Polizeistrukturreform - Polizeirevier Cottbus

/ 402
PDF herunterladen
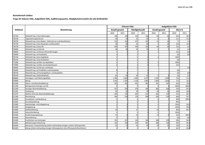
Seite 62 von 108 Revierbereich Cottbus Frage 34: Erfasste Fälle, Aufgeklärte Fälle, Aufklärungsquoten, Häufigkeitskennzahlen für alle Deliktsfelder Erfasste Fälle                            Aufgeklärte Fälle Schlüssel                                                   Bezeichnung                                     Anzahl gesamt         Häufigkeitszahl      Anzahl gesamt             AQ in % 2010       2011        2010       2011     2010       2011        2010         2011 *35*00        Diebstahl insg. in/aus Wohnungen                                                                    140        138          116       114       62         54        44,3         39,1 *36*00        Tageswohnungseinbruch                                                                                38         36           31        30        8          8        21,1         22,2 *40*00        Diebstahl insg. in/aus Boden-, Kellerräumen und Waschküchen                                         274        420          227       347       21         14          7,7         3,3 *45*00        Diebstahl insg. in/aus Baubuden und Baustellen                                                       28         80           23        66        7         12        25,0         15,0 *50*00        Diebstahl insg. an/aus Kfz                                                                          446        647          369       534       46         30        10,3          4,6 *56000        Diebstahl insg. an Fahrrad                                                                           49         40           41        33        2          2          4,1         5,0 *60000        Diebstahl insg. von/in/aus Wasserfahrzeugen                                                           3          2            2         2        1                   33,3          0,0 *63000        Diebstahl insg. von Ruderboot                                                                         1          1            1         1                              0,0         0,0 *65*00        Diebstahl insg. in/aus Segelboot                                                                      1                       1         0        1                  100,0 *66*00        Diebstahl insg. in/aus Ruderboot                                                                      1                       1         0                              0,0 *71000        Diebstahl insg. von Btm aus Apotheken                                                                 1                       1         0        1                  100,0 *73000        Diebstahl insg. von Btm aus Krankenhäusern                                                            3                       2         0        1                   33,3 *83000        Diebstahl insg. von Reusen und Netzen                                                                            1            0         1                                          0,0 *85000        Diebstahl insg. auf Friedhöfen und Grabstätten                                                        9                       7         0                              0,0 *86*00        Diebstahl insg. auf Campingplätzen- und Raststätten                                                   1          4            1         3                              0,0         0,0 *90*00        Diebstahl insg. Taschendiebstahl                                                                     65         64           54        53        3          3          4,6         4,7 500000        Vermögens- und Fälschungsdelikte                                                                  1.760      1.664        1.456     1.375    1.331      1.250        75,6         75,1 510000        Betrug                                                                                            1.352      1.325        1.118     1.095    1.044      1.014        77,2         76,5 511000        Waren- und Warenkreditbetrug                                                                        545        461          451       381      451        367        82,8         79,6 511100        Betrügerisches Erlangen von Kfz                                                                       2          3            2         2        2          3       100,0        100,0 511200        Sonstiger Warenkreditbetrug                                                                         337        230          279       190      266        148        78,9         64,3 511201        Tankbetrug                                                                                           94         95           78        78       44         35        46,8         36,8 511279        Weitere Arten des Warenkreditbetruges                                                               243        135          201       112      222        113        91,4         83,7 511300        Warenbetrug                                                                                         206        228          170       188      183        216        88,8         94,7 512000        Grundstücks- und Baubetrug                                                                            5          1            4         1        4          1        80,0        100,0 512002        Grundstücksbetrug                                                                                     5                       4         0        4                   80,0 513000        Kapitalanlage- und Anlagebetrug                                                                       2          2            2         2        2          1       100,0         50,0 513200        Anlagebetrug                                                                                          2          2            2         2        2          1       100,0         50,0 514000        Geldkreditbetrug                                                                                     20          7           17         6       16          6        80,0         85,7 514200        Subventionsbetrug                                                                                     3                       2         0        3                  100,0 514300        Krediterlangungsbetrug                                                                               14          6           12         5       13          6        92,9        100,0 514400        Wechselbetrug                                                                                         3          1            2         1                              0,0         0,0 515000        Erschleichen von Leistungen                                                                         191        227          158       188      188        219        98,4         96,5 515001        Beförderungserschleichung                                                                           191        224          158       185      188        216        98,4         96,4 516000        Betrug bzw. Computerbetrug mittels rechtswidrig erlangter unbarer Zahlungsmittel                     62         72           51        59       18         13        29,0         18,1 516200        Betrug mittels rechtswidrig erlangter Zahlungskarten ohne PIN (Lastschriftverfahren)                  3          5            2         4        2          2        66,7         40,0
81

Seite 63 von 108 Revierbereich Cottbus Frage 34: Erfasste Fälle, Aufgeklärte Fälle, Aufklärungsquoten, Häufigkeitskennzahlen für alle Deliktsfelder Erfasste Fälle                            Aufgeklärte Fälle Schlüssel                                                  Bezeichnung                                      Anzahl gesamt         Häufigkeitszahl      Anzahl gesamt             AQ in % 2010       2011        2010       2011     2010       2011        2010        2011 516300        Computerbetrug mittels rechtswidrig erlanger Zahlungskarten mit PIN                                  21         22          17         18        6          8        28,6        36,4 516400        Betrug m. rechtsw. erlangter Kreditkarten                                                             6          1           5          1        1                   16,7         0,0 516500        Betrug bzw. Computerbetrug mittels rechtswidrig erlangter Daten von Zahlungskarten                   32         42          26         35        9          3        28,1         7,1 516900        Betrug bzw. Computerbetrug mittels rechtswidrig erlangter sonstiger unbarer Zahlungsmittel                       2           0          2                                         0,0 517000        Sonstiger Betrug                                                                                    527        555         436        458      365        407        69,3        73,3 517100        Leistungsbetrug                                                                                       5          8           4          7        1          6        20,0        75,0 517200        Leistungskreditbetrug                                                                                44         96          36         79       37         88        84,1        91,7 517300        Arbeitsvermittlungsbetrug                                                                                        2           0          2                   2                   100,0 517400        Betrug z.N.v. Versich. und Versich.missbrauch                                                         5          6           4          5        5          6       100,0       100,0 517410        Betrug zum Nachteil von Versicherungen                                                                5          6           4          5        5          6       100,0       100,0 517500        Computerbetrug (sonstiger)                                                                           53         28          44         23       12          2        22,6         7,1 517600        Provisionsbetrug                                                                                      4          1           3          1        3          1        75,0       100,0 517700        Betrug z.N.v. Sozialversich. und SV-trägern                                                           1          1           1          1        1          1       100,0       100,0 517800        Sozialleistungsbetrug                                                                                73         47          60         39       73         48       100,0       102,1 517900        Missbräuchliche Nutzung von Telekommunikationsdiensten                                               37         12          31         10       22          5        59,5        41,7 518100        Abrechnungsbetrug                                                                                     7          4           6          3        5          4        71,4       100,0 518110        Abrechnungsbetrug im Gesundheitswesen                                                                            3           0          2                   3                   100,0 518179        Sonstiger Abrechnungsbetrug                                                                           7          1           6          1        5          1        71,4       100,0 518200        Einmietbetrug                                                                                        21          7          17          6       18          6        85,7        85,7 518300        Überweisungsbetrug                                                                                   26         41          22         34       23         35        88,5        85,4 518310        Kontoeröffnungsbetrug                                                                                 1          1           1          1        1          1       100,0       100,0 518320        Überweisungsbetrug                                                                                   25         40          21         33       22         34        88,0        85,0 518400        Zechbetrug                                                                                            8          6           7          5        8          6       100,0       100,0 518900        Sonstige weitere Betrugsarten                                                                       243        296         201        245      157        197        64,6        66,6 520000        Veruntreuungen                                                                                       93         76          77         63       93         74       100,0        97,4 521000        Untreue                                                                                              13         13          11         11       13         11       100,0        84,6 521079        Sonstige Untreue                                                                                     12         12          10         10       12         10       100,0        83,3 521100        Untreue bei Kapitalanlagegeschäften                                                                   1          1           1          1        1          1       100,0       100,0 522000        Vorenthalten und Veruntreuen von Arbeitsentgelt                                                      79         62          65         51       79         62       100,0       100,0 523000        Missbrauch von Scheck- und Kreditkarten                                                               1          1           1          1        1          1       100,0       100,0 530000        Unterschlagung                                                                                      194        157         160        130       91         76        46,9        48,4 530010        Sonstige Unterschlagung ohne von Kfz                                                                157                    130          0       63                   40,1 530020        Sonstige Unterschlagung gemäß § 247 - ohne von Kfz                                                    8                      7          0        8                  100,0 530030        Unterschlagung geringwertiger Sachen                                                                 15                     12          0        6                   40,0 531000        Unterschlagung von Kfz                                                                               14          6          12          5       14          7       100,0       116,7 531010        Unterschlagung von Kfz gemäß § 246, 247 StGB                                                         13                     11          0       14                  107,7
82

Seite 64 von 108 Revierbereich Cottbus Frage 34: Erfasste Fälle, Aufgeklärte Fälle, Aufklärungsquoten, Häufigkeitskennzahlen für alle Deliktsfelder Erfasste Fälle                            Aufgeklärte Fälle Schlüssel                                                    Bezeichnung                                    Anzahl gesamt         Häufigkeitszahl      Anzahl gesamt             AQ in % 2010       2011        2010       2011     2010       2011        2010         2011 531020        Unterschlagung von Kfz gemäß § 247 StGB                                                               1                       1         0                              0,0 540000        Urkundenfälschung                                                                                   100         87           83        72       88         73        88,0         83,9 540001        Sonstige Urkundenfälschung                                                                           77         66           64        55       69         59        89,6         89,4 540003        Verändern von amtl. Ausweisen                                                                         3                       2         0        3                  100,0 540004        Urkundenunterdrückung; Veränderung einer Grenzbezeichnung § 274 StGB                                  1                       1         0        1                  100,0 540006        Verschaffen von falschen amtl. Ausweisen                                                              1          1            1         1        1          1       100,0        100,0 540009        Gebrauch unrichtiger Gesundheitszeugnisse                                                             1                       1         0        1                  100,0 540010        Missbrauch von Ausweispapieren                                                                        5          2            4         2        4          3        80,0        150,0 541000        Fälschung technischer Aufzeichnungen                                                                             1            0         1                   1                    100,0 541079        Sonstige Fälsch. technischer Aufzeichnungen                                                                      1            0         1                   1                    100,0 542000        Fälschung zur Erlangung von Btm                                                                       3          3            2         2        3          3       100,0        100,0 543000        Fälsch. beweiserhebl. Daten, Täusch. im Rechtsverkehr b. Datenverarb.                                 9         14            7        12        6          6        66,7         42,9 543010        Fälschung beweiserheblicher Daten                                                                     9         14            7        12        6          6        66,7         42,9 550000        Geld- und Wertzeichenfälschung                                                                       12          9           10         7        6          3        50,0         33,3 552000        Inverkehrbringen von Falschgeld §§ 146 Abs. 1 Nr. 3, 147 StGB                                         3          2            2         2        3          2       100,0        100,0 552020        Inverkehrbringen von Falschgeld gemäß § 147 StGB (nach gutgläubigem Erwerb)                           3          2            2         2        3          2       100,0        100,0 553000        Fälsch. v. Zahlungskarten mit/ohne Garantiefunktion, Schecks u. Wechseln                              9          7            7         6        3          1        33,3         14,3 553100        Gebr. falscher Zahlungsk. mit oder ohne Garantiefunktion, Schecks und Wechsel                         7          5            6         4        2          1        28,6         20,0 553110        Gebrauch falscher Zahlungskarten o. Garantiefunktion, Schecks und Wechsel                             3          4            2         3        1                   33,3          0,0 553120        Gebrauch falscher Zahlungskarten mit Garantiefunktion                                                 4          1            3         1        1          1        25,0        100,0 553200        Nachmachen, Verfälschen, Verschaffen, Feilhalten o. Überl. falscher Zahlungsk                         2          2            2         2        1                   50,0          0,0 553210        Nachm., Verfälsch, Verschaff falscher Zahlungsk. o. Garantiefunktion                                             2            0         2                                          0,0 553220        Nachmachen, Verfälschen, Verschaffen falscher Zahlungsk. m. Garantiefunktion                          2                       2         0        1                   50,0 560000        Insolvenzstraftaten                                                                                   9         10            7         8        9         10       100,0        100,0 561000        Bankrott                                                                                              4          6            3         5        4          6       100,0        100,0 563000        Verletzung der Buchführungspflicht                                                                    3          3            2         2        3          3       100,0        100,0 564000        Gläubigerbegünstigung                                                                                 2          1            2         1        2          1       100,0        100,0 600000        Sonstige Straftatbestände (StGB)                                                                  2.474      2.125        2.046     1.755    1.002        924        40,5         43,5 610000        Erpressung                                                                                            7         13            6        11        5         10        71,4         76,9 610079        Sonstige Erpressung                                                                                   7         13            6        11        5         10        71,4         76,9 620000        Widerstand gg. die Staatsgewalt und ST gg. die öff. Ordnung                                         236        231          195       191      214        201        90,7         87,0 620001        Störung des öffentl. Friedens durch Androhung von ST                                                 15          9           12         7       12          7        80,0         77,8 620005        Amtsanmaßung                                                                                          4          1            3         1        4                  100,0          0,0 620006        Missbr. von Titeln, Berufsbezeichnungen, Abzeichen                                                    3          1            2         1        2          1        66,7        100,0 620010        Nichtanzeige geplanter Straftaten                                                                     1                       1         0        1                  100,0 620013        Missbr. von Notrufen und Beeintr. v. Unfallverhütungs- und Nothilfemitteln                           11         19            9        16        4          8        36,4         42,1
83

Seite 65 von 108 Revierbereich Cottbus Frage 34: Erfasste Fälle, Aufgeklärte Fälle, Aufklärungsquoten, Häufigkeitskennzahlen für alle Deliktsfelder Erfasste Fälle                           Aufgeklärte Fälle Schlüssel                                                   Bezeichnung                                     Anzahl gesamt         Häufigkeitszahl     Anzahl gesamt             AQ in % 2010       2011        2010       2011    2010       2011        2010         2011 620014        Verstoß gg. Weisung während Führungsaufsicht                                                          2          6           2         5        2          6       100,0        100,0 621000        Widerstand gg. die Staatsgewalt                                                                      49         52          41        43       48         51        98,0         98,1 621010        Öffentliche Aufforderung zu Straftaten                                                                1          1           1         1                   1          0,0       100,0 621020        Widerstand gg. Vollstreckungsbeamte                                                                  47         50          39        41       47         49       100,0         98,0 621021        Widerstand gegen Polizeivollzugsbeamte                                                               47         45          39        37       47         44       100,0         97,8 621029        Widerstand gegen Vollstreckungsbeamte (ohne Polizeivollzugsbeamte)                                               5           0         4                   5                    100,0 621030        Widerstand gegen gleichgestellte Personen                                                             1                      1         0        1                  100,0 621040        Gefangenenbefreiung                                                                                              1           0         1                   1                    100,0 622000        Hausfriedensbruch                                                                                   124        118         103        97      117        104        94,4         88,1 622100        Hausfriedensbruch gemäß § 123 StGB                                                                  124        118         103        97      117        104        94,4         88,1 623000        Landfriedensbruch                                                                                                2           0         2                   2                    100,0 623010        Landfriedensbruch gemäß § 125 StGB                                                                               2           0         2                   2                    100,0 624000        Vortäuschen einer Straftat                                                                           20         19          17        16       20         18       100,0         94,7 624079        Vortäuschen einer sonstigen Straftat                                                                 14         12          12        10       14         11       100,0         91,7 624100        Vortäuschen eines Raubes                                                                              2          4           2         3        2          4       100,0        100,0 624200        Vortäuschen eines Diebstahls                                                                          4          3           3         2        4          3       100,0        100,0 624201        Vortäuschen eines Kfz-Diebstahls                                                                      2                      2         0        2                  100,0 624279        Vortäuschen eines sonstigen Diebstahls                                                                2          3           2         2        2          3       100,0        100,0 626000        Gewaltdarstellung                                                                                                1           0         1                   1                    100,0 626079        Sonstige Gewaltdarstellung                                                                                       1           0         1                   1                    100,0 627000        Volksverhetzung                                                                                       7          3           6         2        4          3        57,1        100,0 630000        Begünstigung, Strafvereitelung, Hehlerei u. Geldwäsche                                               29         28          24        23       26         25        89,7         89,3 630010        Begünstigung                                                                                                     1           0         1                   1                    100,0 630020        Strafvereitelung                                                                                      5          5           4         4        5          5       100,0        100,0 631000        Hehlerei von Kfz                                                                                                 7           0         6                   5                     71,4 631079        Hehlerei von Kfz gemäß § 259 StGB                                                                                6           0         5                   4                     66,7 631100        Gewerbsmäßige Hehlerei von Kfz                                                                                               0         0 631300        Gewerbsmäßige Bandenhehlerei von Kfz                                                                             1           0         1                   1                    100,0 632000        Sonstige Hehlerei                                                                                    17          9          14         7       14          8        82,4         88,9 632079        Sonstige Hehlerei                                                                                    17          8          14         7       14          7        82,4         87,5 632100        Gewerbsmäßige Hehlerei                                                                                           1           0         1                   1                    100,0 633000        Geldwäsche, Verschleierung unrechtmäßig erl. Vermögenswerte                                           7          6           6         5        7          6       100,0        100,0 640000        Brandstiftung und Herbeiführen einer Brandgefahr                                                     66         63          55        52       24         24        36,4         38,1 640010        Fahrlässige Brandstiftung                                                                            21         14          17        12       19         14        90,5        100,0 641000        (Vorsätzliche) Brandstiftung und Herbeiführen einer Brandgefahr                                      45         49          37        40        5         10        11,1         20,4 641010        Vorsätzliche Brandstiftung                                                                           40         35          33        29        5          6        12,5         17,1
84

Seite 66 von 108 Revierbereich Cottbus Frage 34: Erfasste Fälle, Aufgeklärte Fälle, Aufklärungsquoten, Häufigkeitskennzahlen für alle Deliktsfelder Erfasste Fälle                            Aufgeklärte Fälle Schlüssel                                                      Bezeichnung                                  Anzahl gesamt         Häufigkeitszahl      Anzahl gesamt             AQ in % 2010       2011        2010       2011     2010       2011        2010         2011 641020        Schwere Brandstiftung                                                                                 4         14            3        12                   4          0,0        28,6 641050        Vorsätzliches Herbeiführen einer Brandgefahr                                                          1                       1         0                              0,0 650000        Wettbewerbs-, Korruptions- und Amtsdelikte                                                           20         16           17        13        9          7        45,0         43,8 651000        Vorteilsannahme, Bestechlichkeit                                                                      4          8            3         7        4          6       100,0         75,0 651100        Vorteilsannahme § 331 StGB                                                                            3          7            2         6        3          5       100,0         71,4 651200        Bestechlichkeit § 332 StGB                                                                            1          1            1         1        1          1       100,0        100,0 652000        Vorteilsgewährung, Bestechung                                                                         2          1            2         1        2          1       100,0        100,0 652200        Bestechung                                                                                            2          1            2         1        2          1       100,0        100,0 655000        Sonstige Straftaten im Amt                                                                           14          7           12         6        3                   21,4          0,0 655002        Rechtsbeugung                                                                                         8          3            7         2        1                   12,5          0,0 655100        Körperverletzung im Amt                                                                               4          4            3         3        1                   25,0          0,0 655200        Verletzung des Dienstgeheimnisses                                                                     2                       2         0        1                   50,0 660000        Strafbarer Eigennutz                                                                                  7          8            6         7        6          3        85,7         37,5 660010        Vereiteln der Zwangsvollstreckung                                                                                2            0         2                   2                    100,0 660020        Pfandkehr                                                                                             1                       1         0        1                  100,0 662000        Wilderei                                                                                              6          5            5         4        5                   83,3          0,0 662001        Fischwilderei                                                                                         1          2            1         2        2                  200,0          0,0 662100        Jagdwilderei                                                                                          5          3            4         2        3                   60,0          0,0 663000        Wucher                                                                                                           1            0         1                   1                    100,0 670000        Alle sonstigen ST gemäß StGB - ohne Verkehrsdelikte                                               2.109      1.766        1.745     1.459      718        654        34,0         37,0 670001        Falsche uneidliche Aussage (Falschaussage)                                                           21         22           17        18       23         22       109,5        100,0 670002        Meineid                                                                                               1          1            1         1        1          1       100,0        100,0 670003        Falsche Versicherung an Eides statt                                                                  16         16           13        13       16         15       100,0         93,8 670005        Verleitung zur Falschaussage                                                                          1                       1         0        1                  100,0 670007        Falsche Verdächtigung                                                                                46         41           38        34       44         38        95,7         92,7 670011        Störung der Totenruhe                                                                                            3            0         2                   3                    100,0 670016        Verletzung der Vertraulichkeit des Wortes                                                                        1            0         1                                          0,0 670017        Verletzung des Briefgeheimnisses                                                                      5          4            4         3        2          3        40,0         75,0 670018        Verletzung von Privatgeheimnissen                                                                                2            0         2                   1                     50,0 670020        Verletzung des Post- u. Fernmeldegeheimnisses                                                                    1            0         1                                          0,0 670024        Gefährl. Eingriffe in den Bahn-, Schiffs- und Luftverkehr                                             1          5            1         4        1          4       100,0         80,0 670025        Gefährliche Eingriffe in den Straßenverkehr                                                          19         27           16        22       13         10        68,4         37,0 670026        Störung öffentlicher Betriebe                                                                         1                       1         0                              0,0 670027        Störung von Telekommunikationsanlagen                                                                15         10           12         8        3          1        20,0         10,0 670032        Unterlassene Hilfeleistung                                                                           10          8            8         7        8          2        80,0         25,0 670033        Parteiverrat                                                                                          1                       1         0        1                  100,0
85

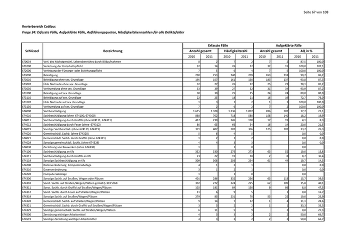
Seite 67 von 108 Revierbereich Cottbus Frage 34: Erfasste Fälle, Aufgeklärte Fälle, Aufklärungsquoten, Häufigkeitskennzahlen für alle Deliktsfelder Erfasste Fälle                            Aufgeklärte Fälle Schlüssel                                                   Bezeichnung                                     Anzahl gesamt         Häufigkeitszahl      Anzahl gesamt             AQ in % 2010       2011        2010       2011     2010       2011        2010         2011 670034        Verl. des höchstpersönl. Lebensbereiches durch Bildaufnahmen                                          8          2            7         2        7          2        87,5        100,0 671000        Verletzung der Unterhaltspflicht                                                                     32         14           26        12       32         15       100,0        107,1 672000        Verletzung der Fürsorge- oder Erziehungspflicht                                                       7          5            6         4        7          5       100,0        100,0 673000        Beleidigung                                                                                         290        253          240       209      263        218        90,7         86,2 673010        Beleidigung ohne sex. Grundlage                                                                     195        157          161       130      183        137        93,8         87,3 673020        Üble Nachrede ohne sex. Grundlage                                                                    32         27           26        22       25         23        78,1         85,2 673030        Verleumdung ohne sex. Grundlage                                                                      33         39           27        32       31         34        93,9         87,2 673100        Beleidigung auf sex. Grundlage                                                                       30         30           25        25       24         24        80,0         80,0 673110        Beleidigung auf sex. Grundlage                                                                       22         25           18        21       16         19        72,7         76,0 673120        Üble Nachrede auf sex. Grundlage                                                                      1          3            1         2        1          3       100,0        100,0 673130        Verleumdung auf sex. Grundlage                                                                        7          2            6         2        7          2       100,0        100,0 674000        Sachbeschädigung                                                                                  1.615      1.328        1.336     1.097      286        307        17,7         23,1 674010        Sachbeschädigung (ohne 674100, 674300)                                                              868        702          718       580      158        140        18,2         19,9 674011        Sachbeschädigung durch Graffiti (ohne 674111, 674311)                                               417        230          345       190       17         19          4,1         8,3 674012        Sachbeschädigung durch Feuer (ohne 674312)                                                           80         65           66        54       16         14        20,0         21,5 674019        Sonstige Sachbeschäd. (ohne 674119, 674319)                                                         371        407          307       336      125        107        33,7         26,3 674020        Gemeinschädl. Sachb. (ohne 674320)                                                                    5          6            4         5                              0,0         0,0 674021        Gemeinschädl. Sachb. durch Graffiti (ohne 674321)                                                     1          2            1         2                              0,0         0,0 674029        Sonstige gemeinschädl. Sachb. (ohne 674329)                                                           4          4            3         3                              0,0         0,0 674030        Zerstörung von Bauwerken (ohne 674330)                                                                1                       1         0                              0,0 674100        Sachbeschädigung an Kfz                                                                             332        330          275       273       63         52        19,0         15,8 674111        Sachbeschädigung durch Graffiti an Kfz                                                               23         22           19        18        2          8          8,7        36,4 674119        Sonstige Sachbeschädigung an Kfz                                                                    309        308          256       254       61         44        19,7         14,3 674200        Datenveränderung, Computersabotage                                                                    4          1            3         1                              0,0         0,0 674210        Datenveränderung                                                                                      3          1            2         1                              0,0         0,0 674220        Computersabotage                                                                                      1                       1         0                              0,0 674300        Sonstige Sachb. auf Straßen, Wegen oder Plätzen                                                     401        286          332       236       63        113        15,7         39,5 674310        Sonst. Sachb. auf Straßen/Wegen/Plätzen gemäß § 303 StGB                                            392        272          324       225       62        109        15,8         40,1 674311        Sonst. Sachb. durch Graffiti auf Straßen/Wegen/Plätzen                                              102        181           84       150        9         86          8,8        47,5 674312        Sonst. Sachb. durch Feuer auf Straßen/Wegen/Plätzen                                                  11          6            9         5                   1          0,0        16,7 674319        Sonstige Sachb. auf Straßen/Wegen/Plätzen                                                           279         85          231        70       53         22        19,0         25,9 674320        Gemeinschädl. Sachb. auf Straßen/Wegen/Plätzen                                                        9         14            7        12        1          4        11,1         28,6 674321        Gemeinschädl. Sachb. durch Graffiti auf Straßen/Wegen/Plätzen                                         3          3            2         2        1          1        33,3         33,3 674329        Sonstige gemeinschädl. Sachb. auf Straßen/Wegen/Plätzen                                               6         11            5         9                   3          0,0        27,3 674500        Zerstörung wichtiger Arbeitsmittel                                                                    4          3            3         2        2          2        50,0         66,7 674519        Sonstige Zerstörung wichtiger Arbeitsmittel                                                           4          3            3         2        2          2        50,0         66,7
86

Seite 68 von 108 Revierbereich Cottbus Frage 34: Erfasste Fälle, Aufgeklärte Fälle, Aufklärungsquoten, Häufigkeitskennzahlen für alle Deliktsfelder Erfasste Fälle                            Aufgeklärte Fälle Schlüssel                                                      Bezeichnung                                  Anzahl gesamt         Häufigkeitszahl      Anzahl gesamt             AQ in % 2010       2011        2010       2011     2010       2011        2010         2011 675000        Sprengstoff- und Strahlungsverbrechen                                                                 4          9           3          7        2          1        50,0         11,1 675200        Herbeiführen einer Sprengstoffexplosion                                                               4          9           3          7        2          1        50,0         11,1 676000        Straftaten gg. die Umwelt                                                                             8          8           7          7        6          3        75,0         37,5 676010        Bodenverunreinigung                                                                                   5          2           4          2        3          1        60,0         50,0 676011        Bodenverunreinigung 324a StGB                                                                         5          2           4          2        3          1        60,0         50,0 676100        Gewässerverunreinigung                                                                                           1           0          1                                          0,0 676101        Gewässerverunreinigung § 324 StGB                                                                                1           0          1                                          0,0 676200        Luftverunreinigung                                                                                               1           0          1                                          0,0 676201        Luftverunreinigung § 325 StGB                                                                                    1           0          1                                          0,0 676400        Unerlaubter Umgang mit gefährlichen Abfällen                                                          1          1           1          1        1                  100,0          0,0 676410        Unerl. Umgang mit Abfällen                                                                            1          1           1          1                              0,0         0,0 676411        Unerl. Umgang mit Abfällen § 326 Abs. 1                                                               1          1           1          1                              0,0         0,0 676420        Unerl. Umgang mit Abfällen                                                                                                   0          0        1 676421        Unerl. Umgang mit Abfällen § 326 Abs. 3                                                                                      0          0        1 676500        Unerlaubtes Betreiben von Anlagen                                                                     1          2           1          2        1          2       100,0        100,0 676510        Unerl. Betreib v. Anlag. (kerntech. Anl. und Kernbrennstoffe)                                         1                      1          0        1                  100,0 676511        Unerl. Betreiben von Anlagen (kerntech. Anl. und Kernbrennstoffe)                                     1                      1          0        1                  100,0 676520        Unerl. Betreiben von Anlagen                                                                                     2           0          2                   2                    100,0 676521        Unerl. Betreiben von Anlagen § 327 Abs. 2                                                                        2           0          2                   2                    100,0 676800        Abfallein- / -aus- und -durchfuhr gemäß § 326 Abs. 2 StGB                                             1                      1          0        1                  100,0 676820        Ungeneh. Ausfuhr von Abfällen § 326 Abs. 2 StGB                                                       1                      1          0        1                  100,0 676821        Ungeneh. Ausfuhr von Abfällen                                                                         1                      1          0        1                  100,0 676900        Schwere Gefährdung durch Freisetzen von Giften § 330a StGB                                                       1           0          1                                          0,0 678000        Ausspähen von Daten                                                                                   8          6           7          5        2          3        25,0         50,0 678010        Ausspähen von Daten gemäß § 202a StGB                                                                 8          6           7          5        2          3        25,0         50,0 700000        Strafrechtliche Nebengesetze                                                                        494        428         409        354      466        393        94,3         91,8 710000        ST gg. strafrechtl. Nebengesetze auf dem Wirtschaftssektor                                           79         90          65         74       71         83        89,9         92,2 712000        Straftaten nach AktG, GenG, GmbHG, HGB, RechnungslegungsG, UmwandlungsG, InsO                        23         15          19         12       22         14        95,7         93,3 712030        GmbH-Gesetz                                                                                           2          2           2          2        1          2        50,0        100,0 712200        Insolvenzverschleppung § 15a InsO                                                                    21         13          17         11       21         12       100,0         92,3 713000        Delikte i.Z.m. Schwarzarbeitsbekämpfungs- und Arbeitnehmerüberlassungsgesetz                          1                      1          0        1                  100,0 713050        Erschl. v. Sozialleistungen i.Z.m. der Erbringung v. Dienst- o. Werkleistungen                        1                      1          0        1                  100,0 714000        Straftaten i.V.m. dem Bankgewerbe sowie Wertpapierhandelsgesetz                                                  1           0          1                   1                    100,0 714040        Kreditwesengesetz                                                                                                1           0          1                   1                    100,0 715000        ST i.Z.m. Urheberrechtsbestimmungen                                                                  14         58          12         48       11         54        78,6         93,1 715010        Markengesetz                                                                                          2          2           2          2        2          1       100,0         50,0
87

Seite 69 von 108 Revierbereich Cottbus Frage 34: Erfasste Fälle, Aufgeklärte Fälle, Aufklärungsquoten, Häufigkeitskennzahlen für alle Deliktsfelder Erfasste Fälle                            Aufgeklärte Fälle Schlüssel                                                     Bezeichnung                                   Anzahl gesamt         Häufigkeitszahl      Anzahl gesamt             AQ in % 2010       2011        2010       2011     2010       2011        2010        2011 715040        Kunsturheberrechtsgesetz                                                                              2          3           2          2        2          1       100,0        33,3 715050        UHG -sonstige Verstöße- (ohne Schl. 715100 u. 725200)                                                 7         52           6         43        4         51        57,1        98,1 715300        Verrat von Betriebs- und Geschäftsgeheim. nach § 17 Abs. 1 und 4 UWG                                  1          1           1          1        1          1       100,0       100,0 715400        Verrat von Betriebs- und Geschäftsgeheim. nach § 17 Abs. 2 und 4 UWG                                  2                      2          0        2                  100,0 716000        ST i.Z.m. Lebensmitteln (z.B. Lebensmittel- und Futtermittelgesetzbuch)                              15          3          12          2       14          3        93,3       100,0 716200        ST nach dem Arzneimittelgesetz                                                                       15          3          12          2       14          3        93,3       100,0 716210        ST nach dem AMG gemäß § 95                                                                           14          3          12          2       12          3        85,7       100,0 716212        Inverkehrbr., Verschreib. bei Dritten v. Arzneimitteln zu Doping im Sport                                        1           0          1                   1                   100,0 716213        Unerl. Handel, Abgabe, Bezug von verschreibungspflichtigen Arzneimitteln                              2                      2          0        1                   50,0 716219        Sonstige ST nach dem AMG gemäß § 95                                                                  12          2          10          2       11          2        91,7       100,0 716220        ST nach dem Arzneimittelgesetz gemäß § 96 AMG                                                         1                      1          0        2                  200,0 719000        Sonst. ST (Nebengesetze) a. d. Wirtschaftssektor (z.B. RennwG)                                       26         13          22         11       23         11        88,5        84,6 719079        Sonstige Nebengesetze auf dem Wirtschaftssektor                                                      23         12          19         10       20         10        87,0        83,3 719200        ST nach UWG ohne § 17                                                                                 3          1           2          1        3          1       100,0       100,0 720000        ST gg. sonstige strafrechtliche Nebengesetze -ohne Verkehrsdelikte-                                 199        174         165        144      192        153        96,5        87,9 720002        Versammlungsgesetze des Bundes und der Länder                                                         8          8           7          7        8          7       100,0        87,5 720005        Missbräuchl. Herstellen, Vertreiben oder Ausgeben von amtl. Kennzeichen                               3          3           2          2        3          1       100,0        33,3 720009        Telekommunikationsgesetz                                                                                         1           0          1                                         0,0 720011        ST gemäß § 4 Gewaltschutzgesetz                                                                       1          1           1          1        1          1       100,0       100,0 720079        Sonstige strafrechtliche Nebengesetze                                                                 2          3           2          2        2          2       100,0        66,7 725000        Straftaten gegen das Aufenthalts-, das Asyl- und das Freizügigkeitsgesetz/EU                         73         55          60         45       73         55       100,0       100,0 725100        Unerlaubte Einreise gem. § 95 Abs. 1 Nr. 3 und Abs. 2 Nr. 1a Aufenthaltsgesetz                        5          7           4          6        5          7       100,0       100,0 725110        Unerl. Einreise gemäß § 95 Abs. 1 Nr. 3 Aufenthaltsgesetz                                             5          7           4          6        5          7       100,0       100,0 725200        Einschleusen von Ausländern gemäß § 96 Aufenthaltsgesetz                                              1          1           1          1        1                  100,0         0,0 725210        Einschleusen v. Ausländern gemäß § 96 Abs. 1 und 4 Aufenthaltsgesetz                                  1          1           1          1        1                  100,0         0,0 725300        Erschleichen eines Aufenthaltstitels gemäß § 95 Abs. 2 Nr. 2 Aufenthaltsgesetz                        2          2           2          2        2          2       100,0       100,0 725310        Erschleichen oder Gebrauch eines Aufenthaltstitels (Visum)                                            1          1           1          1        1          1       100,0       100,0 725312        Aufenthaltstitels (Visum) durch sonstigen Modus Operandi                                              1          1           1          1        1          1       100,0       100,0 725320        Erschleichen oder Gebrauch eines Aufenthaltstitels (Aufenthaltserlaubnis)                             1          1           1          1        1          1       100,0       100,0 725321        Aufenthaltstitels (Aufenthaltserlaubnis) durch Scheinehe                                              1          1           1          1        1          1       100,0       100,0 725500        Straftaten gegen §§ 84, 85 Asylgesetz                                                                 8          4           7          3        8          4       100,0       100,0 725520        Straftaten gegen § 85 Asylgesetz                                                                      8          4           7          3        8          4       100,0       100,0 725700        Unerl. Aufenthalt gem. § 95 Abs. 1 Nr. 1, 2 und Abs. 2 Nr. 1b Aufenthaltsgesetz                      29         14          24         12       29         14       100,0       100,0 725710        Unerl. Aufenthalt gemäß § 95 Abs. 1 Nr. 1 und 2 AufenthG                                             28         13          23         11       28         13       100,0       100,0 725720        Unerlaubter Aufenthalt nach Ausweisung/Abschiebung                                                    1          1           1          1        1          1       100,0       100,0 725900        Sonstige Verstöße gg. das Aufenthaltsgesetz                                                          28         27          23         22       28         28       100,0       103,7
88

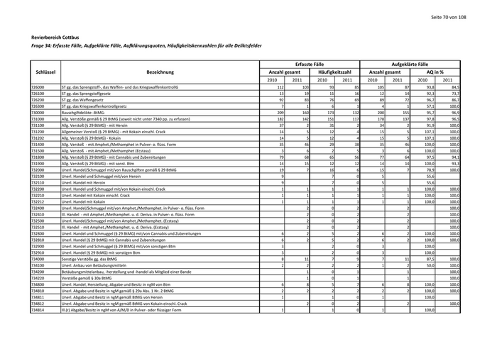
Seite 70 von 108 Revierbereich Cottbus Frage 34: Erfasste Fälle, Aufgeklärte Fälle, Aufklärungsquoten, Häufigkeitskennzahlen für alle Deliktsfelder Erfasste Fälle                            Aufgeklärte Fälle Schlüssel                                                    Bezeichnung                                    Anzahl gesamt         Häufigkeitszahl      Anzahl gesamt             AQ in % 2010       2011        2010       2011     2010       2011        2010        2011 726000        ST gg. das Sprengstoff-, das Waffen- und das KriegswaffenkontrollG                                  112        103          93         85      105         87        93,8        84,5 726100        ST gg. das Sprengstoffgesetz                                                                         13         19          11         16       12         14        92,3        73,7 726200        ST gg. das Waffengesetz                                                                              92         83          76         69       89         72        96,7        86,7 726300        ST gg. das Kriegswaffenkontrollgesetz                                                                 7          1           6          1        4          1        57,1       100,0 730000        Rauschgiftdelikte -BtMG-                                                                            209        160         173        132      200        155        95,7        96,9 731000        Allg. Verstöße gemäß § 29 BtMG (soweit nicht unter 7340 pp. zu erfassen)                            182        142         151        117      178        137        97,8        96,5 731100        Allg. Verstoß (§ 29 BtMG) - mit Heroin                                                               37          2          31          2       34          2        91,9       100,0 731200        Allgemeiner Verstoß (§ 29 BtMG) - mit Kokain einschl. Crack                                          14          5          12          4       15          5       107,1       100,0 731202        Allg. Verstoß (§ 29 BtMG) - Kokain                                                                   14          5          12          4       15          5       107,1       100,0 731400        Allg. Verstoß - mit Amphet./Methamphet in Pulver- o. flüss. Form                                     35         46          29         38       35         46       100,0       100,0 731500        Allg. Verstoß - mit Amphet./Methamphet (Ecstasy)                                                      3          6           2          5        3          6       100,0       100,0 731800        Allg. Verstoß (§ 29 BtMG) - mit Cannabis und Zubereitungen                                           79         68          65         56       77         64        97,5        94,1 731900        Allg. Verstoß (§ 29 BtMG) - mit sonst. Btm                                                           14         15          12         12       14         14       100,0        93,3 732000        Unerl. Handel/Schmuggel mit/von Rauschgiften gemäß § 29 BtMG                                         19          7          16          6       15          7        78,9       100,0 732100        Unerl. Handel und Schmuggel mit/von Heroin                                                            9                      7          0        5                   55,6 732110        Unerl. Handel mit Heroin                                                                              9                      7          0        5                   55,6 732200        Unerl. Handel und Schmuggel mit/von Kokain einschl. Crack                                             1          1           1          1        1          1       100,0       100,0 732210        Unerl. Handel mit Kokain einschl. Crack                                                               1          1           1          1        1          1       100,0       100,0 732212        Unerl. Handel mit Kokain                                                                              1          1           1          1        1          1       100,0       100,0 732400        Unerl. Handel/Schmuggel mit/von Amphet./Methamphet. in Pulver- o. flüss. Form                                    2           0          2                   2                   100,0 732410        Ill. Handel - mit Amphet./Methamphet. u. d. Deriva. in Pulver- o. flüss. Form                                    2           0          2                   2                   100,0 732500        Unerl. Handel/Schmuggel mit/von Amphet./Methamphet. (Ecstasy)                                                    2           0          2                   2                   100,0 732510        Ill. Handel - mit Amphet./Methamphet. u. d. Deriva. (Ecstasy)                                                    2           0          2                   2                   100,0 732800        Unerl. Handel und Schmuggel (§ 29 BtMG) mit/von Cannabis und Zubereitungen                            6          2           5          2        6          2       100,0       100,0 732810        Unerl. Handel (§ 29 BtMG) mit Cannabis und Zubereitungen                                              6          2           5          2        6          2       100,0       100,0 732900        Unerl. Handel und Schmuggel (§ 29 BtMG) mit/von sonstigen Btm                                         3                      2          0        3                  100,0 732910        Unerl. Handel (§ 29 BtMG) mit sonstigen Btm                                                           3                      2          0        3                  100,0 734000        Sonstige Verstöße gg. das BtMG                                                                        8         11           7          9        7         11        87,5       100,0 734100        Unerl. Anbau von Betäubungsmitteln                                                                    2          2           2          2        1          2        50,0       100,0 734200        Betäubungsmittelanbau, -herstellung und -handel als Mitglied einer Bande                                         1           0          1                   1                   100,0 734220        Verstöße gemäß § 30a BtMG                                                                                        1           0          1                   1                   100,0 734800        Unerl. Handel, Herstellung, Abgabe und Besitz in ngM von Btm                                          6          8           5          7        6          8       100,0       100,0 734810        Unerl. Abgabe und Besitz in ngM gemäß § 29a Abs. 1 Nr. 2 BtMG                                         2          2           2          2        2          2       100,0       100,0 734811        Unerl. Abgabe und Besitz in ngM gemäß BtMG von Heroin                                                 1                      1          0        1                  100,0 734812        Unerl. Abgabe und Besitz in ngM gemäß BtMG von Kokain einschl. Crack                                             2           0          2                   2                   100,0 734814        Ill.(r) Abgabe/Besitz in ngM von A/M/D in Pulver- oder flüssiger Form                                 1                      1          0        1                  100,0
89

Seite 71 von 108 Revierbereich Cottbus Frage 34: Erfasste Fälle, Aufgeklärte Fälle, Aufklärungsquoten, Häufigkeitskennzahlen für alle Deliktsfelder Erfasste Fälle                            Aufgeklärte Fälle Schlüssel                                                       Bezeichnung                                 Anzahl gesamt         Häufigkeitszahl      Anzahl gesamt             AQ in % 2010       2011        2010       2011     2010       2011        2010         2011 734820        Unerl. Handel in ngM gemäß § 29a Abs. 1 Nr. 2 BtMG                                                    4          5            3         4        4          5       100,0        100,0 734821        Unerl. Handel in ngM von Heroin                                                                                  1            0         1                   1                    100,0 734822        Unerl. Handel in ngM von Kokain einschl. Crack                                                        3          2            2         2        3          2       100,0        100,0 734824        Ill. Handel in ngM von A/M/D in Pulver- oder flüssiger Form                                                      2            0         2                   2                    100,0 734828        Unerl. Handel in ngM von Cannabis und Zubereitungen                                                   1                       1         0        1                  100,0 734840        Unerl. Herstellung in ngM                                                                                        1            0         1                   1                    100,0 734848        Unerl. Herstellung in ngM von Cannabis und Zubereitungen                                                         1            0         1                   1                    100,0 740000        Straft. gg. strafrechtl. Nebenges. auf dem Umwelt- und Verbraucherschutzsektor                        7          4            6         3        3          2        42,9         50,0 743000        ST nach dem Bundesnaturschutz-, Tierschutz-, Bundesjagd- und PflanzenschutzG                          7          4            6         3        3          2        42,9         50,0 743020        Tierschutzgesetz                                                                                      7          4            6         3        3          2        42,9         50,0 890000        ST insgesamt, o. Verst. g. Aufenth.-, Asyl- u. FreizügigkeitsG/EU                                10.329     10.114        8.544     8.355    4.979      4.561        48,2         45,1 891000        Rauschgiftkriminalität                                                                              216        163          179       135      205        158        94,9         96,9 891100        direkte Beschaffungskriminalität                                                                      7          3            6         2        5          3        71,4        100,0 892000        Gewaltkriminalität                                                                                  333        316          275       261      243        223        73,0         70,6 892500        Mord und Totschlag                                                                                    2                       2         0        2                  100,0 893000        Wirtschaftskriminalität und zwar:                                                                   163        298          135       246      159        284        97,5         95,3 893100        Wikri bei Betrug                                                                                     27        139           22       115       24        129        88,9         92,8 893200        Wikri - Insolvenzstraftaten gemäß StGB und Nebenstrafrecht                                           30         23           25        19       30         22       100,0         95,7 893300        Wikri - im Anlage- und Finanzierungsbereich pp.                                                      13          5           11         4       12          4        92,3         80,0 893400        Wikri - Wettbewerbsdelikte                                                                           10         51            8        42       10         50       100,0         98,0 893500        Wikri - i.Z.m. Arbeitsverhältnissen                                                                  78         60           65        50       78         60       100,0        100,0 893600        Wikri - Betrug und Untreue i.Z.m. Beteiligungen und Kapitalanlagen                                    3          3            2         2        3          2       100,0         66,7 894000        KFZ-Kriminalität                                                                                  1.142      1.302          945     1.076      171        139        15,0         10,7 896000        ST gegen Bestimmungen zum Schutze der Jugend                                                          5                       4         0        3                   60,0 897000        Computerkriminalität                                                                                132         83          109        69       48         24        36,4         28,9 898000        Straftaten insgesamt auf dem Umwelt- und Verbraucherschutzsektor                                     40         29           33        24       30          9        75,0         31,0 898100        Umweltstraftaten gemäß 29. Abschnitt des StGB                                                         8          8            7         7        6          3        75,0         37,5 898200        Sonstige Straftaten nach dem StGB mit Umweltrelevanz                                                 10         14            8        12        7          1        70,0          7,1 898300        Straftaten auf dem Umwelt- und Verbraucherschutzsektor gem. strafr. Nebengesetze                     22          7           18         6       17          5        77,3         71,4 899000        Straßenkriminalität                                                                               2.559      2.563        2.117     2.117      383        358        15,0         14,0 899100        Straßenraub                                                                                          48         75           40        62       23         28        47,9         37,3 899200        Straßendiebstahl                                                                                  1.646      1.786        1.362     1.475      141        102          8,6         5,7 899500        Sachbeschädigung durch Graffiti insgesamt                                                           546        438          452       362       29        114          5,3        26,0
90

Zur nächsten Seite