Polizeistrukturreform - Polizeirevier Cottbus

/ 402
PDF herunterladen
Seite 72 von 108 Revierbereich Cottbus Frage 34: Erfasste Fälle, Aufgeklärte Fälle, Aufklärungsquoten, Häufigkeitskennzahlen für alle Deliktsfelder Erfasste Fälle                            Aufgeklärte Fälle Schlüssel                                                    Bezeichnung                                  Anzahl gesamt         Häufigkeitszahl      Anzahl gesamt             AQ in % 2012       2013        2012       2013     2012       2013        2012         2013 ------        Straftaten insgesamt                                                                             10.724     10.801        8.868     9.119    5.245      5.425        48,9         50,2 000000        ST gg. das Leben                                                                                      4          2            3         2        4          2       100,0        100,0 010000        Mord                                                                                                  1          1            1         1        1          1       100,0        100,0 010079        Sonstiger Mord                                                                                                   1            0         1                   1                    100,0 011000        Mord i.Z.m. Raubdelikten                                                                              1                       1         0        1                  100,0 020000        Totschlag und Tötung auf Verlangen                                                                    2          1            2         1        2          1       100,0        100,0 020010        Totschlag                                                                                             2          1            2         1        2          1       100,0        100,0 030000        Fahrlässige Tötung - nicht i.V.m. Verkehrsunfall -                                                    1                       1         0        1                  100,0 100000        ST gg. die sex. Selbstbestimmung                                                                     75         89           62        75       56         74        74,7         83,1 110000        unter Gewaltanw. o. Ausnutzen e. Abhängigkeitsverh.                                                  23         27           19        23       19         25        82,6         92,6 111000        Vergewaltigung und sex. Nötigung                                                                     15         19           12        16       11         18        73,3         94,7 111100        Vergewalt./sex. Nötigung überfallartig (Einzeltäter)                                                             2            0         2                   2                    100,0 111200        Vergewalt./sex. Nötigung überfallartig (durch Gruppen)                                                1                       1         0                              0,0 111300        Vergewalt./sex. Nötigung durch Gruppen                                                                2                       2         0                              0,0 111400        Sonstige Straftaten gemäß § 177 Abs. 2 Nr. 1, Abs. 3 und 4 StGB                                      12         17           10        14       11         16        91,7         94,1 112000        Sonstige sex. Nötigung                                                                                8          6            7         5        8          5       100,0         83,3 113000        Sex. Missbr. v. Schutzbef. pp., u. Ausnutzung e. Amtsst. o.e. Vertrauensverh.                                    2            0         2                   2                    100,0 113010        Sex. Missbr. von Schutzbefohlenen ab 14 Jahren                                                                   2            0         2                   2                    100,0 130000        Sexueller Missbrauch                                                                                 36         50           30        42       23         37        63,9         74,0 131000        Sex. Missbr. von Kindern                                                                             25         23           21        19       20         19        80,0         82,6 131010        Handlungen gemäß § 176 Abs. 5 StGB                                                                    1          1            1         1                   1          0,0       100,0 131100        Sexuelle Handlungen gemäß § 176 Abs. 1 und 2 StGB                                                    13          6           11         5        9          6        69,2        100,0 131200        Exhibitionistische/sex. Handlungen vor Kindern                                                        2          6            2         5        2          3       100,0         50,0 131300        sex. Handlungen gemäß § 176 Abs. 4 Nr. 2 StGB                                                         1          4            1         3        1          3       100,0         75,0 131400        Einwirken auf Kinder                                                                                  5          1            4         1        5          1       100,0        100,0 131500        Vollzug des Beischlafs mit einem Kind oder Vornahme einer ähnl. sex. Handlung                         2          3            2         3        2          3       100,0        100,0 131700        Sonstiger schwerer sex. Missbr. von Kindern                                                           1          2            1         2        1          2       100,0        100,0 132000        Exhibitionistische Handlungen und Erregung öffentlichen Ärgernisses                                   9         19            7        16        1         11        11,1         57,9 132010        Exhibitionistische Handlungen                                                                         6         17            5        14        1          9        16,7         52,9 132020        Erregung öffentlichen Ärgernisses                                                                     3          2            2         2                   2          0,0       100,0 133000        Sex. Missbr. von Jugendlichen                                                                         2          5            2         4        2          5       100,0        100,0 134000        Sex. Missbr. Widerstandsunfähiger                                                                                3            0         3                   2                     66,7 140000        Ausnutzen sexueller Neigung                                                                          16         12           13        10       14         12        87,5        100,0 141000        Förderung sex. Handl. Minderj. oder Ausbeuten von Prostituierten                                      1                       1         0        1                  100,0 141100        Förderung sex.r Handlungen Minderjähriger                                                             1                       1         0        1                  100,0 142000        Zuhälterei                                                                                                       1            0         1                   1                    100,0
91

Seite 73 von 108 Revierbereich Cottbus Frage 34: Erfasste Fälle, Aufgeklärte Fälle, Aufklärungsquoten, Häufigkeitskennzahlen für alle Deliktsfelder Erfasste Fälle                            Aufgeklärte Fälle Schlüssel                                                     Bezeichnung                                   Anzahl gesamt         Häufigkeitszahl      Anzahl gesamt             AQ in % 2012       2013        2012       2013     2012       2013        2012         2013 143000        Verbreitung pornographischer Schriften (Erzeugnisse)                                                 15         11          12          9       13         11        86,7        100,0 143010        Sonstige Verbreitung pornograph. Schriften (Erzeugnisse)                                              2          4           2          3        1          4        50,0        100,0 143020        Verbreitung gewalt- oder tierpornographischer Schriften                                               1                      1          0        1                  100,0 143100        Verbr. pornogr. Schriften (Erzeugnisse) an Personen unter 18 Jahren                                   1                      1          0        1                  100,0 143200        Verbreitung, Erwerb, Besitz und Herstellung kinderpornographischer Schriften                          1                      1          0        1                  100,0 143300        Besitz/Verschaffung von Kinderpornographie                                                            8          3           7          3        8          3       100,0        100,0 143400        Verbreitung von Kinderpornographie                                                                    2          2           2          2        1          2        50,0        100,0 143600        Besitz/Verschaffung von Jugendpornographie                                                                       2           0          2                   2                    100,0 200000        Rohheitsdelikte und ST gg. die persönliche Freiheit                                               1.097      1.174         907        991      885        992        80,7         84,5 210000        Raub, räuberische Erpressung und räuberischer Angriff auf Kraftfahrer                                78         64          64         54       32         38        41,0         59,4 210010        Sonstiger Raub                                                                                        3          3           2          3                   1          0,0        33,3 210020        Sonstiger schwerer Raub                                                                                          1           0          1                   1                    100,0 210040        Räuberischer Diebstahl                                                                               11         12           9         10        8          9        72,7         75,0 210050        Sonstige räuberische Erpressung                                                                       6          4           5          3        4          3        66,7         75,0 211000        Raub, räub. Erpressung auf Geldinstitute, Postfilialen und -agenturen                                 2          1           2          1        1                   50,0          0,0 211100        Raubüberfälle auf Geldinstitute (Banken/Sparkassen)                                                   2                      2          0        1                   50,0 211150        Räuberische Erpressung gg. Geldinstitute (Banken/Sparkassen)                                          2                      2          0        1                   50,0 211200        Raub auf Postfilialen und -agenturen                                                                             1           0          1                                          0,0 211220        Schwerer Raub auf Postfilialen und -agenturen                                                                    1           0          1                                          0,0 212000        Raubüberfälle auf sonstige Zahlstellen und Geschäfte                                                  7          2           6          2        2          1        28,6         50,0 212010        Raub auf sonstige Zahlstellen oder Geschäfte                                                                                 0          0 212020        Schwerer Raub auf sonstige Zahlstellen oder Geschäfte                                                 1                      1          0                              0,0 212050        Räub. Erpressung gg. sonstige Zahlstellen oder Geschäfte                                              2                      2          0        1                   50,0 212100        Raubüberfälle auf Spielhallen                                                                         2          2           2          2        1          1        50,0         50,0 212110        Raub auf Spielhallen                                                                                             1           0          1                                          0,0 212120        Schwerer Raub auf Spielhallen                                                                                    1           0          1                   1                    100,0 212150        Räuberische Erpressung gg. Spielhallen                                                                2                      2          0        1                   50,0 212200        Raubüberfälle auf Tankstellen                                                                         2                      2          0                              0,0 212250        Räub. Erpressung gg. Tankstellen                                                                      2                      2          0                              0,0 214000        Räuberischer Angriff auf Kraftfahrer                                                                             1           0          1                                          0,0 214100        Beraubung von Taxifahrern                                                                                        1           0          1                                          0,0 216000        Handtaschenraub                                                                                      11          7           9          6        3                   27,3          0,0 216010        Handtaschenraub gemäß § 249 StGB                                                                     10          6           8          5        3                   30,0          0,0 216020        Handtaschenraub gemäß § 250 StGB                                                                      1          1           1          1                              0,0         0,0 217000        Sonstige Raubüberfälle auf Straßen, Wegen oder Plätzen                                               25         20          21         17        8         10        32,0         50,0 217010        Sonst. Raub auf Straßen/Wegen/Plätzen                                                                13          8          11          7        2          4        15,4         50,0
92

Seite 74 von 108 Revierbereich Cottbus Frage 34: Erfasste Fälle, Aufgeklärte Fälle, Aufklärungsquoten, Häufigkeitskennzahlen für alle Deliktsfelder Erfasste Fälle                            Aufgeklärte Fälle Schlüssel                                                     Bezeichnung                                   Anzahl gesamt         Häufigkeitszahl      Anzahl gesamt             AQ in % 2012       2013        2012       2013     2012       2013        2012        2013 217020        Sonst. schw. Raub auf Straßen/Wegen/Plätzen                                                           3          4            2         3        2          3        66,7        75,0 217050        Sonst. räub. Erpressung auf Straßen/Wegen/Plätzen                                                     9          8            7         7        4          3        44,4        37,5 218000        Raub zur Erlangung von Betäubungsmitteln                                                                         1            0         1                   1                   100,0 218010        Raub zur Erlangung von Btm gemäß § 249 StGB                                                                      1            0         1                   1                   100,0 219000        Raubüberfälle in Wohnungen                                                                           13         12           11        10        6         12        46,2       100,0 219010        Raub in Wohnungen                                                                                     6          4            5         3        3          4        50,0       100,0 219020        Schwerer Raub in Wohnungen                                                                            2          2            2         2        1          2        50,0       100,0 219050        Räub. Erpressung in Wohnungen                                                                         5          6            4         5        2          6        40,0       100,0 220000        Körperverletzung                                                                                    690        710          571       599      560        605        81,2        85,2 222000        Gefährliche und schwere Körperverletzung                                                            190        197          157       166      139        149        73,2        75,6 222010        Sonst. Tatörtlichkeit bei gefährl. Körperverletzung                                                 109        108           90        91       91         87        83,5        80,6 222020        Sonst. Tatörtlichkeit bei schw. Körperverletzung                                                                 2            0         2                   1                    50,0 222100        Gefährliche und schwere Körperverletzung auf Straßen, Wegen oder Plätzen                             81         87           67        73       48         61        59,3        70,1 222110        Gefährl. Körperverletzung gemäß § 224 StGB                                                           81         85           67        72       48         59        59,3        69,4 222120        Schwere Körperverletzung                                                                                         2            0         2                   2                   100,0 223000        Misshandlung von Schutzbefohlenen                                                                     6         11            5         9        7         11       116,7       100,0 223001        Misshandlung Schutzbefohlener ab 14 Jahren                                                                       4            0         3        1          4                   100,0 223100        Misshandlung von Kindern                                                                              6          7            5         6        6          7       100,0       100,0 224000        Vorsätzliche einfache Körperverletzung § 223 StGB                                                   468        471          387       398      398        419        85,0        89,0 225000        Fahrlässige Körperverletzung                                                                         26         31           21        26       16         26        61,5        83,9 230000        ST gg. die persönliche Freiheit                                                                     329        400          272       338      293        349        89,1        87,3 231000        Menschenraub, Entziehung Minderjähriger, Kinderhandel                                                 7          3            6         3        7          3       100,0       100,0 231200        Entziehung Minderjähriger                                                                             7          3            6         3        7          3       100,0       100,0 232000        Freiheitsber., Nötigung, Bedrohung, Zwangsheirat, Nachstellung (Stalking)                           321        397          265       335      285        346        88,8        87,2 232100        Freiheitsberaubung                                                                                    6          6            5         5        6          5       100,0        83,3 232200        Nötigung                                                                                             92        122           76       103       73         98        79,3        80,3 232201        Nötigung im Straßenverkehr                                                                           30         27           25        23       26         24        86,7        88,9 232279        Sonstige Nötigung                                                                                    62         95           51        80       47         74        75,8        77,9 232300        Bedrohung                                                                                           171        189          141       160      159        175        93,0        92,6 232400        Nachstellung                                                                                         52         80           43        68       47         68        90,4        85,0 232410        Nachstellung - z.B. räumliche Nähe -                                                                 52         79           43        67       47         67        90,4        84,8 232420        Nachstellung - z.B. Gesundheitsbeeinträchtigung -                                                                1            0         1                   1                   100,0 233000        Erpress. Menschenraub                                                                                 1                       1         0        1                  100,0 233079        Sonstiger Erpress. Menschenraub                                                                       1                       1         0        1                  100,0 3*****        Diebstahl ohne erschwerende Umstände                                                              1.852      1.832        1.531     1.547      904        849        48,8        46,3 3**100        EDS insg. von Kraftwagen einschl. unbefugter Gebrauch                                                19          9           16         8       12          6        63,2        66,7
93

Seite 75 von 108 Revierbereich Cottbus Frage 34: Erfasste Fälle, Aufgeklärte Fälle, Aufklärungsquoten, Häufigkeitskennzahlen für alle Deliktsfelder Erfasste Fälle                            Aufgeklärte Fälle Schlüssel                                                    Bezeichnung                                    Anzahl gesamt         Häufigkeitszahl      Anzahl gesamt             AQ in % 2012       2013        2012       2013     2012       2013        2012         2013 3**200        EDS insg. von Moped/Krad einschl. unbefugter Gebrauch                                                 2          1           2          1        1          1        50,0        100,0 3**300        EDS insg. von Fahrrad einschl. unbefugter Gebrauch                                                   62         85          51         72       16         30        25,8         35,3 3**500        EDS insg. von unbaren Zahlungsmitteln                                                                14         25          12         21        1          9          7,1        36,0 3**700        EDS insg. von/aus Automaten                                                                           2                      2          0        1                   50,0 3**800        EDS insg. von Antiquitäten, Kunst- und sakralen Gegenständen                                          1                      1          0                              0,0 300000        EDS - Sonstiger                                                                                     454        488         375        412      109        135        24,0         27,7 300010        EDS - Sonstiger gem. 242, 247, 248a StGB                                                            448        484         370        409      105        132        23,4         27,3 300040        EDS - Unbefugter Gebrauch eines sonst. Fahrzeuges                                                     2          2           2          2        1          1        50,0         50,0 300050        EDS - Entziehung elektrischer Energie                                                                 4          2           3          2        3          2        75,0        100,0 300100        EDS von Kraftwagen einschl. unbefugter Ingebrauchnahme                                               19          7          16          6       12          5        63,2         71,4 300110        EDS - Diebstahl von Kraftwagen                                                                       12          4          10          3        6          2        50,0         50,0 300140        EDS - Unbefugter Gebrauch von Kraftwagen                                                              7          3           6          3        6          3        85,7        100,0 300200        EDS von Mopeds und Krafträdern einschl. unbefugter Ingebrauchnahme                                    2          1           2          1        1          1        50,0        100,0 300210        EDS - von Moped/Krad                                                                                  2                      2          0        1                   50,0 300240        EDS - Unbefugter Gebrauch von Moped/Krad                                                                         1           0          1                   1                    100,0 300300        EDS von Fahrrädern einschl. unbefugter Ingebrauchnahme                                               51         70          42         59       14         27        27,5         38,6 300310        EDS - von Fahrrad                                                                                    42         67          35         57       11         26        26,2         38,8 300340        EDS - Unbefugter Gebrauch von Fahrrad                                                                 9          3           7          3        3          1        33,3         33,3 300500        EDS von unbaren Zahlungsmitteln                                                                       7          8           6          7                   2          0,0        25,0 300700        EDS von/aus Automaten                                                                                 1                      1          0        1                  100,0 300800        EDS von Antiquitäten, Kunst- und sakralen Gegenständen                                                1                      1          0                              0,0 301*00        EDS in/aus Gärten, Gartenanlagen, Gartenkolonien                                                     17         13          14         11        1          1          5,9         7,7 301000        Sonstiger EDS in/aus Gärten, Gartenanlagen, Gartenkolonien                                           15         13          12         11                   1          0,0         7,7 301010        Sonstiger EDS in/aus Gärten, Gartenanlagen, Gartenkolonien                                           15         13          12         11                   1          0,0         7,7 301300        EDS von Fahrrad in/aus Gärten, Gartenanlagen, Gartenkolonien                                          2                      2          0        1                   50,0 301310        EDS von Fahrrad in/aus Gärten, Gartenanlagen, Gartenkolonien                                          2                      2          0        1                   50,0 302*00        EDS in/aus Bungalow, Gartenlauben                                                                     6                      5          0                              0,0 302000        Sonstiger EDS in/aus Bungalow, Gartenlauben                                                           6                      5          0                              0,0 302010        Sonstiger EDS in/aus Bungalow, Gartenlauben                                                           6                      5          0                              0,0 303*00        EDS in/aus Bungalow, Gartenlauben, Gärten, Gartenanlagen, Gartenkolonien                             23         13          19         11        1          1          4,3         7,7 304*00        EDS in/aus Garagen, Carports                                                                          3          6           2          5        2          1        66,7         16,7 304000        Sonstiger "einfacher" Diebstahl in/aus Garagen, Carports                                              2          2           2          2        1          1        50,0         50,0 304010        Sonstiger "einfacher" Diebstahl in/aus Garagen, Carports                                              2          2           2          2        1          1        50,0         50,0 304100        EDS von Kraftwagen in/aus Garagen, Carports                                                                                  0          0        1 304110        EDS von Kraftwagen in/aus Garagen, Carports                                                                                  0          0        1 304200        EDS von Moped/Krad in/aus Garagen, Carports                                                           1                      1          0                              0,0
94

Seite 76 von 108 Revierbereich Cottbus Frage 34: Erfasste Fälle, Aufgeklärte Fälle, Aufklärungsquoten, Häufigkeitskennzahlen für alle Deliktsfelder Erfasste Fälle                            Aufgeklärte Fälle Schlüssel                                                     Bezeichnung                                   Anzahl gesamt         Häufigkeitszahl      Anzahl gesamt             AQ in % 2012       2013        2012       2013     2012       2013        2012         2013 304210        EDS von Moped/Krad in/aus Garagen, Carports                                                           1                      1          0                              0,0 304300        EDS von Fahrrad in/aus Garagen, Carports                                                                         4           0          3                                          0,0 304310        EDS von Fahrrad in/aus Garagen, Carports                                                                         4           0          3                                          0,0 305*00        EDS insg. in/aus Banken, Sparkassen, Postfilialen und -agenturen und dgl.                             2          1           2          1        1                   50,0          0,0 305000        EDS - in/aus Banken - Sonstiger                                                                       2          1           2          1        1                   50,0          0,0 310*00        EDS insg. in/aus Dienst-, Büro-, Fabrikations-, Werkstatt- und Lagerräumen                           96         97          79         82       25         26        26,0         26,8 310000        EDS - in/aus Dienst-/Büror. - Sonstiger                                                              93         93          77         79       24         23        25,8         24,7 310100        EDS - in/aus Dienst-/Büror. - von Kraftwagen                                                                     1           0          1                   1                    100,0 310300        EDS - in/aus Dienst-/Büror. - von Fahrrädern                                                          1                      1          0                              0,0 310500        EDS - in/aus Dienst-/Büror. - von unbaren Zahlungsmitteln                                             1          3           1          3        1          2       100,0         66,7 310700        EDS - in/aus Dienst-/Büror. - von/aus Automaten                                                       1                      1          0                              0,0 315*00        EDS insg. in/aus Gaststätten, Kantinen, Hotels und Pensionen                                         47         44          39         37       12          6        25,5         13,6 315000        EDS - in/aus Gaststätten - Sonstiger                                                                 46         44          38         37       12          6        26,1         13,6 315500        EDS - in/aus Gaststätten - von unb. Zahlungsmitteln                                                   1                      1          0                              0,0 325*00        EDS insg. in/aus Kiosken, Warenhäusern, Verkaufsräumen                                              748        694         619        586      658        573        88,0         82,6 325000        EDS - in/aus Warenhäusern - Sonstiger                                                                43         69          36         58        7         11        16,3         15,9 325500        EDS - in/aus Warenhäusern - von unbaren ZM                                                                       4           0          3                                          0,0 326*00        EDS insg. - Ladendiebstahl                                                                          705        621         583        524      651        562        92,3         90,5 326000        EDS - Ladendiebstahl - Sonstiger                                                                    704        620         582        523      650        561        92,3         90,5 326300        EDS - Ladendiebstahl von Fahrrädern                                                                   1          1           1          1        1          1       100,0        100,0 335*00        EDS insg. in/aus Wohnungen                                                                           49         57          41         48       30         46        61,2         80,7 335000        EDS - in/aus Wohnungen - Sonstiger                                                                   47         53          39         45       30         42        63,8         79,2 335500        EDS - in/aus Wohnungen - von unbaren Zahlungsmitteln                                                  2          4           2          3                   4          0,0       100,0 340*00        EDS insg. in/aus Boden-/Kellerräumen, Waschküchen                                                    23         32          19         27        2          8          8,7        25,0 340000        EDS - in/aus Boden-/Kellerräumen - Sonstiger                                                         14         18          12         15        1          6          7,1        33,3 340300        EDS - in/aus Boden-/Kellerräumen - von Fahrrad                                                        9         14           7         12        1          2        11,1         14,3 345*00        EDS insg. in/aus Baubuden und Baustellen                                                             19         16          16         14        2          3        10,5         18,8 345000        EDS - in/aus Baubuden/Baustellen - Sonstiger                                                         19         15          16         13        2          3        10,5         20,0 345100         EDS - in/aus Baubuden/Baustellen - von Kraftwagen                                                               1           0          1                                          0,0 350*00        EDS insg. an/aus Kfz                                                                                271        241         224        203       36         13        13,3          5,4 350000        EDS an/aus Kfz von sonstigem Gut                                                                    271        240         224        203       36         13        13,3          5,4 350500        EDS - aus Kfz von unbaren ZM                                                                                     1           0          1                                          0,0 356000        EDS an Fahrrad - Sonstiger                                                                           31         42          26         35        1          5          3,2        11,9 360000        EDS von/in/aus sonstigen Wasserfahrzeugen                                                             3                      2          0                              0,0 361000        EDS von Motorboot                                                                                     1                      1          0                              0,0 363000        EDS von Ruderboot                                                                                     1                      1          0                              0,0
95

Seite 77 von 108 Revierbereich Cottbus Frage 34: Erfasste Fälle, Aufgeklärte Fälle, Aufklärungsquoten, Häufigkeitskennzahlen für alle Deliktsfelder Erfasste Fälle                            Aufgeklärte Fälle Schlüssel                                                   Bezeichnung                                     Anzahl gesamt         Häufigkeitszahl      Anzahl gesamt             AQ in % 2012       2013        2012       2013     2012       2013        2012         2013 385000        EDS auf Friedhöfen und Grabstätten                                                                    4          2            3         2                              0,0         0,0 386*00        EDS auf Campingplätzen- und Raststätten                                                                          2            0         2                                          0,0 386000        EDS auf Campingplätzen- und Raststätten - Sonstiger                                                              1            0         1                                          0,0 386300        EDS von Fahrrädern auf Campingplätzen- und Raststätten                                                           1            0         1                                          0,0 390*00        EDS insg. - Taschendiebstahl                                                                         62         76           51        64        1          4          1,6         5,3 390000        EDS - Taschendiebstahl - Sonstiger                                                                   59         71           49        60        1          3          1,7         4,2 390500        EDS - Taschendiebstahl von unbaren ZM                                                                 3          5            2         4                   1          0,0        20,0 4*****        Diebstahl unter erschwerenden Umständen                                                           3.186      3.130        2.635     2.643      509        485        16,0         15,5 4**100        BSD insg. von Kraftwagen                                                                            183        177          151       149       45         46        24,6         26,0 4**200        BSD insg. von Moped/Krad                                                                             57         41           47        35        7          5        12,3         12,2 4**300        BSD insg. von Fahrrad                                                                             1.560      1.614        1.290     1.363       74        144          4,7         8,9 4**400        BSD insg. von Schusswaffen                                                                            1                       1         0                              0,0 4**500        BSD insg. von unbaren Zahlungsmitteln                                                                 1          2            1         2                              0,0         0,0 4**700        BSD insg. von/aus Automaten                                                                          37         16           31        14       20          1        54,1          6,3 4**800        BSD insg. von Antiquitäten, Kunst- und sakralen Gegenständen                                                     1            0         1                                          0,0 400000        Schwerer Diebstahl - Sonstiger                                                                      402        375          332       317       83         76        20,6         20,3 400010        BSD - Sonstiger                                                                                     400        372          331       314       81         74        20,3         19,9 400020        Sonstiger schwerer Diebstahl (ohne WED)                                                               2          3            2         3        2          2       100,0         66,7 400100        Schwerer Diebstahl von Kraftwagen                                                                   171        174          141       147       43         42        25,1         24,1 400110        BSD - von Kraftwagen                                                                                169        160          140       135       41         25        24,3         15,6 400120        SDS - von Kraftwagen                                                                                  2         14            2        12        2         17       100,0        121,4 400200        Schwerer Diebstahl von Mopeds und Krafträdern                                                        56         41           46        35        7          4        12,5          9,8 400210        BSD - von Moped/Krad                                                                                 56         41           46        35        7          4        12,5          9,8 400300        Schwerer Diebstahl von Fahrrädern                                                                 1.283      1.194        1.061     1.008       60        108          4,7         9,0 400310        BSD - von Fahrrad                                                                                 1.283      1.168        1.061       986       60         82          4,7         7,0 400320        SDS - von Fahrrad                                                                                               26            0        22                  26                    100,0 400500        Schwerer Diebstahl von unbaren Zahlungsmitteln                                                                   1            0         1                                          0,0 400510        BSD - von unbaren ZM                                                                                             1            0         1                                          0,0 400700        Schwerer Diebstahl von/aus Automaten                                                                 26         12           21        10       17          1        65,4          8,3 400710        BSD - von/aus Automaten                                                                              10         12            8        10        1          1        10,0          8,3 400720        SDS - von/aus Automaten                                                                              16                      13         0       16                  100,0 400800        Schwerer Diebstahl von Antiquitäten, Kunst- und sakralen Gegenständen                                            1            0         1                                          0,0 400810        BSD - von Antiquität                                                                                             1            0         1                                          0,0 401*00        Diebst. unter erschw. Umst. in/aus Gärten, Gartenanlagen, Gartenkolonien                             60         51           50        43        7          5        11,7          9,8 401000        Sonstiger Diebst. unter erschw. Umst. in/aus Gärten, Gartenanl., Gartenkolonien                      55         34           45        29        7          5        12,7         14,7 401010        Sonstiger BSD in/aus Gärten, Gartenanlagen, Gartenkolonien                                           55         34           45        29        7          5        12,7         14,7
96

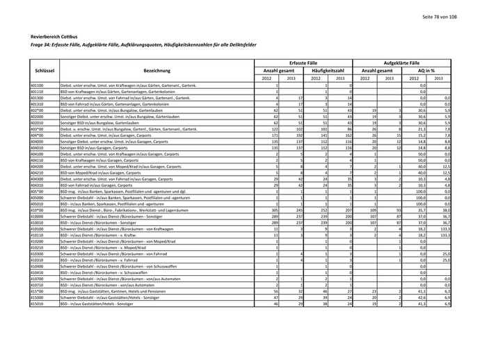
Seite 78 von 108 Revierbereich Cottbus Frage 34: Erfasste Fälle, Aufgeklärte Fälle, Aufklärungsquoten, Häufigkeitskennzahlen für alle Deliktsfelder Erfasste Fälle                            Aufgeklärte Fälle Schlüssel                                                    Bezeichnung                                    Anzahl gesamt         Häufigkeitszahl      Anzahl gesamt             AQ in % 2012       2013        2012       2013     2012       2013        2012         2013 401100        Diebst. unter erschw. Umst. von Kraftwagen in/aus Gärten, Gartenanl., Gartenk.                        1                      1          0                              0,0 401110        BSD von Kraftwagen in/aus Gärten, Gartenanlagen, Gartenkolonien                                       1                      1          0                              0,0 401300        Diebst. unter erschw. Umst. von Fahrrad in/aus Gärten, Gartenanl., Gartenk.                           4         17           3         14                              0,0         0,0 401310        BSD von Fahrrad in/aus Gärten, Gartenanlagen, Gartenkolonien                                          4         17           3         14                              0,0         0,0 402*00        Diebst. unter erschw. Umst. in/aus Bungalow, Gartenlauben                                            62         51          51         43       19         3         30,6          5,9 402000        Sonstiger Diebst. unter erschw. Umst. in/aus Bungalow, Gartenlauben                                  62         51          51         43       19         3         30,6          5,9 402010        Sonstiger BSD in/aus Bungalow, Gartenlauben                                                          62         51          51         43       19         3         30,6          5,9 403*00        Diebst. u. erschw. Umst. in/aus Bungalow, Gartenl., Gärten, Gartenanl., Gartenk.                    122        102         101         86       26         8         21,3          7,8 404*00        Diebst. unter erschw. Umst. in/aus Garagen, Carports                                                171        192         141        162       26        15         15,2          7,8 404000        Sonstiger Diebst. unter erschw. Umst. in/aus Garagen, Carports                                      135        137         112        116       20        12         14,8          8,8 404010        Sonstiger BSD in/aus Garagen, Carports                                                              135        137         112        116       20        12         14,8          8,8 404100        Diebst. unter erschw. Umst. von Kraftwagen in/aus Garagen, Carports                                   2          5           2          4        1                   50,0          0,0 404110        BSD von Kraftwagen in/aus Garagen, Carports                                                           2          5           2          4        1                   50,0          0,0 404200        Diebst. unter erschw. Umst. von Moped/Krad in/aus Garagen, Carports                                   5          8           4          7        2         1         40,0         12,5 404210        BSD von Moped/Krad in/aus Garagen, Carports                                                           5          8           4          7        2         1         40,0         12,5 404300        Diebst. unter erschw. Umst. von Fahrrad in/aus Garagen, Carports                                     29         42          24         35        3         2         10,3          4,8 404310        BSD von Fahrrad in/aus Garagen, Carports                                                             29         42          24         35        3         2         10,3          4,8 405*00        BSD insg. in/aus Banken, Sparkassen, Postfilialen und -agenturen und dgl.                             1          1           1          1        1                  100,0          0,0 405000        Schwerer Diebstahl - in/aus Banken, Sparkassen, Postfilialen und -agenturen                           1          1           1          1        1                  100,0          0,0 405010        BSD - in/aus Banken, Sparkassen, Postfilialen und -agenturen                                          1          1           1          1        1                  100,0          0,0 410*00        BSD insg. in/aus Dienst-, Büro-, Fabrikations-, Werkstatt- und Lagerräumen                          305        245         252        207      109        93         35,7         38,0 410000        Schwerer Diebstahl - in/aus Dienst-/Büroräumen - Sonstiger                                          289        237         239        200      107        87         37,0         36,7 410010        BSD - in/aus Dienst-/Büroräumen - Sonstiger                                                         289        237         239        200      107        87         37,0         36,7 410100        Schwerer Diebstahl - in/aus Dienst-/Büroräumen - von Kraftwagen                                      11          3           9          3        2         4         18,2        133,3 410110        BSD - in/aus Dienst-/Büroräumen - v. Kraftw.                                                         11          3           9          3        2         4         18,2        133,3 410200        Schwerer Diebstahl - in/aus Dienst-/Büroräumen - von Moped/Krad                                       1                      1          0                  1           0,0 410210        BSD - in/aus Dienst-/Büroräumen - v. Moped/Krad                                                       1                      1          0                  1           0,0 410300        Schwerer Diebstahl - in/aus Dienst-/Büroräumen - von Fahrrad                                          1          4           1          3                  1           0,0        25,0 410310        BSD - in/aus Dienst-/Büroräumen - v. Fahrrad                                                          1          4           1          3                  1           0,0        25,0 410400        Schwerer Diebstahl - in/aus Dienst-/Büroräumen - von Schusswaffen                                     1                      1          0                              0,0 410410        BSD - in/aus Dienst-/Büroräumen - v. Schusswaffen                                                     1                      1          0                              0,0 410700        Schwerer Diebstahl - in/aus Dienst-/Büroräumen - von/aus Automaten                                    2          1           2          1                              0,0         0,0 410710        BSD - in/aus Dienst-/Büroräumen - von/aus Automaten                                                   2          1           2          1                              0,0         0,0 415*00        BSD insg. in/aus Gaststätten, Kantinen, Hotels und Pensionen                                         56         32          46         27       23         2         41,1          6,3 415000        Schwerer Diebstahl - in/aus Gaststätten/Hotels - Sonstiger                                           47         29          39         24       20         2         42,6          6,9 415010        BSD - in/aus Gaststätten/Hotels - Sonstiger                                                          46         29          38         24       19         2         41,3          6,9
97

Seite 79 von 108 Revierbereich Cottbus Frage 34: Erfasste Fälle, Aufgeklärte Fälle, Aufklärungsquoten, Häufigkeitskennzahlen für alle Deliktsfelder Erfasste Fälle                            Aufgeklärte Fälle Schlüssel                                                     Bezeichnung                                   Anzahl gesamt         Häufigkeitszahl      Anzahl gesamt             AQ in % 2012       2013        2012       2013     2012       2013        2012         2013 415020        SDS - in/aus Gaststätten/Hotels - Sonstiger                                                           1                      1          0       1                   100,0 415700        Schwerer Diebstahl - in/aus Gaststätten/Hotels - von/aus Automaten                                    9          3           7          3       3                    33,3          0,0 415710        BSD - in/aus Gaststätten/Hotels - von/aus Automaten                                                   9          3           7          3       3                    33,3          0,0 425*00        BSD insg. in/aus Kiosken, Warenhäusern, Verkaufsräumen                                              134         99         111         84      78         36         58,2         36,4 425000        Schwerer Diebstahl - in/aus Kiosken, Warenh. , Verkaufsräumen - Sonstiger                           112         81          93         68      58         19         51,8         23,5 425010        BSD - in/aus Kiosken, Warenhäusern , Verkaufsräumen - Sonstiger                                     112         80          93         68      58         18         51,8         22,5 425020        SDS - in/aus Kiosken, Warenhäusern , Verkaufsräumen - Sonstiger                                                  1           0          1                  1                     100,0 425500        Schwerer Diebstahl - in/aus Warenhäusern - unbare ZM                                                             1           0          1                                          0,0 425510        BSD - in/aus Warenhäusern - v. unbaren ZM                                                                        1           0          1                                          0,0 426*00        BSD insg. - Ladendiebstahl                                                                           22         17          18         14      20         17         90,9        100,0 426000        Schwerer Diebstahl - Laden                                                                           22         17          18         14      20         17         90,9        100,0 426010        BSD - Laden                                                                                          20         16          17         14      19         16         95,0        100,0 426020        SDS - Laden                                                                                           2          1           2          1       1          1         50,0        100,0 435*00        Wohnungseinbruchdiebstahl                                                                            86        104          71         88      22         38         25,6         36,5 435000        Wohnungseinbruchdiebstahl (ohne TWE) - sonstiger                                                     41         57          34         48      11         20         26,8         35,1 435500        Wohnungseinbruchdiebstahl - von unbaren ZM                                                            1                      1          0                              0,0 436*00        Tageswohnungseinbruchdiebstahl                                                                       44         47          36         40      11         18         25,0         38,3 436000        Tageswohnungseinbruch (TWE) - sonstiger                                                              44         47          36         40      11         18         25,0         38,3 440*00        BSD insg. in/aus Boden-, Kellerräumen, Waschküchen                                                  436        658         361        556      21         71           4,8        10,8 440000        Schwerer Diebstahl - in/aus Boden-/Kellerr. - Sonstiger                                             160        242         132        204       7         36           4,4        14,9 440010        BSD - in/aus Boden-/Kellerr. - Sonstiger                                                            160        242         132        204       7         36           4,4        14,9 440300        Schwerer Diebstahl - in/aus Boden-/Kellerr. - v. Fahrrad                                            276        416         228        351      14         35           5,1         8,4 440310        BSD - in/aus Boden-/Kellerr. - v. Fahrrad                                                           275        416         227        351      13         35           4,7         8,4 440320        SDS - in/aus Boden-/Kellerr. - v. Fahrrad                                                             1                      1          0       1                   100,0 445*00        BSD insg. in/aus Baubuden und Baustellen                                                             32         25          26         21       3          3           9,4        12,0 445000        Schwerer Diebstahl - in/aus Baustellen - Sonstiger                                                   31         25          26         21       3          3           9,7        12,0 445010        BSD - in/aus Baustellen - Sonstiger                                                                  31         25          26         21       3          3           9,7        12,0 445100        Schwerer Diebstahl - in/aus Baustellen - v. Kraftw.                                                   1                      1          0                              0,0 445110        BSD - in/aus Baustellen - v. Kraftw.                                                                  1                      1          0                              0,0 450*00        SDS insg. an/aus Kfz                                                                                197        168         163        142      42         11         21,3          6,5 450000        SDS - an/aus Kfz von sonstigem Gut                                                                  197        168         163        142      42         11         21,3          6,5 450010        BSD - an/aus Kfz von sonstigem Gut                                                                  196        168         162        142      41         11         20,9          6,5 450020        SDS - an/aus Kfz von sonstigem Gut                                                                    1                      1          0       1                   100,0 456000        Diebst. unter erschw. Umst. an Fahrrad - Sonstiger                                                   16         25          13         21       4         11         25,0         44,0 460000        Diebst. unter erschw. Umst. von/in/aus sonstigen Wasserfahrzeugen                                     2                      2          0                              0,0 467000        Diebst. unter erschw. Umst. von Bootsmotoren                                                          1                      1          0                              0,0
98

Seite 80 von 108 Revierbereich Cottbus Frage 34: Erfasste Fälle, Aufgeklärte Fälle, Aufklärungsquoten, Häufigkeitskennzahlen für alle Deliktsfelder Erfasste Fälle                            Aufgeklärte Fälle Schlüssel                                                      Bezeichnung                                  Anzahl gesamt         Häufigkeitszahl      Anzahl gesamt             AQ in % 2012       2013        2012       2013     2012       2013        2012         2013 486*00        Diebst. unter erschw. Umst. auf Campingplätzen- und Raststätten                                       2                       2         0        1                   50,0 486000        Diebst. unter erschw. Umst. auf Campingplätzen- und Raststätten - Sonstiger                           2                       2         0        1                   50,0 490*00        BSD insg. - Taschendiebstahl                                                                          1                       1         0                              0,0 490000        Schwerer Taschendiebstahl - Sonstiger                                                                 1                       1         0                              0,0 490010        Besonders schwerer Taschendiebstahl                                                                   1                       1         0                              0,0 ****00        Diebstahl insgesamt                                                                               5.038      4.962        4.166     4.189    1.413      1.334        28,0         26,9 ***100        Diebstahl insg. von Kraftwagen einschl. unbefugter Gebrauch                                         202        186          167       157       57         52        28,2         28,0 ***200        Diebstahl insg. von Moped/Krad einschl. unbefugte Gebrauch                                           59         42           49        35        8          6        13,6         14,3 ***300        Diebstahl insg. von Fahrrad einschl. unbefugter Gebrauch                                          1.622      1.699        1.341     1.434       90        174          5,5        10,2 ***400        Diebstahl insg. von Schusswaffen                                                                      1                       1         0                              0,0 ***500        Diebstahl insg. von unbaren ZM                                                                       15         27           12        23        1          9          6,7        33,3 ***700        Diebstahl insg. von/aus Automaten                                                                    39         16           32        14       21          1        53,8          6,3 ***800        Diebstahl insg. von Antiquitäten, Kunst- und sakralen Gegenständen                                    1          1            1         1                              0,0         0,0 *00000        Diebstahl insg. - Sonstiger                                                                         856        863          708       729      192        211        22,4         24,4 *01*00        Diebstahl insg. in/aus Gärten, Gartenanlagen, Gartenkolonien                                         77         64           64        54        8          6        10,4          9,4 *02*00        Diebstahl insg. in/aus Bungalow, Gartenlauben                                                        68         51           56        43       19          3        27,9          5,9 *03*00        Diebstahl insg. in/aus Bungalow, Gartenl., Gärten, Gartenanl., Gartenk.                             145        115          120        97       27          9        18,6          7,8 *04*00        Diebstahl insg. in/aus Garagen, Carports                                                            174        198          144       167       28         16        16,1          8,1 *05*00        Diebstahl insg. in/aus Banken, Sparkassen, Postfilialen und -agenturen u. dgl.                        3          2            2         2        2                   66,7          0,0 *10*00        Diebstahl insg. in/aus Dienst-, Büro-, Fabrikations-,Werkstatt- u. Lagerräumen                      401        342          332       289      134        119        33,4         34,8 *15*00        Diebstahl insg. in/aus Gaststätten, Kantinen, Hotels und Pensionen                                  103         76           85        64       35          8        34,0         10,5 *25*00        Diebstahl insg. in/aus Kiosken, Warenhäusern, Verkaufsräumen                                        882        793          729       670      736        609        83,4         76,8 *26*00        Diebstahl insg. Ladendiebstahl                                                                      727        638          601       539      671        579        92,3         90,8 *35*00        Diebstahl insg. in/aus Wohnungen                                                                    135        161          112       136       52         84        38,5         52,2 *36*00        Tageswohnungseinbruch                                                                                44         47           36        40       11         18        25,0         38,3 *40*00        Diebstahl insg. in/aus Boden-, Kellerräumen und Waschküchen                                         459        690          380       583       23         79          5,0        11,4 *45*00        Diebstahl insg. in/aus Baubuden und Baustellen                                                       51         41           42        35        5          6          9,8        14,6 *50*00        Diebstahl insg. an/aus Kfz                                                                          468        409          387       345       78         24        16,7          5,9 *56000        Diebstahl insg. an Fahrrad                                                                           47         67           39        57        5         16        10,6         23,9 *60000        Diebstahl insg. von/in/aus Wasserfahrzeugen                                                           5                       4         0                              0,0 *61000        Diebstahl insg. von Motorboot                                                                         1                       1         0                              0,0 *63000        Diebstahl insg. von Ruderboot                                                                         1                       1         0                              0,0 *67000        Diebstahl insg. von Bootsmotoren                                                                      1                       1         0                              0,0 *85000        Diebstahl insg. auf Friedhöfen und Grabstätten                                                        4          2            3         2                              0,0         0,0 *86*00        Diebstahl insg. auf Campingplätzen- und Raststätten                                                   2          2            2         2        1                   50,0          0,0 *90*00        Diebstahl insg. Taschendiebstahl                                                                     63         76           52        64        1          4          1,6         5,3
99

Seite 81 von 108 Revierbereich Cottbus Frage 34: Erfasste Fälle, Aufgeklärte Fälle, Aufklärungsquoten, Häufigkeitskennzahlen für alle Deliktsfelder Erfasste Fälle                            Aufgeklärte Fälle Schlüssel                                                   Bezeichnung                                     Anzahl gesamt         Häufigkeitszahl      Anzahl gesamt             AQ in % 2012       2013        2012       2013     2012       2013        2012        2013 500000        Vermögens- und Fälschungsdelikte                                                                  1.913      1.791        1.582     1.512    1.485      1.439        77,6        80,3 510000        Betrug                                                                                            1.512      1.463        1.250     1.235    1.179      1.234        78,0        84,3 511000        Waren- und Warenkreditbetrug                                                                        511        527          423       445      384        458        75,1        86,9 511100        Betrügerisches Erlangen von Kfz                                                                      15          2           12         2       15          2       100,0       100,0 511200        Sonstiger Warenkreditbetrug                                                                         300        330          248       279      211        265        70,3        80,3 511201        Tankbetrug                                                                                          114         83           94        70       38         26        33,3        31,3 511279        Weitere Arten des Warenkreditbetruges                                                               186        247          154       209      173        239        93,0        96,8 511300        Warenbetrug                                                                                         196        195          162       165      158        191        80,6        97,9 512000        Grundstücks- und Baubetrug                                                                            3          1            2         1        3          1       100,0       100,0 513000        Kapitalanlage- und Anlagebetrug                                                                       3          4            2         3        3          3       100,0        75,0 513200        Anlagebetrug                                                                                          3          4            2         3        3          3       100,0        75,0 514000        Geldkreditbetrug                                                                                     25          5           21         4       22          5        88,0       100,0 514100        Kreditbetrug (im geschäftlichen Verkehr)                                                                         1            0         1                   1                   100,0 514200        Subventionsbetrug                                                                                     3          1            2         1        3          1       100,0       100,0 514300        Krediterlangungsbetrug                                                                               18          3           15         3       18          3       100,0       100,0 514400        Wechselbetrug                                                                                         4                       3         0        1                   25,0 515000        Erschleichen von Leistungen                                                                         454        465          375       393      427        455        94,1        97,8 515001        Beförderungserschleichung                                                                           448        462          370       390      421        452        94,0        97,8 516000        Betrug bzw. Computerbetrug mittels rechtswidrig erlangter unbarer Zahlungsmittel                     55         40           45        34       18         22        32,7        55,0 516200        Betrug mittels rechtswidrig erlangter Zahlungskarten ohne PIN (Lastschriftverfahren)                  4          2            3         2        1          1        25,0        50,0 516300        Computerbetrug mittels rechtswidrig erlanger Zahlungskarten mit PIN                                  16         25           13        21        8         17        50,0        68,0 516400        Betrug m. rechtsw. erlangter Kreditkarten                                                                        4            0         3                                         0,0 516500        Betrug bzw. Computerbetrug mittels rechtswidrig erlangter Daten von Zahlungskarten                   30          4           25         3        5          4        16,7       100,0 516900        Betrug bzw. Computerbetrug mittels rechtswidrig erlangter sonstiger unbarer Zahlungsmittel            5          5            4         4        4                   80,0         0,0 517000        Sonstiger Betrug                                                                                    461        421          381       355      322        290        69,8        68,9 517100        Leistungsbetrug                                                                                       7         17            6        14        4         15        57,1        88,2 517200        Leistungskreditbetrug                                                                                58         43           48        36       52         35        89,7        81,4 517300        Arbeitsvermittlungsbetrug                                                                             4          2            3         2        4          1       100,0        50,0 517400        Betrug z.N.v. Versich. und Versich.missbrauch                                                         5          3            4         3        5          2       100,0        66,7 517410        Betrug zum Nachteil von Versicherungen                                                                5          3            4         3        5          2       100,0        66,7 517500        Computerbetrug (sonstiger)                                                                           21         11           17         9        5          3        23,8        27,3 517600        Provisionsbetrug                                                                                     11          6            9         5       10          2        90,9        33,3 517800        Sozialleistungsbetrug                                                                                45         26           37        22       45         26       100,0       100,0 517900        Missbräuchliche Nutzung von Telekommunikationsdiensten                                               10          3            8         3        4          2        40,0        66,7 518100        Abrechnungsbetrug                                                                                     8          3            7         3        5          3        62,5       100,0 518110        Abrechnungsbetrug im Gesundheitswesen                                                                 1                       1         0        1                  100,0
100

Zur nächsten Seite