Polizeistrukturreform - Polizeirevier Cottbus

/ 402
PDF herunterladen
Seite 92 von 108 Revierbereich Cottbus Frage 34: Erfasste Fälle, Aufgeklärte Fälle, Aufklärungsquoten, Häufigkeitskennzahlen für alle Deliktsfelder Erfasste Fälle                     Aufgeklärte Fälle Schlüssel                                                     Bezeichnung                                  Anzahl gesamt      Häufigkeitszahl   Anzahl gesamt         AQ in % 2015                 2015            2015                 2015 143020        Verbreitung gewalt- oder tierpornographischer Schriften                                                        1                  1                1              100,0 143100        Verbr. pornogr. Schriften (Erzeugnisse) an Personen unter 18 Jahren                                            1                  1                1              100,0 143300        Besitz/Verschaffung von Kinderpornographie                                                                     3                  3                2               66,7 143400        Verbreitung von Kinderpornographie                                                                                                0 143600        Besitz/Verschaffung von Jugendpornographie                                                                                        0 143700        Verbreitung von Jugendpornographie                                                                             3                  3                3              100,0 200000        Rohheitsdelikte und ST gg. die persönliche Freiheit                                                        1.181              1.002            1.001               84,8 210000        Raub, räuberische Erpressung und räuberischer Angriff auf Kraftfahrer                                        117                 99               69               59,0 210010        Sonstiger Raub                                                                                                 1                  1                1              100,0 210040        Räuberischer Diebstahl                                                                                        31                 26               27               87,1 210050        Sonstige räuberische Erpressung                                                                                4                  3                2               50,0 211000        Raub, räub. Erpressung auf Geldinstitute, Postfilialen und -agenturen                                                             0 211200        Raub auf Postfilialen und -agenturen                                                                                              0 211250        Räuberische Erpressung gegen Postfilialen und -agenturen                                                                          0 212000        Raubüberfälle auf sonstige Zahlstellen und Geschäfte                                                           4                  3                2               50,0 212010        Raub auf sonstige Zahlstellen oder Geschäfte                                                                                      0 212020        Schwerer Raub auf sonstige Zahlstellen oder Geschäfte                                                                             0 212050        Räub. Erpressung gg. sonstige Zahlstellen oder Geschäfte                                                       3                  3                2               66,7 212100        Raubüberfälle auf Spielhallen                                                                                  1                  1                                 0,0 212120        Schwerer Raub auf Spielhallen                                                                                                     0 212150        Räuberische Erpressung gg. Spielhallen                                                                         1                  1                                 0,0 216000        Handtaschenraub                                                                                               14                 12                5               35,7 216010        Handtaschenraub gemäß § 249 StGB                                                                              14                 12                5               35,7 217000        Sonstige Raubüberfälle auf Straßen, Wegen oder Plätzen                                                        54                 46               27               50,0 217010        Sonst. Raub auf Straßen/Wegen/Plätzen                                                                         33                 28               16               48,5 217020        Sonst. schw. Raub auf Straßen/Wegen/Plätzen                                                                    6                  5                2               33,3 217050        Sonst. räub. Erpressung auf Straßen/Wegen/Plätzen                                                             15                 13                9               60,0 219000        Raubüberfälle in Wohnungen                                                                                     9                  8                5               55,6 219010        Raub in Wohnungen                                                                                              4                  3                2               50,0 219020        Schwerer Raub in Wohnungen                                                                                     3                  3                2               66,7 219050        Räub. Erpressung in Wohnungen                                                                                  2                  2                1               50,0 220000        Körperverletzung                                                                                             720                611              622               86,4 222000        Gefährliche und schwere Körperverletzung                                                                     161                137              128               79,5 222010        Sonst. Tatörtlichkeit bei gefährl. Körperverletzung                                                          106                 90               94               88,7 222020        Sonst. Tatörtlichkeit bei schw. Körperverletzung                                                                                  0 222100        Gefährliche und schwere Körperverletzung auf Straßen, Wegen oder Plätzen                                      55                 47               34               61,8
111

Seite 93 von 108 Revierbereich Cottbus Frage 34: Erfasste Fälle, Aufgeklärte Fälle, Aufklärungsquoten, Häufigkeitskennzahlen für alle Deliktsfelder Erfasste Fälle                     Aufgeklärte Fälle Schlüssel                                                    Bezeichnung                                   Anzahl gesamt      Häufigkeitszahl   Anzahl gesamt         AQ in % 2015                 2015            2015                 2015 222110        Gefährl. Körperverletzung gemäß § 224 StGB                                                                    55                 47               34               61,8 223000        Misshandlung von Schutzbefohlenen                                                                             13                 11               13              100,0 223001        Misshandlung Schutzbefohlener ab 14 Jahren                                                                     4                  3                4              100,0 223100        Misshandlung von Kindern                                                                                       9                  8                9              100,0 224000        Vorsätzliche einfache Körperverletzung § 223 StGB                                                            522                443             461                88,3 225000        Fahrlässige Körperverletzung                                                                                  24                 20               20               83,3 230000        ST gg. die persönliche Freiheit                                                                              344                292             310                90,1 231000        Menschenraub, Entziehung Minderjähriger, Kinderhandel                                                          6                  5                5               83,3 231200        Entziehung Minderjähriger                                                                                      6                  5                5               83,3 232000        Freiheitsber., Nötigung, Bedrohung, Zwangsheirat, Nachstellung (Stalking)                                    338                287             305                90,2 232100        Freiheitsberaubung                                                                                             9                  8                8               88,9 232200        Nötigung                                                                                                     124                105             110                88,7 232201        Nötigung im Straßenverkehr                                                                                    23                 20               18               78,3 232279        Sonstige Nötigung                                                                                            101                 86               92               91,1 232300        Bedrohung                                                                                                    146                124             136                93,2 232400        Nachstellung                                                                                                  59                 50               51               86,4 232410        Nachstellung - z.B. räumliche Nähe -                                                                          58                 49               50               86,2 232420        Nachstellung - z.B. Gesundheitsbeeinträchtigung -                                                              1                  1                1              100,0 236000        Menschenhandel z. Z. der sex. Ausbeutung                                                                                          0 236100        Menschenhandel z. Z. der sex. Ausbeutung gemäß § 232 Abs. 1 StGB                                                                  0 3*****        Diebstahl ohne erschwerende Umstände                                                                       1.874              1.590             910                48,6 3**100        EDS insg. von Kraftwagen einschl. unbefugter Gebrauch                                                          7                  6                6               85,7 3**200        EDS insg. von Moped/Krad einschl. unbefugter Gebrauch                                                          2                  2                2              100,0 3**300        EDS insg. von Fahrrad einschl. unbefugter Gebrauch                                                            92                 78               39               42,4 3**400        EDS insg. von Schusswaffen                                                                                     1                  1                                 0,0 3**500        EDS insg. von unbaren Zahlungsmitteln                                                                         25                 21                8               32,0 3**700        EDS insg. von/aus Automaten                                                                                    1                  1                                 0,0 3**800        EDS insg. von Antiquitäten, Kunst- und sakralen Gegenständen                                                                      0                1 300000        EDS - Sonstiger                                                                                              562                477             146                26,0 300010        EDS - Sonstiger gem. 242, 247, 248a StGB                                                                     541                459             125                23,1 300040        EDS - Unbefugter Gebrauch eines sonst. Fahrzeuges                                                              1                  1                1              100,0 300050        EDS - Entziehung elektrischer Energie                                                                         20                 17               20              100,0 300100        EDS von Kraftwagen einschl. unbefugter Ingebrauchnahme                                                         7                  6                6               85,7 300110        EDS - Diebstahl von Kraftwagen                                                                                 4                  3                4              100,0 300140        EDS - Unbefugter Gebrauch von Kraftwagen                                                                       3                  3                2               66,7 300200        EDS von Mopeds und Krafträdern einschl. unbefugter Ingebrauchnahme                                             2                  2                2              100,0
112

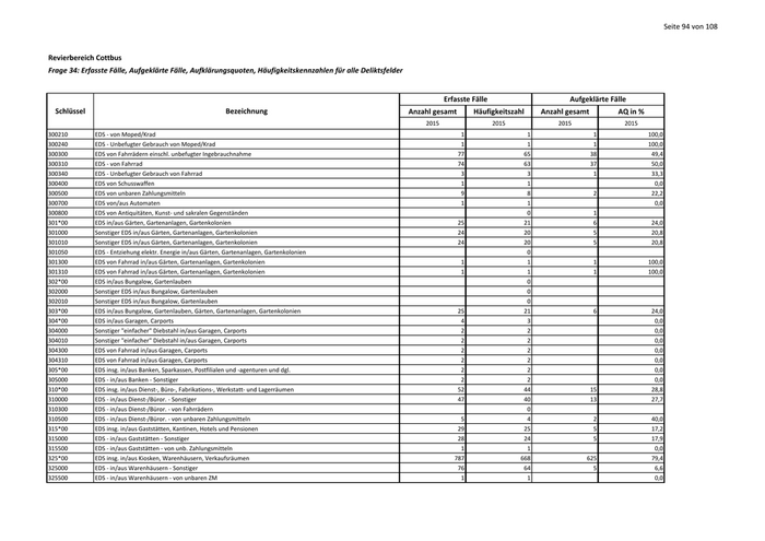
Seite 94 von 108 Revierbereich Cottbus Frage 34: Erfasste Fälle, Aufgeklärte Fälle, Aufklärungsquoten, Häufigkeitskennzahlen für alle Deliktsfelder Erfasste Fälle                     Aufgeklärte Fälle Schlüssel                                                     Bezeichnung                                  Anzahl gesamt      Häufigkeitszahl   Anzahl gesamt         AQ in % 2015                 2015            2015                 2015 300210        EDS - von Moped/Krad                                                                                          1                   1                1              100,0 300240        EDS - Unbefugter Gebrauch von Moped/Krad                                                                      1                   1                1              100,0 300300        EDS von Fahrrädern einschl. unbefugter Ingebrauchnahme                                                       77                  65               38               49,4 300310        EDS - von Fahrrad                                                                                            74                  63               37               50,0 300340        EDS - Unbefugter Gebrauch von Fahrrad                                                                         3                   3                1               33,3 300400        EDS von Schusswaffen                                                                                          1                   1                                 0,0 300500        EDS von unbaren Zahlungsmitteln                                                                               9                   8                2               22,2 300700        EDS von/aus Automaten                                                                                         1                   1                                 0,0 300800        EDS von Antiquitäten, Kunst- und sakralen Gegenständen                                                                            0                1 301*00        EDS in/aus Gärten, Gartenanlagen, Gartenkolonien                                                             25                  21                6               24,0 301000        Sonstiger EDS in/aus Gärten, Gartenanlagen, Gartenkolonien                                                   24                  20                5               20,8 301010        Sonstiger EDS in/aus Gärten, Gartenanlagen, Gartenkolonien                                                   24                  20                5               20,8 301050        EDS - Entziehung elektr. Energie in/aus Gärten, Gartenanlagen, Gartenkolonien                                                     0 301300        EDS von Fahrrad in/aus Gärten, Gartenanlagen, Gartenkolonien                                                  1                   1                1              100,0 301310        EDS von Fahrrad in/aus Gärten, Gartenanlagen, Gartenkolonien                                                  1                   1                1              100,0 302*00        EDS in/aus Bungalow, Gartenlauben                                                                                                 0 302000        Sonstiger EDS in/aus Bungalow, Gartenlauben                                                                                       0 302010        Sonstiger EDS in/aus Bungalow, Gartenlauben                                                                                       0 303*00        EDS in/aus Bungalow, Gartenlauben, Gärten, Gartenanlagen, Gartenkolonien                                     25                  21                6               24,0 304*00        EDS in/aus Garagen, Carports                                                                                  4                   3                                 0,0 304000        Sonstiger "einfacher" Diebstahl in/aus Garagen, Carports                                                      2                   2                                 0,0 304010        Sonstiger "einfacher" Diebstahl in/aus Garagen, Carports                                                      2                   2                                 0,0 304300        EDS von Fahrrad in/aus Garagen, Carports                                                                      2                   2                                 0,0 304310        EDS von Fahrrad in/aus Garagen, Carports                                                                      2                   2                                 0,0 305*00        EDS insg. in/aus Banken, Sparkassen, Postfilialen und -agenturen und dgl.                                     2                   2                                 0,0 305000        EDS - in/aus Banken - Sonstiger                                                                               2                   2                                 0,0 310*00        EDS insg. in/aus Dienst-, Büro-, Fabrikations-, Werkstatt- und Lagerräumen                                   52                  44               15               28,8 310000        EDS - in/aus Dienst-/Büror. - Sonstiger                                                                      47                  40               13               27,7 310300        EDS - in/aus Dienst-/Büror. - von Fahrrädern                                                                                      0 310500        EDS - in/aus Dienst-/Büror. - von unbaren Zahlungsmitteln                                                     5                   4                2               40,0 315*00        EDS insg. in/aus Gaststätten, Kantinen, Hotels und Pensionen                                                 29                  25                5               17,2 315000        EDS - in/aus Gaststätten - Sonstiger                                                                         28                  24                5               17,9 315500        EDS - in/aus Gaststätten - von unb. Zahlungsmitteln                                                           1                   1                                 0,0 325*00        EDS insg. in/aus Kiosken, Warenhäusern, Verkaufsräumen                                                      787                 668             625                79,4 325000        EDS - in/aus Warenhäusern - Sonstiger                                                                        76                  64                5                6,6 325500        EDS - in/aus Warenhäusern - von unbaren ZM                                                                    1                   1                                 0,0
113

Seite 95 von 108 Revierbereich Cottbus Frage 34: Erfasste Fälle, Aufgeklärte Fälle, Aufklärungsquoten, Häufigkeitskennzahlen für alle Deliktsfelder Erfasste Fälle                     Aufgeklärte Fälle Schlüssel                                                   Bezeichnung                                    Anzahl gesamt      Häufigkeitszahl   Anzahl gesamt         AQ in % 2015                 2015            2015                 2015 326*00        EDS insg. - Ladendiebstahl                                                                                   710                602             620                87,3 326000        EDS - Ladendiebstahl - Sonstiger                                                                             710                602             620                87,3 335*00        EDS insg. in/aus Wohnungen                                                                                    69                 59               43               62,3 335000        EDS - in/aus Wohnungen - Sonstiger                                                                            67                 57               41               61,2 335500        EDS - in/aus Wohnungen - von unbaren Zahlungsmitteln                                                           2                  2                2              100,0 340*00        EDS insg. in/aus Boden-/Kellerräumen, Waschküchen                                                             33                 28                5               15,2 340000        EDS - in/aus Boden-/Kellerräumen - Sonstiger                                                                  18                 15                4               22,2 340300        EDS - in/aus Boden-/Kellerräumen - von Fahrrad                                                                15                 13                1                6,7 345*00        EDS insg. in/aus Baubuden und Baustellen                                                                      18                 15                3               16,7 345000        EDS - in/aus Baubuden/Baustellen - Sonstiger                                                                  18                 15                3               16,7 345100         EDS - in/aus Baubuden/Baustellen - von Kraftwagen                                                                                0 350*00        EDS insg. an/aus Kfz                                                                                         168                143               15                8,9 350000        EDS an/aus Kfz von sonstigem Gut                                                                             167                142               14                8,4 350500        EDS - aus Kfz von unbaren ZM                                                                                   1                  1                1              100,0 356000        EDS an Fahrrad - Sonstiger                                                                                    73                 62                8               11,0 390*00        EDS insg. - Taschendiebstahl                                                                                  57                 48                4                7,0 390000        EDS - Taschendiebstahl - Sonstiger                                                                            51                 43                3                5,9 390500        EDS - Taschendiebstahl von unbaren ZM                                                                          6                  5                1               16,7 4*****        Diebstahl unter erschwerenden Umständen                                                                    3.560              3.020             675                19,0 4**100        BSD insg. von Kraftwagen                                                                                     155                131               52               33,5 4**200        BSD insg. von Moped/Krad                                                                                      30                 25                4               13,3 4**300        BSD insg. von Fahrrad                                                                                      1.450              1.230             336                23,2 4**400        BSD insg. von Schusswaffen                                                                                     2                  2                1               50,0 4**500        BSD insg. von unbaren Zahlungsmitteln                                                                         10                  8                3               30,0 4**700        BSD insg. von/aus Automaten                                                                                   40                 34                4               10,0 4**800        BSD insg. von Antiquitäten, Kunst- und sakralen Gegenständen                                                                      0 400000        Schwerer Diebstahl - Sonstiger                                                                               548                465               80               14,6 400010        BSD - Sonstiger                                                                                              546                463               78               14,3 400020        Sonstiger schwerer Diebstahl (ohne WED)                                                                        2                  2                2              100,0 400100        Schwerer Diebstahl von Kraftwagen                                                                            154                131               52               33,8 400110        BSD - von Kraftwagen                                                                                         151                128               43               28,5 400120        SDS - von Kraftwagen                                                                                           3                  3                9              300,0 400200        Schwerer Diebstahl von Mopeds und Krafträdern                                                                 30                 25                4               13,3 400210        BSD - von Moped/Krad                                                                                          30                 25                4               13,3 400300        Schwerer Diebstahl von Fahrrädern                                                                          1.031                875             289                28,0 400310        BSD - von Fahrrad                                                                                            992                841             237                23,9
114

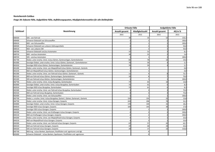
Seite 96 von 108 Revierbereich Cottbus Frage 34: Erfasste Fälle, Aufgeklärte Fälle, Aufklärungsquoten, Häufigkeitskennzahlen für alle Deliktsfelder Erfasste Fälle                     Aufgeklärte Fälle Schlüssel                                                    Bezeichnung                                   Anzahl gesamt      Häufigkeitszahl   Anzahl gesamt         AQ in % 2015                 2015            2015                 2015 400320        SDS - von Fahrrad                                                                                            39                  33               52              133,3 400400        Schwerer Diebstahl von Schusswaffen                                                                           1                   1                1              100,0 400410        BSD - von Schusswaffen                                                                                        1                   1                1              100,0 400500        Schwerer Diebstahl von unbaren Zahlungsmitteln                                                                2                   2                1               50,0 400510        BSD - von unbaren ZM                                                                                          2                   2                1               50,0 400700        Schwerer Diebstahl von/aus Automaten                                                                         37                  31                3                8,1 400710        BSD - von/aus Automaten                                                                                      36                  31                2                5,6 400720        SDS - von/aus Automaten                                                                                       1                   1                1              100,0 401*00        Diebst. unter erschw. Umst. in/aus Gärten, Gartenanlagen, Gartenkolonien                                     82                  70               12               14,6 401000        Sonstiger Diebst. unter erschw. Umst. in/aus Gärten, Gartenanl., Gartenkolonien                              70                  59                4                5,7 401010        Sonstiger BSD in/aus Gärten, Gartenanlagen, Gartenkolonien                                                   70                  59                4                5,7 401200        Diebst. unter erschw. Umst. von Moped/Krad in/aus Gärten, Gartenanl., Gartenk.                                1                   1                                 0,0 401210        BSD von Moped/Krad in/aus Gärten, Gartenanlagen, Gartenkolonien                                               1                   1                                 0,0 401300        Diebst. unter erschw. Umst. von Fahrrad in/aus Gärten, Gartenanl., Gartenk.                                  11                   9                8               72,7 401310        BSD von Fahrrad in/aus Gärten, Gartenanlagen, Gartenkolonien                                                 10                   8                7               70,0 401320        SDS von Fahrrad in/aus Gärten, Gartenanlagen, Gartenkolonien                                                  1                   1                1              100,0 402*00        Diebst. unter erschw. Umst. in/aus Bungalow, Gartenlauben                                                    77                  65               10               13,0 402000        Sonstiger Diebst. unter erschw. Umst. in/aus Bungalow, Gartenlauben                                          72                  61                6                8,3 402010        Sonstiger BSD in/aus Bungalow, Gartenlauben                                                                  72                  61                6                8,3 402300        Diebst. unter erschw. Umst. von Fahrrad in/aus Bungalow, Gartenlauben                                         4                   3                3               75,0 402310        BSD von Fahrrad in/aus Bungalow, Gartenlauben                                                                 4                   3                3               75,0 402400        Diebst. unter erschw. Umst. von Schusswaffen                                                                  1                   1                1              100,0 403*00        Diebst. u. erschw. Umst. in/aus Bungalow, Gartenl., Gärten, Gartenanl., Gartenk.                            159                 135               22               13,8 404*00        Diebst. unter erschw. Umst. in/aus Garagen, Carports                                                        243                 206               76               31,3 404000        Sonstiger Diebst. unter erschw. Umst. in/aus Garagen, Carports                                              170                 144               31               18,2 404010        Sonstiger BSD in/aus Garagen, Carports                                                                      169                 143               30               17,8 404020        Sonstiger SDS in/aus Garagen, Carports                                                                        1                   1                1              100,0 404100        Diebst. unter erschw. Umst. von Kraftwagen in/aus Garagen, Carports                                           2                   2                2              100,0 404110        BSD von Kraftwagen in/aus Garagen, Carports                                                                   2                   2                2              100,0 404200        Diebst. unter erschw. Umst. von Moped/Krad in/aus Garagen, Carports                                           4                   3                1               25,0 404210        BSD von Moped/Krad in/aus Garagen, Carports                                                                   4                   3                1               25,0 404300        Diebst. unter erschw. Umst. von Fahrrad in/aus Garagen, Carports                                             67                  57               42               62,7 404310        BSD von Fahrrad in/aus Garagen, Carports                                                                     47                  40               20               42,6 404320        SDS von Fahrrad in/aus Garagen, Carports                                                                     20                  17               22              110,0 405*00        BSD insg. in/aus Banken, Sparkassen, Postfilialen und -agenturen und dgl.                                                         0 405000        Schwerer Diebstahl - in/aus Banken, Sparkassen, Postfilialen und -agenturen                                                       0
115

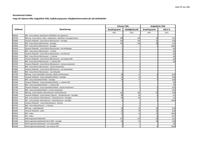
Seite 97 von 108 Revierbereich Cottbus Frage 34: Erfasste Fälle, Aufgeklärte Fälle, Aufklärungsquoten, Häufigkeitskennzahlen für alle Deliktsfelder Erfasste Fälle                     Aufgeklärte Fälle Schlüssel                                                    Bezeichnung                                   Anzahl gesamt      Häufigkeitszahl   Anzahl gesamt         AQ in % 2015                 2015            2015                 2015 405010        BSD - in/aus Banken, Sparkassen, Postfilialen und -agenturen                                                                      0 410*00        BSD insg. in/aus Dienst-, Büro-, Fabrikations-, Werkstatt- und Lagerräumen                                  198                 168               31               15,7 410000        Schwerer Diebstahl - in/aus Dienst-/Büroräumen - Sonstiger                                                  194                 165               31               16,0 410010        BSD - in/aus Dienst-/Büroräumen - Sonstiger                                                                 193                 164               30               15,5 410020        SDS - in/aus Dienst-/Büroräumen - Sonstiger                                                                   1                   1                1              100,0 410100        Schwerer Diebstahl - in/aus Dienst-/Büroräumen - von Kraftwagen                                               1                   1                                 0,0 410110        BSD - in/aus Dienst-/Büroräumen - v. Kraftw.                                                                  1                   1                                 0,0 410300        Schwerer Diebstahl - in/aus Dienst-/Büroräumen - von Fahrrad                                                  2                   2                                 0,0 410310        BSD - in/aus Dienst-/Büroräumen - v. Fahrrad                                                                  2                   2                                 0,0 410500        Schwerer Diebstahl - in/aus Dienst-/Büroräumen - von unbaren ZM                                               1                   1                                 0,0 410510        BSD - in/aus Dienst-/Büroräumen - v. unbaren ZM                                                               1                   1                                 0,0 410700        Schwerer Diebstahl - in/aus Dienst-/Büroräumen - von/aus Automaten                                                                0 410710        BSD - in/aus Dienst-/Büroräumen - von/aus Automaten                                                                               0 410800        Schwerer Diebstahl - in/aus Dienst-/Büroräumen - von Antiquitäten                                                                 0 410810        BSD - in/aus Dienst-/Büroräumen - von Antiquität                                                                                  0 415*00        BSD insg. in/aus Gaststätten, Kantinen, Hotels und Pensionen                                                 20                  17                4               20,0 415000        Schwerer Diebstahl - in/aus Gaststätten/Hotels - Sonstiger                                                   15                  13                3               20,0 415010        BSD - in/aus Gaststätten/Hotels - Sonstiger                                                                  15                  13                3               20,0 415500        Schwerer Diebstahl - in/aus Gaststätten/Hotels - v. unbaren ZM                                                2                   2                                 0,0 415510        BSD - in/aus Gaststätten/Hotels - v. unbaren ZM                                                               2                   2                                 0,0 415700        Schwerer Diebstahl - in/aus Gaststätten/Hotels - von/aus Automaten                                            3                   3                1               33,3 415710        BSD - in/aus Gaststätten/Hotels - von/aus Automaten                                                           3                   3                1               33,3 425*00        BSD insg. in/aus Kiosken, Warenhäusern, Verkaufsräumen                                                      122                 103               29               23,8 425000        Schwerer Diebstahl - in/aus Kiosken, Warenh. , Verkaufsräumen - Sonstiger                                    98                  83                6                6,1 425010        BSD - in/aus Kiosken, Warenhäusern , Verkaufsräumen - Sonstiger                                              97                  82                5                5,2 425020        SDS - in/aus Kiosken, Warenhäusern , Verkaufsräumen - Sonstiger                                               1                   1                1              100,0 425300        Schwerer Diebstahl - in/aus Warenhäusern - Fahrrad                                                                                0 425310        BSD - in/aus Warenhäusern - v. Fahrrad                                                                                            0 426*00        BSD insg. - Ladendiebstahl                                                                                   24                  20               23               95,8 426000        Schwerer Diebstahl - Laden                                                                                   24                  20               23               95,8 426010        BSD - Laden                                                                                                  17                  14               17              100,0 426020        SDS - Laden                                                                                                   7                   6                6               85,7 435*00        Wohnungseinbruchdiebstahl                                                                                   157                 133               29               18,5 435000        Wohnungseinbruchdiebstahl (ohne TWE) - sonstiger                                                             95                  81               16               16,8 435400        Wohnungseinbruchdiebstahl - von Schusswaffen                                                                  1                   1                                 0,0 435500        Wohnungseinbruchdiebstahl - von unbaren ZM                                                                    1                   1                1              100,0
116

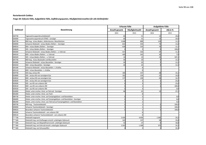
Seite 98 von 108 Revierbereich Cottbus Frage 34: Erfasste Fälle, Aufgeklärte Fälle, Aufklärungsquoten, Häufigkeitskennzahlen für alle Deliktsfelder Erfasste Fälle                     Aufgeklärte Fälle Schlüssel                                                     Bezeichnung                                  Anzahl gesamt      Häufigkeitszahl   Anzahl gesamt         AQ in % 2015                 2015            2015                 2015 436*00        Tageswohnungseinbruchdiebstahl                                                                                60                 51               12               20,0 436000        Tageswohnungseinbruch (TWE) - sonstiger                                                                       60                 51               12               20,0 440*00        BSD insg. in/aus Boden-, Kellerräumen, Waschküchen                                                         1.048                889              120               11,5 440000        Schwerer Diebstahl - in/aus Boden-/Kellerr. - Sonstiger                                                      631                535               73               11,6 440010        BSD - in/aus Boden-/Kellerr. - Sonstiger                                                                     628                533               70               11,1 440020        SDS - in/aus Boden-/Kellerr. - Sonstiger                                                                       3                  3                3              100,0 440300        Schwerer Diebstahl - in/aus Boden-/Kellerr. - v. Fahrrad                                                     417                354               47               11,3 440310        BSD - in/aus Boden-/Kellerr. - v. Fahrrad                                                                    403                342               32                7,9 440320        SDS - in/aus Boden-/Kellerr. - v. Fahrrad                                                                     14                 12               15              107,1 445*00        BSD insg. in/aus Baubuden und Baustellen                                                                      26                 22                3               11,5 445000        Schwerer Diebstahl - in/aus Baustellen - Sonstiger                                                            26                 22                3               11,5 445010        BSD - in/aus Baustellen - Sonstiger                                                                           26                 22                3               11,5 445100        Schwerer Diebstahl - in/aus Baustellen - v. Kraftw.                                                                               0 445110        BSD - in/aus Baustellen - v. Kraftw.                                                                                              0 450*00        SDS insg. an/aus Kfz                                                                                         185                157               28               15,1 450000        SDS - an/aus Kfz von sonstigem Gut                                                                           181                154               27               14,9 450010        BSD - an/aus Kfz von sonstigem Gut                                                                           177                150               26               14,7 450020        SDS - an/aus Kfz von sonstigem Gut                                                                             4                  3                1               25,0 450500        SDS - aus Kfz von unbaren ZM                                                                                   4                  3                1               25,0 450510        BSD - aus Kfz von unbaren ZM                                                                                   1                  1                1              100,0 450520        SDS - aus Kfz von unbaren ZM                                                                                   3                  3                                 0,0 456000        Diebst. unter erschw. Umst. an Fahrrad - Sonstiger                                                            48                 41               13               27,1 481000        Diebst. unter erschw. Umst. von Fisch                                                                                             0 486*00        Diebst. unter erschw. Umst. auf Campingplätzen- und Raststätten                                                2                  2                                 0,0 486000        Diebst. unter erschw. Umst. auf Campingplätzen- und Raststätten - Sonstiger                                    1                  1                                 0,0 486300        Diebst. unter erschw. Umst. von Fahrrad auf Campingplätzen- und Raststätten                                    1                  1                                 0,0 490*00        BSD insg. - Taschendiebstahl                                                                                   1                  1                1              100,0 490000        Schwerer Taschendiebstahl - Sonstiger                                                                          1                  1                1              100,0 490010        Besonders schwerer Taschendiebstahl                                                                            1                  1                1              100,0 490500        Schwerer Taschendiebstahl - von unbaren ZM                                                                                        0 490510        Besonders schwerer Taschendiebstahl - von unbaren ZM                                                                              0 ****00        Diebstahl insgesamt                                                                                        5.434              4.609            1.585               29,2 ***100        Diebstahl insg. von Kraftwagen einschl. unbefugter Gebrauch                                                  162                137               58               35,8 ***200        Diebstahl insg. von Moped/Krad einschl. unbefugte Gebrauch                                                    32                 27                6               18,8 ***300        Diebstahl insg. von Fahrrad einschl. unbefugter Gebrauch                                                   1.542              1.308              375               24,3 ***400        Diebstahl insg. von Schusswaffen                                                                               3                  3                1               33,3
117

Seite 99 von 108 Revierbereich Cottbus Frage 34: Erfasste Fälle, Aufgeklärte Fälle, Aufklärungsquoten, Häufigkeitskennzahlen für alle Deliktsfelder Erfasste Fälle                     Aufgeklärte Fälle Schlüssel                                                      Bezeichnung                                 Anzahl gesamt      Häufigkeitszahl   Anzahl gesamt         AQ in % 2015                 2015            2015                 2015 ***500        Diebstahl insg. von unbaren ZM                                                                                35                 30               11               31,4 ***700        Diebstahl insg. von/aus Automaten                                                                             41                 35                4                9,8 ***800        Diebstahl insg. von Antiquitäten, Kunst- und sakralen Gegenständen                                                                0                1 *00000        Diebstahl insg. - Sonstiger                                                                                1.110                942              226               20,4 *01*00        Diebstahl insg. in/aus Gärten, Gartenanlagen, Gartenkolonien                                                 107                 91               18               16,8 *02*00        Diebstahl insg. in/aus Bungalow, Gartenlauben                                                                 77                 65               10               13,0 *03*00        Diebstahl insg. in/aus Bungalow, Gartenl., Gärten, Gartenanl., Gartenk.                                      184                156               28               15,2 *04*00        Diebstahl insg. in/aus Garagen, Carports                                                                     247                210               76               30,8 *05*00        Diebstahl insg. in/aus Banken, Sparkassen, Postfilialen und -agenturen u. dgl.                                 2                  2                                 0,0 *10*00        Diebstahl insg. in/aus Dienst-, Büro-, Fabrikations-,Werkstatt- u. Lagerräumen                               250                212               46               18,4 *15*00        Diebstahl insg. in/aus Gaststätten, Kantinen, Hotels und Pensionen                                            49                 42                9               18,4 *25*00        Diebstahl insg. in/aus Kiosken, Warenhäusern, Verkaufsräumen                                                 909                771              654               71,9 *26*00        Diebstahl insg. Ladendiebstahl                                                                               734                623              643               87,6 *35*00        Diebstahl insg. in/aus Wohnungen                                                                             226                192               72               31,9 *36*00        Tageswohnungseinbruch                                                                                         60                 51               12               20,0 *40*00        Diebstahl insg. in/aus Boden-, Kellerräumen und Waschküchen                                                1.081                917              125               11,6 *45*00        Diebstahl insg. in/aus Baubuden und Baustellen                                                                44                 37                6               13,6 *50*00        Diebstahl insg. an/aus Kfz                                                                                   353                299               43               12,2 *56000        Diebstahl insg. an Fahrrad                                                                                   121                103               21               17,4 *81000        Diebstahl insg. von Fisch                                                                                                         0 *86*00        Diebstahl insg. auf Campingplätzen- und Raststätten                                                            2                  2                                 0,0 *90*00        Diebstahl insg. Taschendiebstahl                                                                              58                 49                5                8,6 500000        Vermögens- und Fälschungsdelikte                                                                           1.788              1.517            1.415               79,1 510000        Betrug                                                                                                     1.392              1.181            1.160               83,3 511000        Waren- und Warenkreditbetrug                                                                                 630                534              548               87,0 511100        Betrügerisches Erlangen von Kfz                                                                                                   0 511200        Sonstiger Warenkreditbetrug                                                                                  362                307              283               78,2 511201        Tankbetrug                                                                                                   101                 86               28               27,7 511279        Weitere Arten des Warenkreditbetruges                                                                        261                221              255               97,7 511300        Warenbetrug                                                                                                  268                227              265               98,9 512000        Grundstücks- und Baubetrug                                                                                     1                  1                1              100,0 513000        Kapitalanlage- und Anlagebetrug                                                                               39                 33               39              100,0 513200        Anlagebetrug                                                                                                  34                 29               34              100,0 513300        Betrug bei Börsenspekulationen                                                                                 5                  4                5              100,0 514000        Geldkreditbetrug                                                                                               6                  5                6              100,0 514100        Kreditbetrug (im geschäftlichen Verkehr)                                                                       3                  3                3              100,0
118

Seite 100 von 108 Revierbereich Cottbus Frage 34: Erfasste Fälle, Aufgeklärte Fälle, Aufklärungsquoten, Häufigkeitskennzahlen für alle Deliktsfelder Erfasste Fälle                     Aufgeklärte Fälle Schlüssel                                                   Bezeichnung                                    Anzahl gesamt      Häufigkeitszahl   Anzahl gesamt         AQ in % 2015                 2015            2015                 2015 514200        Subventionsbetrug                                                                                             2                   2                2              100,0 514300        Krediterlangungsbetrug                                                                                        1                   1                1              100,0 515000        Erschleichen von Leistungen                                                                                 114                  97             113                99,1 515001        Beförderungserschleichung                                                                                   105                  89             104                99,0 516000        Betrug bzw. Computerbetrug mittels rechtswidrig erlangter unbarer Zahlungsmittel                            163                 138             133                81,6 516200        Betrug mittels rechtswidrig erlangter Zahlungskarten ohne PIN (Lastschriftverfahren)                        122                 103             109                89,3 516300        Computerbetrug mittels rechtswidrig erlanger Zahlungskarten mit PIN                                          28                  24               16               57,1 516400        Betrug m. rechtsw. erlangter Kreditkarten                                                                     2                   2                1               50,0 516500        Betrug bzw. Computerbetrug mittels rechtswidrig erlangter Daten von Zahlungskarten                            8                   7                6               75,0 516900        Betrug bzw. Computerbetrug mittels rechtswidrig erlangter sonstiger unbarer Zahlungsmittel                    3                   3                1               33,3 517000        Sonstiger Betrug                                                                                            439                 372             320                72,9 517100        Leistungsbetrug                                                                                              13                  11               10               76,9 517200        Leistungskreditbetrug                                                                                        31                  26               31              100,0 517300        Arbeitsvermittlungsbetrug                                                                                     3                   3                3              100,0 517400        Betrug z.N.v. Versich. und Versich.missbrauch                                                                 5                   4                5              100,0 517410        Betrug zum Nachteil von Versicherungen                                                                        4                   3                4              100,0 517420        Versicherungsmissbrauch                                                                                       1                   1                1              100,0 517500        Computerbetrug (sonstiger)                                                                                    7                   6                4               57,1 517600        Provisionsbetrug                                                                                              2                   2                2              100,0 517700        Betrug z.N.v. Sozialversich. und SV-trägern                                                                   3                   3                3              100,0 517800        Sozialleistungsbetrug                                                                                        35                  30               35              100,0 517900        Missbräuchliche Nutzung von Telekommunikationsdiensten                                                        3                   3                2               66,7 518100        Abrechnungsbetrug                                                                                             4                   3                4              100,0 518110        Abrechnungsbetrug im Gesundheitswesen                                                                                             0 518179        Sonstiger Abrechnungsbetrug                                                                                   4                   3                4              100,0 518200        Einmietbetrug                                                                                                15                  13               14               93,3 518300        Überweisungsbetrug                                                                                          121                 103               88               72,7 518310        Kontoeröffnungsbetrug                                                                                         1                   1                1              100,0 518320        Überweisungsbetrug                                                                                          120                 102               87               72,5 518400        Zechbetrug                                                                                                    2                   2                2              100,0 518800        Kreditvermittlungsbetrug                                                                                                          0 518900        Sonstige weitere Betrugsarten                                                                               195                 165             117                60,0 520000        Veruntreuungen                                                                                               67                  57               66               98,5 521000        Untreue                                                                                                      10                   8               10              100,0 521079        Sonstige Untreue                                                                                             10                   8               10              100,0 522000        Vorenthalten und Veruntreuen von Arbeitsentgelt                                                              57                  48               56               98,2
119

Seite 101 von 108 Revierbereich Cottbus Frage 34: Erfasste Fälle, Aufgeklärte Fälle, Aufklärungsquoten, Häufigkeitskennzahlen für alle Deliktsfelder Erfasste Fälle                     Aufgeklärte Fälle Schlüssel                                                    Bezeichnung                                   Anzahl gesamt      Häufigkeitszahl   Anzahl gesamt         AQ in % 2015                 2015            2015                 2015 530000        Unterschlagung                                                                                               227                193              105               46,3 531000        Unterschlagung von Kfz                                                                                        11                  9               11              100,0 540000        Urkundenfälschung                                                                                             96                 81               79               82,3 540001        Sonstige Urkundenfälschung                                                                                    83                 70               68               81,9 540002        Mittelbare Falschbeurkundung                                                                                   1                  1                1              100,0 540003        Verändern von amtl. Ausweisen                                                                                                     0 540004        Urkundenunterdrückung; Veränderung einer Grenzbezeichnung § 274 StGB                                                              0 540008        Ausstellen unrichtiger Gesundheitszeugnisse                                                                    2                  2                                 0,0 540010        Missbrauch von Ausweispapieren                                                                                 9                  8                9              100,0 541000        Fälschung technischer Aufzeichnungen                                                                                              0 541079        Sonstige Fälsch. technischer Aufzeichnungen                                                                                       0 542000        Fälschung zur Erlangung von Btm                                                                                1                  1                1              100,0 543000        Fälsch. beweiserhebl. Daten, Täusch. im Rechtsverkehr b. Datenverarb.                                                             0 543020        Täuschung im Rechtsverkehr bei Datenverarbeitung                                                                                  0 550000        Geld- und Wertzeichenfälschung                                                                                 4                  3                3               75,0 552000        Inverkehrbringen von Falschgeld §§ 146 Abs. 1 Nr. 3, 147 StGB                                                  3                  3                3              100,0 552020        Inverkehrbringen von Falschgeld gemäß § 147 StGB (nach gutgläubigem Erwerb)                                    3                  3                3              100,0 553000        Fälsch. v. Zahlungskarten mit/ohne Garantiefunktion, Schecks u. Wechseln                                       1                  1                                 0,0 553100        Gebr. falscher Zahlungsk. mit oder ohne Garantiefunktion, Schecks und Wechsel                                  1                  1                                 0,0 553120        Gebrauch falscher Zahlungskarten mit Garantiefunktion                                                          1                  1                                 0,0 560000        Insolvenzstraftaten                                                                                            2                  2                2              100,0 561000        Bankrott                                                                                                       1                  1                1              100,0 563000        Verletzung der Buchführungspflicht                                                                                                0 564000        Gläubigerbegünstigung                                                                                          1                  1                1              100,0 600000        Sonstige Straftatbestände (StGB)                                                                           2.018              1.712            1.060               52,5 610000        Erpressung                                                                                                     7                  6                5               71,4 610001        Schutzgelderpressung                                                                                           1                  1                                 0,0 610079        Sonstige Erpressung                                                                                            6                  5                5               83,3 620000        Widerstand gg. die Staatsgewalt und ST gg. die öff. Ordnung                                                  273                232              238               87,2 620001        Störung des öffentl. Friedens durch Androhung von ST                                                          10                  8                8               80,0 620003        Bildung krimineller Vereinigungen                                                                              1                  1                1              100,0 620005        Amtsanmaßung                                                                                                   4                  3                2               50,0 620006        Missbr. von Titeln, Berufsbezeichnungen, Abzeichen                                                             1                  1                1              100,0 620009        Verstrickungsbruch, Siegelbruch                                                                                4                  3                2               50,0 620013        Missbr. von Notrufen und Beeintr. v. Unfallverhütungs- und Nothilfemitteln                                    40                 34               19               47,5 620014        Verstoß gg. Weisung während Führungsaufsicht                                                                  10                  8               10              100,0
120

Zur nächsten Seite