesamt                                                                   251    185   66      11    37      29     174     237   180     57       7    38      20     172 ***100      Diebstahl insg. von Kraftwagen einschl. unbefugter Gebrauch                             9      9                           4       5     16    16                             1      15 ***200      Diebstahl insg. von Moped/Krad einschl. unbefugte Gebrauch                              4      4                   1       1       2      4      4                            3       1 ***300      Diebstahl insg. von Fahrrad einschl. unbefugter Gebrauch                               26     25     1             7       3      16     30    30                     8       4      18 *10*00      Diebstahl insg. in/aus Dienst-, Büro-, Fabrikations-,Werkstatt- u. Lagerräumen         13     12     1             2       4       7     15    14       1             2       3      10 *25*00      Diebstahl insg. in/aus Kiosken, Warenhäusern, Verkaufsräumen                          113     61   52       8    23      14       68     94    51     43       3    23        6      62 *35*00      Diebstahl insg. in/aus Wohnungen                                                       11      8     3             1              10      9      5      4             1               8 *40*00      Diebstahl insg. in/aus Boden-, Kellerräumen und Waschküchen                             5      5                   1               4      8      8                    2       2       4 *50*00      Diebstahl insg. an/aus Kfz                                                             10     10                           2       8      7      6      1                             7 500000      Vermögens- und Fälschungsdelikte                                                      151    118   33       1      7       9    134     154   111     43       1      6       6    141 510000      Betrug                                                                                109     84   25       1      4       6      98    109    78     31              5       3    101 511000      Waren- und Warenkreditbetrug                                                           40     31     9             1       2      37     39    30       9                     1      38 512000      Grundstücks- und Baubetrug 513000      Kapitalanlage- und Anlagebetrug                                                         2      2                                   2      1             1                             1 514000      Geldkreditbetrug                                                                        4      4                                   4      1             1                             1 515000      Erschleichen von Leistungen                                                            11      9     2      1      3       2       5      9      6      3             3               6 516000      Betrug bzw. Computerbetrug mittels rechtswidrig erlangter unbarer Zahlungsmittel        1      1                                   1 517000      Sonstiger Betrug                                                                       52     38   14                      2      50     62    43     19              2       2      58 520000      Veruntreuungen                                                                          7      4     3                             7      7      6      1                             7 521000      Untreue                                                                                 3      2     1                             3      4      3      1                             4 522000      Vorenthalten und Veruntreuen von Arbeitsentgelt                                         4      2     2                             4      3      3                                    3 523000      Missbrauch von Scheck- und Kreditkarten 530000      Unterschlagung                                                                         20     17     3             1              19     29    21       8      1      1       3      24 531000      Unterschlagung von Kfz                                                                  3      3                                   3      2      2                                    2 Seite 3 von 251
115

Polizeirevier Guben Frage 36: Übersicht zur Alters- und Geschlechtsstruktur der ermittelten TV 2012                                               2013 Schlüssel                                      Kurzbezeichnung Heran-   Er-                                       Heran-   Er- Schlüssel                         gesamt männl. weibl. Kinder Jugdl.                 gesamt männl. weibl. Kinder Jugdl. wachs.  wachs.                                     wachs.  wachs. 540000     Urkundenfälschung                                                              19     17     2             2       3      14     13    10       3                            13 541000     Fälschung technischer Aufzeichnungen 542000     Fälschung zur Erlangung von Btm 543000     Fälsch. beweiserhebl. Daten, Täusch. im Rechtsverkehr b. Datenverarb. 550000     Geld- und Wertzeichenfälschung 551000     Geld- und Wertzeichenfälschung einschl. Vorbereitungshandlungen 552000     Inverkehrbringen von Falschgeld §§ 146 Abs. 1 Nr. 3, 147 StGB 553000     Fälsch. v. Zahlungskarten mit/ohne Garantiefunktion, Schecks u. Wechseln 560000     Insolvenzstraftaten                                                             5      5                                   5      1      1                                    1 561000     Bankrott                                                                        5      5                                   5      1      1                                    1 562000     Besonders schwerer Fall des Bankrotts 563000     Verletzung der Buchführungspflicht                                                                                                1      1                                    1 564000     Gläubigerbegünstigung 565000     Schuldnerbegünstigung 621020     Widerstand gg. Vollstreckungsbeamte                                             5      5                                   5      3      3                                    3 674000     Sachbeschädigung                                                               92     86     6     14    21        9      48     89    78     11       8    23        5      53 726200     ST gg. das Waffengesetz                                                        15     15            3      2       3       7     17    16       1                     3      14 731000     Allg. Verstöße gemäß § 29 BtMG (soweit nicht unter 7340 pp. zu erfassen)       14     11     3             2       4       8     26    23       3             5       5      16 732000     Unerl. Handel/Schmuggel mit/von Rauschgiften gemäß § 29 BtMG                    2      2                           1       1      3      3                                    3 733000     Unerl. Einfuhr von Btm gemäß § 30 Abs. 1 Nr. 4 BtMG (in ngM) 734800     Unerl. Handel, Herstellung, Abgabe und Besitz in ngM von Btm                    1      1                                   1      2      1      1                             2 899500     Sachbeschädigung durch Graffiti insgesamt                                       8      8            1      4       1       2     11    10       1      4      2       2       3 Seite 4 von 251
116

Polizeirevier Guben Frage 36: Übersicht zur Alters- und Geschlechtsstruktur der ermittelten TV 2014                                               2015 Schlüssel                                         Kurzbezeichnung Heran-   Er-                                       Heran-   Er- Schlüssel                              gesamt männl. weibl. Kinder Jugdl.                 gesamt männl. weibl. Kinder Jugdl. wachs.  wachs.                                     wachs.  wachs. ------      Straftaten insgesamt                                                                  929    719  210      44    69      63     753     799   611    188      26    68      57     648 200000      Rohheitsdelikte und ST gg. die persönliche Freiheit                                   237    189   48      17    15      17     188     218   176     42      10    19      15     174 222000      Gefährliche und schwere Körperverletzung                                               39     32     7      6      6       3      24     39    32       7      3      3       3      30 224000      Vorsätzliche einfache Körperverletzung § 223 StGB                                     102     81   21       4      6       7      85    115    94     21       7    11        7      90 435*00      Wohnungseinbruchdiebstahl                                                               2      2                                   2      3      3                                    3 436*00      Tageswohnungseinbruchdiebstahl                                                                                                            1      1                                    1 ****00      Diebstahl insgesamt                                                                   336    278   58      10    35      32     259     258   197     61       5    34      16     203 ***100      Diebstahl insg. von Kraftwagen einschl. unbefugter Gebrauch                            32     31     1                     3      29     27    25       2             1       2      24 ***200      Diebstahl insg. von Moped/Krad einschl. unbefugte Gebrauch                              3      3                           1       2      1      1                                    1 ***300      Diebstahl insg. von Fahrrad einschl. unbefugter Gebrauch                               36     35     1           10        4      22     26    25       1           10        4      12 *10*00      Diebstahl insg. in/aus Dienst-, Büro-, Fabrikations-,Werkstatt- u. Lagerräumen         16     16            2      2       2      10     22    18       4             3       1      18 *25*00      Diebstahl insg. in/aus Kiosken, Warenhäusern, Verkaufsräumen                          130     96   34       3    19      13       95    106    65     41       1    17        5      83 *35*00      Diebstahl insg. in/aus Wohnungen                                                        6      6                           1       5      7      4      3                             7 *40*00      Diebstahl insg. in/aus Boden-, Kellerräumen und Waschküchen                            19     18     1             3       4      12      9      9                    2       1       6 *50*00      Diebstahl insg. an/aus Kfz                                                             17     16     1                     2      15      8      7      1                             8 500000      Vermögens- und Fälschungsdelikte                                                      136     87   49              2       7    127     133    88     45       2      2       7    122 510000      Betrug                                                                                 90     53   37              2       7      81     86    56     30       2      1       4      79 511000      Waren- und Warenkreditbetrug                                                           45     25   20              2       3      40     31    17     14                      1      30 512000      Grundstücks- und Baubetrug                                                                                                                1      1                                    1 513000      Kapitalanlage- und Anlagebetrug 514000      Geldkreditbetrug                                                                        2      1     1                             2      1      1                                    1 515000      Erschleichen von Leistungen                                                             9      8     1                     3       6     12    10       2      1      1       1       9 516000      Betrug bzw. Computerbetrug mittels rechtswidrig erlangter unbarer Zahlungsmittel        1      1                                   1      1             1                             1 517000      Sonstiger Betrug                                                                       39     22   17                      1      38     43    28     15       1              2      40 520000      Veruntreuungen                                                                         11      7     4                            11     12      8      4                            12 521000      Untreue                                                                                 6      3     3                             6      6      3      3                             6 522000      Vorenthalten und Veruntreuen von Arbeitsentgelt                                         5      4     1                             5      6      5      1                             6 523000      Missbrauch von Scheck- und Kreditkarten 530000      Unterschlagung                                                                         21     15     6                            21     24    16       8             1       3      20 531000      Unterschlagung von Kfz                                                                  3      2     1                             3      1      1                                    1 540000      Urkundenfälschung                                                                      12     10     2                            12     16    11       5                            16 Seite 5 von 251
117

Polizeirevier Guben Frage 36: Übersicht zur Alters- und Geschlechtsstruktur der ermittelten TV 2014                                               2015 Schlüssel                                      Kurzbezeichnung Heran-   Er-                                       Heran-   Er- Schlüssel                         gesamt männl. weibl. Kinder Jugdl.                 gesamt männl. weibl. Kinder Jugdl. wachs.  wachs.                                     wachs.  wachs. 541000     Fälschung technischer Aufzeichnungen 542000     Fälschung zur Erlangung von Btm 543000     Fälsch. beweiserhebl. Daten, Täusch. im Rechtsverkehr b. Datenverarb. 550000     Geld- und Wertzeichenfälschung                                                  3      3                                   3      1             1                             1 551000     Geld- und Wertzeichenfälschung einschl. Vorbereitungshandlungen 552000     Inverkehrbringen von Falschgeld §§ 146 Abs. 1 Nr. 3, 147 StGB                   3      3                                   3      1             1                             1 553000     Fälsch. v. Zahlungskarten mit/ohne Garantiefunktion, Schecks u. Wechseln 560000     Insolvenzstraftaten                                                             3      3                                   3      3      3                                    3 561000     Bankrott                                                                        2      2                                   2 562000     Besonders schwerer Fall des Bankrotts 563000     Verletzung der Buchführungspflicht                                              1      1                                   1      3      3                                    3 564000     Gläubigerbegünstigung 565000     Schuldnerbegünstigung 621020     Widerstand gg. Vollstreckungsbeamte                                             8      8                           3       5      8      7      1                             8 674000     Sachbeschädigung                                                               90     82     8     16    13        5      56     66    60       6      8      9       9      40 726200     ST gg. das Waffengesetz                                                        19     17     2      1      3              15     14    13       1                     2      12 731000     Allg. Verstöße gemäß § 29 BtMG (soweit nicht unter 7340 pp. zu erfassen)       32     27     5      3      5       4      20     58    54       4           11      11       36 732000     Unerl. Handel/Schmuggel mit/von Rauschgiften gemäß § 29 BtMG                    6      6                                   6      5      4      1             1       2       2 733000     Unerl. Einfuhr von Btm gemäß § 30 Abs. 1 Nr. 4 BtMG (in ngM) 734800     Unerl. Handel, Herstellung, Abgabe und Besitz in ngM von Btm                    4      4                                   4      2      1      1                     1       1 899500     Sachbeschädigung durch Graffiti insgesamt                                       8      8                   3               5      2      1      1             2 Seite 6 von 251
118

Polizeirevier Guben Frage 36: Straftaten und Staatsangehörige nichtdeutscher Tatverdächtiger 2010 Schlüssel-                                                                                  Anzahl nicht- Bosnien und zahl der                                              Straftat                            deutsche TV   Albanien             Andorra Herzegowina Tat                                                                                      insges. ------       Straftaten insgesamt                                                                 212                     1 200000       Rohheitsdelikte und ST gg. die persönliche Freiheit                                   30 222000       Gefährliche und schwere Körperverletzung                                              5 224000       Vorsätzliche einfache Körperverletzung § 223 StGB                                     4 435*00       Wohnungseinbruchdiebstahl                                                             2                      1 436*00       Tageswohnungseinbruchdiebstahl                                                        2                      1 ****00       Diebstahl insgesamt                                                                  141                     1 ***100       Diebstahl insg. von Kraftwagen einschl. unbefugter Gebrauch                           17 ***200       Diebstahl insg. von Moped/Krad einschl. unbefugte Gebrauch                            6 ***300       Diebstahl insg. von Fahrrad einschl. unbefugter Gebrauch                              17 *10*00       Diebstahl insg. in/aus Dienst-, Büro-, Fabrikations-,Werkstatt- u. Lagerräumen        6 *25*00       Diebstahl insg. in/aus Kiosken, Warenhäusern, Verkaufsräumen                          73 *35*00       Diebstahl insg. in/aus Wohnungen                                                      5                      1 *40*00       Diebstahl insg. in/aus Boden-, Kellerräumen und Waschküchen                           2 *50*00       Diebstahl insg. an/aus Kfz                                                            9 500000       Vermögens- und Fälschungsdelikte                                                      28 510000       Betrug                                                                                20 511000       Waren- und Warenkreditbetrug                                                          3 512000       Grundstücks- und Baubetrug 513000       Kapitalanlage- und Anlagebetrug 514000       Geldkreditbetrug 515000       Erschleichen von Leistungen                                                           5 516000       Betrug bzw. Computerbetrug mittels rechtswidrig erlangter unbarer Zahlungsmittel 517000       Sonstiger Betrug                                                                      12 520000       Veruntreuungen                                                                        2 521000       Untreue                                                                               1 522000       Vorenthalten und Veruntreuen von Arbeitsentgelt                                       1 523000       Missbrauch von Scheck- und Kreditkarten 530000       Unterschlagung                                                                        1 531000       Unterschlagung von Kfz 540000       Urkundenfälschung                                                                     5 541000       Fälschung technischer Aufzeichnungen 542000       Fälschung zur Erlangung von Btm 543000       Fälsch. beweiserhebl. Daten, Täusch. im Rechtsverkehr b. Datenverarb.                 1 550000       Geld- und Wertzeichenfälschung 551000       Geld- und Wertzeichenfälschung einschl. Vorbereitungshandlungen 552000       Inverkehrbringen von Falschgeld §§ 146 Abs. 1 Nr. 3, 147 StGB 553000       Fälsch. v. Zahlungskarten mit/ohne Garantiefunktion, Schecks u. Wechseln 560000       Insolvenzstraftaten                                                                   1 561000       Bankrott                                                                              1 562000       Besonders schwerer Fall des Bankrotts 563000       Verletzung der Buchführungspflicht 564000       Gläubigerbegünstigung 565000       Schuldnerbegünstigung 621020       Widerstand gg. Vollstreckungsbeamte 674000       Sachbeschädigung                                                                      3 726200       ST gg. das Waffengesetz                                                               1 731000       Allg. Verstöße gemäß § 29 BtMG (soweit nicht unter 7340 pp. zu erfassen)              4 732000       Unerl. Handel/Schmuggel mit/von Rauschgiften gemäß § 29 BtMG 733000       Unerl. Einfuhr von Btm gemäß § 30 Abs. 1 Nr. 4 BtMG (in ngM) 734800       Unerl. Handel, Herstellung, Abgabe und Besitz in ngM von Btm 899500       Sachbeschädigung durch Graffiti insgesamt                                             1 Seite 7 von 251
119

Schlüssel- Bul- Däne- Est- Finn- Frank- Kroa- Slowe-  Griechen-                       Lett- Monte- Liechten-         Luxem- Maze- zahl der Belgien                                                       Irland Island Italien                        Litauen               Malta garien mark land land   reich  tien  nien      land                         land  negro    stein            burg  donien Tat ------                                         1      1               1                                                                  1 200000                                                                                                                                   1 222000                                                                                                                                   1 224000 435*00 436*00 ****00 ***100 ***200 ***300 *10*00 *25*00 *35*00 *40*00 *50*00 500000                                         1      1               1                                                                  1 510000                                         1      1               1 511000 512000 513000 514000 515000 516000 517000                                         1      1               1 520000                                                                                                                                   1 521000 522000                                                                                                                                   1 523000 530000 531000 540000 541000 542000 543000 550000 551000 552000 553000 560000                                                                                                                                   1 561000                                                                                                                                   1 562000 563000 564000 565000 621020 674000 726200 731000 732000 733000 734800 899500 Seite 8 von 251
120

Zur nächsten Seite