Polizeistrukturreform - Polizeirevier Nauen

/ 273
PDF herunterladen
Seite 42 von 80 Polizeirevier Nauen Frage 34: Erfasste Fälle, Aufgeklärte Fälle, Aufklärungsquoten, Häufigkeitskennzahlen für alle Deliktsfelder Erfasste Fälle                                Aufgeklärte Fälle Schlüssel                                                  Bezeichnung                                 Anzahl gesamt             Häufigkeitszahl       Anzahl gesamt                AQ in % 2010        2011         2010          2011     2010        2011        2010           2011 425000         Schwerer Diebstahl - in/aus Kiosken, Warenh. , Verkaufsräumen - Sonstiger                      33          22            88           59       3           4            9,1          18,2 425010         BSD - in/aus Kiosken, Warenhäusern , Verkaufsräumen - Sonstiger                                33          22            88           59       3           4            9,1          18,2 425700         Schwerer Diebstahl - in/aus Warenhäusern - von/aus Automaten                                    1                         3            0                                0,0 425710         BSD - bes. schw. Fall - in/aus Warenhäusern - von/aus Automaten                                 1                         3            0                                0,0 426*00         BSD insg. - Ladendiebstahl                                                                      6           5            16           13       2           3           33,3          60,0 426000         Schwerer Diebstahl - Laden                                                                      6           5            16           13       2           3           33,3          60,0 426010         BSD - Laden                                                                                     5           4            13           11       2           3           40,0          75,0 426020         SDS - Laden                                                                                                 1             0            3                                              0,0 426030         BSD - Bandendieb. - Laden - Sonstiger                                                           1                         3            0                                0,0 435*00         Wohnungseinbruchdiebstahl                                                                      26          33            69           88       6           1           23,1           3,0 435000         Wohnungseinbruchdiebstahl (ohne TWE) - sonstiger                                               17          17            45           45       5                       29,4           0,0 436*00         Tageswohnungseinbruchdiebstahl                                                                  9          16            24           43       1           1           11,1           6,3 436000         Tageswohnungseinbruch (TWE) - sonstiger                                                         9          16            24           43       1           1           11,1           6,3 440*00         BSD insg. in/aus Boden-, Kellerräumen, Waschküchen                                             16          33            43           88                  16            0,0          48,5 440000         Schwerer Diebstahl - in/aus Boden-/Kellerr. - Sonstiger                                        10          25            27           67                   6            0,0          24,0 440010         BSD - in/aus Boden-/Kellerr. - Sonstiger                                                       10          25            27           67                   6            0,0          24,0 440300         Schwerer Diebstahl - in/aus Boden-/Kellerr. - v. Fahrrad                                        6           8            16           21                  10            0,0         125,0 440310         BSD - in/aus Boden-/Kellerr. - v. Fahrrad                                                       6           8            16           21                  10            0,0         125,0 445*00         BSD insg. in/aus Baubuden und Baustellen                                                       33          16            88           43       2           2            6,1          12,5 445000         Schwerer Diebstahl - in/aus Baustellen - Sonstiger                                             33          15            88           40       2           2            6,1          13,3 445010         BSD - in/aus Baustellen - Sonstiger                                                            33          15            88           40       2           2            6,1          13,3 445100         Schwerer Diebstahl - in/aus Baustellen - v. Kraftw.                                                         1             0            3                                              0,0 445110         BSD - in/aus Baustellen - v. Kraftw.                                                                        1             0            3                                              0,0 450*00         SDS insg. an/aus Kfz                                                                          109          77          291           206       5           1            4,6           1,3 450000         SDS - an/aus Kfz von sonstigem Gut                                                            109          76          291           203       5           1            4,6           1,3 450010         BSD - an/aus Kfz von sonstigem Gut                                                            109          76          291           203       5           1            4,6           1,3 450500         SDS - aus Kfz von unbaren ZM                                                                                1             0            3                                              0,0 450510         BSD - aus Kfz von unbaren ZM                                                                                1             0            3                                              0,0 456000         Diebst. unter erschw. Umst. an Fahrrad - Sonstiger                                              1           1             3            3                                0,0           0,0 456010         BSD - bes. schw. Fall - an Fahrrad                                                              1                         3            0                                0,0 457000         Diebst. unter erschw. Umst. an Wasserfahrzeugen                                                 4           1            11            3                                0,0           0,0 457010         BSD - bes. schw. Fall - an Wasserfahrzeug                                                       4                        11            0                                0,0 460000         Diebst. unter erschw. Umst. von/in/aus sonstigen Wasserfahrzeugen                               3           3             8            8                                0,0           0,0 461000         Diebst. unter erschw. Umst. von Motorboot                                                       1                         3            0                                0,0 461010         BSD - bes. schw. Fall - von Motorboot                                                           1                         3            0                                0,0 463000         Diebst. unter erschw. Umst. von Ruderboot                                                       2                         5            0                                0,0
61

Seite 43 von 80 Polizeirevier Nauen Frage 34: Erfasste Fälle, Aufgeklärte Fälle, Aufklärungsquoten, Häufigkeitskennzahlen für alle Deliktsfelder Erfasste Fälle                                 Aufgeklärte Fälle Schlüssel                                                  Bezeichnung                                 Anzahl gesamt             Häufigkeitszahl        Anzahl gesamt                AQ in % 2010        2011         2010          2011      2010        2011        2010           2011 463010         BSD - bes. schw. Fall - von Ruderboot                                                           2                         5             0                                0,0 464000         Diebst. unter erschw. Umst. in/aus Motorboot                                                                1             0             3                                              0,0 467000         Diebst. unter erschw. Umst. von Bootsmotoren                                                                2             0             5                                              0,0 468000         Diebst. unter erschw. Umst. von Bootsmotoren, spez. Außenbootsmotoren                                       1             0             3                                              0,0 471000         Schwerer Diebstahl - von Btm aus Apotheken                                                      1                         3             0                                0,0 471010         BSD - von Btm aus Apotheken                                                                     1                         3             0                                0,0 481000         Diebst. unter erschw. Umst. von Fisch                                                           1                         3             0        1                     100,0 481010         BSD - bes. schw. Fall - von Fisch                                                               1                         3             0        1                     100,0 482000         Diebst. unter erschw. Umst. von Fisch aus Reusen                                                1                         3             0        1                     100,0 482010         BSD - bes. schw. Fall - von Fisch aus Reusen                                                    1                         3             0        1                     100,0 485000         Diebst. unter erschw. Umst. auf Friedhöfen und Grabstätten                                                  1             0             3                                              0,0 490*00         BSD insg. - Taschendiebstahl                                                                                1             0             3                                              0,0 490000         Schwerer Taschendiebstahl - Sonstiger                                                                       1             0             3                                              0,0 490010         Besonders schwerer Taschendiebstahl                                                                         1             0             3                                              0,0 ****00         Diebstahl insgesamt                                                                           973         996         2.600         2.659      322         305          33,1          30,6 ***100         Diebstahl insg. von Kraftwagen einschl. unbefugter Gebrauch                                    45          62           120           165        9          10          20,0          16,1 ***200         Diebstahl insg. von Moped/Krad einschl. unbefugte Gebrauch                                     26          18            69            48        5           3          19,2          16,7 ***300         Diebstahl insg. von Fahrrad einschl. unbefugter Gebrauch                                       89          90           238           240       49          73          55,1          81,1 ***400         Diebstahl insg. von Schusswaffen                                                                            1             0             3                    1                       100,0 ***500         Diebstahl insg. von unbaren ZM                                                                  3           6             8            16        2           1          66,7          16,7 ***600         Diebstahl insg. von amtlichen Siegeln u. Stempeln                                               1                         3             0                                0,0 ***700         Diebstahl insg. von/aus Automaten                                                              11           3            29             8        2                      18,2           0,0 *00000         Diebstahl insg. - Sonstiger                                                                   247         262           660           699       86          56          34,8          21,4 *01*00         Diebstahl insg. in/aus Gärten, Gartenanlagen, Gartenkolonien                                   17          12            45            32        6           1          35,3           8,3 *02*00         Diebstahl insg. in/aus Bungalow, Gartenlauben                                                  16          15            43            40        3                      18,8           0,0 *03*00         Diebstahl insg. in/aus Bungalow, Gartenl., Gärten, Gartenanl., Gartenk.                        33          27            88            72        9           1          27,3           3,7 *04*00         Diebstahl insg. in/aus Garagen, Carports                                                       28          16            75            43        9           2          32,1          12,5 *05*00         Diebstahl insg. in/aus Banken, Sparkassen, Postfilialen und -agenturen u. dgl.                  2                         5             0                                0,0 *10*00         Diebstahl insg. in/aus Dienst-, Büro-, Fabrikations-,Werkstatt- u. Lagerräumen                 85         120           227           320       19          47          22,4          39,2 *11*00         Diebstahl insg. in/aus Amtsgebäuden, Bürohäusern                                                2                         5             0                                0,0 *12*00         Diebstahl insg. in/aus sonstigen selbst. Büroräumen                                             4                        11             0                                0,0 *13*00         Diebstahl insg. in/aus Schulen, Kindergärten u. a.                                              9                        24             0        2                      22,2 *14*00         Diebstahl insg. in/aus Schwimmhallen u. a. Sportstätten                                         2                         5             0                                0,0 *15*00         Diebstahl insg. in/aus Gaststätten, Kantinen, Hotels und Pensionen                             20           9            53            24        3           1          15,0          11,1 *20*00         Diebstahl insg. in/aus Kiosken                                                                  8                        21             0        1                      12,5 *25*00         Diebstahl insg. in/aus Kiosken, Warenhäusern, Verkaufsräumen                                  156         130           417           347      109          83          69,9          63,8
62

Seite 44 von 80 Polizeirevier Nauen Frage 34: Erfasste Fälle, Aufgeklärte Fälle, Aufklärungsquoten, Häufigkeitskennzahlen für alle Deliktsfelder Erfasste Fälle                                 Aufgeklärte Fälle Schlüssel                                                Bezeichnung                                   Anzahl gesamt             Häufigkeitszahl        Anzahl gesamt                AQ in % 2010        2011         2010          2011      2010        2011        2010           2011 *26*00         Diebstahl insg. Ladendiebstahl                                                                116          98           310           262      102          76          87,9          77,6 *35*00         Diebstahl insg. in/aus Wohnungen                                                               41          50           110           133       18          12          43,9          24,0 *36*00         Tageswohnungseinbruch                                                                           9          16            24            43        1           1          11,1           6,3 *40*00         Diebstahl insg. in/aus Boden-, Kellerräumen und Waschküchen                                    23          36            61            96        4          16          17,4          44,4 *45*00         Diebstahl insg. in/aus Baubuden und Baustellen                                                 40          28           107            75        5           3          12,5          10,7 *50*00         Diebstahl insg. an/aus Kfz                                                                    161         189           430           504       10          12           6,2           6,3 *56000         Diebstahl insg. an Fahrrad                                                                      5           2            13             5        4                      80,0           0,0 *57000         Diebstahl insg. an Wasserfahrzeug                                                               4           2            11             5                                0,0           0,0 *60000         Diebstahl insg. von/in/aus Wasserfahrzeugen                                                     5           3            13             8                                0,0           0,0 *61000         Diebstahl insg. von Motorboot                                                                   2                         5             0                                0,0 *63000         Diebstahl insg. von Ruderboot                                                                   2                         5             0                                0,0 *64*00         Diebstahl insg. in/aus Motorboot                                                                1           1             3             3                                0,0           0,0 *67000         Diebstahl insg. von Bootsmotoren                                                                            2             0             5                                              0,0 *68000         Diebstahl insg. von Bootsmotoren, spez. Außenbootsmotoren                                                   1             0             3                                              0,0 *71000         Diebstahl insg. von Btm aus Apotheken                                                           1                         3             0                                0,0 *75000         Diebstahl insg. von Rezeptformularen zur Erlangung von Btm                                      1                         3             0        1                     100,0 *81000         Diebstahl insg. von Fisch                                                                       4           1            11             3        4                     100,0           0,0 *82000         Diebstahl insg. von Fisch aus Reusen                                                            4           1            11             3        4                     100,0           0,0 *85000         Diebstahl insg. auf Friedhöfen und Grabstätten                                                  1           3             3             8                                0,0           0,0 *86*00         Diebstahl insg. auf Campingplätzen- und Raststätten                                             1           2             3             5                                0,0           0,0 *90*00         Diebstahl insg. Taschendiebstahl                                                               29           9            77            24        2                       6,9           0,0 500000         Vermögens- und Fälschungsdelikte                                                              591         407         1.579         1.086      497         306          84,1          75,2 510000         Betrug                                                                                        494         332         1.320           886      420         245          85,0          73,8 511000         Waren- und Warenkreditbetrug                                                                  295         177           788           472      263         134          89,2          75,7 511100         Betrügerisches Erlangen von Kfz                                                                             2             0             5                    2                       100,0 511200         Sonstiger Warenkreditbetrug                                                                    63          69           168           184       34          29          54,0          42,0 511201         Tankbetrug                                                                                     32          50            85           133        9          10          28,1          20,0 511279         Weitere Arten des Warenkreditbetruges                                                          31          19            83            51       25          19          80,6         100,0 511300         Warenbetrug                                                                                   232         106           620           283      229         103          98,7          97,2 513000         Kapitalanlage- und Anlagebetrug                                                                26                        69             0       26                     100,0 513400         Beteiligungsbetrug                                                                             26                        69             0       26                     100,0 514000         Geldkreditbetrug                                                                                2           1             5             3        2           1         100,0         100,0 514200         Subventionsbetrug                                                                               1                         3             0        1                     100,0 514300         Krediterlangungsbetrug                                                                          1           1             3             3        1           1         100,0         100,0 515000         Erschleichen von Leistungen                                                                    28          38            75           101       28          38         100,0         100,0 515001         Beförderungserschleichung                                                                      28          37            75            99       28          37         100,0         100,0
63

Seite 45 von 80 Polizeirevier Nauen Frage 34: Erfasste Fälle, Aufgeklärte Fälle, Aufklärungsquoten, Häufigkeitskennzahlen für alle Deliktsfelder Erfasste Fälle                                Aufgeklärte Fälle Schlüssel                                                Bezeichnung                                   Anzahl gesamt             Häufigkeitszahl       Anzahl gesamt                AQ in % 2010        2011         2010          2011     2010        2011        2010           2011 516000         Betrug bzw. Computerbetrug mittels rechtswidrig erlangter unbarer Zahlungsmittel               19          16            51           43       5           5           26,3          31,3 516200         Betrug mittels rechtswidrig erlangter Zahlungskarten ohne PIN (Lastschriftverfahren)                        1             0            3                                              0,0 516300         Computerbetrug mittels rechtswidrig erlanger Zahlungskarten mit PIN                             5           5            13           13                   2            0,0          40,0 516400         Betrug m. rechtsw. erlangter Kreditkarten                                                       5           3            13            8       4                       80,0           0,0 516500         Betrug bzw. Computerbetrug mittels rechtswidrig erlangter Daten von Zahlungskarten              9           7            24           19       1           3           11,1          42,9 517000         Sonstiger Betrug                                                                              124         100          331           267      96          67           77,4          67,0 517100         Leistungsbetrug                                                                                             4             0           11                   4                        100,0 517200         Leistungskreditbetrug                                                                          11           6            29           16      12           6          109,1         100,0 517400         Betrug z.N.v. Versich. und Versich.missbrauch                                                   1           2             3            5       1           2          100,0         100,0 517410         Betrug zum Nachteil von Versicherungen                                                          1           2             3            5       1           2          100,0         100,0 517500         Computerbetrug (sonstiger)                                                                      7           8            19           21       1                       14,3           0,0 517600         Provisionsbetrug                                                                                            2             0            5                   2                        100,0 517700         Betrug z.N.v. Sozialversich. und SV-trägern                                                     2           1             5            3       2           1          100,0         100,0 517800         Sozialleistungsbetrug                                                                          22          13            59           35      22          13          100,0         100,0 517900         Missbräuchliche Nutzung von Telekommunikationsdiensten                                          2           1             5            3       2           1          100,0         100,0 518100         Abrechnungsbetrug                                                                               1           2             3            5       1           2          100,0         100,0 518179         Sonstiger Abrechnungsbetrug                                                                     1           2             3            5       1           2          100,0         100,0 518200         Einmietbetrug                                                                                   7           2            19            5       6           2           85,7         100,0 518300         Überweisungsbetrug                                                                              2           1             5            3       2           1          100,0         100,0 518320         Überweisungsbetrug                                                                              2           1             5            3       2           1          100,0         100,0 518400         Zechbetrug                                                                                      1                         3            0       1                      100,0 518800         Kreditvermittlungsbetrug                                                                                                  0            0 518900         Sonstige weitere Betrugsarten                                                                  68          58          182           155      46          33           67,6          56,9 520000         Veruntreuungen                                                                                 28          11            75           29      28          11          100,0         100,0 521000         Untreue                                                                                         1                         3            0       1                      100,0 521079         Sonstige Untreue                                                                                1                         3            0       1                      100,0 522000         Vorenthalten und Veruntreuen von Arbeitsentgelt                                                27          11            72           29      27          11          100,0         100,0 530000         Unterschlagung                                                                                 48          43          128           115      31          31           64,6          72,1 530010         Sonstige Unterschlagung ohne von Kfz                                                           29                        77            0      19                       65,5 530020         Sonstige Unterschlagung gemäß § 247 - ohne von Kfz                                              2                         5            0       2                      100,0 530030         Unterschlagung geringwertiger Sachen                                                            9                        24            0       2                       22,2 531000         Unterschlagung von Kfz                                                                          8           1            21            3       8           1          100,0         100,0 531010         Unterschlagung von Kfz gemäß § 246, 247 StGB                                                    6                        16            0       6                      100,0 531020         Unterschlagung von Kfz gemäß § 247 StGB                                                         2                         5            0       2                      100,0 540000         Urkundenfälschung                                                                              15          13            40           35      14          11           93,3          84,6 540001         Sonstige Urkundenfälschung                                                                     11          12            29           32      10          10           90,9          83,3
64

Seite 46 von 80 Polizeirevier Nauen Frage 34: Erfasste Fälle, Aufgeklärte Fälle, Aufklärungsquoten, Häufigkeitskennzahlen für alle Deliktsfelder Erfasste Fälle                                 Aufgeklärte Fälle Schlüssel                                                  Bezeichnung                                 Anzahl gesamt             Häufigkeitszahl        Anzahl gesamt                AQ in % 2010        2011         2010          2011      2010        2011        2010           2011 540004         Urkundenunterdrückung; Veränderung einer Grenzbezeichnung § 274 StGB                            1                         3             0        1                     100,0 540007         Fälschung von Gesundheitszeugnissen                                                             1                         3             0        1                     100,0 541000         Fälschung technischer Aufzeichnungen                                                            1                         3             0        1                     100,0 541001         Manipulation von Fahrtenschreibern und EG-Kontrollgeräten gemäß § 268 StGB                      1                         3             0        1                     100,0 542000         Fälschung zur Erlangung von Btm                                                                 1                         3             0        1                     100,0 543000         Fälsch. beweiserhebl. Daten, Täusch. im Rechtsverkehr b. Datenverarb.                                       1             0             3                    1                       100,0 543010         Fälschung beweiserheblicher Daten                                                                           1             0             3                    1                       100,0 550000         Geld- und Wertzeichenfälschung                                                                  4           2            11             5        2           2          50,0         100,0 552000         Inverkehrbringen von Falschgeld §§ 146 Abs. 1 Nr. 3, 147 StGB                                   2                         5             0        2                     100,0 552020         Inverkehrbringen von Falschgeld gemäß § 147 StGB (nach gutgläubigem Erwerb)                     2                         5             0        2                     100,0 553000         Fälsch. v. Zahlungskarten mit/ohne Garantiefunktion, Schecks u. Wechseln                        2           2             5             5                    2           0,0         100,0 553100         Gebr. falscher Zahlungsk. mit oder ohne Garantiefunktion, Schecks und Wechsel                   2           2             5             5                    2           0,0         100,0 553120         Gebrauch falscher Zahlungskarten mit Garantiefunktion                                           2           2             5             5                    2           0,0         100,0 560000         Insolvenzstraftaten                                                                             2           6             5            16        2           6         100,0         100,0 561000         Bankrott                                                                                        1           5             3            13        1           5         100,0         100,0 563000         Verletzung der Buchführungspflicht                                                              1           1             3             3        1           1         100,0         100,0 600000         Sonstige Straftatbestände (StGB)                                                              569         596         1.520         1.591      322         319          56,6          53,5 610000         Erpressung                                                                                                  5             0            13                    4                        80,0 610079         Sonstige Erpressung                                                                                         5             0            13                    4                        80,0 620000         Widerstand gg. die Staatsgewalt und ST gg. die öff. Ordnung                                    48          49           128           131       44          44          91,7          89,8 620001         Störung des öffentl. Friedens durch Androhung von ST                                            4           1            11             3        3           1          75,0         100,0 620010         Nichtanzeige geplanter Straftaten                                                                           1             0             3                    1                       100,0 620013         Missbr. von Notrufen und Beeintr. v. Unfallverhütungs- und Nothilfemitteln                      4          13            11            35        3           9          75,0          69,2 620014         Verstoß gg. Weisung während Führungsaufsicht                                                    2                         5             0        2                     100,0 621000         Widerstand gg. die Staatsgewalt                                                                 3           8             8            21        3           8         100,0         100,0 621020         Widerstand gg. Vollstreckungsbeamte                                                             3           8             8            21        3           8         100,0         100,0 621021         Widerstand gegen Polizeivollzugsbeamte                                                          2           8             5            21        2           8         100,0         100,0 621029         Widerstand gegen Vollstreckungsbeamte (ohne Polizeivollzugsbeamte)                              1                         3             0        1                     100,0 622000         Hausfriedensbruch                                                                              21          17            56            45       19          16          90,5          94,1 622100         Hausfriedensbruch gemäß § 123 StGB                                                             21          17            56            45       19          16          90,5          94,1 624000         Vortäuschen einer Straftat                                                                     14           9            37            24       14           9         100,0         100,0 624010         Vortäuschen einer Straftat gg. die sex. Selbstbestimmung                                        1                         3             0        1                     100,0 624079         Vortäuschen einer sonstigen Straftat                                                           10           9            27            24       10           9         100,0         100,0 624100         Vortäuschen eines Raubes                                                                        1                         3             0        1                     100,0 624200         Vortäuschen eines Diebstahls                                                                    2                         5             0        2                     100,0 624201         Vortäuschen eines Kfz-Diebstahls                                                                2                         5             0        2                     100,0
65

Seite 47 von 80 Polizeirevier Nauen Frage 34: Erfasste Fälle, Aufgeklärte Fälle, Aufklärungsquoten, Häufigkeitskennzahlen für alle Deliktsfelder Erfasste Fälle                                 Aufgeklärte Fälle Schlüssel                                                   Bezeichnung                                Anzahl gesamt             Häufigkeitszahl        Anzahl gesamt                AQ in % 2010        2011         2010          2011      2010        2011        2010           2011 630000         Begünstigung, Strafvereitelung, Hehlerei u. Geldwäsche                                         10          12            27            32        9          12          90,0         100,0 630010         Begünstigung                                                                                                1             0             3                    1                       100,0 630020         Strafvereitelung                                                                                2           2             5             5        1           2          50,0         100,0 631000         Hehlerei von Kfz                                                                                2           1             5             3        2           1         100,0         100,0 631079         Hehlerei von Kfz gemäß § 259 StGB                                                               2           1             5             3        2           1         100,0         100,0 632000         Sonstige Hehlerei                                                                               3           3             8             8        3           3         100,0         100,0 632079         Sonstige Hehlerei                                                                               3           3             8             8        3           3         100,0         100,0 633000         Geldwäsche, Verschleierung unrechtmäßig erl. Vermögenswerte                                     3           5             8            13        3           5         100,0         100,0 640000         Brandstiftung und Herbeiführen einer Brandgefahr                                               12          20            32            53        5          13          41,7          65,0 640010         Fahrlässige Brandstiftung                                                                       4           6            11            16        4           5         100,0          83,3 641000         (Vorsätzliche) Brandstiftung und Herbeiführen einer Brandgefahr                                 8          14            21            37        1           8          12,5          57,1 641010         Vorsätzliche Brandstiftung                                                                      4          13            11            35                    7           0,0          53,8 641020         Schwere Brandstiftung                                                                           3           1             8             3                    1           0,0         100,0 641040         Brandstiftung mit Todesfolge                                                                    1                         3             0        1                     100,0 650000         Wettbewerbs-, Korruptions- und Amtsdelikte                                                                  4             0            11                                              0,0 655000         Sonstige Straftaten im Amt                                                                                  4             0            11                                              0,0 655002         Rechtsbeugung                                                                                               2             0             5                                              0,0 655006         Falschbeurkundung im Amt                                                                                    2             0             5                                              0,0 660000         Strafbarer Eigennutz                                                                            4           4            11            11        3           3          75,0          75,0 662000         Wilderei                                                                                        4           4            11            11        3           3          75,0          75,0 662001         Fischwilderei                                                                                   1           2             3             5        1           2         100,0         100,0 662100         Jagdwilderei                                                                                    3           2             8             5        2           1          66,7          50,0 670000         Alle sonstigen ST gemäß StGB - ohne Verkehrsdelikte                                           495         502         1.323         1.340      261         243          52,7          48,4 670001         Falsche uneidliche Aussage (Falschaussage)                                                      7           9            19            24        7           9         100,0         100,0 670003         Falsche Versicherung an Eides statt                                                             6          10            16            27        6          10         100,0         100,0 670007         Falsche Verdächtigung                                                                          26          19            69            51       25          18          96,2          94,7 670011         Störung der Totenruhe                                                                           2           1             5             3        1           1          50,0         100,0 670015         Üble Nachrede und Verleumdung gg. Personen des politischen Lebens                               1                         3             0        1                     100,0 670017         Verletzung des Briefgeheimnisses                                                                3                         8             0        3                     100,0 670020         Verletzung des Post- u. Fernmeldegeheimnisses                                                   4                        11             0        4                     100,0 670024         Gefährl. Eingriffe in den Bahn-, Schiffs- und Luftverkehr                                       3           4             8            11                    1           0,0          25,0 670025         Gefährliche Eingriffe in den Straßenverkehr                                                     4           6            11            16        2           3          50,0          50,0 670026         Störung öffentlicher Betriebe                                                                   2           1             5             3        1           1          50,0         100,0 670032         Unterlassene Hilfeleistung                                                                                  2             0             5                    1                        50,0 670034         Verl. des höchstpersönl. Lebensbereiches durch Bildaufnahmen                                    3           2             8             5        2           1          66,7          50,0 671000         Verletzung der Unterhaltspflicht                                                                5           6            13            16        5           6         100,0         100,0
66

Seite 48 von 80 Polizeirevier Nauen Frage 34: Erfasste Fälle, Aufgeklärte Fälle, Aufklärungsquoten, Häufigkeitskennzahlen für alle Deliktsfelder Erfasste Fälle                                Aufgeklärte Fälle Schlüssel                                                Bezeichnung                                   Anzahl gesamt             Häufigkeitszahl       Anzahl gesamt                AQ in % 2010        2011         2010          2011     2010        2011        2010           2011 672000         Verletzung der Fürsorge- oder Erziehungspflicht                                                 5           6            13           16       5           6          100,0         100,0 673000         Beleidigung                                                                                   103          90          275           240      96          85           93,2          94,4 673010         Beleidigung ohne sex. Grundlage                                                                64          60          171           160      60          58           93,8          96,7 673020         Üble Nachrede ohne sex. Grundlage                                                               8           3            21            8       8           3          100,0         100,0 673030         Verleumdung ohne sex. Grundlage                                                                20          16            53           43      19          16           95,0         100,0 673100         Beleidigung auf sex. Grundlage                                                                 11          11            29           29       9           8           81,8          72,7 673110         Beleidigung auf sex. Grundlage                                                                  8          10            21           27       7           7           87,5          70,0 673120         Üble Nachrede auf sex. Grundlage                                                                3           1             8            3       2           1           66,7         100,0 674000         Sachbeschädigung                                                                              307         335          820           894      95          96           30,9          28,7 674010         Sachbeschädigung (ohne 674100, 674300)                                                        205         219          548           585      63          72           30,7          32,9 674011         Sachbeschädigung durch Graffiti (ohne 674111, 674311)                                          63          79          168           211       4          14            6,3          17,7 674012         Sachbeschädigung durch Feuer (ohne 674312)                                                      3          12             8           32       1           2           33,3          16,7 674019         Sonstige Sachbeschäd. (ohne 674119, 674319)                                                   139         128          371           342      58          56           41,7          43,8 674020         Gemeinschädl. Sachb. (ohne 674320)                                                              4           9            11           24       1           1           25,0          11,1 674021         Gemeinschädl. Sachb. durch Graffiti (ohne 674321)                                               1           2             3            5       1                      100,0           0,0 674022         Gemeinschädl. Sachb. durch Feuer (ohne 674322)                                                              1             0            3                   1                        100,0 674029         Sonstige gemeinschädl. Sachb. (ohne 674329)                                                     3           6             8           16                                0,0           0,0 674100         Sachbeschädigung an Kfz                                                                        70          68          187           182      25          15           35,7          22,1 674111         Sachbeschädigung durch Graffiti an Kfz                                                          7           4            19           11       1                       14,3           0,0 674119         Sonstige Sachbeschädigung an Kfz                                                               63          64          168           171      24          15           38,1          23,4 674200         Datenveränderung, Computersabotage                                                              1                         3            0       1                      100,0 674210         Datenveränderung                                                                                1                         3            0       1                      100,0 674300         Sonstige Sachb. auf Straßen, Wegen oder Plätzen                                                26          39            69          104       5           8           19,2          20,5 674310         Sonst. Sachb. auf Straßen/Wegen/Plätzen gemäß § 303 StGB                                       13          28            35           75       3           4           23,1          14,3 674311         Sonst. Sachb. durch Graffiti auf Straßen/Wegen/Plätzen                                          1           4             3           11                                0,0           0,0 674312         Sonst. Sachb. durch Feuer auf Straßen/Wegen/Plätzen                                             1           2             3            5                                0,0           0,0 674319         Sonstige Sachb. auf Straßen/Wegen/Plätzen                                                      11          22            29           59       3           4           27,3          18,2 674320         Gemeinschädl. Sachb. auf Straßen/Wegen/Plätzen                                                 13          11            35           29       2           4           15,4          36,4 674321         Gemeinschädl. Sachb. durch Graffiti auf Straßen/Wegen/Plätzen                                   3           3             8            8       1           1           33,3          33,3 674329         Sonstige gemeinschädl. Sachb. auf Straßen/Wegen/Plätzen                                        10           8            27           21       1           3           10,0          37,5 674500         Zerstörung wichtiger Arbeitsmittel                                                              1                         3            0                                0,0 674519         Sonstige Zerstörung wichtiger Arbeitsmittel                                                     1                         3            0                                0,0 675000         Sprengstoff- und Strahlungsverbrechen                                                           1           2             3            5       1           2          100,0         100,0 675200         Herbeiführen einer Sprengstoffexplosion                                                         1           2             3            5       1           2          100,0         100,0 676000         Straftaten gg. die Umwelt                                                                       7           3            19            8       5           2           71,4          66,7 676010         Bodenverunreinigung                                                                             2           1             5            3       1           1           50,0         100,0
67

Seite 49 von 80 Polizeirevier Nauen Frage 34: Erfasste Fälle, Aufgeklärte Fälle, Aufklärungsquoten, Häufigkeitskennzahlen für alle Deliktsfelder Erfasste Fälle                                Aufgeklärte Fälle Schlüssel                                                  Bezeichnung                                 Anzahl gesamt             Häufigkeitszahl       Anzahl gesamt                AQ in % 2010        2011         2010          2011     2010        2011        2010           2011 676011         Bodenverunreinigung 324a StGB                                                                   2           1             5            3        1          1           50,0         100,0 676400         Unerlaubter Umgang mit gefährlichen Abfällen                                                    2           1             5            3        1                      50,0           0,0 676410         Unerl. Umgang mit Abfällen                                                                      2           1             5            3        1                      50,0           0,0 676411         Unerl. Umgang mit Abfällen § 326 Abs. 1                                                         2           1             5            3        1                      50,0           0,0 676500         Unerlaubtes Betreiben von Anlagen                                                               3           1             8            3        3          1          100,0         100,0 676510         Unerl. Betreib v. Anlag. (kerntech. Anl. und Kernbrennstoffe)                                   2                         5            0        2                     100,0 676511         Unerl. Betreiben von Anlagen (kerntech. Anl. und Kernbrennstoffe)                               2                         5            0        2                     100,0 676520         Unerl. Betreiben von Anlagen                                                                    1           1             3            3        1          1          100,0         100,0 676521         Unerl. Betreiben von Anlagen § 327 Abs. 2                                                       1           1             3            3        1          1          100,0         100,0 678000         Ausspähen von Daten                                                                             6           6            16           16        2          1           33,3          16,7 678010         Ausspähen von Daten gemäß § 202a StGB                                                           6           4            16           11        2          1           33,3          25,0 678030         Vorbereiten des Ausspähens und Abfangens von Daten                                                          2             0            5                                              0,0 700000         Strafrechtliche Nebengesetze                                                                  122         103          326           275      111         94           91,0          91,3 710000         ST gg. strafrechtl. Nebengesetze auf dem Wirtschaftssektor                                     13           7            35           19       13          6          100,0          85,7 712000         Straftaten nach AktG, GenG, GmbHG, HGB, RechnungslegungsG, UmwandlungsG, InsO                   5           2            13            5        5          2          100,0         100,0 712030         GmbH-Gesetz                                                                                     1                         3            0        1                     100,0 712050         Rechnungslegungsgesetz                                                                                      1             0            3                   1                        100,0 712200         Insolvenzverschleppung § 15a InsO                                                               4           1            11            3        4          1          100,0         100,0 713000         Delikte i.Z.m. Schwarzarbeitsbekämpfungs- und Arbeitnehmerüberlassungsgesetz                                1             0            3                   1                        100,0 713010         Arbeitnehmerüberlassungsgesetz                                                                              1             0            3                   1                        100,0 715000         ST i.Z.m. Urheberrechtsbestimmungen                                                                         1             0            3                   1                        100,0 715050         UHG -sonstige Verstöße- (ohne Schl. 715100 u. 725200)                                                       1             0            3                   1                        100,0 716000         ST i.Z.m. Lebensmitteln (z.B. Lebensmittel- und Futtermittelgesetzbuch)                         6           1            16            3        6          1          100,0         100,0 716100         ST nach dem Lebensmittel- und Bedarfsgg.ständegesetz                                            6           1            16            3        6          1          100,0         100,0 719000         Sonst. ST (Nebengesetze) a. d. Wirtschaftssektor (z.B. RennwG)                                  2           2             5            5        2          1          100,0          50,0 719079         Sonstige Nebengesetze auf dem Wirtschaftssektor                                                 2           2             5            5        2          1          100,0          50,0 720000         ST gg. sonstige strafrechtliche Nebengesetze -ohne Verkehrsdelikte-                            43          24          115            64       37         21           86,0          87,5 720002         Versammlungsgesetze des Bundes und der Länder                                                   1           1             3            3        1                     100,0           0,0 720079         Sonstige strafrechtliche Nebengesetze                                                           1           1             3            3        1          1          100,0         100,0 721000         ST gg. § 27 Abs. 2 des Jugendschutzgesetzes                                                     1                         3            0                                0,0 722000         ST gg. § 27 Abs. 1 des Jugendschutzgesetzes                                                                 1             0            3                                              0,0 725000         Straftaten gegen das Aufenthalts-, das Asyl- und das Freizügigkeitsgesetz/EU                    6           3            16            8        6          3          100,0         100,0 725500         Straftaten gegen §§ 84, 85 Asylgesetz                                                           3                         8            0        3                     100,0 725520         Straftaten gegen § 85 Asylgesetz                                                                3                         8            0        3                     100,0 725700         Unerl. Aufenthalt gem. § 95 Abs. 1 Nr. 1, 2 und Abs. 2 Nr. 1b Aufenthaltsgesetz                 3           1             8            3        3          1          100,0         100,0 725710         Unerl. Aufenthalt gemäß § 95 Abs. 1 Nr. 1 und 2 AufenthG                                        3                         8            0        3                     100,0
68

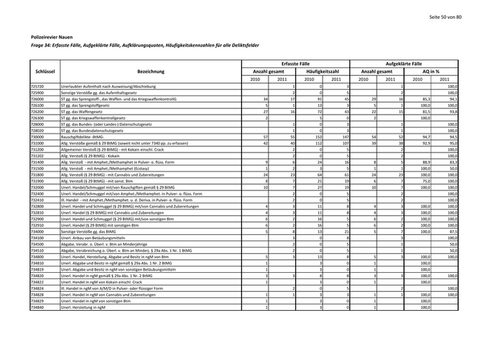
Seite 50 von 80 Polizeirevier Nauen Frage 34: Erfasste Fälle, Aufgeklärte Fälle, Aufklärungsquoten, Häufigkeitskennzahlen für alle Deliktsfelder Erfasste Fälle                                Aufgeklärte Fälle Schlüssel                                                Bezeichnung                                   Anzahl gesamt             Häufigkeitszahl       Anzahl gesamt                AQ in % 2010        2011         2010          2011     2010        2011        2010           2011 725720         Unerlaubter Aufenthalt nach Ausweisung/Abschiebung                                                          1             0            3                   1                        100,0 725900         Sonstige Verstöße gg. das Aufenthaltsgesetz                                                                 2             0            5                   2                        100,0 726000         ST gg. das Sprengstoff-, das Waffen- und das KriegswaffenkontrollG                            34           17            91           45      29          16           85,3          94,1 726100         ST gg. das Sprengstoffgesetz                                                                   5            1            13            3       5           1          100,0         100,0 726200         ST gg. das Waffengesetz                                                                       27           16            72           43      22          15           81,5          93,8 726300         ST gg. das Kriegswaffenkontrollgesetz                                                          2                          5            0       2                      100,0 728000         ST gg. das Bundes- (oder Landes-) Datenschutzgesetz                                                         1             0            3                   1                        100,0 728020         ST gg. das Bundesdatenschutzgesetz                                                                          1             0            3                   1                        100,0 730000         Rauschgiftdelikte -BtMG-                                                                      57           55          152           147      54          52           94,7          94,5 731000         Allg. Verstöße gemäß § 29 BtMG (soweit nicht unter 7340 pp. zu erfassen)                      42           40          112           107      39          38           92,9          95,0 731200         Allgemeiner Verstoß (§ 29 BtMG) - mit Kokain einschl. Crack                                                 2             0            5                   2                        100,0 731202         Allg. Verstoß (§ 29 BtMG) - Kokain                                                                          2             0            5                   2                        100,0 731400         Allg. Verstoß - mit Amphet./Methamphet in Pulver- o. flüss. Form                               9            6            24           16       8           5           88,9          83,3 731500         Allg. Verstoß - mit Amphet./Methamphet (Ecstasy)                                               1            2             3            5       1           1          100,0          50,0 731800         Allg. Verstoß (§ 29 BtMG) - mit Cannabis und Zubereitungen                                    24           23            64           61      24          23          100,0         100,0 731900         Allg. Verstoß (§ 29 BtMG) - mit sonst. Btm                                                     8            7            21           19       6           7           75,0         100,0 732000         Unerl. Handel/Schmuggel mit/von Rauschgiften gemäß § 29 BtMG                                  10            7            27           19      10           7          100,0         100,0 732400         Unerl. Handel/Schmuggel mit/von Amphet./Methamphet. in Pulver- o. flüss. Form                               2             0            5                   2                        100,0 732410         Ill. Handel - mit Amphet./Methamphet. u. d. Deriva. in Pulver- o. flüss. Form                               2             0            5                   2                        100,0 732800         Unerl. Handel und Schmuggel (§ 29 BtMG) mit/von Cannabis und Zubereitungen                     4            3            11            8       4           3          100,0         100,0 732810         Unerl. Handel (§ 29 BtMG) mit Cannabis und Zubereitungen                                       4            3            11            8       4           3          100,0         100,0 732900         Unerl. Handel und Schmuggel (§ 29 BtMG) mit/von sonstigen Btm                                  6            2            16            5       6           2          100,0         100,0 732910         Unerl. Handel (§ 29 BtMG) mit sonstigen Btm                                                    6            2            16            5       6           2          100,0         100,0 734000         Sonstige Verstöße gg. das BtMG                                                                 5            8            13           21       5           7          100,0          87,5 734100         Unerl. Anbau von Betäubungsmitteln                                                                          3             0            8                   3                        100,0 734500         Abgabe, Verabr. o. Überl. v. Btm an Minderjährige                                                           2             0            5                   1                         50,0 734510         Abgabe, Verabreichung o. Überl. v. Btm an Minderj. § 29a Abs. 1 Nr. 1 BtMG                                  2             0            5                   1                         50,0 734800         Unerl. Handel, Herstellung, Abgabe und Besitz in ngM von Btm                                   5            3            13            8       5           3          100,0         100,0 734810         Unerl. Abgabe und Besitz in ngM gemäß § 29a Abs. 1 Nr. 2 BtMG                                  1                          3            0       1                      100,0 734819         Unerl. Abgabe und Besitz in ngM von sonstigen Betäubungsmitteln                                1                          3            0       1                      100,0 734820         Unerl. Handel in ngM gemäß § 29a Abs. 1 Nr. 2 BtMG                                             3            3             8            8       3           3          100,0         100,0 734822         Unerl. Handel in ngM von Kokain einschl. Crack                                                 1                          3            0       1                      100,0 734824         Ill. Handel in ngM von A/M/D in Pulver- oder flüssiger Form                                                 2             0            5                   2                        100,0 734828         Unerl. Handel in ngM von Cannabis und Zubereitungen                                            1            1             3            3       1           1          100,0         100,0 734829         Unerl. Handel in ngM von sonstigen Btm                                                         1                          3            0       1                      100,0 734840         Unerl. Herstellung in ngM                                                                      1                          3            0       1                      100,0
69

Seite 51 von 80 Polizeirevier Nauen Frage 34: Erfasste Fälle, Aufgeklärte Fälle, Aufklärungsquoten, Häufigkeitskennzahlen für alle Deliktsfelder Erfasste Fälle                                 Aufgeklärte Fälle Schlüssel                                                    Bezeichnung                               Anzahl gesamt             Häufigkeitszahl        Anzahl gesamt                AQ in % 2010        2011         2010          2011      2010        2011        2010           2011 734848         Unerl. Herstellung in ngM von Cannabis und Zubereitungen                                         1                        3             0        1                     100,0 740000         Straft. gg. strafrechtl. Nebenges. auf dem Umwelt- und Verbraucherschutzsektor                   9          17           24            45        7          15          77,8          88,2 743000         ST nach dem Bundesnaturschutz-, Tierschutz-, Bundesjagd- und PflanzenschutzG                     9          17           24            45        7          15          77,8          88,2 743010         Bundesnaturschutzgesetz                                                                          1                        3             0                                0,0 743020         Tierschutzgesetz                                                                                 8          17           21            45        7          15          87,5          88,2 890000         ST insgesamt, o. Verst. g. Aufenth.-, Asyl- u. FreizügigkeitsG/EU                            2.616       2.463        6.990         6.574    1.571       1.358          60,1          55,1 891000         Rauschgiftkriminalität                                                                          60          55          160           147       56          52          93,3          94,5 891100         direkte Beschaffungskriminalität                                                                 3                        8             0        2                      66,7 892000         Gewaltkriminalität                                                                              79          78          211           208       64          68          81,0          87,2 892500         Mord und Totschlag                                                                               3                        8             0        3                     100,0 893000         Wirtschaftskriminalität und zwar:                                                               71          26          190            69       69          26          97,2         100,0 893100         Wikri bei Betrug                                                                                29           3           77             8       29           3         100,0         100,0 893200         Wikri - Insolvenzstraftaten gemäß StGB und Nebenstrafrecht                                       6           7           16            19        6           7         100,0         100,0 893300         Wikri - im Anlage- und Finanzierungsbereich pp.                                                 26                       69             0       26                     100,0 893400         Wikri - Wettbewerbsdelikte                                                                                                0             0 893500         Wikri - i.Z.m. Arbeitsverhältnissen                                                             26          11           69            29       26          11         100,0         100,0 893600         Wikri - Betrug und Untreue i.Z.m. Beteiligungen und Kapitalanlagen                              26                       69             0       26                     100,0 894000         KFZ-Kriminalität                                                                               312         341          834           910       59          44          18,9          12,9 896000         ST gegen Bestimmungen zum Schutze der Jugend                                                     1           2            3             5                    1           0,0          50,0 897000         Computerkriminalität                                                                            21          21           56            56        6           5          28,6          23,8 898000         Straftaten insgesamt auf dem Umwelt- und Verbraucherschutzsektor                                27          27           72            72       22          23          81,5          85,2 898100         Umweltstraftaten gemäß 29. Abschnitt des StGB                                                    7           3           19             8        5           2          71,4          66,7 898200         Sonstige Straftaten nach dem StGB mit Umweltrelevanz                                             5           6           13            16        4           5          80,0          83,3 898300         Straftaten auf dem Umwelt- und Verbraucherschutzsektor gem. strafr. Nebengesetze                15          18           40            48       13          16          86,7          88,9 899000         Straßenkriminalität                                                                            477         496        1.274         1.324      124         129          26,0          26,0 899100         Straßenraub                                                                                      7           9           19            24        4           6          57,1          66,7 899200         Straßendiebstahl                                                                               356         359          951           958       77          86          21,6          24,0 899500         Sachbeschädigung durch Graffiti insgesamt                                                       75          92          200           246        7          15           9,3          16,3
70

Zur nächsten Seite