Polizeistrukturreform - Polizeirevier Cottbus

/ 402
PDF herunterladen
Seite 82 von 108 Revierbereich Cottbus Frage 34: Erfasste Fälle, Aufgeklärte Fälle, Aufklärungsquoten, Häufigkeitskennzahlen für alle Deliktsfelder Erfasste Fälle                            Aufgeklärte Fälle Schlüssel                                                   Bezeichnung                                     Anzahl gesamt         Häufigkeitszahl      Anzahl gesamt             AQ in % 2012       2013        2012       2013     2012       2013        2012         2013 518179        Sonstiger Abrechnungsbetrug                                                                           7          3           6          3        4          3        57,1        100,0 518200        Einmietbetrug                                                                                        12         15          10         13       11         10        91,7         66,7 518300        Überweisungsbetrug                                                                                    8         13           7         11        4          9        50,0         69,2 518310        Kontoeröffnungsbetrug                                                                                            2           0          2                   1                     50,0 518320        Überweisungsbetrug                                                                                    8         11           7          9        4          8        50,0         72,7 518400        Zechbetrug                                                                                           12          9          10          8       12          7       100,0         77,8 518800        Kreditvermittlungsbetrug                                                                              1          7           1          6        1          7       100,0        100,0 518900        Sonstige weitere Betrugsarten                                                                       259        263         214        222      160        168        61,8         63,9 520000        Veruntreuungen                                                                                       83         66          69         56       81         66        97,6        100,0 521000        Untreue                                                                                              24         13          20         11       22         14        91,7        107,7 521079        Sonstige Untreue                                                                                     23         13          19         11       22         14        95,7        107,7 521100        Untreue bei Kapitalanlagegeschäften                                                                   1                      1          0                              0,0 522000        Vorenthalten und Veruntreuen von Arbeitsentgelt                                                      59         53          49         45       59         52       100,0         98,1 530000        Unterschlagung                                                                                      181        190         150        160      112         82        61,9         43,2 531000        Unterschlagung von Kfz                                                                               11          9           9          8       10          9        90,9        100,0 540000        Urkundenfälschung                                                                                   122         63         101         53      100         48        82,0         76,2 540001        Sonstige Urkundenfälschung                                                                           87         47          72         40       74         38        85,1         80,9 540002        Mittelbare Falschbeurkundung                                                                          3                      2          0        3                  100,0 540003        Verändern von amtl. Ausweisen                                                                         1          3           1          3        1          3       100,0        100,0 540004        Urkundenunterdrückung; Veränderung einer Grenzbezeichnung § 274 StGB                                  1          1           1          1                   1          0,0       100,0 540006        Verschaffen von falschen amtl. Ausweisen                                                              6                      5          0        6                  100,0 540010        Missbrauch von Ausweispapieren                                                                        4          3           3          3        4          3       100,0        100,0 541000        Fälschung technischer Aufzeichnungen                                                                  5                      4          0        5                  100,0 541001        Manipulation von Fahrtenschreibern und EG-Kontrollgeräten gemäß § 268 StGB                            3                      2          0        3                  100,0 541079        Sonstige Fälsch. technischer Aufzeichnungen                                                           2                      2          0        2                  100,0 542000        Fälschung zur Erlangung von Btm                                                                       8          1           7          1        7                   87,5          0,0 543000        Fälsch. beweiserhebl. Daten, Täusch. im Rechtsverkehr b. Datenverarb.                                 7          8           6          7                   3          0,0        37,5 543010        Fälschung beweiserheblicher Daten                                                                     7          8           6          7                   3          0,0        37,5 550000        Geld- und Wertzeichenfälschung                                                                        5          4           4          3        3          4        60,0        100,0 552000        Inverkehrbringen von Falschgeld §§ 146 Abs. 1 Nr. 3, 147 StGB                                         3          2           2          2        3          2       100,0        100,0 552020        Inverkehrbringen von Falschgeld gemäß § 147 StGB (nach gutgläubigem Erwerb)                           3          2           2          2        3          2       100,0        100,0 553000        Fälsch. v. Zahlungskarten mit/ohne Garantiefunktion, Schecks u. Wechseln                              2          2           2          2                   2          0,0       100,0 553100        Gebr. falscher Zahlungsk. mit oder ohne Garantiefunktion, Schecks und Wechsel                         2          1           2          1                   1          0,0       100,0 553110        Gebrauch falscher Zahlungskarten o. Garantiefunktion, Schecks und Wechsel                                        1           0          1                   1                    100,0 553120        Gebrauch falscher Zahlungskarten mit Garantiefunktion                                                 2                      2          0                              0,0 553200        Nachmachen, Verfälschen, Verschaffen, Feilhalten o. Überl. falscher Zahlungsk                                    1           0          1                   1                    100,0
101

Seite 83 von 108 Revierbereich Cottbus Frage 34: Erfasste Fälle, Aufgeklärte Fälle, Aufklärungsquoten, Häufigkeitskennzahlen für alle Deliktsfelder Erfasste Fälle                            Aufgeklärte Fälle Schlüssel                                                     Bezeichnung                                   Anzahl gesamt         Häufigkeitszahl      Anzahl gesamt             AQ in % 2012       2013        2012       2013     2012       2013        2012        2013 553210        Nachm., Verfälsch, Verschaff falscher Zahlungsk. o. Garantiefunktion                                             1            0         1                   1                   100,0 560000        Insolvenzstraftaten                                                                                  10          5            8         4       10          5       100,0       100,0 561000        Bankrott                                                                                              7          2            6         2        7          2       100,0       100,0 563000        Verletzung der Buchführungspflicht                                                                    1          3            1         3        1          3       100,0       100,0 564000        Gläubigerbegünstigung                                                                                 2                       2         0        2                  100,0 600000        Sonstige Straftatbestände (StGB)                                                                  2.151      2.224        1.779     1.878      993      1.078        46,2        48,5 610000        Erpressung                                                                                            6         12            5        10        6         12       100,0       100,0 610001        Schutzgelderpressung                                                                                             2            0         2                   2                   100,0 610079        Sonstige Erpressung                                                                                   5         10            4         8        5         10       100,0       100,0 611000        Erpressung auf sex. Grundlage                                                                         1                       1         0        1                  100,0 620000        Widerstand gg. die Staatsgewalt und ST gg. die öff. Ordnung                                         211        230          174       194      187        201        88,6        87,4 620001        Störung des öffentl. Friedens durch Androhung von ST                                                  6          6            5         5        3          5        50,0        83,3 620005        Amtsanmaßung                                                                                                     2            0         2                                         0,0 620006        Missbr. von Titeln, Berufsbezeichnungen, Abzeichen                                                    2          4            2         3        2          4       100,0       100,0 620008        Verletzung amtlicher Bekanntmachungen                                                                            1            0         1                                         0,0 620009        Verstrickungsbruch, Siegelbruch                                                                                  2            0         2                   1                    50,0 620013        Missbr. von Notrufen und Beeintr. v. Unfallverhütungs- und Nothilfemitteln                           22         30           18        25       12         18        54,5        60,0 620014        Verstoß gg. Weisung während Führungsaufsicht                                                          2          4            2         3        2          4       100,0       100,0 621000        Widerstand gg. die Staatsgewalt                                                                      41         39           34        33       38         38        92,7        97,4 621010        Öffentliche Aufforderung zu Straftaten                                                                8                       7         0        4                   50,0 621020        Widerstand gg. Vollstreckungsbeamte                                                                  31         38           26        32       32         37       103,2        97,4 621021        Widerstand gegen Polizeivollzugsbeamte                                                               31         37           26        31       32         36       103,2        97,3 621029        Widerstand gegen Vollstreckungsbeamte (ohne Polizeivollzugsbeamte)                                               1            0         1                   1                   100,0 621030        Widerstand gegen gleichgestellte Personen                                                             1                       1         0        1                  100,0 621040        Gefangenenbefreiung                                                                                   1          1            1         1        1          1       100,0       100,0 622000        Hausfriedensbruch                                                                                   111        115           92        97      107        107        96,4        93,0 622100        Hausfriedensbruch gemäß § 123 StGB                                                                  111        115           92        97      107        107        96,4        93,0 623000        Landfriedensbruch                                                                                                2            0         2                                         0,0 623010        Landfriedensbruch gemäß § 125 StGB                                                                               2            0         2                                         0,0 624000        Vortäuschen einer Straftat                                                                           19         20           16        17       20         20       105,3       100,0 624010        Vortäuschen einer Straftat gg. die sex. Selbstbestimmung                                              2          1            2         1        2          1       100,0       100,0 624079        Vortäuschen einer sonstigen Straftat                                                                 12         11           10         9       13         11       108,3       100,0 624100        Vortäuschen eines Raubes                                                                                         1            0         1                   1                   100,0 624200        Vortäuschen eines Diebstahls                                                                          5          7            4         6        5          7       100,0       100,0 624201        Vortäuschen eines Kfz-Diebstahls                                                                      3          4            2         3        3          4       100,0       100,0 624279        Vortäuschen eines sonstigen Diebstahls                                                                2          3            2         3        2          3       100,0       100,0
102

Seite 84 von 108 Revierbereich Cottbus Frage 34: Erfasste Fälle, Aufgeklärte Fälle, Aufklärungsquoten, Häufigkeitskennzahlen für alle Deliktsfelder Erfasste Fälle                           Aufgeklärte Fälle Schlüssel                                                   Bezeichnung                                     Anzahl gesamt         Häufigkeitszahl     Anzahl gesamt             AQ in % 2012       2013        2012       2013    2012       2013        2012         2013 627000        Volksverhetzung                                                                                      8          5           7          4       3          4         37,5         80,0 630000        Begünstigung, Strafvereitelung, Hehlerei u. Geldwäsche                                              21         31          17         26      20         28         95,2         90,3 630010        Begünstigung                                                                                                    1           0          1                  1                     100,0 630020        Strafvereitelung                                                                                     1          3           1          3       1          3        100,0        100,0 631000        Hehlerei von Kfz                                                                                     3          2           2          2       4          2        133,3        100,0 631079        Hehlerei von Kfz gemäß § 259 StGB                                                                    3          2           2          2       4          2        133,3        100,0 632000        Sonstige Hehlerei                                                                                   11         18           9         15      10         17         90,9         94,4 632079        Sonstige Hehlerei                                                                                   10         16           8         14       9         16         90,0        100,0 632100        Gewerbsmäßige Hehlerei                                                                               1          1           1          1       1          1        100,0        100,0 632300        Gewerbsmäßige Bandenhehlerei                                                                                    1           0          1                                          0,0 633000        Geldwäsche, Verschleierung unrechtmäßig erl. Vermögenswerte                                          6          7           5          6       5          5         83,3         71,4 640000        Brandstiftung und Herbeiführen einer Brandgefahr                                                    92         77          76         65      39         34         42,4         44,2 640010        Fahrlässige Brandstiftung                                                                           20         18          17         15      20         18        100,0        100,0 641000        (Vorsätzliche) Brandstiftung und Herbeiführen einer Brandgefahr                                     72         59          60         50      19         16         26,4         27,1 641010        Vorsätzliche Brandstiftung                                                                          57         54          47         46      11         11         19,3         20,4 641020        Schwere Brandstiftung                                                                               14          5          12          4       7          5         50,0        100,0 641030        Besonders schwere Brandstiftung                                                                      1                      1          0       1                   100,0 650000        Wettbewerbs-, Korruptions- und Amtsdelikte                                                          27         18          22         15      10         14         37,0         77,8 651000        Vorteilsannahme, Bestechlichkeit                                                                     5          4           4          3                  4           0,0       100,0 651100        Vorteilsannahme § 331 StGB                                                                           1          3           1          3                  3           0,0       100,0 651200        Bestechlichkeit § 332 StGB                                                                           4          1           3          1                  1           0,0       100,0 652000        Vorteilsgewährung, Bestechung                                                                        4          4           3          3       1          3         25,0         75,0 652100        Vorteilsgewährung                                                                                    1          2           1          2                  2           0,0       100,0 652200        Bestechung                                                                                           3          2           2          2       1          1         33,3         50,0 655000        Sonstige Straftaten im Amt                                                                          17          6          14          5       8          3         47,1         50,0 655001        Strafvereitelung im Amt                                                                              1                      1          0       1                   100,0 655002        Rechtsbeugung                                                                                        1                      1          0                              0,0 655004        Verfolgung Unschuldiger                                                                                         1           0          1                                          0,0 655006        Falschbeurkundung im Amt                                                                             1                      1          0                              0,0 655007        Gebührenüberhebung                                                                                   1          1           1          1       1          1        100,0        100,0 655100        Körperverletzung im Amt                                                                             13          3          11          3       6          2         46,2         66,7 655200        Verletzung des Dienstgeheimnisses                                                                               1           0          1                                          0,0 656000        Wettbewerbsbeschränk. Absprachen bei Ausschreibungen                                                 1                      1          0       1                   100,0 657000        Bestechlichkeit und Bestechung im geschäftlichen Verkehr                                                        4           0          3                  4                     100,0 657100        Bestechlichkeit und Bestechung gemäß § 299 StGB                                                                 4           0          3                  4                     100,0 657110        Bestechlichkeit und Bestechung gemäß § 299 Abs. 1 und 2 StGB                                                    4           0          3                  4                     100,0
103

Seite 85 von 108 Revierbereich Cottbus Frage 34: Erfasste Fälle, Aufgeklärte Fälle, Aufklärungsquoten, Häufigkeitskennzahlen für alle Deliktsfelder Erfasste Fälle                            Aufgeklärte Fälle Schlüssel                                                      Bezeichnung                                  Anzahl gesamt         Häufigkeitszahl      Anzahl gesamt             AQ in % 2012       2013        2012       2013     2012       2013        2012         2013 660000        Strafbarer Eigennutz                                                                                 10          4            8         3        9          3        90,0         75,0 660010        Vereiteln der Zwangsvollstreckung                                                                     2                       2         0        2                  100,0 660020        Pfandkehr                                                                                                        1            0         1                   1                    100,0 662000        Wilderei                                                                                              8          2            7         2        7          1        87,5         50,0 662001        Fischwilderei                                                                                         5          1            4         1        5          1       100,0        100,0 662100        Jagdwilderei                                                                                          3          1            2         1        2                   66,7          0,0 663000        Wucher                                                                                                           1            0         1                   1                    100,0 670000        Alle sonstigen ST gemäß StGB - ohne Verkehrsdelikte                                               1.784      1.852        1.475     1.564      722        786        40,5         42,4 670001        Falsche uneidliche Aussage (Falschaussage)                                                           22         21           18        18       23         20       104,5         95,2 670003        Falsche Versicherung an Eides statt                                                                  13          4           11         3       13          4       100,0        100,0 670005        Verleitung zur Falschaussage                                                                          1                       1         0        1                  100,0 670007        Falsche Verdächtigung                                                                                39         20           32        17       36         18        92,3         90,0 670011        Störung der Totenruhe                                                                                 5          3            4         3                              0,0         0,0 670012        Personenstandsfälschung                                                                                          1            0         1                   1                    100,0 670014        Beischlaf zwischen Verwandten                                                                         1          1            1         1        1          1       100,0        100,0 670015        Üble Nachrede und Verleumdung gg. Personen des politischen Lebens                                                1            0         1                                          0,0 670016        Verletzung der Vertraulichkeit des Wortes                                                                        1            0         1                   1                    100,0 670017        Verletzung des Briefgeheimnisses                                                                     12          4           10         3        6          2        50,0         50,0 670018        Verletzung von Privatgeheimnissen                                                                     2          2            2         2        1          2        50,0        100,0 670020        Verletzung des Post- u. Fernmeldegeheimnisses                                                         3          1            2         1        2          1        66,7        100,0 670024        Gefährl. Eingriffe in den Bahn-, Schiffs- und Luftverkehr                                             5          4            4         3        3          2        60,0         50,0 670025        Gefährliche Eingriffe in den Straßenverkehr                                                          29         33           24        28       14         15        48,3         45,5 670026        Störung öffentlicher Betriebe                                                                         3                       2         0                              0,0 670027        Störung von Telekommunikationsanlagen                                                                 3          6            2         5                              0,0         0,0 670032        Unterlassene Hilfeleistung                                                                            7          3            6         3        4          3        57,1        100,0 670033        Parteiverrat                                                                                          1                       1         0        1                  100,0 670034        Verl. des höchstpersönl. Lebensbereiches durch Bildaufnahmen                                          4          8            3         7        4          8       100,0        100,0 671000        Verletzung der Unterhaltspflicht                                                                     25         27           21        23       25         27       100,0        100,0 672000        Verletzung der Fürsorge- oder Erziehungspflicht                                                       9         13            7        11        8         12        88,9         92,3 673000        Beleidigung                                                                                         227        368          188       311      211        336        93,0         91,3 673010        Beleidigung ohne sex. Grundlage                                                                     153        219          127       185      146        201        95,4         91,8 673020        Üble Nachrede ohne sex. Grundlage                                                                    14         35           12        30       13         34        92,9         97,1 673030        Verleumdung ohne sex. Grundlage                                                                      39         59           32        50       35         53        89,7         89,8 673100        Beleidigung auf sex. Grundlage                                                                       21         55           17        46       17         48        81,0         87,3 673110        Beleidigung auf sex. Grundlage                                                                       15         49           12        41       12         43        80,0         87,8 673120        Üble Nachrede auf sex. Grundlage                                                                      2          2            2         2        1          2        50,0        100,0
104

Seite 86 von 108 Revierbereich Cottbus Frage 34: Erfasste Fälle, Aufgeklärte Fälle, Aufklärungsquoten, Häufigkeitskennzahlen für alle Deliktsfelder Erfasste Fälle                            Aufgeklärte Fälle Schlüssel                                                   Bezeichnung                                     Anzahl gesamt         Häufigkeitszahl      Anzahl gesamt             AQ in % 2012       2013        2012       2013     2012       2013        2012         2013 673130        Verleumdung auf sex. Grundlage                                                                        4          4            3         3        4          3       100,0         75,0 674000        Sachbeschädigung                                                                                  1.346      1.303        1.113     1.100      359        330        26,7         25,3 674010        Sachbeschädigung (ohne 674100, 674300)                                                              791        792          654       669      195        199        24,7         25,1 674011        Sachbeschädigung durch Graffiti (ohne 674111, 674311)                                               255        259          211       219       14         30          5,5        11,6 674012        Sachbeschädigung durch Feuer (ohne 674312)                                                           84         75           69        63       24         14        28,6         18,7 674019        Sonstige Sachbeschäd. (ohne 674119, 674319)                                                         452        458          374       387      157        155        34,7         33,8 674020        Gemeinschädl. Sachb. (ohne 674320)                                                                    2         15            2        13                   4          0,0        26,7 674021        Gemeinschädl. Sachb. durch Graffiti (ohne 674321)                                                                4            0         3                   3                     75,0 674022        Gemeinschädl. Sachb. durch Feuer (ohne 674322)                                                        1          1            1         1                   1          0,0       100,0 674029        Sonstige gemeinschädl. Sachb. (ohne 674329)                                                           1         10            1         8                              0,0         0,0 674100        Sachbeschädigung an Kfz                                                                             297        329          246       278       91         91        30,6         27,7 674111        Sachbeschädigung durch Graffiti an Kfz                                                               18          5           15         4        6          4        33,3         80,0 674119        Sonstige Sachbeschädigung an Kfz                                                                    279        324          231       274       85         87        30,5         26,9 674200        Datenveränderung, Computersabotage                                                                   18         22           15        19        1                     5,6         0,0 674210        Datenveränderung                                                                                      4          4            3         3                              0,0         0,0 674220        Computersabotage                                                                                     14         18           12        15        1                     7,1         0,0 674300        Sonstige Sachb. auf Straßen, Wegen oder Plätzen                                                     237        143          196       121       71         35        30,0         24,5 674310        Sonst. Sachb. auf Straßen/Wegen/Plätzen gemäß § 303 StGB                                            230        135          190       114       71         32        30,9         23,7 674311        Sonst. Sachb. durch Graffiti auf Straßen/Wegen/Plätzen                                              114         30           94        25       50         17        43,9         56,7 674312        Sonst. Sachb. durch Feuer auf Straßen/Wegen/Plätzen                                                   8          6            7         5        2                   25,0          0,0 674319        Sonstige Sachb. auf Straßen/Wegen/Plätzen                                                           108         99           89        84       19         15        17,6         15,2 674320        Gemeinschädl. Sachb. auf Straßen/Wegen/Plätzen                                                        7          8            6         7                   3          0,0        37,5 674321        Gemeinschädl. Sachb. durch Graffiti auf Straßen/Wegen/Plätzen                                         3          4            2         3                   3          0,0        75,0 674322        Gemeinschädl. Sachb. durch Feuer auf Straßen/Wegen/Plätzen                                            1                       1         0                              0,0 674329        Sonstige gemeinschädl. Sachb. auf Straßen/Wegen/Plätzen                                               3          4            2         3                              0,0         0,0 674500        Zerstörung wichtiger Arbeitsmittel                                                                    1          2            1         2        1          1       100,0         50,0 674519        Sonstige Zerstörung wichtiger Arbeitsmittel                                                           1          2            1         2        1          1       100,0         50,0 675000        Sprengstoff- und Strahlungsverbrechen                                                                 3          4            2         3        2                   66,7          0,0 675200        Herbeiführen einer Sprengstoffexplosion                                                               3          4            2         3        2                   66,7          0,0 676000        Straftaten gg. die Umwelt                                                                             5          3            4         3        2          2        40,0         66,7 676010        Bodenverunreinigung                                                                                   5                       4         0        1                   20,0 676011        Bodenverunreinigung 324a StGB                                                                         5                       4         0        1                   20,0 676200        Luftverunreinigung                                                                                               1            0         1        1          1                    100,0 676201        Luftverunreinigung § 325 StGB                                                                                    1            0         1        1          1                    100,0 676400        Unerlaubter Umgang mit gefährlichen Abfällen                                                                     1            0         1                   1                    100,0 676410        Unerl. Umgang mit Abfällen                                                                                       1            0         1                   1                    100,0
105

Seite 87 von 108 Revierbereich Cottbus Frage 34: Erfasste Fälle, Aufgeklärte Fälle, Aufklärungsquoten, Häufigkeitskennzahlen für alle Deliktsfelder Erfasste Fälle                            Aufgeklärte Fälle Schlüssel                                                    Bezeichnung                                    Anzahl gesamt         Häufigkeitszahl      Anzahl gesamt             AQ in % 2012       2013        2012       2013     2012       2013        2012         2013 676411        Unerl. Umgang mit Abfällen § 326 Abs. 1                                                                          1           0          1                   1                    100,0 676700        Gefährdung schutzbedürftiger Gebiete                                                                             1           0          1                                          0,0 676701        Gefährd. schutzbedürftiger Gebiete § 329 StGB                                                                    1           0          1                                          0,0 678000        Ausspähen von Daten                                                                                  19         21          16         18        6          1        31,6          4,8 678010        Ausspähen von Daten gemäß § 202a StGB                                                                19         20          16         17        6          1        31,6          5,0 678020        Abfangen von Daten gemäß § 202b StGB                                                                             1           0          1                                          0,0 700000        Strafrechtliche Nebengesetze                                                                        446        559         369        472      409        506        91,7         90,5 710000        ST gg. strafrechtl. Nebengesetze auf dem Wirtschaftssektor                                           59         37          49         31       46         29        78,0         78,4 712000        Straftaten nach AktG, GenG, GmbHG, HGB, RechnungslegungsG, UmwandlungsG, InsO                         9          7           7          6        9          7       100,0        100,0 712200        Insolvenzverschleppung § 15a InsO                                                                     9          7           7          6        9          7       100,0        100,0 713000        Delikte i.Z.m. Schwarzarbeitsbekämpfungs- und Arbeitnehmerüberlassungsgesetz                          1          3           1          3        1          3       100,0        100,0 713010        Arbeitnehmerüberlassungsgesetz                                                                        1          3           1          3        1          3       100,0        100,0 715000        ST i.Z.m. Urheberrechtsbestimmungen                                                                  14          9          12          8        8          6        57,1         66,7 715010        Markengesetz                                                                                          4          1           3          1        2          1        50,0        100,0 715040        Kunsturheberrechtsgesetz                                                                              2          2           2          2                   2          0,0       100,0 715050        UHG -sonstige Verstöße- (ohne Schl. 715100 u. 725200)                                                 2          4           2          3        2          2       100,0         50,0 715200        Softwarepiraterie in Form gewerbsmäßigen Handelns                                                     1          1           1          1                              0,0         0,0 715300        Verrat von Betriebs- und Geschäftsgeheim. nach § 17 Abs. 1 und 4 UWG                                  5                      4          0        4                   80,0 715400        Verrat von Betriebs- und Geschäftsgeheim. nach § 17 Abs. 2 und 4 UWG                                             1           0          1                   1                    100,0 716000        ST i.Z.m. Lebensmitteln (z.B. Lebensmittel- und Futtermittelgesetzbuch)                               8          4           7          3        8          3       100,0         75,0 716200        ST nach dem Arzneimittelgesetz                                                                        8          4           7          3        8          3       100,0         75,0 716210        ST nach dem AMG gemäß § 95                                                                            6          4           5          3        6          3       100,0         75,0 716213        Unerl. Handel, Abgabe, Bezug von verschreibungspflichtigen Arzneimitteln                              3          2           2          2        3          1       100,0         50,0 716217        Bes. schw. Fall des Verstoßes gg. das AMG                                                                        1           0          1                   1                    100,0 716219        Sonstige ST nach dem AMG gemäß § 95                                                                   3          1           2          1        3          1       100,0        100,0 716220        ST nach dem Arzneimittelgesetz gemäß § 96 AMG                                                         2                      2          0        2                  100,0 719000        Sonst. ST (Nebengesetze) a. d. Wirtschaftssektor (z.B. RennwG)                                       27         14          22         12       20         10        74,1         71,4 719079        Sonstige Nebengesetze auf dem Wirtschaftssektor                                                      27         13          22         11       20         10        74,1         76,9 719200        ST nach UWG ohne § 17                                                                                            1           0          1                                          0,0 720000        ST gg. sonstige strafrechtliche Nebengesetze -ohne Verkehrsdelikte-                                 182        238         150        201      170        206        93,4         86,6 720001        Vereinsgesetz                                                                                         2         18           2         15                   8          0,0        44,4 720002        Versammlungsgesetze des Bundes und der Länder                                                        13          2          11          2       13          1       100,0         50,0 720005        Missbräuchl. Herstellen, Vertreiben oder Ausgeben von amtl. Kennzeichen                               1                      1          0        1                  100,0 720009        Telekommunikationsgesetz                                                                              3          1           2          1        3                  100,0          0,0 720011        ST gemäß § 4 Gewaltschutzgesetz                                                                       1          1           1          1        1          1       100,0        100,0 720079        Sonstige strafrechtliche Nebengesetze                                                                 2          2           2          2        2          2       100,0        100,0
106

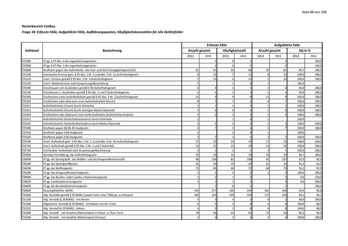
Seite 88 von 108 Revierbereich Cottbus Frage 34: Erfasste Fälle, Aufgeklärte Fälle, Aufklärungsquoten, Häufigkeitskennzahlen für alle Deliktsfelder Erfasste Fälle                            Aufgeklärte Fälle Schlüssel                                                    Bezeichnung                                    Anzahl gesamt         Häufigkeitszahl      Anzahl gesamt             AQ in % 2012       2013        2012       2013     2012       2013        2012         2013 721000        ST gg. § 27 Abs. 2 des Jugendschutzgesetzes                                                                      1           0          1                   1                    100,0 722000        ST gg. § 27 Abs. 1 des Jugendschutzgesetzes                                                                      2           0          2                   2                    100,0 725000        Straftaten gegen das Aufenthalts-, das Asyl- und das Freizügigkeitsgesetz/EU                         61         81          50         68       59         81        96,7        100,0 725100        Unerlaubte Einreise gem. § 95 Abs. 1 Nr. 3 und Abs. 2 Nr. 1a Aufenthaltsgesetz                        8         15           7         13        8         15       100,0        100,0 725110        Unerl. Einreise gemäß § 95 Abs. 1 Nr. 3 Aufenthaltsgesetz                                             7         15           6         13        7         15       100,0        100,0 725120        Unerl. Wiedereinreise nach Ausweisung/Abschiebung                                                     1                      1          0        1                  100,0 725200        Einschleusen von Ausländern gemäß § 96 Aufenthaltsgesetz                                              2          4           2          3        1          4        50,0        100,0 725210        Einschleusen v. Ausländern gemäß § 96 Abs. 1 und 4 Aufenthaltsgesetz                                  2          4           2          3        1          4        50,0        100,0 725300        Erschleichen eines Aufenthaltstitels gemäß § 95 Abs. 2 Nr. 2 Aufenthaltsgesetz                       11          9           9          8       11          9       100,0        100,0 725310        Erschleichen oder Gebrauch eines Aufenthaltstitels (Visum)                                            8          7           7          6        8          7       100,0        100,0 725311        Aufenthaltstitels (Visum) durch Scheinehe                                                             1          1           1          1        1          1       100,0        100,0 725312        Aufenthaltstitels (Visum) durch sonstigen Modus Operandi                                              7          6           6          5        7          6       100,0        100,0 725320        Erschleichen oder Gebrauch eines Aufenthaltstitels (Aufenthaltserlaubnis)                             3          2           2          2        3          2       100,0        100,0 725321        Aufenthaltstitels (Aufenthaltserlaubnis) durch Scheinehe                                              1                      1          0        1                  100,0 725322        Aufenthaltstitels (Aufenthaltserlaubnis) durch Modus Operandi                                         2          2           2          2        2          2       100,0        100,0 725500        Straftaten gegen §§ 84, 85 Asylgesetz                                                                 4          7           3          6        4          7       100,0        100,0 725510        Straftaten gegen § 84 Asylgesetz                                                                      1                      1          0        1                  100,0 725520        Straftaten gegen § 85 Asylgesetz                                                                      3          7           2          6        3          7       100,0        100,0 725700        Unerl. Aufenthalt gem. § 95 Abs. 1 Nr. 1, 2 und Abs. 2 Nr. 1b Aufenthaltsgesetz                      17         23          14         19       17         23       100,0        100,0 725710        Unerl. Aufenthalt gemäß § 95 Abs. 1 Nr. 1 und 2 AufenthG                                             14         22          12         19       14         22       100,0        100,0 725720        Unerlaubter Aufenthalt nach Ausweisung/Abschiebung                                                    3          1           2          1        3          1       100,0        100,0 725900        Sonstige Verstöße gg. das Aufenthaltsgesetz                                                          19         23          16         19       18         23        94,7        100,0 726000        ST gg. das Sprengstoff-, das Waffen- und das KriegswaffenkontrollG                                   98        128          81        108       91        107        92,9         83,6 726100        ST gg. das Sprengstoffgesetz                                                                         23         40          19         34       21         25        91,3         62,5 726200        ST gg. das Waffengesetz                                                                              73         85          60         72       68         79        93,2         92,9 726300        ST gg. das Kriegswaffenkontrollgesetz                                                                 2          3           2          3        2          3       100,0        100,0 728000        ST gg. das Bundes- (oder Landes-) Datenschutzgesetz                                                   1          2           1          2                   3          0,0       150,0 728010        ST gg. Landesdatenschutzgesetz                                                                        1          1           1          1                   2          0,0       200,0 728020        ST gg. das Bundesdatenschutzgesetz                                                                               1           0          1                   1                    100,0 730000        Rauschgiftdelikte -BtMG-                                                                            193        277         160        234      185        268        95,9         96,8 731000        Allg. Verstöße gemäß § 29 BtMG (soweit nicht unter 7340 pp. zu erfassen)                            180        229         149        193      173        220        96,1         96,1 731100        Allg. Verstoß (§ 29 BtMG) - mit Heroin                                                                5          3           4          3        4          3        80,0        100,0 731200        Allgemeiner Verstoß (§ 29 BtMG) - mit Kokain einschl. Crack                                           4          9           3          8        4          8       100,0         88,9 731202        Allg. Verstoß (§ 29 BtMG) - Kokain                                                                    4          9           3          8        4          8       100,0         88,9 731400        Allg. Verstoß - mit Amphet./Methamphet in Pulver- o. flüss. Form                                     78         96          64         81       75         93        96,2         96,9 731500        Allg. Verstoß - mit Amphet./Methamphet (Ecstasy)                                                      1          4           1          3        1          4       100,0        100,0
107

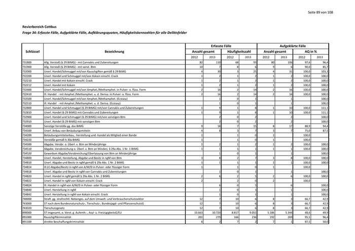
Seite 89 von 108 Revierbereich Cottbus Frage 34: Erfasste Fälle, Aufgeklärte Fälle, Aufklärungsquoten, Häufigkeitskennzahlen für alle Deliktsfelder Erfasste Fälle                            Aufgeklärte Fälle Schlüssel                                                       Bezeichnung                                 Anzahl gesamt         Häufigkeitszahl      Anzahl gesamt             AQ in % 2012       2013        2012       2013     2012       2013        2012        2013 731800        Allg. Verstoß (§ 29 BtMG) - mit Cannabis und Zubereitungen                                           82        110           68        93       80        106        97,6        96,4 731900        Allg. Verstoß (§ 29 BtMG) - mit sonst. Btm                                                           10          7            8         6        9          6        90,0        85,7 732000        Unerl. Handel/Schmuggel mit/von Rauschgiften gemäß § 29 BtMG                                          4         30            3        25        4         31       100,0       103,3 732200        Unerl. Handel und Schmuggel mit/von Kokain einschl. Crack                                             1          2            1         2        1          2       100,0       100,0 732210        Unerl. Handel mit Kokain einschl. Crack                                                               1          2            1         2        1          2       100,0       100,0 732212        Unerl. Handel mit Kokain                                                                              1          2            1         2        1          2       100,0       100,0 732400        Unerl. Handel/Schmuggel mit/von Amphet./Methamphet. in Pulver- o. flüss. Form                         2         16            2        14        2         16       100,0       100,0 732410        Ill. Handel - mit Amphet./Methamphet. u. d. Deriva. in Pulver- o. flüss. Form                         2         16            2        14        2         16       100,0       100,0 732500        Unerl. Handel/Schmuggel mit/von Amphet./Methamphet. (Ecstasy)                                                    1            0         1                   1                   100,0 732510        Ill. Handel - mit Amphet./Methamphet. u. d. Deriva. (Ecstasy)                                                    1            0         1                   1                   100,0 732800        Unerl. Handel und Schmuggel (§ 29 BtMG) mit/von Cannabis und Zubereitungen                            1          9            1         8        1         10       100,0       111,1 732810        Unerl. Handel (§ 29 BtMG) mit Cannabis und Zubereitungen                                              1          9            1         8        1         10       100,0       111,1 732900        Unerl. Handel und Schmuggel (§ 29 BtMG) mit/von sonstigen Btm                                                    2            0         2                   2                   100,0 732910        Unerl. Handel (§ 29 BtMG) mit sonstigen Btm                                                                      2            0         2                   2                   100,0 734000        Sonstige Verstöße gg. das BtMG                                                                        9         18            7        15        8         17        88,9        94,4 734100        Unerl. Anbau von Betäubungsmitteln                                                                    4          8            3         7        3          7        75,0        87,5 734200        Betäubungsmittelanbau, -herstellung und -handel als Mitglied einer Bande                              1                       1         0        1                  100,0 734220        Verstöße gemäß § 30a BtMG                                                                             1                       1         0        1                  100,0 734500        Abgabe, Verabr. o. Überl. v. Btm an Minderjährige                                                     1          2            1         2        1          2       100,0       100,0 734510        Abgabe, Verabreichung o. Überl. v. Btm an Minderj. § 29a Abs. 1 Nr. 1 BtMG                            1          1            1         1        1          1       100,0       100,0 734520        Gewerbsm Abgabe/Verabreichung/Überlassung von Btm an Minderjährige                                               1            0         1                   1                   100,0 734800        Unerl. Handel, Herstellung, Abgabe und Besitz in ngM von Btm                                          3          8            2         7        3          8       100,0       100,0 734810        Unerl. Abgabe und Besitz in ngM gemäß § 29a Abs. 1 Nr. 2 BtMG                                         1          1            1         1        1          1       100,0       100,0 734814        Ill.(r) Abgabe/Besitz in ngM von A/M/D in Pulver- oder flüssiger Form                                 1                       1         0        1                  100,0 734818        Unerl. Abgabe und Besitz in ngM von Cannabis und Zubereitungen                                                   1            0         1                   1                   100,0 734820        Unerl. Handel in ngM gemäß § 29a Abs. 1 Nr. 2 BtMG                                                    2          6            2         5        2          6       100,0       100,0 734822        Unerl. Handel in ngM von Kokain einschl. Crack                                                        2                       2         0        2                  100,0 734824        Ill. Handel in ngM von A/M/D in Pulver- oder flüssiger Form                                                      6            0         5                   6                   100,0 734840        Unerl. Herstellung in ngM                                                                                        1            0         1                   1                   100,0 734842        Unerl. Herstellung in ngM von Kokain einschl. Crack                                                              1            0         1                   1                   100,0 740000        Straft. gg. strafrechtl. Nebenges. auf dem Umwelt- und Verbraucherschutzsektor                       12          7           10         6        8          3        66,7        42,9 743000        ST nach dem Bundesnaturschutz-, Tierschutz-, Bundesjagd- und PflanzenschutzG                         12          7           10         6        8          3        66,7        42,9 743020        Tierschutzgesetz                                                                                     12          7           10         6        8          3        66,7        42,9 890000        ST insgesamt, o. Verst. g. Aufenth.-, Asyl- u. FreizügigkeitsG/EU                                10.663     10.720        8.817     9.051    5.186      5.344        48,6        49,9 891000        Rauschgiftkriminalität                                                                              201        279          166       236      192        269        95,5        96,4 891100        direkte Beschaffungskriminalität                                                                      8          2            7         2        7          1        87,5        50,0
108

Seite 90 von 108 Revierbereich Cottbus Frage 34: Erfasste Fälle, Aufgeklärte Fälle, Aufklärungsquoten, Häufigkeitskennzahlen für alle Deliktsfelder Erfasste Fälle                            Aufgeklärte Fälle Schlüssel                                                    Bezeichnung                                    Anzahl gesamt         Häufigkeitszahl      Anzahl gesamt             AQ in % 2012       2013        2012       2013     2012       2013        2012        2013 892000        Gewaltkriminalität                                                                                  287        282          237       238      186        207        64,8        73,4 892500        Mord und Totschlag                                                                                    3          2            2         2        3          2       100,0       100,0 893000        Wirtschaftskriminalität und zwar:                                                                   162        109          134        92      146        101        90,1        92,7 893100        Wikri bei Betrug                                                                                     51         24           42        20       47         21        92,2        87,5 893200        Wikri - Insolvenzstraftaten gemäß StGB und Nebenstrafrecht                                           19         12           16        10       19         12       100,0       100,0 893300        Wikri - im Anlage- und Finanzierungsbereich pp.                                                      18          5           15         4       18          4       100,0        80,0 893400        Wikri - Wettbewerbsdelikte                                                                           11          3            9         3        8          1        72,7        33,3 893500        Wikri - i.Z.m. Arbeitsverhältnissen                                                                  58         53           48        45       58         52       100,0        98,1 893600        Wikri - Betrug und Untreue i.Z.m. Beteiligungen und Kapitalanlagen                                    4          4            3         3        3          3        75,0        75,0 894000        KFZ-Kriminalität                                                                                  1.055        979          872       827      263        186        24,9        19,0 896000        ST gegen Bestimmungen zum Schutze der Jugend                                                          1          3            1         3        1          3       100,0       100,0 897000        Computerkriminalität                                                                                 92         91           76        77       24         26        26,1        28,6 898000        Straftaten insgesamt auf dem Umwelt- und Verbraucherschutzsektor                                     36         20           30        17       27          9        75,0        45,0 898100        Umweltstraftaten gemäß 29. Abschnitt des StGB                                                         5          3            4         3        2          2        40,0        66,7 898200        Sonstige Straftaten nach dem StGB mit Umweltrelevanz                                                 11          6            9         5        9          1        81,8        16,7 898300        Straftaten auf dem Umwelt- und Verbraucherschutzsektor gem. strafr. Nebengesetze                     20         11           17         9       16          6        80,0        54,5 899000        Straßenkriminalität                                                                               2.801      2.594        2.316     2.190      456        426        16,3        16,4 899100        Straßenraub                                                                                          36         28           30        24       11         10        30,6        35,7 899200        Straßendiebstahl                                                                                  2.140      1.984        1.770     1.675      234        216        10,9        10,9 899500        Sachbeschädigung durch Graffiti insgesamt                                                           390        302          322       255       70         57        17,9        18,9
109

Seite 91 von 108 Revierbereich Cottbus Frage 34: Erfasste Fälle, Aufgeklärte Fälle, Aufklärungsquoten, Häufigkeitskennzahlen für alle Deliktsfelder Erfasste Fälle                     Aufgeklärte Fälle Schlüssel                                                    Bezeichnung                                 Anzahl gesamt      Häufigkeitszahl   Anzahl gesamt         AQ in % 2015                 2015            2015                 2015 ------        Straftaten insgesamt                                                                                      11.348              9.626            5.911               52,1 000000        ST gg. das Leben                                                                                               6                  5                6              100,0 010000        Mord                                                                                                                              0 010079        Sonstiger Mord                                                                                                                    0 020000        Totschlag und Tötung auf Verlangen                                                                             5                  4                5              100,0 020010        Totschlag                                                                                                      5                  4                5              100,0 030000        Fahrlässige Tötung - nicht i.V.m. Verkehrsunfall -                                                             1                  1                1              100,0 100000        ST gg. die sex. Selbstbestimmung                                                                              90                 76               64               71,1 110000        unter Gewaltanw. o. Ausnutzen e. Abhängigkeitsverh.                                                           33                 28               23               69,7 111000        Vergewaltigung und sex. Nötigung                                                                              18                 15               13               72,2 111100        Vergewalt./sex. Nötigung überfallartig (Einzeltäter)                                                                              0 111300        Vergewalt./sex. Nötigung durch Gruppen                                                                         2                  2                1               50,0 111400        Sonstige Straftaten gemäß § 177 Abs. 2 Nr. 1, Abs. 3 und 4 StGB                                               16                 14               12               75,0 112000        Sonstige sex. Nötigung                                                                                        14                 12                9               64,3 113000        Sex. Missbr. v. Schutzbef. pp., u. Ausnutzung e. Amtsst. o.e. Vertrauensverh.                                  1                  1                1              100,0 113010        Sex. Missbr. von Schutzbefohlenen ab 14 Jahren                                                                 1                  1                1              100,0 113020        Sex. Missbr. von Gefangenen/Verwahrten usw. ab 14 Jahren                                                                          0 130000        Sexueller Missbrauch                                                                                          47                 40               33               70,2 131000        Sex. Missbr. von Kindern                                                                                      21                 18               18               85,7 131010        Handlungen gemäß § 176 Abs. 5 StGB                                                                             1                  1                1              100,0 131100        Sexuelle Handlungen gemäß § 176 Abs. 1 und 2 StGB                                                              9                  8                8               88,9 131200        Exhibitionistische/sex. Handlungen vor Kindern                                                                 1                  1                                 0,0 131400        Einwirken auf Kinder                                                                                           7                  6                7              100,0 131500        Vollzug des Beischlafs mit einem Kind oder Vornahme einer ähnl. sex. Handlung                                  2                  2                1               50,0 131600        Schw. sex. Missbr. von Kindern zur Herst. u. Verbr. pornogr. Schriften                                                            0 131700        Sonstiger schwerer sex. Missbr. von Kindern                                                                    1                  1                1              100,0 132000        Exhibitionistische Handlungen und Erregung öffentlichen Ärgernisses                                           16                 14                7               43,8 132010        Exhibitionistische Handlungen                                                                                 15                 13                6               40,0 132020        Erregung öffentlichen Ärgernisses                                                                              1                  1                1              100,0 133000        Sex. Missbr. von Jugendlichen                                                                                  7                  6                6               85,7 134000        Sex. Missbr. Widerstandsunfähiger                                                                              3                  3                2               66,7 140000        Ausnutzen sexueller Neigung                                                                                   10                  8                8               80,0 141000        Förderung sex. Handl. Minderj. oder Ausbeuten von Prostituierten                                               1                  1                                 0,0 141100        Förderung sex.r Handlungen Minderjähriger                                                                      1                  1                                 0,0 143000        Verbreitung pornographischer Schriften (Erzeugnisse)                                                           9                  8                8               88,9 143010        Sonstige Verbreitung pornograph. Schriften (Erzeugnisse)                                                       1                  1                1              100,0
110

Zur nächsten Seite