Polizeistrukturreform - Polizeirevier Nauen

/ 273
PDF herunterladen
Seite 52 von 80 Polizeirevier Nauen Frage 34: Erfasste Fälle, Aufgeklärte Fälle, Aufklärungsquoten, Häufigkeitskennzahlen für alle Deliktsfelder Erfasste Fälle                            Aufgeklärte Fälle Schlüssel                                                     Bezeichnung                                 Anzahl gesamt         Häufigkeitszahl      Anzahl gesamt             AQ in % 2012       2013       2012        2013     2012       2013        2012        2013 ------         Straftaten insgesamt                                                                             2.849      3.021        7.571     8.095    1.516      1.857        53,2         61,5 000000         ST gg. das Leben                                                                                     2          3            5         8        2          2       100,0         66,7 010000         Mord                                                                                                 1                       3         0        1                  100,0 010079         Sonstiger Mord                                                                                       1                       3         0        1                  100,0 030000         Fahrlässige Tötung - nicht i.V.m. Verkehrsunfall -                                                   1          2            3         5        1          1       100,0         50,0 040000         Abbruch der Schwangerschaft                                                                                     1            0         3                   1                    100,0 040040         Werbung für den Abbruch der Schwangerschaft                                                                     1            0         3                   1                    100,0 100000         ST gg. die sex. Selbstbestimmung                                                                    14         17           37        46       12         18        85,7        105,9 110000         unter Gewaltanw. o. Ausnutzen e. Abhängigkeitsverh.                                                  3          3            8         8        2          4        66,7        133,3 111000         Vergewaltigung und sex. Nötigung                                                                     2          3            5         8        1          4        50,0        133,3 111400         Sonstige Straftaten gemäß § 177 Abs. 2 Nr. 1, Abs. 3 und 4 StGB                                      2          3            5         8        1          4        50,0        133,3 112000         Sonstige sex. Nötigung                                                                               1                       3         0        1                  100,0 130000         Sexueller Missbrauch                                                                                10         10           27        27        9         10        90,0        100,0 131000         Sex. Missbr. von Kindern                                                                             5          8           13        21        4          8        80,0        100,0 131100         Sexuelle Handlungen gemäß § 176 Abs. 1 und 2 StGB                                                    5          5           13        13        4          5        80,0        100,0 131300         sex. Handlungen gemäß § 176 Abs. 4 Nr. 2 StGB                                                                   1            0         3                   1                    100,0 131500         Vollzug des Beischlafs mit einem Kind oder Vornahme einer ähnl. sex. Handlung                                   1            0         3                   1                    100,0 131700         Sonstiger schwerer sex. Missbr. von Kindern                                                                     1            0         3                   1                    100,0 132000         Exhibitionistische Handlungen und Erregung öffentlichen Ärgernisses                                  1          1            3         3        1          1       100,0        100,0 132010         Exhibitionistische Handlungen                                                                        1          1            3         3        1          1       100,0        100,0 133000         Sex. Missbr. von Jugendlichen                                                                        3                       8         0        3                  100,0 134000         Sex. Missbr. Widerstandsunfähiger                                                                    1          1            3         3        1          1       100,0        100,0 140000         Ausnutzen sexueller Neigung                                                                          1          4            3        11        1          4       100,0        100,0 143000         Verbreitung pornographischer Schriften (Erzeugnisse)                                                 1          4            3        11        1          4       100,0        100,0 143300         Besitz/Verschaffung von Kinderpornographie                                                           1          4            3        11        1          4       100,0        100,0 200000         Rohheitsdelikte und ST gg. die persönliche Freiheit                                                381        376        1.012     1.008      345        353        90,6         93,9 210000         Raub, räuberische Erpressung und räuberischer Angriff auf Kraftfahrer                               15         15           40        40       12         11        80,0         73,3 210010         Sonstiger Raub                                                                                                  1            0         3                                          0,0 210040         Räuberischer Diebstahl                                                                               4          4           11        11        2          4        50,0        100,0 210050         Sonstige räuberische Erpressung                                                                      2          3            5         8        2          3       100,0        100,0 212000         Raubüberfälle auf sonstige Zahlstellen und Geschäfte                                                 4          3           11         8        4          2       100,0         66,7 212050         Räub. Erpressung gg. sonstige Zahlstellen oder Geschäfte                                             3          2            8         5        3          1       100,0         50,0 212100         Raubüberfälle auf Spielhallen                                                                                   1            0         3                   1                    100,0 212110         Raub auf Spielhallen                                                                                            1            0         3                   1                    100,0 212200         Raubüberfälle auf Tankstellen                                                                        1                       3         0        1                  100,0 212250         Räub. Erpressung gg. Tankstellen                                                                     1                       3         0        1                  100,0
71

Seite 53 von 80 Polizeirevier Nauen Frage 34: Erfasste Fälle, Aufgeklärte Fälle, Aufklärungsquoten, Häufigkeitskennzahlen für alle Deliktsfelder Erfasste Fälle                            Aufgeklärte Fälle Schlüssel                                                      Bezeichnung                                  Anzahl gesamt         Häufigkeitszahl      Anzahl gesamt             AQ in % 2012       2013       2012        2013     2012       2013        2012         2013 217000         Sonstige Raubüberfälle auf Straßen, Wegen oder Plätzen                                               2          4            5        11        3          2       150,0          50,0 217010         Sonst. Raub auf Straßen/Wegen/Plätzen                                                                1          3            3         8        1          1       100,0          33,3 217050         Sonst. räub. Erpressung auf Straßen/Wegen/Plätzen                                                    1          1            3         3        2          1       200,0         100,0 219000         Raubüberfälle in Wohnungen                                                                           3                       8         0        1                   33,3 219010         Raub in Wohnungen                                                                                    2                       5         0        1                   50,0 219020         Schwerer Raub in Wohnungen                                                                           1                       3         0                              0,0 220000         Körperverletzung                                                                                   244        219          648       587      216        210        88,5          95,9 222000         Gefährliche und schwere Körperverletzung                                                            66         54          175       145       57         52        86,4          96,3 222010         Sonst. Tatörtlichkeit bei gefährl. Körperverletzung                                                 44         35          117        94       40         35        90,9         100,0 222020         Sonst. Tatörtlichkeit bei schw. Körperverletzung                                                     1                       3         0        1                  100,0 222100         Gefährliche und schwere Körperverletzung auf Straßen, Wegen oder Plätzen                            21         19           56        51       16         17        76,2          89,5 222110         Gefährl. Körperverletzung gemäß § 224 StGB                                                          21         19           56        51       16         17        76,2          89,5 223000         Misshandlung von Schutzbefohlenen                                                                    5          3           13         8        5          3       100,0         100,0 223001         Misshandlung Schutzbefohlener ab 14 Jahren                                                                      1            0         3                   1                     100,0 223100         Misshandlung von Kindern                                                                             5          2           13         5        5          2       100,0         100,0 224000         Vorsätzliche einfache Körperverletzung § 223 StGB                                                  161        151          428       405      146        146        90,7          96,7 225000         Fahrlässige Körperverletzung                                                                        12         11           32        29        8          9        66,7          81,8 230000         ST gg. die persönliche Freiheit                                                                    122        142          324       381      117        132        95,9          93,0 231000         Menschenraub, Entziehung Minderjähriger, Kinderhandel                                                           4            0        11                   3                      75,0 231200         Entziehung Minderjähriger                                                                                       4            0        11                   3                      75,0 232000         Freiheitsber., Nötigung, Bedrohung, Zwangsheirat, Nachstellung (Stalking)                          122        138          324       370      117        129        95,9          93,5 232100         Freiheitsberaubung                                                                                   1          6            3        16        1          5       100,0          83,3 232200         Nötigung                                                                                            44         64          117       171       41         59        93,2          92,2 232201         Nötigung im Straßenverkehr                                                                          13         26           35        70        9         23        69,2          88,5 232279         Sonstige Nötigung                                                                                   31         38           82       102       32         36       103,2          94,7 232300         Bedrohung                                                                                           55         50          146       134       53         48        96,4          96,0 232400         Nachstellung                                                                                        22         18           58        48       22         17       100,0          94,4 232410         Nachstellung - z.B. räumliche Nähe -                                                                21         16           56        43       21         15       100,0          93,8 232420         Nachstellung - z.B. Gesundheitsbeeinträchtigung -                                                    1          2            3         5        1          2       100,0         100,0 3*****         Diebstahl ohne erschwerende Umstände                                                               453        608        1.204     1.629      170        349        37,5          57,4 3**100         EDS insg. von Kraftwagen einschl. unbefugter Gebrauch                                                3          7            8        19        2          3        66,7          42,9 3**200         EDS insg. von Moped/Krad einschl. unbefugter Gebrauch                                                4          2           11         5        1          2        25,0         100,0 3**300         EDS insg. von Fahrrad einschl. unbefugter Gebrauch                                                  20         16           53        43        2          8        10,0          50,0 3**500         EDS insg. von unbaren Zahlungsmitteln                                                                3         10            8        27                   4          0,0         40,0 3**700         EDS insg. von/aus Automaten                                                                          1                       3         0        1                  100,0 300000         EDS - Sonstiger                                                                                    140        194          372       520       36         81        25,7          41,8
72

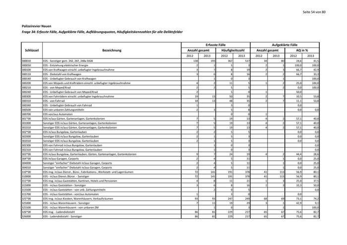
Seite 54 von 80 Polizeirevier Nauen Frage 34: Erfasste Fälle, Aufgeklärte Fälle, Aufklärungsquoten, Häufigkeitskennzahlen für alle Deliktsfelder Erfasste Fälle                            Aufgeklärte Fälle Schlüssel                                                      Bezeichnung                                  Anzahl gesamt         Häufigkeitszahl      Anzahl gesamt             AQ in % 2012       2013       2012        2013     2012       2013        2012         2013 300010         EDS - Sonstiger gem. 242, 247, 248a StGB                                                           138        193        367         517      34          80        24,6          41,5 300050         EDS - Entziehung elektrischer Energie                                                                2          1          5           3       2           1       100,0         100,0 300100         EDS von Kraftwagen einschl. unbefugter Ingebrauchnahme                                               3          7          8          19       2           3        66,7          42,9 300110         EDS - Diebstahl von Kraftwagen                                                                       3          6          8          16       2           2        66,7          33,3 300140         EDS - Unbefugter Gebrauch von Kraftwagen                                                                        1          0           3                   1                     100,0 300200         EDS von Mopeds und Krafträdern einschl. unbefugter Ingebrauchnahme                                   4          2         11           5       1           2        25,0         100,0 300210         EDS - von Moped/Krad                                                                                 2          2          5           5                   2          0,0        100,0 300240         EDS - Unbefugter Gebrauch von Moped/Krad                                                             2                     5           0       1                    50,0 300300         EDS von Fahrrädern einschl. unbefugter Ingebrauchnahme                                              19         13         50          35       2           7        10,5          53,8 300310         EDS - von Fahrrad                                                                                   18         13         48          35       2           7        11,1          53,8 300340         EDS - Unbefugter Gebrauch von Fahrrad                                                                1                     3           0                              0,0 300500         EDS von unbaren Zahlungsmitteln                                                                      2          3          5           8                              0,0          0,0 300700         EDS von/aus Automaten                                                                                                      0           0       1 301*00         EDS in/aus Gärten, Gartenanlagen, Gartenkolonien                                                     7          5         19          13       4           2        57,1          40,0 301000         Sonstiger EDS in/aus Gärten, Gartenanlagen, Gartenkolonien                                           7          5         19          13       4           2        57,1          40,0 301010         Sonstiger EDS in/aus Gärten, Gartenanlagen, Gartenkolonien                                           7          5         19          13       4           2        57,1          40,0 302*00         EDS in/aus Bungalow, Gartenlauben                                                                    2          2          5           5                              0,0          0,0 302000         Sonstiger EDS in/aus Bungalow, Gartenlauben                                                          2          1          5           3                              0,0          0,0 302010         Sonstiger EDS in/aus Bungalow, Gartenlauben                                                          2          1          5           3                              0,0          0,0 302300         EDS von Fahrrad in/aus Bungalow, Gartenlauben                                                                   1          0           3                                           0,0 302310         EDS von Fahrrad in/aus Bungalow, Gartenlauben                                                                   1          0           3                                           0,0 303*00         EDS in/aus Bungalow, Gartenlauben, Gärten, Gartenanlagen, Gartenkolonien                             9          7         24          19       4           2        44,4          28,6 304*00         EDS in/aus Garagen, Carports                                                                         2          4          5          11                   1          0,0         25,0 304000         Sonstiger "einfacher" Diebstahl in/aus Garagen, Carports                                             2          4          5          11                   1          0,0         25,0 304010         Sonstiger "einfacher" Diebstahl in/aus Garagen, Carports                                             2          4          5          11                   1          0,0         25,0 310*00         EDS insg. in/aus Dienst-, Büro-, Fabrikations-, Werkstatt- und Lagerräumen                          72        141        191         378      41         113        56,9          80,1 310000         EDS - in/aus Dienst-/Büror. - Sonstiger                                                             72        141        191         378      41         113        56,9          80,1 315*00         EDS insg. in/aus Gaststätten, Kantinen, Hotels und Pensionen                                         4          8         11          21       1           3        25,0          37,5 315000         EDS - in/aus Gaststätten - Sonstiger                                                                 3          6          8          16       1           3        33,3          50,0 315500         EDS - in/aus Gaststätten - von unb. Zahlungsmitteln                                                             2          0           5                                           0,0 315700         EDS - in/aus Gaststätten - von/aus Automaten                                                         1                     3           0                              0,0 325*00         EDS insg. in/aus Kiosken, Warenhäusern, Verkaufsräumen                                              93         93        247         249      68          69        73,1          74,2 325000         EDS - in/aus Warenhäusern - Sonstiger                                                                7         11         19          29       3           1        42,9           9,1 325500         EDS - in/aus Warenhäusern - von unbaren ZM                                                                      1          0           3                   1                     100,0 326*00         EDS insg. - Ladendiebstahl                                                                          86         81        229         217      65          67        75,6          82,7 326000         EDS - Ladendiebstahl - Sonstiger                                                                    86         81        229         217      65          67        75,6          82,7
73

Seite 55 von 80 Polizeirevier Nauen Frage 34: Erfasste Fälle, Aufgeklärte Fälle, Aufklärungsquoten, Häufigkeitskennzahlen für alle Deliktsfelder Erfasste Fälle                            Aufgeklärte Fälle Schlüssel                                                    Bezeichnung                                    Anzahl gesamt         Häufigkeitszahl      Anzahl gesamt             AQ in % 2012       2013       2012        2013     2012       2013        2012         2013 335*00         EDS insg. in/aus Wohnungen                                                                          19         21           50        56       12         15        63,2          71,4 335000         EDS - in/aus Wohnungen - Sonstiger                                                                  18         21           48        56       12         15        66,7          71,4 335500         EDS - in/aus Wohnungen - von unbaren Zahlungsmitteln                                                 1                       3         0                              0,0 340*00         EDS insg. in/aus Boden-/Kellerräumen, Waschküchen                                                    5          5           13        13        3          2        60,0          40,0 340000         EDS - in/aus Boden-/Kellerräumen - Sonstiger                                                         4          2           11         5        3          1        75,0          50,0 340300         EDS - in/aus Boden-/Kellerräumen - von Fahrrad                                                       1          3            3         8                   1          0,0         33,3 345*00         EDS insg. in/aus Baubuden und Baustellen                                                             3          5            8        13                   2          0,0         40,0 345000         EDS - in/aus Baubuden/Baustellen - Sonstiger                                                         3          5            8        13                   2          0,0         40,0 350*00         EDS insg. an/aus Kfz                                                                                82        103          218       276        3         51          3,7         49,5 350000         EDS an/aus Kfz von sonstigem Gut                                                                    82        100          218       268        3         48          3,7         48,0 350500         EDS - aus Kfz von unbaren ZM                                                                                    3            0         8                   3                     100,0 356000         EDS an Fahrrad - Sonstiger                                                                           6          6           16        16        1          2        16,7          33,3 360000         EDS von/in/aus sonstigen Wasserfahrzeugen                                                            1                       3         0                              0,0 364000         EDS in/aus Motorboot                                                                                 1                       3         0                              0,0 390*00         EDS insg. - Taschendiebstahl                                                                         7         13           19        35                   1          0,0          7,7 390000         EDS - Taschendiebstahl - Sonstiger                                                                   7         12           19        32                   1          0,0          8,3 390500         EDS - Taschendiebstahl von unbaren ZM                                                                           1            0         3                                           0,0 4*****         Diebstahl unter erschwerenden Umständen                                                            700        819        1.860     2.195      123        304        17,6          37,1 4**100         BSD insg. von Kraftwagen                                                                            31         44           82       118        7          4        22,6           9,1 4**200         BSD insg. von Moped/Krad                                                                            25         31           66        83        2         18          8,0         58,1 4**300         BSD insg. von Fahrrad                                                                              119        109          316       292       14         20        11,8          18,3 4**500         BSD insg. von unbaren Zahlungsmitteln                                                                1          3            3         8                   1          0,0         33,3 4**700         BSD insg. von/aus Automaten                                                                         10         12           27        32        1          8        10,0          66,7 400000         Schwerer Diebstahl - Sonstiger                                                                     128        153          340       410       14         53        10,9          34,6 400010         BSD - Sonstiger                                                                                    128        151          340       405       14         51        10,9          33,8 400020         Sonstiger schwerer Diebstahl (ohne WED)                                                                         2            0         5                   2                     100,0 400100         Schwerer Diebstahl von Kraftwagen                                                                   29         44           77       118        5          4        17,2           9,1 400110         BSD - von Kraftwagen                                                                                29         44           77       118        5          4        17,2           9,1 400200         Schwerer Diebstahl von Mopeds und Krafträdern                                                       25         31           66        83        2         18          8,0         58,1 400210         BSD - von Moped/Krad                                                                                25         31           66        83        2         18          8,0         58,1 400300         Schwerer Diebstahl von Fahrrädern                                                                  110         99          292       265       13         15        11,8          15,2 400310         BSD - von Fahrrad                                                                                  110         99          292       265       13         15        11,8          15,2 400700         Schwerer Diebstahl von/aus Automaten                                                                 7          9           19        24        1          4        14,3          44,4 400710         BSD - von/aus Automaten                                                                              7          9           19        24        1          4        14,3          44,4 401*00         Diebst. unter erschw. Umst. in/aus Gärten, Gartenanlagen, Gartenkolonien                             8         12           21        32        2          1        25,0           8,3 401000         Sonstiger Diebst. unter erschw. Umst. in/aus Gärten, Gartenanl., Gartenkolonien                      7         12           19        32        2          1        28,6           8,3
74

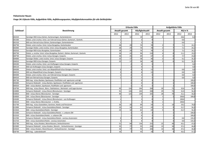
Seite 56 von 80 Polizeirevier Nauen Frage 34: Erfasste Fälle, Aufgeklärte Fälle, Aufklärungsquoten, Häufigkeitskennzahlen für alle Deliktsfelder Erfasste Fälle                            Aufgeklärte Fälle Schlüssel                                                     Bezeichnung                                   Anzahl gesamt         Häufigkeitszahl      Anzahl gesamt             AQ in % 2012       2013       2012        2013     2012       2013        2012         2013 401010         Sonstiger BSD in/aus Gärten, Gartenanlagen, Gartenkolonien                                          7          12         19          32       2          1         28,6           8,3 401300         Diebst. unter erschw. Umst. von Fahrrad in/aus Gärten, Gartenanl., Gartenk.                         1                      3           0                              0,0 401310         BSD von Fahrrad in/aus Gärten, Gartenanlagen, Gartenkolonien                                        1                      3           0                              0,0 402*00         Diebst. unter erschw. Umst. in/aus Bungalow, Gartenlauben                                          28          29         74          78       2          7           7,1         24,1 402000         Sonstiger Diebst. unter erschw. Umst. in/aus Bungalow, Gartenlauben                                28          29         74          78       2          7           7,1         24,1 402010         Sonstiger BSD in/aus Bungalow, Gartenlauben                                                        28          29         74          78       2          7           7,1         24,1 403*00         Diebst. u. erschw. Umst. in/aus Bungalow, Gartenl., Gärten, Gartenanl., Gartenk.                   36          41         96         110       4          8         11,1          19,5 404*00         Diebst. unter erschw. Umst. in/aus Garagen, Carports                                               26          25         69          67       2          6           7,7         24,0 404000         Sonstiger Diebst. unter erschw. Umst. in/aus Garagen, Carports                                     22          17         58          46       2          6           9,1         35,3 404010         Sonstiger BSD in/aus Garagen, Carports                                                             22          17         58          46       2          6           9,1         35,3 404100         Diebst. unter erschw. Umst. von Kraftwagen in/aus Garagen, Carports                                             2          0           5                                           0,0 404110         BSD von Kraftwagen in/aus Garagen, Carports                                                                     2          0           5                                           0,0 404200         Diebst. unter erschw. Umst. von Moped/Krad in/aus Garagen, Carports                                 3           4          8          11                              0,0          0,0 404210         BSD von Moped/Krad in/aus Garagen, Carports                                                         3           4          8          11                              0,0          0,0 404300         Diebst. unter erschw. Umst. von Fahrrad in/aus Garagen, Carports                                    1           2          3           5                              0,0          0,0 404310         BSD von Fahrrad in/aus Garagen, Carports                                                            1           2          3           5                              0,0          0,0 405*00         BSD insg. in/aus Banken, Sparkassen, Postfilialen und -agenturen und dgl.                                       1          0           3                  1                      100,0 405000         Schwerer Diebstahl - in/aus Banken, Sparkassen, Postfilialen und -agenturen                                     1          0           3                  1                      100,0 405010         BSD - in/aus Banken, Sparkassen, Postfilialen und -agenturen                                                    1          0           3                  1                      100,0 410*00         BSD insg. in/aus Dienst-, Büro-, Fabrikations-, Werkstatt- und Lagerräumen                         92         126        244         338      30         71         32,6          56,3 410000         Schwerer Diebstahl - in/aus Dienst-/Büroräumen - Sonstiger                                         91         126        242         338      29         71         31,9          56,3 410010         BSD - in/aus Dienst-/Büroräumen - Sonstiger                                                        90         125        239         335      28         70         31,1          56,0 410020         SDS - in/aus Dienst-/Büroräumen - Sonstiger                                                         1           1          3           3       1          1        100,0         100,0 410100         Schwerer Diebstahl - in/aus Dienst-/Büroräumen - von Kraftwagen                                     1                      3           0       1                   100,0 410110         BSD - in/aus Dienst-/Büroräumen - v. Kraftw.                                                        1                      3           0       1                   100,0 415*00         BSD insg. in/aus Gaststätten, Kantinen, Hotels und Pensionen                                       26          20         69          54       5         14         19,2          70,0 415000         Schwerer Diebstahl - in/aus Gaststätten/Hotels - Sonstiger                                         23          16         61          43       5          9         21,7          56,3 415010         BSD - in/aus Gaststätten/Hotels - Sonstiger                                                        23          16         61          43       5          9         21,7          56,3 415500         Schwerer Diebstahl - in/aus Gaststätten/Hotels - v. unbaren ZM                                                  1          0           3                  1                      100,0 415510         BSD - in/aus Gaststätten/Hotels - v. unbaren ZM                                                                 1          0           3                  1                      100,0 415700         Schwerer Diebstahl - in/aus Gaststätten/Hotels - von/aus Automaten                                  3           3          8           8                  4           0,0        133,3 415710         BSD - in/aus Gaststätten/Hotels - von/aus Automaten                                                 3           3          8           8                  4           0,0        133,3 425*00         BSD insg. in/aus Kiosken, Warenhäusern, Verkaufsräumen                                             51          84        136         225      22         40         43,1          47,6 425000         Schwerer Diebstahl - in/aus Kiosken, Warenh. , Verkaufsräumen - Sonstiger                          35          77         93         206      13         36         37,1          46,8 425010         BSD - in/aus Kiosken, Warenhäusern , Verkaufsräumen - Sonstiger                                    35          77         93         206      13         36         37,1          46,8 426*00         BSD insg. - Ladendiebstahl                                                                         16           7         43          19       9          4         56,3          57,1
75

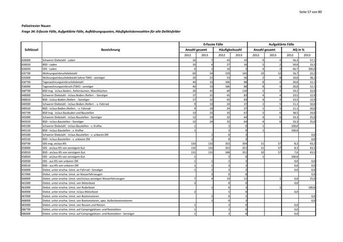
Seite 57 von 80 Polizeirevier Nauen Frage 34: Erfasste Fälle, Aufgeklärte Fälle, Aufklärungsquoten, Häufigkeitskennzahlen für alle Deliktsfelder Erfasste Fälle                            Aufgeklärte Fälle Schlüssel                                                      Bezeichnung                                  Anzahl gesamt         Häufigkeitszahl      Anzahl gesamt             AQ in % 2012       2013       2012        2013     2012       2013        2012         2013 426000         Schwerer Diebstahl - Laden                                                                          16          7         43          19       9          4         56,3          57,1 426010         BSD - Laden                                                                                         10          6         27          16       5          2         50,0          33,3 426020         SDS - Laden                                                                                          6          1         16           3       4          2         66,7         200,0 435*00         Wohnungseinbruchdiebstahl                                                                           60         54        159         145      10         12         16,7          22,2 435000         Wohnungseinbruchdiebstahl (ohne TWE) - sonstiger                                                    20         21         53          56       2          8         10,0          38,1 436*00         Tageswohnungseinbruchdiebstahl                                                                      40         33        106          88       8          4         20,0          12,1 436000         Tageswohnungseinbruch (TWE) - sonstiger                                                             40         33        106          88       8          4         20,0          12,1 440*00         BSD insg. in/aus Boden-, Kellerräumen, Waschküchen                                                  26         41         69         110       5          9         19,2          22,0 440000         Schwerer Diebstahl - in/aus Boden-/Kellerr. - Sonstiger                                             17         31         45          83       4          4         23,5          12,9 440010         BSD - in/aus Boden-/Kellerr. - Sonstiger                                                            17         31         45          83       4          4         23,5          12,9 440300         Schwerer Diebstahl - in/aus Boden-/Kellerr. - v. Fahrrad                                             9         10         24          27       1          5         11,1          50,0 440310         BSD - in/aus Boden-/Kellerr. - v. Fahrrad                                                            9         10         24          27       1          5         11,1          50,0 445*00         BSD insg. in/aus Baubuden und Baustellen                                                            13         25         35          67       5          6         38,5          24,0 445000         Schwerer Diebstahl - in/aus Baustellen - Sonstiger                                                  12         24         32          64       4          6         33,3          25,0 445010         BSD - in/aus Baustellen - Sonstiger                                                                 12         24         32          64       4          6         33,3          25,0 445100         Schwerer Diebstahl - in/aus Baustellen - v. Kraftw.                                                  1                     3           0       1                   100,0 445110         BSD - in/aus Baustellen - v. Kraftw.                                                                 1                     3           0       1                   100,0 445500         Schwerer Diebstahl - in/aus Baustellen - v. unbaren ZM                                                          1          0           3                                           0,0 445510         BSD - in/aus Baustellen - v. unbaren ZM                                                                         1          0           3                                           0,0 450*00         SDS insg. an/aus Kfz                                                                               133        132        353         354      11         57           8,3         43,2 450000         SDS - an/aus Kfz von sonstigem Gut                                                                 132        131        351         351      11         57           8,3         43,5 450010         BSD - an/aus Kfz von sonstigem Gut                                                                 131        131        348         351      10         57           7,6         43,5 450020         SDS - an/aus Kfz von sonstigem Gut                                                                   1                     3           0       1                   100,0 450500         SDS - aus Kfz von unbaren ZM                                                                         1          1          3           3                              0,0          0,0 450510         BSD - aus Kfz von unbaren ZM                                                                         1          1          3           3                              0,0          0,0 456000         Diebst. unter erschw. Umst. an Fahrrad - Sonstiger                                                   1          1          3           3                              0,0          0,0 457000         Diebst. unter erschw. Umst. an Wasserfahrzeugen                                                                 3          0           8                                           0,0 460000         Diebst. unter erschw. Umst. von/in/aus sonstigen Wasserfahrzeugen                                    7          4         19          11                  1           0,0         25,0 461000         Diebst. unter erschw. Umst. von Motorboot                                                            3                     8           0                              0,0 463000         Diebst. unter erschw. Umst. von Ruderboot                                                                       1          0           3                  1                      100,0 464000         Diebst. unter erschw. Umst. in/aus Motorboot                                                         2                     5           0                              0,0 467000         Diebst. unter erschw. Umst. von Bootsmotoren                                                                    2          0           5                                           0,0 468000         Diebst. unter erschw. Umst. von Bootsmotoren, spez. Außenbootsmotoren                                           1          0           3                                           0,0 483000         Diebst. unter erschw. Umst. von Reusen und Netzen                                                    1                     3           0                              0,0 486*00         Diebst. unter erschw. Umst. auf Campingplätzen- und Raststätten                                      1                     3           0                              0,0 486000         Diebst. unter erschw. Umst. auf Campingplätzen- und Raststätten - Sonstiger                          1                     3           0                              0,0
76

Seite 58 von 80 Polizeirevier Nauen Frage 34: Erfasste Fälle, Aufgeklärte Fälle, Aufklärungsquoten, Häufigkeitskennzahlen für alle Deliktsfelder Erfasste Fälle                            Aufgeklärte Fälle Schlüssel                                                       Bezeichnung                                 Anzahl gesamt         Häufigkeitszahl      Anzahl gesamt             AQ in % 2012       2013       2012        2013     2012       2013        2012         2013 ****00         Diebstahl insgesamt                                                                              1.153      1.427        3.064     3.824      293        653        25,4          45,8 ***100         Diebstahl insg. von Kraftwagen einschl. unbefugter Gebrauch                                         34         51           90       137        9          7        26,5          13,7 ***200         Diebstahl insg. von Moped/Krad einschl. unbefugte Gebrauch                                          29         33           77        88        3         20        10,3          60,6 ***300         Diebstahl insg. von Fahrrad einschl. unbefugter Gebrauch                                           139        125          369       335       16         28        11,5          22,4 ***500         Diebstahl insg. von unbaren ZM                                                                       4         13           11        35                   5          0,0         38,5 ***700         Diebstahl insg. von/aus Automaten                                                                   11         12           29        32        2          8        18,2          66,7 *00000         Diebstahl insg. - Sonstiger                                                                        268        347          712       930       50        134        18,7          38,6 *01*00         Diebstahl insg. in/aus Gärten, Gartenanlagen, Gartenkolonien                                        15         17           40        46        6          3        40,0          17,6 *02*00         Diebstahl insg. in/aus Bungalow, Gartenlauben                                                       30         31           80        83        2          7          6,7         22,6 *03*00         Diebstahl insg. in/aus Bungalow, Gartenl., Gärten, Gartenanl., Gartenk.                             45         48          120       129        8         10        17,8          20,8 *04*00         Diebstahl insg. in/aus Garagen, Carports                                                            28         29           74        78        2          7          7,1         24,1 *05*00         Diebstahl insg. in/aus Banken, Sparkassen, Postfilialen und -agenturen u. dgl.                                  1            0         3                   1                     100,0 *10*00         Diebstahl insg. in/aus Dienst-, Büro-, Fabrikations-,Werkstatt- u. Lagerräumen                     164        267          436       715       71        184        43,3          68,9 *15*00         Diebstahl insg. in/aus Gaststätten, Kantinen, Hotels und Pensionen                                  30         28           80        75        6         17        20,0          60,7 *25*00         Diebstahl insg. in/aus Kiosken, Warenhäusern, Verkaufsräumen                                       144        177          383       474       90        109        62,5          61,6 *26*00         Diebstahl insg. Ladendiebstahl                                                                     102         88          271       236       74         71        72,5          80,7 *35*00         Diebstahl insg. in/aus Wohnungen                                                                    79         75          210       201       22         27        27,8          36,0 *36*00         Tageswohnungseinbruch                                                                               40         33          106        88        8          4        20,0          12,1 *40*00         Diebstahl insg. in/aus Boden-, Kellerräumen und Waschküchen                                         31         46           82       123        8         11        25,8          23,9 *45*00         Diebstahl insg. in/aus Baubuden und Baustellen                                                      16         30           43        80        5          8        31,3          26,7 *50*00         Diebstahl insg. an/aus Kfz                                                                         215        235          571       630       14        108          6,5         46,0 *56000         Diebstahl insg. an Fahrrad                                                                           7          7           19        19        1          2        14,3          28,6 *57000         Diebstahl insg. an Wasserfahrzeug                                                                               3            0         8                                           0,0 *60000         Diebstahl insg. von/in/aus Wasserfahrzeugen                                                          8          4           21        11                   1          0,0         25,0 *61000         Diebstahl insg. von Motorboot                                                                        3                       8         0                              0,0 *63000         Diebstahl insg. von Ruderboot                                                                                   1            0         3                   1                     100,0 *64*00         Diebstahl insg. in/aus Motorboot                                                                     3                       8         0                              0,0 *67000         Diebstahl insg. von Bootsmotoren                                                                                2            0         5                                           0,0 *68000         Diebstahl insg. von Bootsmotoren, spez. Außenbootsmotoren                                                       1            0         3                                           0,0 *83000         Diebstahl insg. von Reusen und Netzen                                                                1                       3         0                              0,0 *86*00         Diebstahl insg. auf Campingplätzen- und Raststätten                                                  1                       3         0                              0,0 *90*00         Diebstahl insg. Taschendiebstahl                                                                     7         13           19        35                   1          0,0          7,7 500000         Vermögens- und Fälschungsdelikte                                                                   519        388        1.379     1.040      422        324        81,3          83,5 510000         Betrug                                                                                             280        252          744       675      207        209        73,9          82,9 511000         Waren- und Warenkreditbetrug                                                                       128        127          340       340       87        102        68,0          80,3 511100         Betrügerisches Erlangen von Kfz                                                                      1          1            3         3        1                  100,0           0,0
77

Seite 59 von 80 Polizeirevier Nauen Frage 34: Erfasste Fälle, Aufgeklärte Fälle, Aufklärungsquoten, Häufigkeitskennzahlen für alle Deliktsfelder Erfasste Fälle                            Aufgeklärte Fälle Schlüssel                                                    Bezeichnung                                    Anzahl gesamt         Häufigkeitszahl      Anzahl gesamt             AQ in % 2012       2013       2012        2013     2012       2013        2012         2013 511200         Sonstiger Warenkreditbetrug                                                                        97         76         258         204      58         52         59,8          68,4 511201         Tankbetrug                                                                                         55         47         146         126      18         24         32,7          51,1 511279         Weitere Arten des Warenkreditbetruges                                                              42         29         112          78      40         28         95,2          96,6 511300         Warenbetrug                                                                                        30         50          80         134      28         50         93,3         100,0 512000         Grundstücks- und Baubetrug                                                                                     2           0           5                  2                      100,0 513000         Kapitalanlage- und Anlagebetrug                                                                     1          1           3           3       1          1        100,0         100,0 513500         Kautionsbetrug                                                                                      1          1           3           3       1          1        100,0         100,0 514000         Geldkreditbetrug                                                                                    1          3           3           8       1          3        100,0         100,0 514100         Kreditbetrug (im geschäftlichen Verkehr)                                                                       1           0           3                  1                      100,0 514200         Subventionsbetrug                                                                                              1           0           3                  1                      100,0 514300         Krediterlangungsbetrug                                                                              1          1           3           3       1          1        100,0         100,0 515000         Erschleichen von Leistungen                                                                        35         21          93          56      35         21        100,0         100,0 515001         Beförderungserschleichung                                                                          35         20          93          54      35         20        100,0         100,0 516000         Betrug bzw. Computerbetrug mittels rechtswidrig erlangter unbarer Zahlungsmittel                   30         31          80          83      10         22         33,3          71,0 516200         Betrug mittels rechtswidrig erlangter Zahlungskarten ohne PIN (Lastschriftverfahren)                1         17           3          46                 16           0,0         94,1 516300         Computerbetrug mittels rechtswidrig erlanger Zahlungskarten mit PIN                                18          9          48          24       7          4         38,9          44,4 516400         Betrug m. rechtsw. erlangter Kreditkarten                                                           7          2          19           5       1                    14,3           0,0 516500         Betrug bzw. Computerbetrug mittels rechtswidrig erlangter Daten von Zahlungskarten                  3          2           8           5       1          2         33,3         100,0 516900         Betrug bzw. Computerbetrug mittels rechtswidrig erlangter sonstiger unbarer Zahlungsmittel          1          1           3           3       1                   100,0           0,0 517000         Sonstiger Betrug                                                                                   85         67         226         180      73         58         85,9          86,6 517100         Leistungsbetrug                                                                                     4          2          11           5       4          1        100,0          50,0 517200         Leistungskreditbetrug                                                                               9          8          24          21       9          8        100,0         100,0 517300         Arbeitsvermittlungsbetrug                                                                           1                      3           0       1                   100,0 517400         Betrug z.N.v. Versich. und Versich.missbrauch                                                       6          6          16          16       6          6        100,0         100,0 517410         Betrug zum Nachteil von Versicherungen                                                              6          6          16          16       6          6        100,0         100,0 517600         Provisionsbetrug                                                                                               1           0           3                  1                      100,0 517700         Betrug z.N.v. Sozialversich. und SV-trägern                                                         2          3           5           8       2          2        100,0          66,7 517800         Sozialleistungsbetrug                                                                               3         13           8          35       3         14        100,0         107,7 518100         Abrechnungsbetrug                                                                                   3          3           8           8       2          2         66,7          66,7 518179         Sonstiger Abrechnungsbetrug                                                                         3          3           8           8       2          2         66,7          66,7 518300         Überweisungsbetrug                                                                                  1          2           3           5       1          2        100,0         100,0 518320         Überweisungsbetrug                                                                                  1          2           3           5       1          2        100,0         100,0 518400         Zechbetrug                                                                                          1                      3           0       1                   100,0 518900         Sonstige weitere Betrugsarten                                                                      55         29         146          78      44         22         80,0          75,9 520000         Veruntreuungen                                                                                      8         17          21          46       8         18        100,0         105,9 521000         Untreue                                                                                             5          2          13           5       5          3        100,0         150,0
78

Seite 60 von 80 Polizeirevier Nauen Frage 34: Erfasste Fälle, Aufgeklärte Fälle, Aufklärungsquoten, Häufigkeitskennzahlen für alle Deliktsfelder Erfasste Fälle                            Aufgeklärte Fälle Schlüssel                                                     Bezeichnung                                   Anzahl gesamt         Häufigkeitszahl      Anzahl gesamt             AQ in % 2012       2013       2012        2013     2012       2013        2012         2013 521079         Sonstige Untreue                                                                                     5          1           13         3        5          2       100,0         200,0 521100         Untreue bei Kapitalanlagegeschäften                                                                             1            0         3                   1                     100,0 522000         Vorenthalten und Veruntreuen von Arbeitsentgelt                                                      3         15            8        40        3         15       100,0         100,0 530000         Unterschlagung                                                                                     125         52          332       139      108         36        86,4          69,2 531000         Unterschlagung von Kfz                                                                               8          5           21        13        7          5        87,5         100,0 540000         Urkundenfälschung                                                                                   90         61          239       163       83         56        92,2          91,8 540001         Sonstige Urkundenfälschung                                                                          16         57           43       153       11         53        68,8          93,0 540003         Verändern von amtl. Ausweisen                                                                                   1            0         3                                           0,0 540006         Verschaffen von falschen amtl. Ausweisen                                                             1                       3         0        1                  100,0 540010         Missbrauch von Ausweispapieren                                                                       1          1            3         3        1          1       100,0         100,0 541000         Fälschung technischer Aufzeichnungen                                                                68                     181         0       67                   98,5 541001         Manipulation von Fahrtenschreibern und EG-Kontrollgeräten gemäß § 268 StGB                          68                     181         0       67                   98,5 542000         Fälschung zur Erlangung von Btm                                                                      1                       3         0                              0,0 543000         Fälsch. beweiserhebl. Daten, Täusch. im Rechtsverkehr b. Datenverarb.                                3          2            8         5        3          2       100,0         100,0 543010         Fälschung beweiserheblicher Daten                                                                    3          1            8         3        3          1       100,0         100,0 543020         Täuschung im Rechtsverkehr bei Datenverarbeitung                                                                1            0         3                   1                     100,0 550000         Geld- und Wertzeichenfälschung                                                                      16          4           43        11       16          3       100,0          75,0 552000         Inverkehrbringen von Falschgeld §§ 146 Abs. 1 Nr. 3, 147 StGB                                       16          3           43         8       16          3       100,0         100,0 552010         Inverkehrbringen von Falschgeld gemäß § 146 Abs. 1 Nr. 3 StGB                                        1                       3         0        1                  100,0 552020         Inverkehrbringen von Falschgeld gemäß § 147 StGB (nach gutgläubigem Erwerb)                         15          3           40         8       15          3       100,0         100,0 553000         Fälsch. v. Zahlungskarten mit/ohne Garantiefunktion, Schecks u. Wechseln                                        1            0         3                                           0,0 553200         Nachmachen, Verfälschen, Verschaffen, Feilhalten o. Überl. falscher Zahlungsk                                   1            0         3                                           0,0 553210         Nachm., Verfälsch, Verschaff falscher Zahlungsk. o. Garantiefunktion                                            1            0         3                                           0,0 560000         Insolvenzstraftaten                                                                                             2            0         5                   2                     100,0 561000         Bankrott                                                                                                        1            0         3                   1                     100,0 563000         Verletzung der Buchführungspflicht                                                                              1            0         3                   1                     100,0 600000         Sonstige Straftatbestände (StGB)                                                                   702        682        1.865     1.828      370        386        52,7          56,6 610000         Erpressung                                                                                           4          3           11         8        3          3        75,0         100,0 610079         Sonstige Erpressung                                                                                  4          3           11         8        3          3        75,0         100,0 620000         Widerstand gg. die Staatsgewalt und ST gg. die öff. Ordnung                                         78         80          207       214       66         74        84,6          92,5 620001         Störung des öffentl. Friedens durch Androhung von ST                                                 5                      13         0        5                  100,0 620005         Amtsanmaßung                                                                                                    3            0         8                   3                     100,0 620007         Verwahrungsbruch                                                                                     1                       3         0        1                  100,0 620009         Verstrickungsbruch, Siegelbruch                                                                      2                       5         0        1                   50,0 620013         Missbr. von Notrufen und Beeintr. v. Unfallverhütungs- und Nothilfemitteln                          11          5           29        13        9          5        81,8         100,0 621000         Widerstand gg. die Staatsgewalt                                                                      5         10           13        27        5         10       100,0         100,0
79

Seite 61 von 80 Polizeirevier Nauen Frage 34: Erfasste Fälle, Aufgeklärte Fälle, Aufklärungsquoten, Häufigkeitskennzahlen für alle Deliktsfelder Erfasste Fälle                            Aufgeklärte Fälle Schlüssel                                                      Bezeichnung                                  Anzahl gesamt         Häufigkeitszahl      Anzahl gesamt             AQ in % 2012       2013       2012        2013     2012       2013        2012         2013 621020         Widerstand gg. Vollstreckungsbeamte                                                                 5         10          13          27       5         10        100,0         100,0 621021         Widerstand gegen Polizeivollzugsbeamte                                                              5         10          13          27       5         10        100,0         100,0 622000         Hausfriedensbruch                                                                                  45         50         120         134      36         44         80,0          88,0 622100         Hausfriedensbruch gemäß § 123 StGB                                                                 45         49         120         131      36         43         80,0          87,8 622200         Schwerer Hausfriedensbruch                                                                                     1           0           3                  1                      100,0 624000         Vortäuschen einer Straftat                                                                          8         12          21          32       8         12        100,0         100,0 624010         Vortäuschen einer Straftat gg. die sex. Selbstbestimmung                                            1                      3           0       1                   100,0 624079         Vortäuschen einer sonstigen Straftat                                                                4          7          11          19       4          7        100,0         100,0 624100         Vortäuschen eines Raubes                                                                            1                      3           0       1                   100,0 624200         Vortäuschen eines Diebstahls                                                                        2          5           5          13       2          5        100,0         100,0 624201         Vortäuschen eines Kfz-Diebstahls                                                                    1          5           3          13       1          5        100,0         100,0 624279         Vortäuschen eines sonstigen Diebstahls                                                              1                      3           0       1                   100,0 627000         Volksverhetzung                                                                                     1                      3           0       1                   100,0 630000         Begünstigung, Strafvereitelung, Hehlerei u. Geldwäsche                                             10          4          27          11       9          4         90,0         100,0 630010         Begünstigung                                                                                                   2           0           5                  2                      100,0 630020         Strafvereitelung                                                                                    6          1          16           3       5          1         83,3         100,0 631000         Hehlerei von Kfz                                                                                    1                      3           0       1                   100,0 631079         Hehlerei von Kfz gemäß § 259 StGB                                                                   1                      3           0       1                   100,0 632000         Sonstige Hehlerei                                                                                   3          1           8           3       3          1        100,0         100,0 632079         Sonstige Hehlerei                                                                                   3          1           8           3       3          1        100,0         100,0 640000         Brandstiftung und Herbeiführen einer Brandgefahr                                                   17          4          45          11      10          2         58,8          50,0 640010         Fahrlässige Brandstiftung                                                                           5          2          13           5       4          1         80,0          50,0 641000         (Vorsätzliche) Brandstiftung und Herbeiführen einer Brandgefahr                                    12          2          32           5       6          1         50,0          50,0 641010         Vorsätzliche Brandstiftung                                                                         11          2          29           5       5          1         45,5          50,0 641020         Schwere Brandstiftung                                                                               1                      3           0       1                   100,0 650000         Wettbewerbs-, Korruptions- und Amtsdelikte                                                          8                     21           0       5                    62,5 651000         Vorteilsannahme, Bestechlichkeit                                                                    2                      5           0       1                    50,0 651100         Vorteilsannahme § 331 StGB                                                                          2                      5           0       1                    50,0 652000         Vorteilsgewährung, Bestechung                                                                       3                      8           0       3                   100,0 652100         Vorteilsgewährung                                                                                   3                      8           0       3                   100,0 655000         Sonstige Straftaten im Amt                                                                          3                      8           0       1                    33,3 655100         Körperverletzung im Amt                                                                             3                      8           0       1                    33,3 660000         Strafbarer Eigennutz                                                                                2          5           5          13       1          3         50,0          60,0 660010         Vereiteln der Zwangsvollstreckung                                                                   1                      3           0       1                   100,0 662000         Wilderei                                                                                            1          5           3          13                  3           0,0         60,0 662001         Fischwilderei                                                                                                  1           0           3                  1                      100,0
80

Zur nächsten Seite