Polizeistrukturreform - Polizeirevier Nauen

/ 273
PDF herunterladen
Seite 32 von 80 Polizeirevier Nauen Frage 32: Schadenstabelle Internetkriminalität Berichtszeitraum:           01.01.2013       bis      31.12.2013 Schl.-                                                                                                                                                               Schadensklassen Zahl der Fälle zahl                                                Straftat                                                                            1      15     50    250       500        2500   5T  25T 50T  Schadenssumme der                                                                                             insgesamt  vollendet     versucht                               bis unter Euro                  und        in Euro Tat                                                                                                                                    15      50    250    500       2500        5T    25T 50T mehr ------        Straftaten insgesamt                                                                             78            72           6        6      12     32     9          11         2                           23.953 500000        Vermögens- und Fälschungsdelikte                                                                 78            72           6        6      12     32     9          11         2                           23.953 510000        Betrug                                                                                           77            71           6        6      11     32     9          11         2                           23.913 511000        Waren- und Warenkreditbetrug                                                                     69            68           1        5      11     31     9          10         2                           23.307 511200        Sonstiger Warenkreditbetrug                                                                      22            21           1        2       3     11     2           3                                      5.909 511279        Weitere Arten des Warenkreditbetruges                                                            22            21           1        2       3     11     2           3                                      5.909 511300        Warenbetrug                                                                                      47            47                    3       8     20     7           7         2                           17.398 513000        Kapitalanlage- und Anlagebetrug                                                                   1                         1 513500        Kautionsbetrug                                                                                    1                         1 514000        Geldkreditbetrug                                                                                  1                         1 514300        Krediterlangungsbetrug                                                                            1                         1 516000        Betrug bzw. Computerbetrug mittels rechtswidrig erlangter unbarer Zahlungsmittel                  1              1                   1                                                                           1 516500        Betrug bzw. Computerbetrug mittels rechtswidrig erlangter Daten von Zahlungskarten                1              1                   1                                                                           1 517000        Sonstiger Betrug                                                                                  5              2          3                       1                 1                                        605 517200        Leistungskreditbetrug                                                                             1              1                                  1                                                          105 517400        Betrug z.N.v. Versich. und Versich.missbrauch                                                     2              1          1                                         1                                        500 517410        Betrug zum Nachteil von Versicherungen                                                            2              1          1                                         1                                        500 518900        Sonstige weitere Betrugsarten                                                                     2                         2 530000        Unterschlagung                                                                                    1              1                           1                                                                  40 530079        Unterschlagung sonstiger Güter/Sachen gemäß §§ 246, 247 StGB - ohne von Kfz                       1              1                           1                                                                  40 890000        ST insgesamt, o. Verst. g. Aufenth.-, Asyl- u. FreizügigkeitsG/EU                                78            72           6        6      12     32     9          11         2                           23.953 893000        Wirtschaftskriminalität und zwar:                                                                 1                         1 893100        Wikri bei Betrug                                                                                  1                         1 893300        Wikri - im Anlage- und Finanzierungsbereich pp.                                                   1                         1
51

Seite 33 von 80 Polizeirevier Nauen Frage 32: Schadenstabelle Internetkriminalität Berichtszeitraum:           01.01.2014       bis      31.12.2014 Schl.-                                                                                                                                                               Schadensklassen Zahl der Fälle zahl                                                Straftat                                                                            1      15     50    250       500        2500   5T    25T 50T  Schadenssumme der                                                                                             insgesamt  vollendet     versucht                               bis unter Euro                    und        in Euro Tat                                                                                                                                    15      50    250    500       2500        5T    25T   50T mehr ------        Straftaten insgesamt                                                                            163           148         15        17      10     28     31         50         7     5                      137.168 500000        Vermögens- und Fälschungsdelikte                                                                162           147         15        16      10     28     31         50         7     5                      137.167 510000        Betrug                                                                                          161           146         15        16      10     27     31         50         7     5                      137.117 511000        Waren- und Warenkreditbetrug                                                                     78            75           3        8       8     19     20         19         1                             33.488 511200        Sonstiger Warenkreditbetrug                                                                      35            33           2        6       1      5      4         16         1                             24.064 511279        Weitere Arten des Warenkreditbetruges                                                            35            33           2        6       1      5      4         16         1                             24.064 511300        Warenbetrug                                                                                      43            42           1        2       7     14     16          3                                        9.424 516000        Betrug bzw. Computerbetrug mittels rechtswidrig erlangter unbarer Zahlungsmittel                  1              1                                                    1                                        2.014 516500        Betrug bzw. Computerbetrug mittels rechtswidrig erlangter Daten von Zahlungskarten                1              1                                                    1                                        2.014 517000        Sonstiger Betrug                                                                                 82            70         12         8       2      8     11         30         6     5                      101.615 517200        Leistungskreditbetrug                                                                             1              1                                  1                                                            105 517500        Computerbetrug (sonstiger)                                                                        3              2          1                                         1               1                        6.491 517900        Missbräuchliche Nutzung von Telekommunikationsdiensten                                            1              1                                                    1                                        1.387 518300        Überweisungsbetrug                                                                                4              4                                                    2         1     1                       11.574 518310        Kontoeröffnungsbetrug                                                                             4              4                                                    2         1     1                       11.574 518900        Sonstige weitere Betrugsarten                                                                    73            62         11         8       2      7     11         26         5     3                       82.058 530000        Unterschlagung                                                                                    1              1                                  1                                                             50 530079        Unterschlagung sonstiger Güter/Sachen gemäß §§ 246, 247 StGB - ohne von Kfz                       1              1                                  1                                                             50 700000        Strafrechtliche Nebengesetze                                                                      1              1                   1                                                                             1 710000        ST gg. strafrechtl. Nebengesetze auf dem Wirtschaftssektor                                        1              1                   1                                                                             1 715000        ST i.Z.m. Urheberrechtsbestimmungen                                                               1              1                   1                                                                             1 715040        Kunsturheberrechtsgesetz                                                                          1              1                   1                                                                             1 890000        ST insgesamt, o. Verst. g. Aufenth.-, Asyl- u. FreizügigkeitsG/EU                               163           148         15        17      10     28     31         50         7     5                      137.168 897000        Computerkriminalität                                                                              4              3          1                                         2               1                        7.878
52

Seite 34 von 80 Polizeirevier Nauen Frage 32: Schadenstabelle Internetkriminalität Berichtszeitraum:            01.01.2015       bis      31.12.2015 Schl.-                                                                                                                                             Schadensklassen Zahl der Fälle zahl                                   Straftat                                                                       1      15   50     250        500        2500   5T  25T 50T    Schadenssumme der                                                                          insgesamt   vollendet     versucht                               bis unter Euro                  und         in Euro Tat                                                                                                                  15      50   250    500        2500        5T    25T 50T mehr ------        Straftaten insgesamt                                                          139           128         11         12     9     28     20          52         6              1            181.073 500000        Vermögens- und Fälschungsdelikte                                              139           128         11         12     9     28     20          52         6              1            181.073 510000        Betrug                                                                        139           128         11         12     9     28     20          52         6              1            181.073 511000        Waren- und Warenkreditbetrug                                                  112           107           5         6     8     26     17          45         4              1            168.389 511100        Betrügerisches Erlangen von Kfz                                                 1              1                                                                             1             97.500 511200        Sonstiger Warenkreditbetrug                                                    55            53           2         4     1      6      9          29         4                            49.157 511279        Weitere Arten des Warenkreditbetruges                                          55            53           2         4     1      6      9          29         4                            49.157 511300        Warenbetrug                                                                    56            53           3         2     7     20      8          16                                      21.732 514000        Geldkreditbetrug                                                                1                         1 514300        Krediterlangungsbetrug                                                          1                         1 517000        Sonstiger Betrug                                                               26            21           5         6     1      2      3           7         2                            12.684 517200        Leistungskreditbetrug                                                           2              2                    2                                                                            2 517500        Computerbetrug (sonstiger)                                                      3              2          1         1     1                                                                     50 518300        Überweisungsbetrug                                                              1              1                                                    1                                          967 518310        Kontoeröffnungsbetrug                                                           1              1                                                    1                                          967 518900        Sonstige weitere Betrugsarten                                                  20            16           4         3            2      3           6         2                            11.665 890000        ST insgesamt, o. Verst. g. Aufenth.-, Asyl- u. FreizügigkeitsG/EU             139           128         11         12     9     28     20          52         6              1            181.073 894000        KFZ-Kriminalität                                                                1              1                                                                             1             97.500 897000        Computerkriminalität                                                            3              2          1         1     1                                                                     50
53

Seite 35 von 80 Polizeirevier Nauen Frage 34: Erfasste Fälle, Aufgeklärte Fälle, Aufklärungsquoten, Häufigkeitskennzahlen für alle Deliktsfelder Erfasste Fälle                                 Aufgeklärte Fälle Schlüssel                                               Bezeichnung                                  Anzahl gesamt             Häufigkeitszahl        Anzahl gesamt                AQ in % 2010        2011         2010          2011      2010        2011        2010           2011 ------         Straftaten insgesamt                                                                         2.622       2.466        7.006         6.582    1.577       1.361          60,1          55,2 000000         ST gg. das Leben                                                                                 5                       13             0        4                      80,0 010000         Mord                                                                                             1                        3             0        1                     100,0 010079         Sonstiger Mord                                                                                   1                        3             0        1                     100,0 020000         Totschlag und Tötung auf Verlangen                                                               2                        5             0        2                     100,0 020010         Totschlag                                                                                        2                        5             0        2                     100,0 030000         Fahrlässige Tötung - nicht i.V.m. Verkehrsunfall -                                               2                        5             0        1                      50,0 100000         ST gg. die sex. Selbstbestimmung                                                                22          25           59            67       21          21          95,5          84,0 110000         unter Gewaltanw. o. Ausnutzen e. Abhängigkeitsverh.                                              5           8           13            21        5           7         100,0          87,5 111000         Vergewaltigung und sex. Nötigung                                                                 3           5            8            13        3           4         100,0          80,0 111200         Vergewalt./sex. Nötigung überfallartig (durch Gruppen)                                                       1            0             3                                              0,0 111400         Sonstige Straftaten gemäß § 177 Abs. 2 Nr. 1, Abs. 3 und 4 StGB                                  3           4            8            11        3           4         100,0         100,0 112000         Sonstige sex. Nötigung                                                                           2           3            5             8        2           3         100,0         100,0 130000         Sexueller Missbrauch                                                                             6          12           16            32        5           9          83,3          75,0 131000         Sex. Missbr. von Kindern                                                                         4           9           11            24        3           8          75,0          88,9 131100         Sexuelle Handlungen gemäß § 176 Abs. 1 und 2 StGB                                                2           3            5             8        1           3          50,0         100,0 131200         Exhibitionistische/sex. Handlungen vor Kindern                                                               1            0             3                                              0,0 131500         Vollzug des Beischlafs mit einem Kind oder Vornahme einer ähnl. sex. Handlung                    2           5            5            13        2           5         100,0         100,0 132000         Exhibitionistische Handlungen und Erregung öffentlichen Ärgernisses                                          2            0             5                                              0,0 132010         Exhibitionistische Handlungen                                                                                2            0             5                                              0,0 133000         Sex. Missbr. von Jugendlichen                                                                    2           1            5             3        2           1         100,0         100,0 140000         Ausnutzen sexueller Neigung                                                                     11           5           29            13       11           5         100,0         100,0 143000         Verbreitung pornographischer Schriften (Erzeugnisse)                                            11           5           29            13       11           5         100,0         100,0 143010         Sonstige Verbreitung pornograph. Schriften (Erzeugnisse)                                         1                        3             0        1                     100,0 143020         Verbreitung gewalt- oder tierpornographischer Schriften                                          2           2            5             5        2           2         100,0         100,0 143100         Verbr. pornogr. Schriften (Erzeugnisse) an Personen unter 18 Jahren                                          1            0             3                    1                       100,0 143300         Besitz/Verschaffung von Kinderpornographie                                                       6           1           16             3        6           1         100,0         100,0 143400         Verbreitung von Kinderpornographie                                                               2           1            5             3        2           1         100,0         100,0 200000         Rohheitsdelikte und ST gg. die persönliche Freiheit                                            340         339          908           905      300         316          88,2          93,2 210000         Raub, räuberische Erpressung und räuberischer Angriff auf Kraftfahrer                           14          14           37            37        9          10          64,3          71,4 210010         Sonstiger Raub                                                                                   2                        5             0        1                      50,0 210040         Räuberischer Diebstahl                                                                           4                       11             0        3                      75,0 210050         Sonstige räuberische Erpressung                                                                  1                        3             0        1                     100,0 212000         Raubüberfälle auf sonstige Zahlstellen und Geschäfte                                                         3            0             8                    2                        66,7 212100         Raubüberfälle auf Spielhallen                                                                                3            0             8                    2                        66,7 212120         Schwerer Raub auf Spielhallen                                                                                1            0             3                    1                       100,0
54

Seite 36 von 80 Polizeirevier Nauen Frage 34: Erfasste Fälle, Aufgeklärte Fälle, Aufklärungsquoten, Häufigkeitskennzahlen für alle Deliktsfelder Erfasste Fälle                                 Aufgeklärte Fälle Schlüssel                                                  Bezeichnung                                 Anzahl gesamt             Häufigkeitszahl        Anzahl gesamt                AQ in % 2010        2011         2010          2011      2010        2011        2010           2011 212150         Räuberische Erpressung gg. Spielhallen                                                                      2             0             5                    1                        50,0 216000         Handtaschenraub                                                                                 5                        13             0        4                      80,0 216010         Handtaschenraub gemäß § 249 StGB                                                                4                        11             0        3                      75,0 216020         Handtaschenraub gemäß § 250 StGB                                                                1                         3             0        1                     100,0 217000         Sonstige Raubüberfälle auf Straßen, Wegen oder Plätzen                                          2           9             5            24                    6           0,0          66,7 217010         Sonst. Raub auf Straßen/Wegen/Plätzen                                                                       6             0            16                    5                        83,3 217020         Sonst. schw. Raub auf Straßen/Wegen/Plätzen                                                                 1             0             3                                              0,0 217050         Sonst. räub. Erpressung auf Straßen/Wegen/Plätzen                                               2           2             5             5                    1           0,0          50,0 219000         Raubüberfälle in Wohnungen                                                                                  2             0             5                    2                       100,0 219010         Raub in Wohnungen                                                                                           2             0             5                    2                       100,0 220000         Körperverletzung                                                                              223         207           596           553      194         197          87,0          95,2 222000         Gefährliche und schwere Körperverletzung                                                       59          58           158           155       49          53          83,1          91,4 222010         Sonst. Tatörtlichkeit bei gefährl. Körperverletzung                                            41          40           110           107       36          39          87,8          97,5 222100         Gefährliche und schwere Körperverletzung auf Straßen, Wegen oder Plätzen                       18          18            48            48       13          14          72,2          77,8 222110         Gefährl. Körperverletzung gemäß § 224 StGB                                                     18          18            48            48       13          14          72,2          77,8 223000         Misshandlung von Schutzbefohlenen                                                               4           3            11             8        4           3         100,0         100,0 223001         Misshandlung Schutzbefohlener ab 14 Jahren                                                                  2             0             5                    2                       100,0 223100         Misshandlung von Kindern                                                                        4           1            11             3        4           1         100,0         100,0 224000         Vorsätzliche einfache Körperverletzung § 223 StGB                                             142         138           379           368      126         134          88,7          97,1 225000         Fahrlässige Körperverletzung                                                                   18           8            48            21       15           7          83,3          87,5 230000         ST gg. die persönliche Freiheit                                                               103         118           275           315       97         109          94,2          92,4 231000         Menschenraub, Entziehung Minderjähriger, Kinderhandel                                           2           3             5             8        2           3         100,0         100,0 231200         Entziehung Minderjähriger                                                                       2           3             5             8        2           3         100,0         100,0 232000         Freiheitsber., Nötigung, Bedrohung, Zwangsheirat, Nachstellung (Stalking)                     101         114           270           304       95         105          94,1          92,1 232100         Freiheitsberaubung                                                                              8           1            21             3        8           1         100,0         100,0 232200         Nötigung                                                                                       42          67           112           179       40          59          95,2          88,1 232201         Nötigung im Straßenverkehr                                                                     13          16            35            43       12          13          92,3          81,3 232279         Sonstige Nötigung                                                                              29          51            77           136       28          46          96,6          90,2 232300         Bedrohung                                                                                      40          32           107            85       38          31          95,0          96,9 232400         Nachstellung                                                                                   11          14            29            37        9          14          81,8         100,0 232410         Nachstellung - z.B. räumliche Nähe -                                                            6          11            16            29        5          10          83,3          90,9 232420         Nachstellung - z.B. Gesundheitsbeeinträchtigung -                                               5           3            13             8        4           4          80,0         133,3 233000         Erpress. Menschenraub                                                                                       1             0             3                    1                       100,0 233079         Sonstiger Erpress. Menschenraub                                                                             1             0             3                    1                       100,0 3*****         Diebstahl ohne erschwerende Umstände                                                          405         496         1.082         1.324      210         189          51,9          38,1 3**100         EDS insg. von Kraftwagen einschl. unbefugter Gebrauch                                           3           6             8            16        2           4          66,7          66,7
55

Seite 37 von 80 Polizeirevier Nauen Frage 34: Erfasste Fälle, Aufgeklärte Fälle, Aufklärungsquoten, Häufigkeitskennzahlen für alle Deliktsfelder Erfasste Fälle                                Aufgeklärte Fälle Schlüssel                                                 Bezeichnung                                  Anzahl gesamt             Häufigkeitszahl       Anzahl gesamt                AQ in % 2010        2011         2010          2011     2010        2011        2010           2011 3**200         EDS insg. von Moped/Krad einschl. unbefugter Gebrauch                                           2           5             5           13                                0,0           0,0 3**300         EDS insg. von Fahrrad einschl. unbefugter Gebrauch                                             10          18            27           48       5           8           50,0          44,4 3**500         EDS insg. von unbaren Zahlungsmitteln                                                           2           5             5           13       1           1           50,0          20,0 3**700         EDS insg. von/aus Automaten                                                                                 1             0            3                                              0,0 300000         EDS - Sonstiger                                                                               138         159          369           424      64          44           46,4          27,7 300010         EDS - Sonstiger gem. 242, 247, 248a StGB                                                      122         158          326           422      52          43           42,6          27,2 300020         EDS - Haus- u. Familiendiebstahl - Sonstiger                                                    3                         8            0       3                      100,0 300030         EDS - Diebstahl geringwertiger Sachen - Sonstiger                                              10                        27            0       6                       60,0 300040         EDS - Unbefugter Gebrauch eines sonst. Fahrzeuges                                               1                         3            0       1                      100,0 300050         EDS - Entziehung elektrischer Energie                                                           2           1             5            3       2           1          100,0         100,0 300100         EDS von Kraftwagen einschl. unbefugter Ingebrauchnahme                                          3           6             8           16       2           4           66,7          66,7 300110         EDS - Diebstahl von Kraftwagen                                                                  3           5             8           13       2           3           66,7          60,0 300140         EDS - Unbefugter Gebrauch von Kraftwagen                                                                    1             0            3                   1                        100,0 300200         EDS von Mopeds und Krafträdern einschl. unbefugter Ingebrauchnahme                              2           5             5           13                                0,0           0,0 300210         EDS - von Moped/Krad                                                                            2           5             5           13                                0,0           0,0 300300         EDS von Fahrrädern einschl. unbefugter Ingebrauchnahme                                          7          17            19           45       4           8           57,1          47,1 300310         EDS - von Fahrrad                                                                               5          17            13           45       2           8           40,0          47,1 300330         EDS - Diebstahl geringwertiger Sachen - von Fahrrad                                             1                         3            0       1                      100,0 300340         EDS - Unbefugter Gebrauch von Fahrrad                                                           1                         3            0       1                      100,0 300500         EDS von unbaren Zahlungsmitteln                                                                             1             0            3                                              0,0 300700         EDS von/aus Automaten                                                                                       1             0            3                                              0,0 301*00         EDS in/aus Gärten, Gartenanlagen, Gartenkolonien                                                7           6            19           16       4           1           57,1          16,7 301000         Sonstiger EDS in/aus Gärten, Gartenanlagen, Gartenkolonien                                      7           6            19           16       4           1           57,1          16,7 301010         Sonstiger EDS in/aus Gärten, Gartenanlagen, Gartenkolonien                                      6           6            16           16       4           1           66,7          16,7 301030         EDS - Diebstahl geringwertiger Sachen - in/aus Gärten - Sonstiger                               1                         3            0                                0,0 302*00         EDS in/aus Bungalow, Gartenlauben                                                               1           2             3            5       1                      100,0           0,0 302000         Sonstiger EDS in/aus Bungalow, Gartenlauben                                                     1           1             3            3       1                      100,0           0,0 302010         Sonstiger EDS in/aus Bungalow, Gartenlauben                                                     1           1             3            3       1                      100,0           0,0 302500         EDS von unbaren Zahlungsmitteln in/aus Bungalow, Gartenlauben                                               1             0            3                                              0,0 303*00         EDS in/aus Bungalow, Gartenlauben, Gärten, Gartenanlagen, Gartenkolonien                        8           8            21           21       5           1           62,5          12,5 304*00         EDS in/aus Garagen, Carports                                                                    2           1             5            3       1                       50,0           0,0 304000         Sonstiger "einfacher" Diebstahl in/aus Garagen, Carports                                                    1             0            3                                              0,0 304010         Sonstiger "einfacher" Diebstahl in/aus Garagen, Carports                                                    1             0            3                                              0,0 304300         EDS von Fahrrad in/aus Garagen, Carports                                                        2                         5            0       1                       50,0 304310         EDS von Fahrrad in/aus Garagen, Carports                                                        2                         5            0       1                       50,0 305*00         EDS insg. in/aus Banken, Sparkassen, Postfilialen und -agenturen und dgl.                       2                         5            0                                0,0
56

Seite 38 von 80 Polizeirevier Nauen Frage 34: Erfasste Fälle, Aufgeklärte Fälle, Aufklärungsquoten, Häufigkeitskennzahlen für alle Deliktsfelder Erfasste Fälle                                Aufgeklärte Fälle Schlüssel                                                  Bezeichnung                                 Anzahl gesamt             Häufigkeitszahl       Anzahl gesamt                AQ in % 2010        2011         2010          2011     2010        2011        2010           2011 305000         EDS - in/aus Banken - Sonstiger                                                                 2                         5            0                                0,0 305010         EDS - in/aus Banken - Sonstiger gem. § 242 StGB                                                 2                         5            0                                0,0 310*00         EDS insg. in/aus Dienst-, Büro-, Fabrikations-, Werkstatt- und Lagerräumen                     17          50            45          133        7         34           41,2          68,0 310000         EDS - in/aus Dienst-/Büror. - Sonstiger                                                        16          50            43          133        7         34           43,8          68,0 310010         EDS - in/aus Dienst-/Büror. - Sonstiger gem. § 242 StGB                                        16                        43            0        7                      43,8 310300         EDS - in/aus Dienst-/Büror. - von Fahrrädern                                                    1                         3            0                                0,0 310310         EDS - in/aus Dienst-/Büror. - von Fahrrad gem. § 242 StGB                                       1                         3            0                                0,0 313*00         EDS insg. in/aus Schulen, Kindergärten u. a.                                                    3                         8            0        1                      33,3 313000         EDS - in/aus Schulen/Kinderg. - Sonstiger                                                       3                         8            0        1                      33,3 313010         EDS - in/aus Schulen/Kinderg. - Sonstiger gem. § 242 StGB                                       3                         8            0        1                      33,3 315*00         EDS insg. in/aus Gaststätten, Kantinen, Hotels und Pensionen                                    8           2            21            5        1                      12,5           0,0 315000         EDS - in/aus Gaststätten - Sonstiger                                                            7           2            19            5        1                      14,3           0,0 315010         EDS - in/aus Gaststätten - Sonstiger gem. § 242 StGB                                            7                        19            0        1                      14,3 315500         EDS - in/aus Gaststätten - von unb. Zahlungsmitteln                                             1                         3            0                                0,0 315510         EDS - in/aus Gaststätten - von unbaren ZM gem. § 242 StGB                                       1                         3            0                                0,0 320*00         EDS insg. in/aus Kiosken                                                                        1                         3            0        1                     100,0 320000         EDS - in/aus Kiosken - Sonstiger                                                                1                         3            0        1                     100,0 320010         EDS - in/aus Kiosken - Sonstiger gem. § 242 StGB                                                1                         3            0        1                     100,0 325*00         EDS insg. in/aus Kiosken, Warenhäusern, Verkaufsräumen                                        116         103          310           275      104         76           89,7          73,8 325000         EDS - in/aus Warenhäusern - Sonstiger                                                           5          10            13           27        3          3           60,0          30,0 325010         EDS - in/aus Warenhäusern - Sonstiger gem. § 242 StGB                                           5                        13            0        3                      60,0 325500         EDS - in/aus Warenhäusern - von unbaren ZM                                                      1                         3            0        1                     100,0 325510         EDS - in/aus Warenhäusern - von unbaren ZM gem. § 242 StGB                                      1                         3            0        1                     100,0 326*00         EDS insg. - Ladendiebstahl                                                                    110          93          294           248      100         73           90,9          78,5 326000         EDS - Ladendiebstahl - Sonstiger                                                              110          93          294           248      100         73           90,9          78,5 326010         EDS - Ladendiebstahl - Sonstiger gem. § 242 StGB                                               29                        77            0       20                      69,0 326030         EDS - Diebstahl geringwertiger Sachen - Ladendiebstahl - Sonstiger                             81                      216             0       80                      98,8 335*00         EDS insg. in/aus Wohnungen                                                                     15          17            40           45       12         11           80,0          64,7 335000         EDS - in/aus Wohnungen - Sonstiger                                                             14          16            37           43       12         10           85,7          62,5 335010         EDS - in/aus Wohnungen - Sonstiger gem. § 242 StGB                                             11                        29            0        9                      81,8 335020         EDS - Haus- u. Familiendiebstahl - in/aus Wohnungen - Sonstiger                                 2                         5            0        2                     100,0 335030         EDS - Diebstahl geringwertiger Sachen - in/aus Wohnungen - Sonstiger                            1                         3            0        1                     100,0 335300         EDS - in/aus Wohnungen - von Fahrrad                                                            1                         3            0                                0,0 335310         EDS - in/aus Wohnungen - von Fahrrad gem. § 242 StGB                                            1                         3            0                                0,0 335500         EDS - in/aus Wohnungen - von unbaren Zahlungsmitteln                                                        1             0            3                   1                        100,0 340*00         EDS insg. in/aus Boden-/Kellerräumen, Waschküchen                                               7           3            19            8        4                      57,1           0,0
57

Seite 39 von 80 Polizeirevier Nauen Frage 34: Erfasste Fälle, Aufgeklärte Fälle, Aufklärungsquoten, Häufigkeitskennzahlen für alle Deliktsfelder Erfasste Fälle                                Aufgeklärte Fälle Schlüssel                                                 Bezeichnung                                  Anzahl gesamt             Häufigkeitszahl       Anzahl gesamt                AQ in % 2010        2011         2010          2011     2010        2011        2010           2011 340000         EDS - in/aus Boden-/Kellerräumen - Sonstiger                                                   6            2            16            5       3                       50,0           0,0 340010         EDS - in/aus Boden-/Kellerr. - Sonstiger gem. § 242 StGB                                       5                         13            0       3                       60,0 340020         EDS - Haus- u. Familiendiebstahl - in/aus Boden-/Kellerr. - Sonstiger                          1                          3            0                                0,0 340300         EDS - in/aus Boden-/Kellerräumen - von Fahrrad                                                 1            1             3            3       1                      100,0           0,0 340310         EDS - in/aus Boden-/Kellerr. - von Fahrrad gem. § 242 StGB                                     1                          3            0       1                      100,0 345*00         EDS insg. in/aus Baubuden und Baustellen                                                       7           12            19           32       3           1           42,9           8,3 345000         EDS - in/aus Baubuden/Baustellen - Sonstiger                                                   7           11            19           29       3           1           42,9           9,1 345010         EDS - in/aus Baustellen - Sonstiger gem. § 242 StGB                                            7                         19            0       3                       42,9 345500         EDS - in/aus Baubuden/Baustellen - von unbaren ZM                                                           1             0            3                                              0,0 350*00         EDS insg. an/aus Kfz                                                                          52          112          139           299       5          11            9,6           9,8 350000         EDS an/aus Kfz von sonstigem Gut                                                              52          112          139           299       5          11            9,6           9,8 350010         EDS - an/aus Kfz - Sonstiger gem. § 242 StGB                                                  11                         29            0       2                       18,2 356000         EDS an Fahrrad - Sonstiger                                                                     4            1            11            3       4                      100,0           0,0 356010         EDS - an Fahrrad - Sonstiger gem. § 242 StGB                                                   3                          8            0       4                      133,3 356030         EDS - Diebstahl geringwertiger Sachen - an Fahrrad - Sonstiger                                 1                          3            0                                0,0 357000         EDS an Wasserfahrzeugen                                                                                     1             0            3                                              0,0 360000         EDS von/in/aus sonstigen Wasserfahrzeugen                                                      2                          5            0                                0,0 361000         EDS von Motorboot                                                                              1                          3            0                                0,0 361010         EDS von Motorboot gem. § 242 StGB                                                              1                          3            0                                0,0 364*00         EDS insg. in/aus Motorboot                                                                     1                          3            0                                0,0 364000         EDS in/aus Motorboot                                                                           1                          3            0                                0,0 364010         EDS - in/aus Motorboot - Sonstiger gem. § 242 StGB                                             1                          3            0                                0,0 375000         EDS von Rezeptformular zur Erlangung von Betäubungsmitteln                                     1                          3            0       1                      100,0 375010         EDS - von Rezeptformular zur Erlangung von Btm gemäß § 242 StGB                                1                          3            0       1                      100,0 381000         EDS von Fisch                                                                                  3            1             8            3       3                      100,0           0,0 381010         EDS - von Fisch gemäß § 242 StGB                                                               3                          8            0       3                      100,0 382000         EDS von Fisch aus Reusen                                                                       3            1             8            3       3                      100,0           0,0 382010         EDS - von Fisch aus Reusen gemäß § 242 StGB                                                    3                          8            0       3                      100,0 385000         EDS auf Friedhöfen und Grabstätten                                                             1            2             3            5                                0,0           0,0 385010         EDS - auf Friedhöfen und Grabstätten gemäß § 242 StGB                                          1                          3            0                                0,0 386*00         EDS auf Campingplätzen- und Raststätten                                                        1            2             3            5                                0,0           0,0 386000         EDS auf Campingplätzen- und Raststätten - Sonstiger                                            1            2             3            5                                0,0           0,0 386010         EDS - auf Camping-/Raststätten - Sonstiges gemäß § 242 StGB                                    1                          3            0                                0,0 390*00         EDS insg. - Taschendiebstahl                                                                  29            8            77           21       2                        6,9           0,0 390000         EDS - Taschendiebstahl - Sonstiger                                                            29            6            77           16       2                        6,9           0,0 390010         EDS - Taschendiebstahl - Sonstiges gemäß § 242 StGB                                           29                         77            0       2                        6,9
58

Seite 40 von 80 Polizeirevier Nauen Frage 34: Erfasste Fälle, Aufgeklärte Fälle, Aufklärungsquoten, Häufigkeitskennzahlen für alle Deliktsfelder Erfasste Fälle                                 Aufgeklärte Fälle Schlüssel                                                Bezeichnung                                   Anzahl gesamt             Häufigkeitszahl        Anzahl gesamt                AQ in % 2010        2011         2010          2011      2010        2011        2010           2011 390500         EDS - Taschendiebstahl von unbaren ZM                                                                       2             0             5                                              0,0 4*****         Diebstahl unter erschwerenden Umständen                                                       568         500         1.518         1.335      112         116          19,7          23,2 4**100         BSD insg. von Kraftwagen                                                                       42          56           112           149        7           6          16,7          10,7 4**200         BSD insg. von Moped/Krad                                                                       24          13            64            35        5           3          20,8          23,1 4**300         BSD insg. von Fahrrad                                                                          79          72           211           192       44          65          55,7          90,3 4**400         BSD insg. von Schusswaffen                                                                                  1             0             3                    1                       100,0 4**500         BSD insg. von unbaren Zahlungsmitteln                                                           1           1             3             3        1                     100,0           0,0 4**600         BSD insg. von amtlichen Siegeln und Stempeln                                                    1                         3             0                                0,0 4**700         BSD insg. von/aus Automaten                                                                    11           2            29             5        2                      18,2           0,0 400000         Schwerer Diebstahl - Sonstiger                                                                109         103           291           275       22          12          20,2          11,7 400010         BSD - Sonstiger                                                                               109         102           291           272       22          11          20,2          10,8 400020         Sonstiger schwerer Diebstahl (ohne WED)                                                                     1             0             3                    1                       100,0 400100         Schwerer Diebstahl von Kraftwagen                                                              41          54           110           144        7           4          17,1           7,4 400110         BSD - von Kraftwagen                                                                           41          54           110           144        7           4          17,1           7,4 400200         Schwerer Diebstahl von Mopeds und Krafträdern                                                  24          12            64            32        5           3          20,8          25,0 400210         BSD - von Moped/Krad                                                                           24          12            64            32        5           3          20,8          25,0 400300         Schwerer Diebstahl von Fahrrädern                                                              73          64           195           171       44          55          60,3          85,9 400310         BSD - von Fahrrad                                                                              73          64           195           171       44          55          60,3          85,9 400400         Schwerer Diebstahl von Schusswaffen                                                                         1             0             3                    1                       100,0 400420         SDS - von Schusswaffen                                                                                      1             0             3                    1                       100,0 400600         Schwerer Diebstahl von amtl. Siegeln u. Stempeln                                                1                         3             0                                0,0 400610         BSD - bes. schw. Fall - von Siegeln                                                             1                         3             0                                0,0 400700         Schwerer Diebstahl von/aus Automaten                                                            8           2            21             5        2                      25,0           0,0 400710         BSD - von/aus Automaten                                                                         8           2            21             5        2                      25,0           0,0 401*00         Diebst. unter erschw. Umst. in/aus Gärten, Gartenanlagen, Gartenkolonien                       10           6            27            16        2                      20,0           0,0 401000         Sonstiger Diebst. unter erschw. Umst. in/aus Gärten, Gartenanl., Gartenkolonien                 9           5            24            13        1                      11,1           0,0 401010         Sonstiger BSD in/aus Gärten, Gartenanlagen, Gartenkolonien                                      9           5            24            13        1                      11,1           0,0 401300         Diebst. unter erschw. Umst. von Fahrrad in/aus Gärten, Gartenanl., Gartenk.                     1           1             3             3        1                     100,0           0,0 401310         BSD von Fahrrad in/aus Gärten, Gartenanlagen, Gartenkolonien                                    1           1             3             3        1                     100,0           0,0 402*00         Diebst. unter erschw. Umst. in/aus Bungalow, Gartenlauben                                      15          13            40            35        2                      13,3           0,0 402000         Sonstiger Diebst. unter erschw. Umst. in/aus Bungalow, Gartenlauben                            15          13            40            35        2                      13,3           0,0 402010         Sonstiger BSD in/aus Bungalow, Gartenlauben                                                    15          13            40            35        2                      13,3           0,0 403*00         Diebst. u. erschw. Umst. in/aus Bungalow, Gartenl., Gärten, Gartenanl., Gartenk.               25          19            67            51        4                      16,0           0,0 404*00         Diebst. unter erschw. Umst. in/aus Garagen, Carports                                           26          15            69            40        8           2          30,8          13,3 404000         Sonstiger Diebst. unter erschw. Umst. in/aus Garagen, Carports                                 16          12            43            32        1           1           6,3           8,3 404010         Sonstiger BSD in/aus Garagen, Carports                                                         16          12            43            32        1           1           6,3           8,3
59

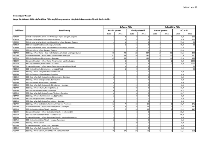
Seite 41 von 80 Polizeirevier Nauen Frage 34: Erfasste Fälle, Aufgeklärte Fälle, Aufklärungsquoten, Häufigkeitskennzahlen für alle Deliktsfelder Erfasste Fälle                                Aufgeklärte Fälle Schlüssel                                                   Bezeichnung                                Anzahl gesamt             Häufigkeitszahl       Anzahl gesamt                AQ in % 2010        2011         2010          2011     2010        2011        2010           2011 404100         Diebst. unter erschw. Umst. von Kraftwagen in/aus Garagen, Carports                            3            2             8            5                   1            0,0          50,0 404110         BSD von Kraftwagen in/aus Garagen, Carports                                                    3            2             8            5                   1            0,0          50,0 404200         Diebst. unter erschw. Umst. von Moped/Krad in/aus Garagen, Carports                            4            1            11            3       3                       75,0           0,0 404210         BSD von Moped/Krad in/aus Garagen, Carports                                                    4            1            11            3       3                       75,0           0,0 404300         Diebst. unter erschw. Umst. von Fahrrad in/aus Garagen, Carports                               3                          8            0       4                      133,3 404310         BSD von Fahrrad in/aus Garagen, Carports                                                       3                          8            0       4                      133,3 410*00         BSD insg. in/aus Dienst-, Büro-, Fabrikations-, Werkstatt- und Lagerräumen                    68           70          182           187      12          13           17,6          18,6 410000         Schwerer Diebstahl - in/aus Dienst-/Büroräumen - Sonstiger                                    67           68          179           182      12          11           17,9          16,2 410010         BSD - in/aus Dienst-/Büroräumen - Sonstiger                                                   67           68          179           182      12          11           17,9          16,2 410100         Schwerer Diebstahl - in/aus Dienst-/Büroräumen - von Kraftwagen                                1            1             3            3                   2            0,0         200,0 410110         BSD - in/aus Dienst-/Büroräumen - v. Kraftw.                                                   1            1             3            3                   2            0,0         200,0 410200         Schwerer Diebstahl - in/aus Dienst-/Büroräumen - von Moped/Krad                                             1             0            3                                              0,0 410210         BSD - in/aus Dienst-/Büroräumen - v. Moped/Krad                                                             1             0            3                                              0,0 411*00         BSD insg. in/aus Amtsgebäuden, Bürohäusern                                                     2                          5            0                                0,0 411000         BSD - in/aus Amts-/Bürohäusern - Sonstiger                                                     2                          5            0                                0,0 411010         BSD - bes. schw. Fall - in/aus Amts-/Bürohäusern - Sonstiger                                   2                          5            0                                0,0 412*00         BSD insg. in/aus sonstigen selbst. Büroräumen                                                  4                         11            0                                0,0 412000         BSD - in/aus selb. Büroräumen - Sonstiger                                                      4                         11            0                                0,0 412010         BSD - bes. schw. Fall - in/aus selb. Büroräumen - Sonstiger                                    4                         11            0                                0,0 413*00         BSD insg. in/aus Schulen, Kindergärten u. a.                                                   6                         16            0       1                       16,7 413000         BSD - in/aus Schulen/Kinderg. - Sonstiger                                                      6                         16            0       1                       16,7 413010         BSD - bes. schw. Fall - in/aus Schulen/Kinderg. - Sonstiger                                    6                         16            0       1                       16,7 414*00         BSD insg. in/aus Schwimmhallen u. a. Sportstätten                                              2                          5            0                                0,0 414000         BSD - in/aus Sportstätten - Sonstiger                                                          2                          5            0                                0,0 414010         BSD - bes. schw. Fall - in/aus Sportstätten - Sonstiger                                        2                          5            0                                0,0 415*00         BSD insg. in/aus Gaststätten, Kantinen, Hotels und Pensionen                                  12            7            32           19       2           1           16,7          14,3 415000         Schwerer Diebstahl - in/aus Gaststätten/Hotels - Sonstiger                                     9            7            24           19       1           1           11,1          14,3 415010         BSD - in/aus Gaststätten/Hotels - Sonstiger                                                    9            7            24           19       1           1           11,1          14,3 415500         Schwerer Diebstahl - in/aus Gaststätten/Hotels - v. unbaren ZM                                 1                          3            0       1                      100,0 415510         BSD - in/aus Gaststätten/Hotels - v. unbaren ZM                                                1                          3            0       1                      100,0 415700         Schwerer Diebstahl - in/aus Gaststätten/Hotels - von/aus Automaten                             2                          5            0                                0,0 415710         BSD - in/aus Gaststätten/Hotels - von/aus Automaten                                            2                          5            0                                0,0 420*00         BSD insg. in/aus Kiosken                                                                       7                         19            0                                0,0 420000         Schwerer Diebstahl - in/aus Kiosk - Sonstiger                                                  7                         19            0                                0,0 420010         BSD - bes. schw. Fall - in/aus Kiosk - Sonstiger                                               7                         19            0                                0,0 425*00         BSD insg. in/aus Kiosken, Warenhäusern, Verkaufsräumen                                        40           27          107            72       5           7           12,5          25,9
60

Zur nächsten Seite