Polizeistrukturreform - Polizeirevier Oranienburg

/ 349
PDF herunterladen
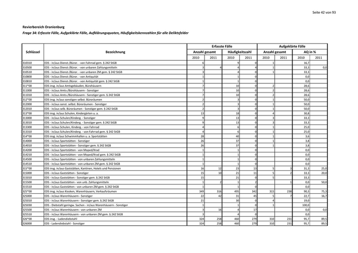
Seite 42 von 93 Revierbereich Oranienburg Frage 34: Erfasste Fälle, Aufgeklärte Fälle, Aufklärungsquoten, Häufigkeitskennzahlen für alle Deliktsfelder Erfasste Fälle                           Aufgeklärte Fälle Schlüssel                                                     Bezeichnung                                   Anzahl gesamt         Häufigkeitszahl      Anzahl gesamt            AQ in % 2010       2011       2010        2011     2010       2011      2010        2011 310310        EDS - in/aus Dienst-/Büror. - von Fahrrad gem. § 242 StGB                                             6                     9           0        1                  16,7 310500        EDS - in/aus Dienst-/Büror. - von unbaren Zahlungsmitteln                                             3          4          4           4        1                  33,3        0,0 310510        EDS - in/aus Dienst-/Büror. - von unbaren ZM gem. § 242 StGB                                          3                     4           0        1                  33,3 310800        EDS - in/aus Dienst-/Büror. - von Antiquität                                                          1                     1           0                            0,0 310810        EDS - in/aus Dienst-/Büror. - von Antiquität gem. § 242 StGB                                          1                     1           0                            0,0 311*00        EDS insg. in/aus Amtsgebäuden, Bürohäusern                                                            7                    10           0        2                  28,6 311000        EDS - in/aus Amts-/Bürohäusern - Sonstiger                                                            7                    10           0        2                  28,6 311010        EDS - in/aus Amts-/Bürohäusern - Sonstiger gem. § 242 StGB                                            7                    10           0        2                  28,6 312*00        EDS insg. in/aus sonstigen selbst. Büroräumen                                                         2                     3           0        1                  50,0 312000        EDS - in/aus sonst. selbst. Büroräumen - Sonstiger                                                    2                     3           0        1                  50,0 312010        EDS - in/aus selb. Büroräumen - Sonstiger gem. § 242 StGB                                             2                     3           0        1                  50,0 313*00        EDS insg. in/aus Schulen, Kindergärten u. a.                                                         13                    18           0        4                  30,8 313000        EDS - in/aus Schulen/Kinderg. - Sonstiger                                                             9                    13           0        3                  33,3 313010        EDS - in/aus Schulen/Kinderg. - Sonstiger gem. § 242 StGB                                             9                    13           0        3                  33,3 313300        EDS - in/aus Schulen, Kinderg. - von Fahrrad                                                          4                     6           0        1                  25,0 313310        EDS - in/aus Schulen/Kinderg. - von Fahrrad gem. § 242 StGB                                           4                     6           0        1                  25,0 314*00        EDS insg. in/aus Schwimmhallen u. a. Sportstätten                                                    28                    40           0        1                   3,6 314000        EDS - in/aus Sportstätten - Sonstiger                                                                26                    37           0        1                   3,8 314010        EDS - in/aus Sportstätten - Sonstiger gem. § 242 StGB                                                26                    37           0        1                   3,8 314200        EDS - in/aus Sportstätten - von Moped/Krad                                                            1                     1           0                            0,0 314210        EDS - in/aus Sportstätten - von Moped/Krad gem. § 242 StGB                                            1                     1           0                            0,0 314500        EDS - in/aus Sportstätten - von unbaren Zahlungsmitteln                                               1                     1           0                            0,0 314510        EDS - in/aus Sportstätten - von unbaren ZM gem. § 242 StGB                                            1                     1           0                            0,0 315*00        EDS insg. in/aus Gaststätten, Kantinen, Hotels und Pensionen                                         16         12         23          13        5          3       31,3       25,0 315000        EDS - in/aus Gaststätten - Sonstiger                                                                 15         10         21          11        5          2       33,3       20,0 315010        EDS - in/aus Gaststätten - Sonstiger gem. § 242 StGB                                                 15                    21           0        5                  33,3 315500        EDS - in/aus Gaststätten - von unb. Zahlungsmitteln                                                   1          2          1           2                   1        0,0       50,0 315510        EDS - in/aus Gaststätten - von unbaren ZM gem. § 242 StGB                                             1                     1           0                            0,0 325*00        EDS insg. in/aus Kiosken, Warenhäusern, Verkaufsräumen                                              349        316        495         342      315        238       90,3       75,3 325000        EDS - in/aus Warenhäusern - Sonstiger                                                                22         42         31          45        5          7       22,7       16,7 325010        EDS - in/aus Warenhäusern - Sonstiger gem. § 242 StGB                                                21                    30           0        4                  19,0 325030        EDS - Diebstahl geringw. Sachen - in/aus Warenhäusern - Sonstiger                                     1                     1           0        1                 100,0 325500        EDS - in/aus Warenhäusern - von unbaren ZM                                                            3         16          4          17                            0,0        0,0 325510        EDS - in/aus Warenhäusern - von unbaren ZM gem. § 242 StGB                                            3                     4           0                            0,0 326*00        EDS insg. - Ladendiebstahl                                                                          324        258        460         279      310        231       95,7       89,5 326000        EDS - Ladendiebstahl - Sonstiger                                                                    324        258        460         279      310        231       95,7       89,5
61

Seite 43 von 93 Revierbereich Oranienburg Frage 34: Erfasste Fälle, Aufgeklärte Fälle, Aufklärungsquoten, Häufigkeitskennzahlen für alle Deliktsfelder Erfasste Fälle                           Aufgeklärte Fälle Schlüssel                                                     Bezeichnung                                   Anzahl gesamt         Häufigkeitszahl      Anzahl gesamt            AQ in % 2010       2011       2010        2011     2010       2011      2010        2011 326010        EDS - Ladendiebstahl - Sonstiger gem. § 242 StGB                                                    207                   294           0      193                  93,2 326030        EDS - Diebstahl geringwertiger Sachen - Ladendiebstahl - Sonstiger                                  117                   166           0      117                 100,0 335*00        EDS insg. in/aus Wohnungen                                                                           38         44         54          48       30        36        78,9       81,8 335000        EDS - in/aus Wohnungen - Sonstiger                                                                   38         43         54          47       30        36        78,9       83,7 335010        EDS - in/aus Wohnungen - Sonstiger gem. § 242 StGB                                                   34                    48           0       26                  76,5 335020        EDS - Haus- u. Familiendiebstahl - in/aus Wohnungen - Sonstiger                                       4                     6           0        4                 100,0 335500        EDS - in/aus Wohnungen - von unbaren Zahlungsmitteln                                                             1          0           1                                       0,0 340*00        EDS insg. in/aus Boden-/Kellerräumen, Waschküchen                                                     8          9         11          10        3         2        37,5       22,2 340000        EDS - in/aus Boden-/Kellerräumen - Sonstiger                                                          5          6          7           6        2         1        40,0       16,7 340010        EDS - in/aus Boden-/Kellerr. - Sonstiger gem. § 242 StGB                                              5                     7           0        2                  40,0 340300        EDS - in/aus Boden-/Kellerräumen - von Fahrrad                                                        3          3          4           3        1         1        33,3       33,3 340310        EDS - in/aus Boden-/Kellerr. - von Fahrrad gem. § 242 StGB                                            3                     4           0        1                  33,3 345*00        EDS insg. in/aus Baubuden und Baustellen                                                             17         18         24          19        6         3        35,3       16,7 345000        EDS - in/aus Baubuden/Baustellen - Sonstiger                                                         17         17         24          18        6         3        35,3       17,6 345010        EDS - in/aus Baustellen - Sonstiger gem. § 242 StGB                                                  17                    24           0        6                  35,3 345500        EDS - in/aus Baubuden/Baustellen - von unbaren ZM                                                                1          0           1                                       0,0 350*00        EDS insg. an/aus Kfz                                                                                117        124        166         134        8        13         6,8       10,5 350000        EDS an/aus Kfz von sonstigem Gut                                                                    116        121        165         131        8        12         6,9        9,9 350010        EDS - an/aus Kfz - Sonstiger gem. § 242 StGB                                                         16                    23           0        3                  18,8 350030        EDS - Diebstahl geringw. Sachen - an/aus Kfz - Sonstiger                                              1                     1           0        1                 100,0 350500        EDS - aus Kfz von unbaren ZM                                                                          1          3          1           3                  1         0,0       33,3 350510        EDS - aus Kfz - von unbaren ZM gem. § 242 StGB                                                        1                     1           0                            0,0 356000        EDS an Fahrrad - Sonstiger                                                                           10          7         14           8        1                  10,0        0,0 356010        EDS - an Fahrrad - Sonstiger gem. § 242 StGB                                                          9                    13           0        1                  11,1 356030        EDS - Diebstahl geringwertiger Sachen - an Fahrrad - Sonstiger                                        1                     1           0                            0,0 360000        EDS von/in/aus sonstigen Wasserfahrzeugen                                                             1          3          1           3                            0,0        0,0 364*00        EDS insg. in/aus Motorboot                                                                            1                     1           0                            0,0 364000        EDS in/aus Motorboot                                                                                  1          3          1           3                            0,0        0,0 364010        EDS - in/aus Motorboot - Sonstiger gem. § 242 StGB                                                    1                     1           0                            0,0 385000        EDS auf Friedhöfen und Grabstätten                                                                    4          6          6           6                            0,0        0,0 385010        EDS - auf Friedhöfen und Grabstätten gemäß § 242 StGB                                                 4                     6           0                            0,0 386*00        EDS auf Campingplätzen- und Raststätten                                                               1                     1           0                            0,0 386000        EDS auf Campingplätzen- und Raststätten - Sonstiger                                                   1                     1           0                            0,0 386010        EDS - auf Camping-/Raststätten - Sonstiges gemäß § 242 StGB                                           1                     1           0                            0,0 390*00        EDS insg. - Taschendiebstahl                                                                         35         44         50          48                  1         0,0        2,3 390000        EDS - Taschendiebstahl - Sonstiger                                                                   35         39         50          42                  1         0,0        2,6
62

Seite 44 von 93 Revierbereich Oranienburg Frage 34: Erfasste Fälle, Aufgeklärte Fälle, Aufklärungsquoten, Häufigkeitskennzahlen für alle Deliktsfelder Erfasste Fälle                           Aufgeklärte Fälle Schlüssel                                                   Bezeichnung                                     Anzahl gesamt         Häufigkeitszahl      Anzahl gesamt            AQ in % 2010       2011       2010        2011     2010       2011      2010        2011 390010        EDS - Taschendiebstahl - Sonstiges gemäß § 242 StGB                                                  34                     48          0                            0,0 390030        EDS - Diebstahl geringwertiger Sachen - Taschendiebstahl - Sonstiges                                  1                      1          0                            0,0 390500        EDS - Taschendiebstahl von unbaren ZM                                                                            5           0          5                                       0,0 395000        EDS - Großviehdiebstahl                                                                               2                      3          0        2                 100,0 395010        EDS - Großviehdiebstahl gemäß § 242 StGB                                                              2                      3          0        2                 100,0 4*****        Diebstahl unter erschwerenden Umständen                                                           1.127      1.092       1.599      1.181      171        128       15,2       11,7 4**100        BSD insg. von Kraftwagen                                                                             72         71         102         77       15          9       20,8       12,7 4**200        BSD insg. von Moped/Krad                                                                             30         16          43         17       11          4       36,7       25,0 4**300        BSD insg. von Fahrrad                                                                               369        412         524        446       26         15        7,0        3,6 4**500        BSD insg. von unbaren Zahlungsmitteln                                                                            7           0          8        1          1                  14,3 4**700        BSD insg. von/aus Automaten                                                                           9          9          13         10        4                  44,4        0,0 400000        Schwerer Diebstahl - Sonstiger                                                                      110        130         156        141       16         21       14,5       16,2 400010        BSD - Sonstiger                                                                                     108        130         153        141       15         21       13,9       16,2 400020        Sonstiger schwerer Diebstahl (ohne WED)                                                               1                      1          0        1                 100,0 400030        BSD - Bandendieb. - Sonstiger                                                                         1                      1          0                            0,0 400100        Schwerer Diebstahl von Kraftwagen                                                                    69         61          98         66       13          7       18,8       11,5 400110        BSD - von Kraftwagen                                                                                 68         61          97         66       12          7       17,6       11,5 400130        BSD - Bandendieb. - von Kraftw.                                                                       1                      1          0        1                 100,0 400200        Schwerer Diebstahl von Mopeds und Krafträdern                                                        29         16          41         17       10          4       34,5       25,0 400210        BSD - von Moped/Krad                                                                                 29         16          41         17       10          4       34,5       25,0 400300        Schwerer Diebstahl von Fahrrädern                                                                   316        350         448        379       20         11        6,3        3,1 400310        BSD - von Fahrrad                                                                                   316        350         448        379       20         11        6,3        3,1 400500        Schwerer Diebstahl von unbaren Zahlungsmitteln                                                                   1           0          1                                       0,0 400510        BSD - von unbaren ZM                                                                                             1           0          1                                       0,0 400700        Schwerer Diebstahl von/aus Automaten                                                                  6          7           9          8        3                  50,0        0,0 400710        BSD - von/aus Automaten                                                                               6          7           9          8        3                  50,0        0,0 401*00        Diebst. unter erschw. Umst. in/aus Gärten, Gartenanlagen, Gartenkolonien                             30         33          43         36        5          2       16,7        6,1 401000        Sonstiger Diebst. unter erschw. Umst. in/aus Gärten, Gartenanl., Gartenkolonien                      18         15          26         16        4          2       22,2       13,3 401010        Sonstiger BSD in/aus Gärten, Gartenanlagen, Gartenkolonien                                           18         15          26         16        4          2       22,2       13,3 401100        Diebst. unter erschw. Umst. von Kraftwagen in/aus Gärten, Gartenanl., Gartenk.                        1                      1          0                            0,0 401110        BSD von Kraftwagen in/aus Gärten, Gartenanlagen, Gartenkolonien                                       1                      1          0                            0,0 401200        Diebst. unter erschw. Umst. von Moped/Krad in/aus Gärten, Gartenanl., Gartenk.                                   2           0          2                                       0,0 401210        BSD von Moped/Krad in/aus Gärten, Gartenanlagen, Gartenkolonien                                                  2           0          2                                       0,0 401300        Diebst. unter erschw. Umst. von Fahrrad in/aus Gärten, Gartenanl., Gartenk.                          11         16          16         17        1                   9,1        0,0 401310        BSD von Fahrrad in/aus Gärten, Gartenanlagen, Gartenkolonien                                         11         16          16         17        1                   9,1        0,0 402*00        Diebst. unter erschw. Umst. in/aus Bungalow, Gartenlauben                                            20         38          28         41        1          4        5,0       10,5
63

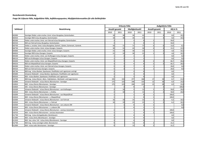
Seite 45 von 93 Revierbereich Oranienburg Frage 34: Erfasste Fälle, Aufgeklärte Fälle, Aufklärungsquoten, Häufigkeitskennzahlen für alle Deliktsfelder Erfasste Fälle                           Aufgeklärte Fälle Schlüssel                                                    Bezeichnung                                    Anzahl gesamt         Häufigkeitszahl      Anzahl gesamt            AQ in % 2010       2011       2010        2011     2010       2011      2010        2011 402000        Sonstiger Diebst. unter erschw. Umst. in/aus Bungalow, Gartenlauben                                  18         38         26          41                  4         0,0       10,5 402010        Sonstiger BSD in/aus Bungalow, Gartenlauben                                                          18         38         26          41                  4         0,0       10,5 402300        Diebst. unter erschw. Umst. von Fahrrad in/aus Bungalow, Gartenlauben                                 2                     3           0       1                   50,0 402310        BSD von Fahrrad in/aus Bungalow, Gartenlauben                                                         2                     3           0       1                   50,0 403*00        Diebst. u. erschw. Umst. in/aus Bungalow, Gartenl., Gärten, Gartenanl., Gartenk.                     50         71         71          77       6          6        12,0        8,5 404*00        Diebst. unter erschw. Umst. in/aus Garagen, Carports                                                 30         31         43          34       4          4        13,3       12,9 404000        Sonstiger Diebst. unter erschw. Umst. in/aus Garagen, Carports                                       21         19         30          21       1          2         4,8       10,5 404010        Sonstiger BSD in/aus Garagen, Carports                                                               21         19         30          21       1          2         4,8       10,5 404100        Diebst. unter erschw. Umst. von Kraftwagen in/aus Garagen, Carports                                   1          2          1           2                            0,0        0,0 404110        BSD von Kraftwagen in/aus Garagen, Carports                                                           1          2          1           2                            0,0        0,0 404200        Diebst. unter erschw. Umst. von Moped/Krad in/aus Garagen, Carports                                   3          7          4           8       2          2        66,7       28,6 404210        BSD von Moped/Krad in/aus Garagen, Carports                                                           3          7          4           8       2          2        66,7       28,6 404300        Diebst. unter erschw. Umst. von Fahrrad in/aus Garagen, Carports                                      5          3          7           3       1                   20,0        0,0 404310        BSD von Fahrrad in/aus Garagen, Carports                                                              5          3          7           3       1                   20,0        0,0 405*00        BSD insg. in/aus Banken, Sparkassen, Postfilialen und -agenturen und dgl.                             2                     3           0                            0,0 405000        Schwerer Diebstahl - in/aus Banken, Sparkassen, Postfilialen und -agenturen                           2                     3           0                            0,0 405010        BSD - in/aus Banken, Sparkassen, Postfilialen und -agenturen                                          2                     3           0                            0,0 410*00        BSD insg. in/aus Dienst-, Büro-, Fabrikations-, Werkstatt- und Lagerräumen                          195        155        277         168      17         34         8,7       21,9 410000        Schwerer Diebstahl - in/aus Dienst-/Büroräumen - Sonstiger                                          175        125        248         135      12         30         6,9       24,0 410010        BSD - in/aus Dienst-/Büroräumen - Sonstiger                                                         175        123        248         133      12         28         6,9       22,8 410020        SDS - in/aus Dienst-/Büroräumen - Sonstiger                                                                      2          0           2                  2                  100,0 410100        Schwerer Diebstahl - in/aus Dienst-/Büroräumen - von Kraftwagen                                       2         10          3          11       1          2        50,0       20,0 410110        BSD - in/aus Dienst-/Büroräumen - v. Kraftw.                                                          2         10          3          11       1          2        50,0       20,0 410200        Schwerer Diebstahl - in/aus Dienst-/Büroräumen - von Moped/Krad                                       1                     1           0       1                  100,0 410210        BSD - in/aus Dienst-/Büroräumen - v. Moped/Krad                                                       1                     1           0       1                  100,0 410300        Schwerer Diebstahl - in/aus Dienst-/Büroräumen - von Fahrrad                                         16         19         23          21       1          2         6,3       10,5 410310        BSD - in/aus Dienst-/Büroräumen - v. Fahrrad                                                         16         19         23          21       1          2         6,3       10,5 410500        Schwerer Diebstahl - in/aus Dienst-/Büroräumen - von unbaren ZM                                                  1          0           1       1                               0,0 410510        BSD - in/aus Dienst-/Büroräumen - v. unbaren ZM                                                                  1          0           1       1                               0,0 410700        Schwerer Diebstahl - in/aus Dienst-/Büroräumen - von/aus Automaten                                    1                     1           0       1                  100,0 410710        BSD - in/aus Dienst-/Büroräumen - von/aus Automaten                                                   1                     1           0       1                  100,0 411*00        BSD insg. in/aus Amtsgebäuden, Bürohäusern                                                            3                     4           0                            0,0 411000        BSD - in/aus Amts-/Bürohäusern - Sonstiger                                                            3                     4           0                            0,0 411010        BSD - bes. schw. Fall - in/aus Amts-/Bürohäusern - Sonstiger                                          3                     4           0                            0,0 412*00        BSD insg. in/aus sonstigen selbst. Büroräumen                                                         9                    13           0       2                   22,2 412000        BSD - in/aus selb. Büroräumen - Sonstiger                                                             9                    13           0       2                   22,2
64

Seite 46 von 93 Revierbereich Oranienburg Frage 34: Erfasste Fälle, Aufgeklärte Fälle, Aufklärungsquoten, Häufigkeitskennzahlen für alle Deliktsfelder Erfasste Fälle                          Aufgeklärte Fälle Schlüssel                                                      Bezeichnung                                  Anzahl gesamt         Häufigkeitszahl     Anzahl gesamt            AQ in % 2010       2011       2010        2011    2010       2011      2010        2011 412010        BSD - bes. schw. Fall - in/aus selb. Büroräumen - Sonstiger                                          9                     13          0       2                   22,2 413*00        BSD insg. in/aus Schulen, Kindergärten u. a.                                                        24                     34          0       1                    4,2 413000        BSD - in/aus Schulen/Kinderg. - Sonstiger                                                            8                     11          0                            0,0 413010        BSD - bes. schw. Fall - in/aus Schulen/Kinderg. - Sonstiger                                          8                     11          0                            0,0 413300        BSD - in/aus Schulen/Kinderg. - Fahrrad                                                             16                     23          0       1                    6,3 413310        BSD - bes. schw. Fall - in/aus Schulen/Kinderg. - v. Fahrrad                                        16                     23          0       1                    6,3 414*00        BSD insg. in/aus Schwimmhallen u. a. Sportstätten                                                   51                     72          0       1                    2,0 414000        BSD - in/aus Sportstätten - Sonstiger                                                               51                     72          0       1                    2,0 414010        BSD - bes. schw. Fall - in/aus Sportstätten - Sonstiger                                             51                     72          0       1                    2,0 415*00        BSD insg. in/aus Gaststätten, Kantinen, Hotels und Pensionen                                        10         11          14         12       2          1        20,0        9,1 415000        Schwerer Diebstahl - in/aus Gaststätten/Hotels - Sonstiger                                           9          9          13         10       2          1        22,2       11,1 415010        BSD - in/aus Gaststätten/Hotels - Sonstiger                                                          9          9          13         10       2          1        22,2       11,1 415700        Schwerer Diebstahl - in/aus Gaststätten/Hotels - von/aus Automaten                                   1          2           1          2                            0,0        0,0 415710        BSD - in/aus Gaststätten/Hotels - von/aus Automaten                                                  1          2           1          2                            0,0        0,0 420*00        BSD insg. in/aus Kiosken                                                                             5                      7          0       1                   20,0 420000        Schwerer Diebstahl - in/aus Kiosk - Sonstiger                                                        5                      7          0       1                   20,0 420010        BSD - bes. schw. Fall - in/aus Kiosk - Sonstiger                                                     5                      7          0       1                   20,0 425*00        BSD insg. in/aus Kiosken, Warenhäusern, Verkaufsräumen                                              42         34          60         37      13         15        31,0       44,1 425000        Schwerer Diebstahl - in/aus Kiosken, Warenh. , Verkaufsräumen - Sonstiger                           30         29          43         31       3         10        10,0       34,5 425010        BSD - in/aus Kiosken, Warenhäusern , Verkaufsräumen - Sonstiger                                     29         29          41         31       3         10        10,3       34,5 425030        BSD - Bandendieb. - in/aus Warenhäusern - Sonstiger                                                  1                      1          0                            0,0 425700        Schwerer Diebstahl - in/aus Warenhäusern - von/aus Automaten                                         1                      1          0                            0,0 425710        BSD - bes. schw. Fall - in/aus Warenhäusern - von/aus Automaten                                      1                      1          0                            0,0 426*00        BSD insg. - Ladendiebstahl                                                                          11          5          16          5      10          5        90,9      100,0 426000        Schwerer Diebstahl - Laden                                                                          11          5          16          5      10          5        90,9      100,0 426010        BSD - Laden                                                                                          9          3          13          3       8          3        88,9      100,0 426020        SDS - Laden                                                                                                     2           0          2                  2                  100,0 426030        BSD - Bandendieb. - Laden - Sonstiger                                                                2                      3          0       2                  100,0 430*00        BSD insg. in/aus Schaufenstern, Schaukästen und Vitrinen                                             3                      4          0       1                   33,3 430000        Schwerer Diebstahl - in/aus Schaufenstern - Sonstiger                                                3                      4          0       1                   33,3 430010        BSD - bes. schw. Fall - in/aus Schaufenstern - Sonstiger                                             3                      4          0       1                   33,3 435*00        Wohnungseinbruchdiebstahl                                                                           98         82         139         89      23         15        23,5       18,3 435000        Wohnungseinbruchdiebstahl (ohne TWE) - sonstiger                                                    52         39          74         42      18          7        34,6       17,9 436*00        Tageswohnungseinbruchdiebstahl                                                                      46         43          65         47       5          8        10,9       18,6 436000        Tageswohnungseinbruch (TWE) - sonstiger                                                             46         42          65         45       5          8        10,9       19,0 436500        TWE - von unbaren ZM                                                                                            1           0          1                                       0,0
65

Seite 47 von 93 Revierbereich Oranienburg Frage 34: Erfasste Fälle, Aufgeklärte Fälle, Aufklärungsquoten, Häufigkeitskennzahlen für alle Deliktsfelder Erfasste Fälle                           Aufgeklärte Fälle Schlüssel                                                       Bezeichnung                                 Anzahl gesamt         Häufigkeitszahl      Anzahl gesamt            AQ in % 2010       2011       2010        2011     2010       2011      2010        2011 440*00        BSD insg. in/aus Boden-, Kellerräumen, Waschküchen                                                   76         84         108         91       26         11       34,2       13,1 440000        Schwerer Diebstahl - in/aus Boden-/Kellerr. - Sonstiger                                              42         41          60         44       21          9       50,0       22,0 440010        BSD - in/aus Boden-/Kellerr. - Sonstiger                                                             42         41          60         44       21          9       50,0       22,0 440300        Schwerer Diebstahl - in/aus Boden-/Kellerr. - v. Fahrrad                                             34         43          48         47        5          2       14,7        4,7 440310        BSD - in/aus Boden-/Kellerr. - v. Fahrrad                                                            34         43          48         47        5          2       14,7        4,7 445*00        BSD insg. in/aus Baubuden und Baustellen                                                             27         18          38         19        3          1       11,1        5,6 445000        Schwerer Diebstahl - in/aus Baustellen - Sonstiger                                                   23         18          33         19        2          1        8,7        5,6 445010        BSD - in/aus Baustellen - Sonstiger                                                                  23         18          33         19        2          1        8,7        5,6 445100        Schwerer Diebstahl - in/aus Baustellen - v. Kraftw.                                                   1                      1          0        1                 100,0 445110        BSD - in/aus Baustellen - v. Kraftw.                                                                  1                      1          0        1                 100,0 445300        Schwerer Diebstahl - in/aus Baustellen - v. Fahrrad                                                   3                      4          0                            0,0 445310        BSD - bes. schw. Fall - in/aus Baustellen - v. Fahrrad                                                3                      4          0                            0,0 450*00        SDS insg. an/aus Kfz                                                                                138        134         196        145       23          8       16,7        6,0 450000        SDS - an/aus Kfz von sonstigem Gut                                                                  138        130         196        141       23          7       16,7        5,4 450010        BSD - an/aus Kfz von sonstigem Gut                                                                  138        129         196        140       23          7       16,7        5,4 450020        SDS - an/aus Kfz von sonstigem Gut                                                                               1           0          1                                       0,0 450500        SDS - aus Kfz von unbaren ZM                                                                                     4           0          4                   1                  25,0 450510        BSD - aus Kfz von unbaren ZM                                                                                     4           0          4                   1                  25,0 456000        Diebst. unter erschw. Umst. an Fahrrad - Sonstiger                                                    4          5           6          5                            0,0        0,0 456010        BSD - bes. schw. Fall - an Fahrrad                                                                    4                      6          0                            0,0 457000        Diebst. unter erschw. Umst. an Wasserfahrzeugen                                                       1                      1          0                            0,0 457010        BSD - bes. schw. Fall - an Wasserfahrzeug                                                             1                      1          0                            0,0 460000        Diebst. unter erschw. Umst. von/in/aus sonstigen Wasserfahrzeugen                                     3          5           4          5                            0,0        0,0 460010        BSD - bes. schw. Fall - von/in/aus Wasserfahrzeug                                                     2                      3          0                            0,0 461000        Diebst. unter erschw. Umst. von Motorboot                                                                        2           0          2                                       0,0 463000        Diebst. unter erschw. Umst. von Ruderboot                                                             1          1           1          1                            0,0        0,0 463010        BSD - bes. schw. Fall - von Ruderboot                                                                 1                      1          0                            0,0 464000        Diebst. unter erschw. Umst. in/aus Motorboot                                                                     1           0          1                                       0,0 486*00        Diebst. unter erschw. Umst. auf Campingplätzen- und Raststätten                                       2          3           3          3                   1        0,0       33,3 486000        Diebst. unter erschw. Umst. auf Campingplätzen- und Raststätten - Sonstiger                           2          3           3          3                   1        0,0       33,3 486010        BSD - bes. schw. Fall - auf Camping-/Raststätten                                                      2                      3          0                            0,0 490*00        BSD insg. - Taschendiebstahl                                                                          1          9           1         10                            0,0        0,0 490000        Schwerer Taschendiebstahl - Sonstiger                                                                 1          9           1         10                            0,0        0,0 490010        Besonders schwerer Taschendiebstahl                                                                   1          9           1         10                            0,0        0,0 ****00        Diebstahl insgesamt                                                                               2.037      1.998       2.891      2.162      641        510       31,5       25,5 ***100        Diebstahl insg. von Kraftwagen einschl. unbefugter Gebrauch                                          81         76         115         82       19         12       23,5       15,8
66

Seite 48 von 93 Revierbereich Oranienburg Frage 34: Erfasste Fälle, Aufgeklärte Fälle, Aufklärungsquoten, Häufigkeitskennzahlen für alle Deliktsfelder Erfasste Fälle                           Aufgeklärte Fälle Schlüssel                                                      Bezeichnung                                  Anzahl gesamt         Häufigkeitszahl      Anzahl gesamt            AQ in % 2010       2011       2010        2011     2010       2011      2010        2011 ***200        Diebstahl insg. von Moped/Krad einschl. unbefugte Gebrauch                                           34         19         48          21       11          5       32,4       26,3 ***300        Diebstahl insg. von Fahrrad einschl. unbefugter Gebrauch                                            421        456        597         493       47         27       11,2        5,9 ***400        Diebstahl insg. von Schusswaffen                                                                                 1          0           1                                       0,0 ***500        Diebstahl insg. von unbaren ZM                                                                       13         43         18          47        2          3       15,4        7,0 ***600        Diebstahl insg. von amtlichen Siegeln u. Stempeln                                                     1                     1           0        1                 100,0 ***700        Diebstahl insg. von/aus Automaten                                                                     9          9         13          10        4                  44,4        0,0 ***800        Diebstahl insg. von Antiquitäten, Kunst- und sakralen Gegenständen                                    1                     1           0                            0,0 *00000        Diebstahl insg. - Sonstiger                                                                         293        346        416         374       71         73       24,2       21,1 *01*00        Diebstahl insg. in/aus Gärten, Gartenanlagen, Gartenkolonien                                         56         47         79          51       10          7       17,9       14,9 *02*00        Diebstahl insg. in/aus Bungalow, Gartenlauben                                                        26         41         37          44        3          4       11,5        9,8 *03*00        Diebstahl insg. in/aus Bungalow, Gartenl., Gärten, Gartenanl., Gartenk.                              82         88        116          95       13         11       15,9       12,5 *04*00        Diebstahl insg. in/aus Garagen, Carports                                                             34         38         48          41        5          7       14,7       18,4 *05*00        Diebstahl insg. in/aus Banken, Sparkassen, Postfilialen und -agenturen u. dgl.                        3          3          4           3                   3        0,0      100,0 *10*00        Diebstahl insg. in/aus Dienst-, Büro-, Fabrikations-,Werkstatt- u. Lagerräumen                      278        224        395         242       39         51       14,0       22,8 *11*00        Diebstahl insg. in/aus Amtsgebäuden, Bürohäusern                                                     10                    14           0        2                  20,0 *12*00        Diebstahl insg. in/aus sonstigen selbst. Büroräumen                                                  11                    16           0        3                  27,3 *13*00        Diebstahl insg. in/aus Schulen, Kindergärten u. a.                                                   37                    53           0        5                  13,5 *14*00        Diebstahl insg. in/aus Schwimmhallen u. a. Sportstätten                                              79                   112           0        2                   2,5 *15*00        Diebstahl insg. in/aus Gaststätten, Kantinen, Hotels und Pensionen                                   26         23         37          25        7          4       26,9       17,4 *20*00        Diebstahl insg. in/aus Kiosken                                                                        5                     7           0        1                  20,0 *25*00        Diebstahl insg. in/aus Kiosken, Warenhäusern, Verkaufsräumen                                        391        350        555         379      328        253       83,9       72,3 *26*00        Diebstahl insg. Ladendiebstahl                                                                      335        263        475         285      320        236       95,5       89,7 *30*00        Diebstahl insg. in/aus Schaufenstern, Schaukästen und Vitrinen                                        3                     4           0        1                  33,3 *35*00        Diebstahl insg. in/aus Wohnungen                                                                    136        126        193         136       53         51       39,0       40,5 *36*00        Tageswohnungseinbruch                                                                                46         43         65          47        5          8       10,9       18,6 *40*00        Diebstahl insg. in/aus Boden-, Kellerräumen und Waschküchen                                          84         93        119         101       29         13       34,5       14,0 *45*00        Diebstahl insg. in/aus Baubuden und Baustellen                                                       44         36         62          39        9          4       20,5       11,1 *50*00        Diebstahl insg. an/aus Kfz                                                                          255        258        362         279       31         21       12,2        8,1 *56000        Diebstahl insg. an Fahrrad                                                                           14         12         20          13        1                   7,1        0,0 *57000        Diebstahl insg. an Wasserfahrzeug                                                                     1                     1           0                            0,0 *60000        Diebstahl insg. von/in/aus Wasserfahrzeugen                                                           4          8          6           9                            0,0        0,0 *61000        Diebstahl insg. von Motorboot                                                                                    2          0           2                                       0,0 *63000        Diebstahl insg. von Ruderboot                                                                         1          1          1           1                            0,0        0,0 *64*00        Diebstahl insg. in/aus Motorboot                                                                      1          4          1           4                            0,0        0,0 *85000        Diebstahl insg. auf Friedhöfen und Grabstätten                                                        4          6          6           6                            0,0        0,0 *86*00        Diebstahl insg. auf Campingplätzen- und Raststätten                                                   3          3          4           3                   1        0,0       33,3
67

Seite 49 von 93 Revierbereich Oranienburg Frage 34: Erfasste Fälle, Aufgeklärte Fälle, Aufklärungsquoten, Häufigkeitskennzahlen für alle Deliktsfelder Erfasste Fälle                           Aufgeklärte Fälle Schlüssel                                                     Bezeichnung                                   Anzahl gesamt         Häufigkeitszahl      Anzahl gesamt            AQ in % 2010       2011       2010        2011     2010       2011      2010        2011 *90*00        Diebstahl insg. Taschendiebstahl                                                                     36         53          51         57                   1        0,0        1,9 *95000        Diebstahl insg. Großviehdiebstahl                                                                     2                      3          0        2                 100,0 500000        Vermögens- und Fälschungsdelikte                                                                  1.199      1.114       1.702      1.205      844        867       70,4       77,8 510000        Betrug                                                                                              702        864         996        935      508        686       72,4       79,4 511000        Waren- und Warenkreditbetrug                                                                        270        286         383        309      218        214       80,7       74,8 511100        Betrügerisches Erlangen von Kfz                                                                       2          2           3          2        2          2      100,0      100,0 511200        Sonstiger Warenkreditbetrug                                                                         136        193         193        209      110        146       80,9       75,6 511201        Tankbetrug                                                                                           47         77          67         83       32         34       68,1       44,2 511279        Weitere Arten des Warenkreditbetruges                                                                89        116         126        125       78        112       87,6       96,6 511300        Warenbetrug                                                                                         132         91         187         98      106         66       80,3       72,5 512000        Grundstücks- und Baubetrug                                                                            1          1           1          1        1          1      100,0      100,0 512001        Baubetrug                                                                                             1                      1          0        1                 100,0 514000        Geldkreditbetrug                                                                                      4          5           6          5        4          4      100,0       80,0 514100        Kreditbetrug (im geschäftlichen Verkehr)                                                              2                      3          0        2                 100,0 514200        Subventionsbetrug                                                                                     1                      1          0        1                 100,0 514300        Krediterlangungsbetrug                                                                                1          4           1          4        1          4      100,0      100,0 514400        Wechselbetrug                                                                                                    1           0          1                                       0,0 515000        Erschleichen von Leistungen                                                                          77         89         109         96       77         88      100,0       98,9 515001        Beförderungserschleichung                                                                            76         89         108         96       76         88      100,0       98,9 515002        Erschleichen des Eintritts zu einer Veranstaltung oder Einrichtung                                    1                      1          0        1                 100,0 516000        Betrug bzw. Computerbetrug mittels rechtswidrig erlangter unbarer Zahlungsmittel                     45         27          64         29       12         11       26,7       40,7 516200        Betrug mittels rechtswidrig erlangter Zahlungskarten ohne PIN (Lastschriftverfahren)                  3          3           4          3        2          1       66,7       33,3 516300        Computerbetrug mittels rechtswidrig erlanger Zahlungskarten mit PIN                                  15         10          21         11        7          6       46,7       60,0 516400        Betrug m. rechtsw. erlangter Kreditkarten                                                                        4           0          4                   1                  25,0 516500        Betrug bzw. Computerbetrug mittels rechtswidrig erlangter Daten von Zahlungskarten                   25          9          35         10        2          2        8,0       22,2 516900        Betrug bzw. Computerbetrug mittels rechtswidrig erlangter sonstiger unbarer Zahlungsmittel            2          1           3          1        1          1       50,0      100,0 517000        Sonstiger Betrug                                                                                    305        456         433        493      196        368       64,3       80,7 517100        Leistungsbetrug                                                                                      10          9          14         10        8          6       80,0       66,7 517200        Leistungskreditbetrug                                                                                22         23          31         25       20         17       90,9       73,9 517300        Arbeitsvermittlungsbetrug                                                                             4                      6          0        4                 100,0 517400        Betrug z.N.v. Versich. und Versich.missbrauch                                                         3          3           4          3        3          3      100,0      100,0 517410        Betrug zum Nachteil von Versicherungen                                                                3          1           4          1        3          1      100,0      100,0 517420        Versicherungsmissbrauch                                                                                          2           0          2                   2                 100,0 517500        Computerbetrug (sonstiger)                                                                           26         11          37         12        6          3       23,1       27,3 517600        Provisionsbetrug                                                                                      3        113           4        122        1        112       33,3       99,1 517700        Betrug z.N.v. Sozialversich. und SV-trägern                                                           1          1           1          1        1          1      100,0      100,0
68

Seite 50 von 93 Revierbereich Oranienburg Frage 34: Erfasste Fälle, Aufgeklärte Fälle, Aufklärungsquoten, Häufigkeitskennzahlen für alle Deliktsfelder Erfasste Fälle                           Aufgeklärte Fälle Schlüssel                                                   Bezeichnung                                     Anzahl gesamt         Häufigkeitszahl      Anzahl gesamt            AQ in % 2010       2011       2010        2011     2010       2011      2010        2011 517800        Sozialleistungsbetrug                                                                                25         30         35          32       25         30      100,0      100,0 517900        Missbräuchliche Nutzung von Telekommunikationsdiensten                                               11          2         16           2        7          1       63,6       50,0 518100        Abrechnungsbetrug                                                                                     5          7          7           8        2          4       40,0       57,1 518179        Sonstiger Abrechnungsbetrug                                                                           5          7          7           8        2          4       40,0       57,1 518200        Einmietbetrug                                                                                         6          5          9           5        5          4       83,3       80,0 518300        Überweisungsbetrug                                                                                   15         13         21          14       12          9       80,0       69,2 518310        Kontoeröffnungsbetrug                                                                                 1                     1           0        1                 100,0 518320        Überweisungsbetrug                                                                                   14         13         20          14       11          9       78,6       69,2 518400        Zechbetrug                                                                                            3          2          4           2        3          1      100,0       50,0 518800        Kreditvermittlungsbetrug                                                                              1          1          1           1        1          1      100,0      100,0 518900        Sonstige weitere Betrugsarten                                                                       170        236        241         255       98        176       57,6       74,6 520000        Veruntreuungen                                                                                       28         23         40          25       28         22      100,0       95,7 521000        Untreue                                                                                              11          9         16          10       11          8      100,0       88,9 521079        Sonstige Untreue                                                                                     11          9         16          10       11          8      100,0       88,9 522000        Vorenthalten und Veruntreuen von Arbeitsentgelt                                                      17         14         24          15       17         14      100,0      100,0 530000        Unterschlagung                                                                                      289        111        410         120      228         65       78,9       58,6 530010        Sonstige Unterschlagung ohne von Kfz                                                                261                   370           0      205                  78,5 530020        Sonstige Unterschlagung gemäß § 247 - ohne von Kfz                                                    7                    10           0        7                 100,0 530030        Unterschlagung geringwertiger Sachen                                                                  9                    13           0        4                  44,4 531000        Unterschlagung von Kfz                                                                               12          9         17          10       12          7      100,0       77,8 531010        Unterschlagung von Kfz gemäß § 246, 247 StGB                                                         12                    17           0       12                 100,0 540000        Urkundenfälschung                                                                                    92        110        131         119       74         89       80,4       80,9 540001        Sonstige Urkundenfälschung                                                                           55         79         78          85       52         72       94,5       91,1 540002        Mittelbare Falschbeurkundung                                                                          2          3          3           3        2          3      100,0      100,0 540006        Verschaffen von falschen amtl. Ausweisen                                                                         1          0           1                   1                 100,0 540008        Ausstellen unrichtiger Gesundheitszeugnisse                                                           1                     1           0        1                 100,0 540010        Missbrauch von Ausweispapieren                                                                        4          5          6           5        4          5      100,0      100,0 541000        Fälschung technischer Aufzeichnungen                                                                  4                     6           0        3                  75,0 541001        Manipulation von Fahrtenschreibern und EG-Kontrollgeräten gemäß § 268 StGB                            2                     3           0        2                 100,0 541079        Sonstige Fälsch. technischer Aufzeichnungen                                                           2                     3           0        1                  50,0 542000        Fälschung zur Erlangung von Btm                                                                       4          1          6           1        4                 100,0        0,0 543000        Fälsch. beweiserhebl. Daten, Täusch. im Rechtsverkehr b. Datenverarb.                                22         21         31          23        8          8       36,4       38,1 543010        Fälschung beweiserheblicher Daten                                                                    22         21         31          23        8          8       36,4       38,1 550000        Geld- und Wertzeichenfälschung                                                                       86          5        122           5        4          4        4,7       80,0 551000        Geld- und Wertzeichenfälschung einschl. Vorbereitungshandlungen                                       2                     3           0        2                 100,0 551020        Wertzeichenfälschung                                                                                  2                     3           0        2                 100,0
69

Seite 51 von 93 Revierbereich Oranienburg Frage 34: Erfasste Fälle, Aufgeklärte Fälle, Aufklärungsquoten, Häufigkeitskennzahlen für alle Deliktsfelder Erfasste Fälle                           Aufgeklärte Fälle Schlüssel                                                     Bezeichnung                                   Anzahl gesamt         Häufigkeitszahl      Anzahl gesamt            AQ in % 2010       2011       2010        2011     2010       2011      2010        2011 552000        Inverkehrbringen von Falschgeld §§ 146 Abs. 1 Nr. 3, 147 StGB                                         2          2           3          2        2          2      100,0      100,0 552020        Inverkehrbringen von Falschgeld gemäß § 147 StGB (nach gutgläubigem Erwerb)                           2          2           3          2        2          2      100,0      100,0 553000        Fälsch. v. Zahlungskarten mit/ohne Garantiefunktion, Schecks u. Wechseln                             82          3         116          3                   2        0,0       66,7 553100        Gebr. falscher Zahlungsk. mit oder ohne Garantiefunktion, Schecks und Wechsel                         1          2           1          2                   2        0,0      100,0 553110        Gebrauch falscher Zahlungskarten o. Garantiefunktion, Schecks und Wechsel                             1                      1          0                            0,0 553120        Gebrauch falscher Zahlungskarten mit Garantiefunktion                                                            2           0          2                   2                 100,0 553200        Nachmachen, Verfälschen, Verschaffen, Feilhalten o. Überl. falscher Zahlungsk                        81          1         115          1                            0,0        0,0 553210        Nachm., Verfälsch, Verschaff falscher Zahlungsk. o. Garantiefunktion                                 81          1         115          1                            0,0        0,0 560000        Insolvenzstraftaten                                                                                   2          1           3          1        2          1      100,0      100,0 561000        Bankrott                                                                                              2                      3          0        2                 100,0 564000        Gläubigerbegünstigung                                                                                            1           0          1                   1                 100,0 600000        Sonstige Straftatbestände (StGB)                                                                  1.766      1.592       2.506      1.722      941        889       53,3       55,8 610000        Erpressung                                                                                            2          4           3          4        1          4       50,0      100,0 610079        Sonstige Erpressung                                                                                   2          4           3          4        1          4       50,0      100,0 620000        Widerstand gg. die Staatsgewalt und ST gg. die öff. Ordnung                                         184        191         261        207      167        168       90,8       88,0 620001        Störung des öffentl. Friedens durch Androhung von ST                                                  9          3          13          3        8          2       88,9       66,7 620003        Bildung krimineller Vereinigungen                                                                     1                      1          0        1                 100,0 620005        Amtsanmaßung                                                                                          2          2           3          2                   2        0,0      100,0 620006        Missbr. von Titeln, Berufsbezeichnungen, Abzeichen                                                    2          1           3          1        2                 100,0        0,0 620009        Verstrickungsbruch, Siegelbruch                                                                       3          1           4          1        2          1       66,7      100,0 620013        Missbr. von Notrufen und Beeintr. v. Unfallverhütungs- und Nothilfemitteln                            4          6           6          6        2          3       50,0       50,0 620014        Verstoß gg. Weisung während Führungsaufsicht                                                                     1           0          1                   1                 100,0 621000        Widerstand gg. die Staatsgewalt                                                                      21         25          30         27       20         21       95,2       84,0 621010        Öffentliche Aufforderung zu Straftaten                                                                           5           0          5                   2                  40,0 621020        Widerstand gg. Vollstreckungsbeamte                                                                  20         19          28         21       19         18       95,0       94,7 621021        Widerstand gegen Polizeivollzugsbeamte                                                               20         17          28         18       19         16       95,0       94,1 621029        Widerstand gegen Vollstreckungsbeamte (ohne Polizeivollzugsbeamte)                                               2           0          2                   2                 100,0 621040        Gefangenenbefreiung                                                                                   1          1           1          1        1          1      100,0      100,0 622000        Hausfriedensbruch                                                                                   111        134         158        145      104        120       93,7       89,6 622100        Hausfriedensbruch gemäß § 123 StGB                                                                  111        134         158        145      104        120       93,7       89,6 623000        Landfriedensbruch                                                                                     1                      1          0        1                 100,0 623010        Landfriedensbruch gemäß § 125 StGB                                                                    1                      1          0        1                 100,0 624000        Vortäuschen einer Straftat                                                                           19         14          27         15       19         14      100,0      100,0 624010        Vortäuschen einer Straftat gg. die sex. Selbstbestimmung                                              1          2           1          2        1          2      100,0      100,0 624079        Vortäuschen einer sonstigen Straftat                                                                 12          6          17          6       12          6      100,0      100,0 624100        Vortäuschen eines Raubes                                                                              2          1           3          1        2          1      100,0      100,0
70

Zur nächsten Seite