NAF 15.11.2011 - Ares(2011)1216983_ERU_P-Contentieux.doc_Redacted

/ 18
PDF herunterladen
MIDI-PYRENEES                     31              PINS-JUSTARET RHONE-ALPES                       38              LA MURE siaj RHONE-ALPES                       38              LA COTE-SAINT-ANDRE Rival CHAMPAGNE-ARDENNE                 51              SUIPPES NORD-PAS-DE-CALAIS                59              LA BASSEE BASSE NORMANDIE                   61              VIMOUTIERS LANGUEDOC-ROUSSILLON              66              CERET FRANCHE-COMTE                     70              SAINT-REMY ILE DE FRANCE                     78              BAZEMONT LORRAINE                          88              PLOMBIERES LES BAINS 1 LORRAINE                          88              VINCEY BOURGOGNE                         89              BRIENON-SUR-ARMANCON Les 19 stations mises en conformité d’ici fin 2013 : Région                            Dpt                      Nom d’agglomération PICARDIE                          02              BRAINE PROVENCE-ALPES-CTE-AZUR           04              Villeneuve PROVENCE-ALPES-CTE-AZUR           04              Volx PROVENCE-ALPES-CTE-AZUR           05              ABRIES RISTOLAS PROVENCE-ALPES-CTE-AZUR           05              AIGUILLES - CHATEAU VILLE VIEILLE PROVENCE-ALPES-CTE-AZUR           06              SAINT-MARTIN-DE-VESUBIE Village PROVENCE-ALPES-CTE-AZUR           06              ISOLA 2000 PROVENCE-ALPES-CTE-AZUR           13              MALLEMORT VILLE LIMOUSIN                          19              ARNAC-POMPADOUR CORSE                             2A              Bastelica MIDI-PYRENEES                     31              FONSORBES 2S FRANCHE-COMTE                     39              SAINT- AMOUR MIDI-PYRENEES                     46              SAINT_CERE ALSACE                            68              HUNAWIHR RHONE-ALPES                       73              SAINT-FRANCOIS-LONGCHAMP PICARDIE                          80              SAINT-LEGER-LES-DOMART GUADELOUPE                        971             GOYAVE MARTINIQUE                        972             SAINT-ESPRIT GUYANE                            973             SAINT-LAURENT-DU-MARONI FATIMA
11

1.2 Liste des 23 stations de traitement des eaux usées conformes en performances et donc en équipement mais dont l'équipement et le système de collecte font ou doivent faire l'objet de travaux pour assurer une mise en conformité définitive Les 6 stations mises en conformité d’ici fin 2011 : Région                               Dpt          Nom d’agglomération RHONE-ALPES                          07           LE-CHEYLARD AQUITAINE                            24           RIBERAC FRANCHE-COMTE                        39           TAVAUX RHONE-ALPES                          69           SAINT-GERMAIN-AU-MONT-D'OR PROVENCE-ALPES-CTE-AZUR              83           LE MUY 1 (ville) PROVENCE-ALPES-CTE-AZUR              83           LORGUES Les 9 stations mises en conformité d’ici fin 2012 : Région                               Dpt          Nom d’agglomération PICARDIE                             02           SAINT-MICHEL MIDI-PYRENEES                        09           AX-LES-THERMES AUVERGNE                             15           LAROQUEBROU POITOU-CHARENTES                     16           CHATEAUNEUF-SUR-CHARENTE AQUITAINE                            24           PORT-SAINTE-FOY-ET-PONCHAPT CORSE                                2B           BORGO - Nord PICARDIE                             60           LASSIGNY LANGUEDOC-ROUSSILLON                 66           TROUILLAS PROVENCE-ALPES-CTE-AZUR              83           AUPS Les 8 stations mises en conformité d’ici fin 2013 : Région                               Dpt          Nom d’agglomération MIDI-PYRENEES                        09           FOIX Vernajoul MIDI-PYRENEES                        09           TARASCON CENTRE                               28           PIERRES MIDI-PYRENEES                        65           LOUEY FRANCHE-COMTE                        90           ETUEFFONT GUADELOUPE                           971          PETIT-BOURG GUADELOUPE                           971          MORNE-A-L'EAU 1 MARTINIQUE                           972          LE DIAMANT 2
12

1.3 Liste des 34 stations de traitement des eaux usées conformes en équipement mais dont les données démontrant la conformité « performances » ne sont pas encore disponibles Région                             Dpt          Nom d’agglomération RHONE-ALPES                        01           HAUTEVILLE LOMPNES1 PICARDIE                           02           CHARLY SUR MARNE PROVENCE-ALPES-CTE-AZUR            04           Oraison Village PROVENCE-ALPES-CTE-AZUR            06           VALDEBLORE MIDI-PYRENEES                      12           VILLEFRANCHE DE PANAT LIMOUSIN                           19           MEYMAC RHONE-ALPES                        26           Buis les Baronnies RHONE-ALPES                        26           Saint Jean en Royans AQUITAINE                          33           SAINT-CAPRAIS-DE-BORDEAUX RHONE-ALPES                        38           VINAY AUVERGNE                           43           SAUGUES-Le Bourg PAYS DE LA LOIRE                   44           SAINT-MALO-DE-GUERSAC PAYS DE LA LOIRE                   49           LE LION-D'ANGERS BASSE NORMANDIE                    50           MONTEBOURG LORRAINE                           54           DIEULOUARD LORRAINE                           55           VAUCOULEURS LORRAINE                           55           MONTMEDY BRETAGNE                           56           LOCMIQUELIC LORRAINE                           57           PUTTELANGE-AUX-LACS PICARDIE                           60           LAGNY-LE-SEC NORD-PAS-DE-CALAIS                 62           AUXI-LE-CHÂTEAU NORD-PAS-DE-CALAIS                 62           MAMETZ MIDI-PYRENEES                      65           ESQUIEZE-SERE ALSACE                             68           MASEVAUX BOURGOGNE                          71           MARCIGNY HAUTE-NORMANDIE                    76           FAUVILLE-EN-CAUX PROVENCE-ALPES-CTE-AZUR            83           LES SALLES-SUR-VERDON POITOU-CHARENTES                   86           NEUVILLE DE POITOU BOURG POITOU-CHARENTES                   86           MONTMORILLON LES MATS BOURGOGNE                          89           MALIGNY BOURGOGNE                          89           SAINT-FLORENTIN BOURGOGNE                          89           SAINT-BRIS-LE-VINEUX BOURGOGNE                          89           VILLENEUVE-LA-GUYARD GUADELOUPE                         971          LAMENTIN 1
13

2. Conclusion Sur les 551 stations listées dans la mise en demeure, il reste 62 stations non conformes en équipements qui représentent une charge de 330 000 Eh soit 3% des 11,5 millions d’Eh générées par les agglomérations de plus de 2000 Eh soumises à l’échéance 2005. Sur ces 62 stations, il restera à la fin de l’année 47 stations dont les travaux ne seront pas terminés et parmi ces stations seules 13 n’auront pas démarré leurs travaux. Tous les projets sont en cours d’élaboration. A ce nombre on peut rajouter 23 stations qui sont à saturation et dont l’équipement est à ce stade en capacité d’atteindre les performances demandées par la directive ERU, mais risque de ne pas le demeurer très longtemps. Pour ces stations, les travaux sont engagés pour une mise en conformité définitive avant fin 2013. Sur les 80 stations qui sont conformes en équipement, il en reste 34 pour lesquelles nous n’avons pas encore les données d’autosurveillance nécessaires pour apporter la démonstration de la conformité en performances.
14

IV- CONCLUSION GENERALE Les autorités françaises mettent tout en œuvre pour assurer le rattrapage du retard des échéances non respectées de la directive ERU. La Ministre de l’écologie a annoncé le 29 septembre dernier la mise en place d’un nouveau plan d’action 2012-2018 pour une politique d’assainissement contribuant aux objectifs de qualité des milieux aquatiques. La priorité de ce nouveau plan sera de terminer les travaux des stations citées dans les procédures et de s’assurer que l’ensemble du parc de stations de traitement des eaux usées respecte les obligations de la directive ERU. Une liste de 74 stations prioritaires correspondant aux stations dont les travaux se termineront au plus tard à la fin 2013 a été publiée. C’est une démonstration supplémentaire de la volonté des autorités françaises de continuer à mettre la pression sur les collectivités en retard. Ce nouveau plan ainsi que de la carte des 74 stations prioritaires, sont joints à la présente note. L’ensemble de ces éléments a été mis à la disposition du public à travers un communiqué de presse et un dossier de presse, et sont maintenant accessibles sur le portail d’information sur l’assainissement communal : http://assainissement.developpement-durable.gouv.fr/
15

Annexe I - Procédure 1998/2110 - données détaillées d’autosurveillance LE HAVRE données 2011 MEZE LOUPIAN données 2011 Concentration : Azote global (mg(N)/L) 35 30 25 AS 20                                                                                                                                           Bilan24 15                                                                                                                                           Ctrl_inop Select 10 C. Max 5                                                                                                                                           C. Redh 0 07/10/2010     26/11/2010        15/01/2011                 06/03/2011           25/04/2011      14/06/2011   03/08/2011   22/09/2011 Données phosphore en concentration de rejet DATE AS                        Bilan24 mg/l                                      DATE AS              Bilan24 11/01/2011             3,3                            09/06/2011                 2,9 14/01/2011                   3,66                      12/07/2011                 1,9 02/02/2011                4,36                        15/07/2011                 1,53 05/02/2011                   3,97                      01/08/2011                 4,05 03/03/2011                4,3                         04/08/2011                 1,64 06/03/2011                4,28 05/04/2011                5,8 08/04/2011             7,03 04/05/2011                3,59 07/05/2011                   3,03 06/06/2011                   4,21
16

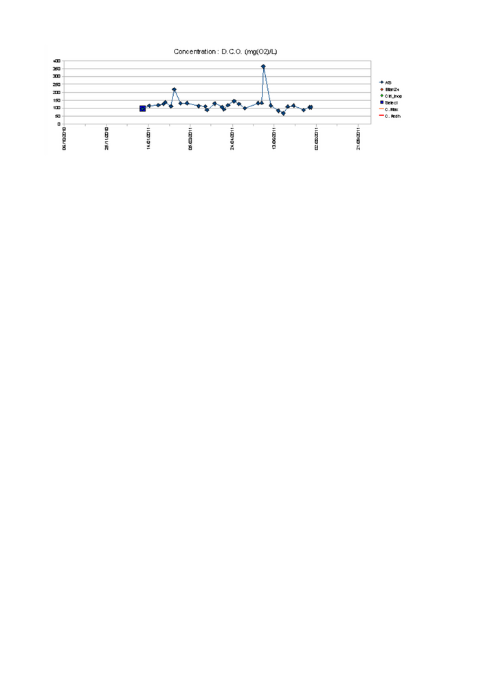
ANNEXE II - Procédure 2004/2032 - données détaillées d'autosurveillance MENTON MEYZIEU
17

Concentration: D.C.0. (mal

+ onen
N Seecı
CM
—c.Redh

+2
+ Berd+

BARRREBR®

kıBSDıZ

KIREDZO

KIIEISOrEI

KIEHDAHZ

KIIBED SO

KITEN.D'H

Dre WSZ

DHBDWSO
18